Next Article in Journal
Interaction Analysis of Offshore Power Systems: A Comparative Study
Next Article in Special Issue
Challenges of Power Generation by Reverse Electrodialysis
Previous Article in Journal
Early-Cycle Lifetime Prediction of LFP Batteries Using a Semi-Empirical Model and Chaotic Musical-Chairs Optimization
Previous Article in Special Issue
Enhanced Methane Production in the Anaerobic Digestion of Swine Manure: Effects of Substrate-to-Inoculum Ratio and Magnetite-Mediated Direct Interspecies Electron Transfer
 
 
Font Type:
Arial Georgia Verdana
Font Size:
Aa Aa Aa
Line Spacing:
Column Width:
Background:
Article

Design and Experimental Validation of an Asymmetric Four-Chamber Redox Flow Desalination Cell for Energy-Efficient Ion Removal

Department of Mechanical and Control Engineering, Handong Global University, Pohang 37554, Republic of Korea
*
Author to whom correspondence should be addressed.
Energies 2025, 18(24), 6529; https://doi.org/10.3390/en18246529
Submission received: 11 November 2025 / Revised: 30 November 2025 / Accepted: 9 December 2025 / Published: 12 December 2025

Abstract

An asymmetric four-chamber redox flow desalination cell was developed to enhance ion transport and energy efficiency by controlling chamber geometry, applied voltage, and electrolyte flow rate. The design integrates thick outer redox chambers with thin desalination chambers to promote uniform redox reactions and stable mass transfer. The system operated stably for 12 h and achieved a high salt removal rate of approximately 1226 mmol·m−2·h−1 at 1.0 V with low specific energy consumption of about 99.74 kJ·mol−1, demonstrating both durable operation and highly promising desalination performance. Electrochemical impedance analysis further confirmed that increased electrolyte flow reduces charge-transfer and diffusion resistances, enabling faster ionic transport. These findings highlight the originality of the chamber-asymmetric design and its promise for compact, low-voltage redox flow systems. This work provides design guidelines for next-generation flow-based desalination systems and suggests future research directions in scaling the architecture, optimizing flow-channel geometry, and integrating higher-stability redox electrolytes for long-term practical operation.

Graphical Abstract

1. Introduction

A lack of affordable, clean freshwater remains one of the most pressing global challenges of the twenty-first century. Rapid urbanization, industrial expansion, and population growth, combined with increasing climate variability, have placed unprecedented stress on global freshwater resources. Consequently, the geopolitical and humanitarian risks associated with water scarcity are intensifying, with over two-thirds of the world’s population expected to live under water-stressed or near-shortage conditions by 2025 [1,2,3]. As a mitigation measure, the desalination of seawater and brackish groundwater has become a vital approach to meeting growing water demands, particularly in arid and semi-arid regions [4]. Conventional desalination technologies such as reverse osmosis (RO), multi-stage flash (MSF), and multi-effect distillation (MED) are widely implemented due to their technological maturity, high reliability, and ability to produce large volumes of freshwater. However, these methods suffer from significant drawbacks, including high capital and operational costs, substantial energy requirements, and the need for large-scale centralized facilities, which limit their applicability in decentralized or off-grid settings [5]. Additionally, issues such as membrane fouling, scaling, and low efficiency under mild operational conditions hinder their long-term sustainability.
In recent years, electrochemical desalination systems have emerged as promising alternatives, offering selective salt removal using electrical energy under ambient pressure and low-voltage conditions [6]. Technologies such as capacitive deionization (CID), electrodialysis (ED), and redox flow desalination (RFD) utilize electrochemical charge-transfer processes to drive ion separation [7]. Among these, RFD has gained significant attention due to its use of soluble redox mediators, which enable continuous ion transport and electrode regeneration through reversible faradaic reactions [8,9,10]. Unlike capacitive deionization, which depends on surface charge storage and is limited by low desalting capacity and electrode fouling in saline environments [11], RFD provides enhanced cyclability and durability because its redox-active electrolytes can be regenerated continuously [12].
RFD systems combine ion-exchange membranes with the flow-cell configuration of redox flow battery to enable one-directional ion migration under an applied electric bias [13]. Soluble redox mediators facilitate charge compensation between compartments, maintaining continuous ionic current conduction during operation [14]. The redox-active species act as electron shuttles between the electrode surface and solution, generating an electrochemical gradient that drives ions across cation-exchange membranes (CEMs) and anion-exchange membranes (AEMs). This process decouples electron and ion transport and enables energy-efficient desalination at low voltages [8,15,16]. Various redox couples-both symmetric (e.g., Fe(CN)6]3−/[Fe(CN)6]4−) and asymmetric (e.g., viologens, 2,2,6,6-tetramethylpiperidine-1-oxyl (TEMPO), quinones) have been explored to improve energy efficiency and chemical stability [17]. Among these, the ferri/ferrocyanide couple remains particularly attractive due to its fast electron-transfer kinetics, high solubility, tolerance to pH variations, and excellent reversibility under neutral to mildly alkaline conditions [18].
Recent developments in RFD research have focused on improving system performance through engineering and design optimization. Strategies such as flow-field pattern modification, electrode porosity enhancement, optimized membrane placement, and refined electrolyte management have been shown to improve mass transfer and minimize polarization losses [19]. For instance, serpentine and interdigitated flow patterns enhance convective transport, while porous graphite felt electrodes provide larger active surface areas for efficient charge exchange [20]. Despite these advances, most RFD systems reported in the literature have been tested only under short-term or static conditions, offering limited insight into their long-term stability and scalability [21,22,23,24]. In particular, the effects of geometric asymmetry-that is, variation in chamber thickness between the redox and salt compartments have not been systematically examined [25,26,27,28]. Most reported RFD cells employ symmetric geometries, overlooking how intentional structural asymmetry could influence ion migration, redox replenishment, and overall electrochemical efficiency [29,30,31]. Furthermore, previous studies in electrochemical systems such as proton exchange membrane electrolyze and batteries have shown that interfacial resistance between electrodes and current collectors can strongly influence cell performance and energy losses [32,33,34]. However, comparable investigations that quantify interfacial resistance in redox flow desalination architectures, particularly at electrode–collector and flow-gap interfaces, remain scarce, making it difficult to design RFD systems that are both energy-efficient and operationally scalable [35,36,37,38].
Recent progress in four-chamber RFD systems has been reported by [31,39,40], who demonstrated improved desalination performance through optimized electrode configuration, flow control, and redox-electrolyte selection. Mohandass et al. (2022) [39] used a four-channel RFD architecture in which all chambers had nearly identical thickness (~0.50 mm), defined by a silicone gasket and mesh spacer. No intentional geometric asymmetry was introduced, and the electrode-spacer gap varied with mechanical compression, resulting in uncontrolled flow spacing and non-uniform hydrodynamics. Their CEM–AEM–CEM configuration was the same for all chambers, and the asymmetry in their study referred mainly to differences in redox chemistry rather than to chamber geometry. Thus, their design did not implement a controlled flow gap or systematic variation in chamber thickness to analyze hydrodynamics or ion-transport behavior [39]. Kim et al. (2023) [40] introduced a multi-electrode stacking strategy for scale-up but did not implement intentional geometric asymmetry. All chambers had similar frame-defined thicknesses, and flow distribution was governed by stacked activated-carbon electrodes and Ti-mesh current collectors rather than by a fixed flow gap or engineered chamber geometry. Thus, their asymmetry resulted from the number of electrode layers, not from controlled variation in chamber thickness or a designed hydrodynamic structure [40]. Xie et al. (2024) [31] introduced a highly soluble ferrocene-based redoxmer and achieved rapid desalination, yet their study also relied on a symmetric four-chamber layout and did not explore structural asymmetry or engineered flow-gap effects on mass transport [31]. Thus, despite these advances, the role of intentional geometric asymmetry in controlling redox kinetics and ion migration remains unaddressed.
To address this research gap, a hand-fabricated four-chamber RFD cell with intentional geometric asymmetry. The outer redox chambers (3 mm) were made three times thicker than the central dilute and concentrate chambers (1 mm), and a fixed 1 mm flow gap was maintained inside the CEM–AEM–CEM membrane stack. This defined geometry avoids the compression-dependent gaps reported in earlier RFD designs and prevents uneven redox distribution. It also enables a controlled evaluation of how chamber thickness affects redox replenishment and ion-transport kinetics, as later supported by EIS. The cell was tested for 4 h under flow-rate variation and for 12 h under different voltages. These tests evaluated desalination performance, charge efficiency, and energy consumption, confirming the benefit of the asymmetric design. The aim of this study is to experimentally validate the feasibility and performance benefits of intentional geometric asymmetry in low-voltage electrochemical desalination. Despite single-run tests under each condition, clear and consistent performance trends confirm the reliability of the findings.

2. Experimental Section

2.1. Cell Fabrication and Architecture

A laboratory-scale RFD cell was constructed using modular acrylic housing as shown in Figure 1, following the design framework of Kim et al. [39]. The assembled unit had a footprint of 10 × 10 cm and a total thickness of approximately 3.5 cm. Four chambers were stacked in sequence: two outer redox compartments for circulating the redox electrolyte and two central chambers for desalination and concentration. Each redox chamber contained a 2 mm thick graphite-felt electrode affixed to a 316 L stainless-steel current collector. A 1 mm flow gap between the electrode and adjacent membrane was maintained to promote mass transfer and ensure uniform redox reactions. The chambers were separated by a CEM-AEM-CEM membrane stack, with 0.5 mm PTFE gaskets providing sealing and electrical insulation. All layers were compressed between two 10 mm thick acrylic endplates equipped with dedicated inlets and outlets to allow independent circulation of the redox and saline streams. The active reaction zone was defined by a 3.5 cm diameter circular window, corresponding to an effective membrane area of 9.62 cm2. All internal components were manually aligned to ensure uniform flow distribution, minimize leakage, and maintain structural stability during operation.

2.2. Materials and Electrolytes

Graphite-felt electrodes (GF020, NARA Cell-Tech, Taipei, Taiwan; thickness: 2 mm) were used on both anode and cathode sides due to their high surface area, electrical conductivity, and chemical stability in aqueous redox systems. Each electrode was attached to a 0.5 mm thick 316 L stainless-steel current collector using a silver-filled conductive epoxy (8330D, MG Chemicals, Burlington, ON, Canada) to ensure strong mechanical bonding and low interfacial resistance. Ion-exchange membranes (Fumasep®, Fuel Cell Store, Bryan, TX, USA) were arranged in a cation-exchange membrane-anion-exchange membrane-cation exchange membrane configuration, comprising a 50 µm cation-exchange membrane and a 44–45 µm anion-exchange membrane. Polytetrafluoroethylene (PTFE) gaskets (0.5 mm, NARA Cell-Tech, Seoul, Republic of Korea) were placed between layers to maintain sealing and structural integrity.
A symmetric redox electrolyte was prepared from potassium ferricyanide (K3[Fe(CN)6], 98%, DAEJUNG, Busan, Republic of Korea) and potassium ferrocyanide trihydrate (K4[Fe(CN)6]·3H2O, 99%, Aladdin, Wuhan, China). As shown in Figure 2a,b, the solution was circulated through both redox chambers to sustain reversible redox reactions and maintain charge balance. The saline feed solution was prepared by dissolving 1.15 g sodium chloride (NaCl > 99.5%, KOSDAQ, Seoul, Republic of Korea) in 100 mL deionized water, simulating brackish-water conditions. Deionized water was used throughout all experiments to ensure consistency and prevent contamination.

2.3. Electrode Preparation

Graphite-felt sheets were cut into 3.4 cm diameter circular pieces to match the active membrane area as shown in Figure 3. Prior to assembly, the felts were thermally treated in air at 400 °C for 6 h in a muffle furnace to enhance surface wettability via oxidation-based activation. Stainless-steel current collectors (316 L) were cleaned with ethanol to remove contaminants. The conductive epoxy (8330D, MG Chemicals, Burlington, ON, Canada) was prepared by mixing equal masses of components A and B until a uniform consistency was achieved. Approximately 1 mg of mixed epoxy was evenly applied to each current-collector surface, and the activated graphite felt was gently pressed onto the adhesive layer to ensure full contact and alignment. The assembled electrode collector pairs were then cured at 200 °C for 2 h to achieve strong mechanical bonding and minimize interfacial resistance.

2.4. Electrochemical Operation and Monitoring

A detailed photograph of the complete experimental setup including the peristaltic pumps, electrochemical cell, reservoirs, and potentiostat is provided in Figure 4. All electrochemical experiments were conducted in potentiostatic mode using a programmable electrochemical workstation (Corrtest, Wuhan, China) operated with CS Studio5 software. Two independent parameter investigations were performed: (1) the effect of applied voltage was examined under a fixed redox electrolyte flow rate of 25 mL·min−1 for 12 h, and (2) the effect of redox flow rate was investigated at 0.7–1.2 V for 4 h with flow rates varied between 30 and 60 mL·min−1. This separation ensured that the influence of each operational variable could be isolated and analyzed independently. No galvanostatic operation was performed in this study. The symmetric redox electrolyte consisted of 0.1 M (K3[Fe(CN)6]/K4[Fe(CN)6]), circulated through both redox chambers using a peristaltic pump (YZ15, Longer Pump, Baoding, China). The saline feed solution (≈196.7 mM NaCl) was independently circulated through the desalination and concentration chambers at a fixed flow rate of 4 mL·min−1 using separate peristaltic pumps (PT100-1F, Longer Pump, Baoding, China). The ionic conductivity of the dilute and concentrate reservoirs was continuously monitored using a digital conductivity meter (CAS-CM-3, Seoul, Republic of Korea).

2.5. Performance Evaluation Metrics

The average salt removal rate (ASSR) was calculated in units of mmol·m−2·h−1 using Equation (1) [41]:
A S S R = C t × V A
where ΔC is the change in NaCl concentration in the desalination tank (mol·L−1), Δt is the operation time (h), V is the total volume of diluted stream (0.1 L), and A is the membrane area 9.62 cm2. The charge efficiency was defined as the ratio of the number of moles of salt removed to the number of moles of electrons transferred. The charge efficiency was calculated by Equation (2) [41]:
C h a r g e   e f f i c i e n c y = F · n N a C l I d t
where n N a C l is the amount of NaCl removed (mol), I is the current (mA) over time, and F is the faraday constant (96,485 C/mol). The specific energy consumption E, measured in kJ·mol−1, was determined as the energy utilized per mole of salt eliminated under constant voltage conditions, employing Equation (3) [41]:
E = U n N a C l t 1 t 2 I d t
where U represents the applied voltage (V), and t 1 t 2 I d t denotes the total charge. The chosen performance metric evaluates the system’s desalination capabilities in terms of ASSR, SEC, and CE. Taken together, these results provide a comprehensive evaluation of the system’s electrochemical performance and energy efficiency under various applied voltages and electrolyte flow conditions. Each data point reported in this study corresponds to an independent experimental run. Due to time and resource limitations, repeated trials were not performed. While the trends are consistent and physically reasonable, future studies will include multiple repetitions to evaluate statistical variability and reproducibility.

3. Results and Discussion

3.1. Conductivity Sensor Calibration, Repeatability, and Uncertainty Determination

Conductivity was measured using a CM-3 m (Total Weighing Solution, Seoul, Republic of Korea) equipped with a high-conductivity probe (CON-10, cell constant K = 10 cm−1; range: 100 μS·cm−1–200 mS·cm−1). Although the manufacturer specifies an accuracy of ±1% full scale, equivalent to ±2.0 mS·cm−1 at the upper limit, this value represents a worst-case limit. Therefore, independent calibration was performed using NaCl standard solutions (25–250 mM). The resulting calibration curve as shown in Figure 5 exhibited excellent linearity (y = 0.0915x + 2.0513, R2 = 0.995), and analysis of calibration residuals yielded a mean absolute percentage error (MAPE) of 3.72%, representing the trueness systematic accuracy of the conductivity probe.
To evaluate the practical repeatability of the conductivity sensor under real operating conditions, two identical 196.7 mM NaCl solutions (initial concentration tank and diluted tank) were measured prior to each of the 16 test runs, producing a total of 32 independent initial conductivity readings as shown in Table 1. Because the concentration tank and diluted tank contained the same solution at the beginning of each run, any variation among these measurements directly reflects the combined effects of instrumental precision and handling variability.
The distributions of the repeated measurements show mean initial conductivities of 21.02 ± 1.00 mS·cm−1 for the concentration tank and 20.79 ± 0.99 mS·cm−1 for the diluted tank, corresponding to relative standard deviations (RSD) of 4.8% and 4.7%, respectively. These narrow and highly consistent distributions confirm stable and repeatable sensor performance.
Because calibration trueness (3.72%) and measurement repeatability (~4.7%) arise from independent sources, they were combined in quadrature to estimate the total relative uncertainty of conductivity-derived quantities. This combined uncertainty (≈6%) was applied consistently in the analysis of concentration, concentration change, ASSR, charge efficiency (CE), and specific energy consumption (SEC).

3.2. Rapid Screening of Cell Response

To preliminarily evaluate the electrochemical characteristics of the asymmetric RFD cell, rapid screening experiments were conducted using a diluted 10 mM FCN electrolyte. Each test was performed for 900 s under four applied voltages (0.4, 0.7, 1.0, and 1.2 V) while varying the redox flow rate from 10 to 70 mL·min−1 as shown in Figure 6a–d. The dilute electrolyte ensured minimal concentration drift, allowing direct assessment of the interplay between convection and electrode kinetics.
At 0.4 V, the current density remained low and largely insensitive to flow rate, except at 10 mL·min−1, which exhibited noticeable decay with time. The similarity of steady values across higher flow rates suggests that the overall process was potential-limited, the driving force was insufficient for convection to meaningfully influence mass transfer.
When the bias increased to 0.7 V, the current density rose proportionally, and flow effects became more evident. Below 30 mL·min−1, mass-transport limitations persisted, whereas above this threshold, curves began to converge indicating that boundary-layer thinning by convection successfully alleviated concentration polarization.
A pronounced enhancement appeared at 1.0 V, where current density increased sharply and approached saturation at high flow. Steady values reached 2.80 mA·cm−2 (50 mL·min−1), 2.95 mA·cm−2 (60 mL·min−1), and 3.00 mA·cm−2 (70 mL·min−1). Beyond 30 mL·min−1, the curves flattened, implying a transition from diffusion to reaction-controlled behavior. The combination of full Faradaic activation, efficient convective renewal, and limited ohmic losses makes 1.0 V the most balanced operating regime.
Counterintuitively, further increasing the potential to 1.2 V reduced the steady-state current despite a stronger initial transient. Recorded values 2.45, 2.64, and 2.70 mA·cm−2 at 50, 60, and 70 mL·min−1, respectively, were all lower than those at 1.0 V. The broadened separation among flow curves at this voltage suggests that overpotential-induced side reactions, such as localized oxygen evolution or redox shuttling, suppressed the effective Faradaic current. These parasitic processes likely caused temporary electrode blockage and additional polarization losses, leading to lower steady levels.
Collectively, the 10 mM screening identifies four characteristic regimes: potential-limited operation at 0.4 V; onset of convection-assisted transfer above 30 mL·min−1 at 0.7 V; kinetically optimal and flow-saturated performance at 1.0 V; and overpotential-driven efficiency decline at 1.2 V. Therefore, 1.0 V represents the optimal electrochemical window, balancing redox kinetics and convective transport as shown in Figure 7. Subsequent electrochemical impedance spectroscopy (EIS) analysis at higher concentration further elucidates how flow mitigates charge-transfer and diffusion resistances under these conditions.

3.3. Electrochemical Impedance Spectroscopy (EIS) Characterization

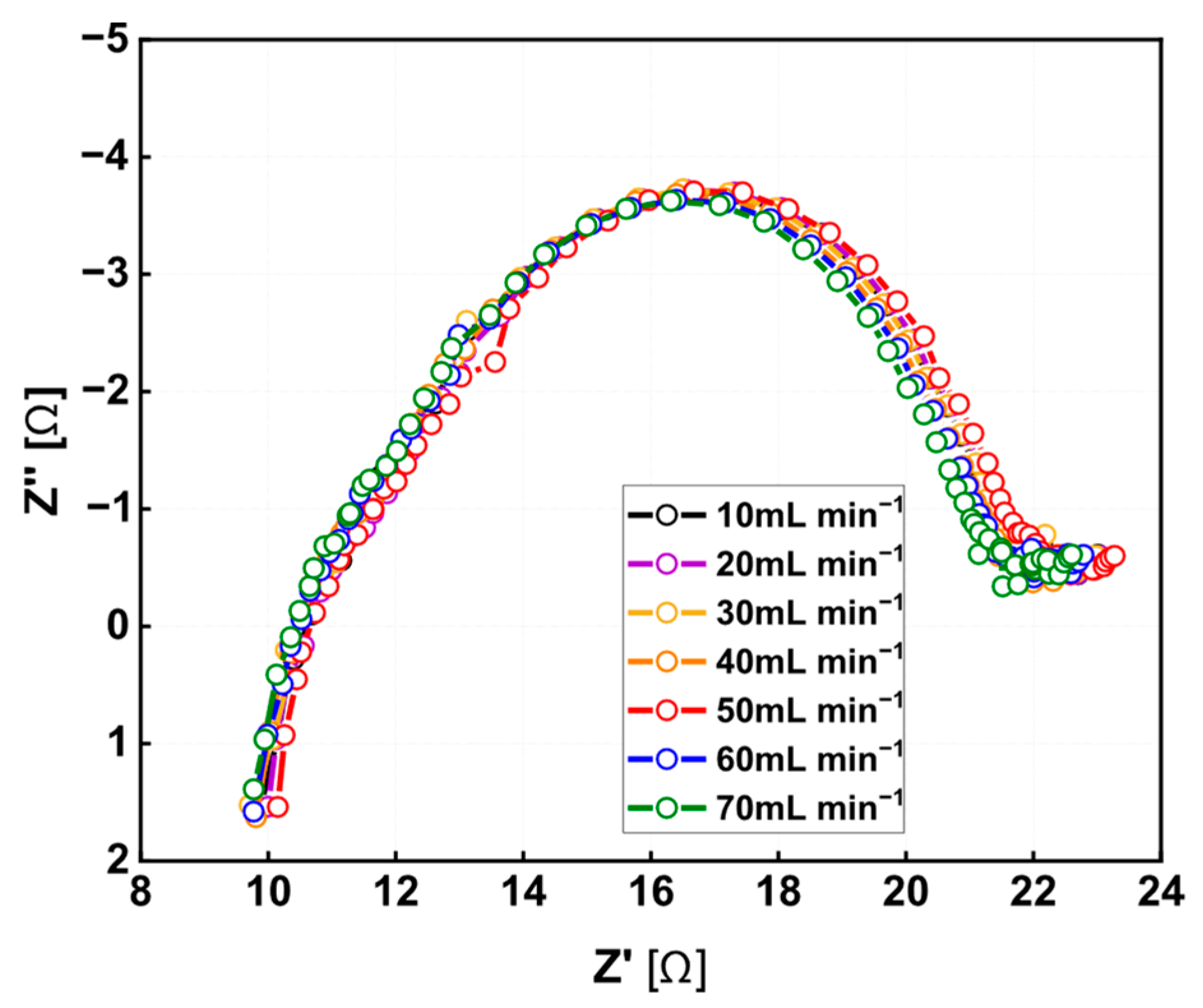
Figure 8 displays the Nyquist plots of the asymmetric four-chamber RFD cell recorded at different electrolyte flow rates (10–70 mL·min−1) using a 0.1 M K3[Fe(CN)6]/K4[Fe(CN)6] electrolyte. All impedance spectra exhibit a single, well-defined semicircle followed by a short vertical tail, indicating that the system operates primarily under charge-transfer control with negligible diffusional impedance. The nearly constant solution resistance (Rs ≈ 10 Ω) and charge-transfer resistance (Rct ≈ 11–13 Ω) across the entire flow-rate range confirm that ionic conduction and interfacial kinetics remain stable, independent of hydrodynamic variation.
This electrochemical behavior provides direct validation of the cell’s asymmetric geometry and 1 mm inter-electrode flow path. The thick outer redox chambers (3 mm) effectively maintain electrolyte buffering and uniform pressure distribution, while the narrow central flow gap minimizes ionic diffusion distance between the graphite felt electrode and the ion-exchange membrane. Together, these features create a highly uniform velocity and electric-field profile, preventing concentration polarization and ensuring consistent electrochemical activity throughout the electrode surface. The absence of a Warburg-type diffusion tail further demonstrates that the porous graphite felt electrodes remain fully wetted and continuously replenished by the redox species at all flow conditions.
Unlike conventional symmetric RFD configurations, where Rct typically decreases with increasing flow due to concentration polarization-the constant impedance response here verifies that mass-transfer resistance has been structurally eliminated. The system thus operates within a kinetically dominant regime even at the lowest flow rate of 10 mL·min−1, confirming that the asymmetric chamber design provides sufficient electrolyte residence time and redox accessibility. The stable semicircle diameter across flow rates also indicates excellent electrode-collector adhesion and negligible interfacial losses, attributed to the optimized 2 mm graphite felt and conductive epoxy bonding.
Collectively, the EIS results demonstrate that the engineered asymmetric geometry effectively suppresses internal ohmic and diffusional losses, enabling fast redox exchange and low resistive operation. This provides strong electrochemical evidence that cell performance improvements arise directly from geometric optimization, validating the structural design strategy adopted in this study.

3.4. Effect of Applied Voltage on Long-Term Desalination Performance

To evaluate how the applied voltage influences the electrochemical desalination behavior of the asymmetric four-chamber RFD system, the cell was operated for 12 h at a fixed redox electrolyte flow rate of 25 mL·min−1 and an initial NaCl concentration of approximately 196.7 mM. The applied voltage varied across 0.4, 0.7, 1.0, and 1.2 V, and the time-dependent variations in conductivity in the dilute and concentrate tanks, current density, ASSR, CE, and SEC were monitored. The resulting data clearly demonstrate how the cell’s performance evolves under different potential regimes and identify 1.0 V as the optimal condition providing the best balance between desalination efficiency and energy utilization.
The conductivity evolution of both the diluted and concentrated tanks provides a direct indication of ionic transport through the CEM-AEM-CEM stack. As shown in the conductivity profiles Figure 9, the dilute stream consistently decreases while the concentrate stream increases, verifying sustained unidirectional ion migration during 12 h operation. At 0.4 V, the conductivity of the dilute tank decreases only moderately from ~20 to ~13 mS·cm−1, while the concentrated side rises to about ~30.1 mS·cm−1, reflecting limited ion transfer under weak electric driving force. When the voltage is increased to 0.7 V, both slopes become steeper, with the dilute tank dropping to ~10.4 mS·cm−1 and the concentrated one reaching ~30–31 mS·cm−1. At 1.0 V, the divergence becomes most pronounced: the dilute conductivity decreases to ~6–7 mS·cm−1, and the concentrated one grows to ~31 mS·cm−1, indicating enhanced desalination kinetics and strong field-driven ion migration. In contrast, at 1.2 V, although the initial rate of conductivity change is the fastest, both curves gradually level off after about 8 h, suggesting increasing inefficiencies caused by parasitic processes such as co-ion leakage or localized gas evolution. These results confirm that the asymmetric geometry and the 1 mm flow gap maintain steady mass transport, while voltage primarily modulates the trade-off between ion transport rate and Faradaic efficiency.
The current density profiles over time further illustrate these behaviors in Figure 10. All potentials exhibit an initial transient spike followed by gradual decay, a typical response of redox-mediated desalination cells as concentration gradients develop. At 0.4 V, the current stabilizes rapidly near ~2 mA·cm−2, indicating low reaction activity but steady operation. At 0.7 V, the current starts around ~4 mA·cm−2 and decays to ~2.5–3.0 mA·cm−2 after several hours, maintaining a smooth, stable profile that implies efficient redox replenishment without significant ohmic polarization. The 1.0 V condition shows the highest sustained current performance, starting near 5 mA·cm−2 and declining gradually to ~2.7–3.0 mA·cm−2 after 12 h, suggesting optimal kinetic balance between redox reaction rate and ionic mass transfer. At 1.2 V, although the initial current density peaks at ~8–9 mA·cm−2, it declines more rapidly and ends lower than at 1.0 V, near ~1.6–2.0 mA·cm−2. Occasional small oscillations in the signal may arise from bubble formation or parasitic charge reactions, which consume current without contributing to salt transport. Overall, these current–time characteristics confirm the cell’s high electrochemical stability and validate that the 1 mm flow path and 2 mm graphite felt design effectively maintain uniform current distribution during long-term operation.
As shown in Figure 11, the ASSR data further supports these interpretations. All voltages show an initially high ASSR that declines over time as the concentration gradient decreases. During the early stage first hour, 1.2 V achieves a peak ASSR of about ~4000 mmol·m−2·h−1 approximately same as 1.0 V yields, 0.7 V about ~2300, and 0.4 V ~950 mmol·m−2·h−1. Over longer durations, 1.0 V maintains the most stable rate between 1300–1500 mmol·m−2·h−1, while 1.2 V gradually decays to similar levels after 10–12 h. The lower voltages show proportionally smaller but steady rates. These data confirm that higher voltages accelerate early salt removal but also introduce additional losses over time, reducing long-term efficiency. Thus, 1.0 V offers the most productive balance between rate stability and energy efficiency.
As shown in Figure 12, the performance metrics summarized as ASSR, CE, and SEC as functions of voltage clearly highlight this trade-off. The ASSR increases steadily from ~666 mmol·m−2·h−1 at 0.4 V to ~858 at 0.7 V, ~1226 at 1.0 V, and ~1430 at 1.2 V. Meanwhile, CE shows a mild but consistent decrease from nearly 98.9% at 0.4 V to about 94.9% at 1.2 V, while SEC rises almost linearly from ~39 kJ·mol−1 at 0.4 V to ~68.8 kJ·mol−1 at 0.7 V, ~99.73 kJ·mol−1 at 1.0 V, and up to ~122.1 kJ·mol−1 at 1.2 V. These results collectively confirm that higher applied voltage increases the total charge transfer and ASRR but also triggers side reactions such as water electrolysis and co-ion migration, slightly lowering the effective charge utilization. Therefore, while ASSR is highest at 1.2 V, the slight CE decrease is physically expected and fully consistent with Faradaic desalination mechanisms, where parasitic pathways consume part of the total charge. The narrow efficiency drop demonstrates that the asymmetric RFD cell design successfully suppresses major losses and remains highly selective even under high-voltage operation.
As shown in Figure 13, normalized concentration (C/C0) plots for 0.7 and 1.0 V provide another clear perspective on desalination behavior. At 1.0 V, the diluted stream decreases to approximately 0.3 C0 and the concentrated stream rises to about 1.7 C0 after 12 h, indicating a 70% salt removal efficiency with nearly symmetric concentration enrichment. At 0.7 V, the dilute and concentrate streams reach 0.5 C0 and 1.6 C0, respectively, corresponding to a slower but highly stable performance. The smooth and monotonic evolution of both curves implies excellent selectivity, minimal leakage, and strong membrane integrity during continuous operation.
The observed voltage dependence can be mechanistically understood in terms of the cell’s impedance characteristics and its asymmetric geometric design. The stable and nearly identical EIS semicircles across various flow rates indicate that internal resistance and charge transfer are not limited within this voltage range, confirming that mass transfer remains efficient. The 3 mm redox chambers provide sufficient residence time for redox regeneration, while the 1 mm flow gap and 2 mm graphite felt ensure short diffusion distances and uniform velocity distribution, maintaining a kinetically dominated regime. As the applied voltage increases, the system transitions from purely activation-controlled to mixed kinetic-mass-transfer control; however, even at 1.2 V, mass-transfer limitations remain suppressed due to the optimized geometry. The decline in current and CE at 1.2 V thus arises primarily from parasitic electrochemical reactions rather than from diffusion limitations.
From a process design perspective, these findings define a practical operational window for energy-efficient performance. The range between 0.7 and 1.0 V provides the best compromise between throughput and efficiency, maintaining CE above 96% with moderate SEC. The 1.0 V condition, in particular, achieves high desalination productivity (≈1.2~1.3 mmol·m−2·h−1) with stable current and negligible side reactions, proving the structural robustness of the asymmetric chamber design. Meanwhile, lower voltages such as 0.4 V, though more energy-efficient, result in insufficient desalination rates for scalable applications. These consistent trends across all figures validate that the deliberate combination of thick redox chambers, narrow flow paths, and high-surface-area felt electrodes allows the RFD cell to operate efficiently in a kinetically dominated regime with minimal energy loss and outstanding long-term stability.
Overall, the 12 h continuous operation demonstrates that the applied voltage is a decisive factor controlling the interplay between reaction kinetics, ion transport, and energy cost in the asymmetric RFD system. While 1.2 V maximizes the instantaneous salt removal rate, 1.0 V offers the optimal operational balance-achieving high desalination capacity, excellent charge utilization, and manageable energy input without degradation or instability. The observed behavior aligns with the impedance-based understanding of the system and further validates the electrochemical and structural integrity of the asymmetric four-chamber configuration under prolonged operation.

3.5. Effect of Electrolyte Flow Rate on Desalination Performance

The influence of electrolyte circulation rate on cell performance was systematically examined under constant voltages of 0.7, 1.0, and 1.2 V using a concentrated 0.1 M K3[Fe(CN)6]/K4[Fe(CN)6] redox electrolyte. During each test, the NaCl solution was circulated through both the desalination and concentration chambers at a constant flow rate of 4 mL·min−1. A flow range of 30–60 mL·min−1 was selected to impose strong hydrodynamic and electrochemical stress on the asymmetric four-chamber RFD cell, allowing evaluation of the 1 mm flow channel and redox-compartment asymmetry.
At 0.7 V, all current–time profiles exhibit relatively steady trends, with average current densities between 2.3 and 2.8 mA·cm−2 across the tested flow range as shown in Figure 14a. The limited current spread indicates that, at this potential, the cell operates under mixed ohmic–kinetic control rather than severe mass-transfer limitation. The nearly overlapping traces for 30–60 mL·min−1 imply that the 0.1 M redox electrolyte provides sufficient ionic buffering and fast interfacial kinetics to maintain stable charge transfer, while hydrodynamic effects are secondary.
Nevertheless, the ASRR data show in Figure 14d, a distinct increase with rising flow rate, reaching a maximum at 50 mL·min−1 before slightly declining at 60 mL·min−1. This non-monotonic dependence confirms that moderate convective enhancement improves ionic replenishment and accelerates redox regeneration, but excessive flow shortens electrolyte residence time, reducing the net ion transport across the membrane stack. In this low-voltage regime, the desalination rate is mainly governed by diffusion-layer control near the electrode surface and within the 1 mm intermembrane channel, and the asymmetric chamber geometry effectively prevents depletion even at high throughput.
At 1.0 V, the current density rises markedly and exhibits a sharper initial peak followed by gradual stabilization as shown in Figure 14b. The transient overshoot observed at t < 200 s likely corresponds to rapid double-layer charging and momentary depletion of ferricyanide at the electrode interface, after which convective renewal reestablishes equilibrium. Among the flow conditions, the 50 mL·min−1 case initially produces the highest current (~3.14 mA·cm−2), and yields the best desalination performance, with ASRR ≈ 1.31 × 103 mmol·m−2·h−1 and the highest CE. Current density reflects total Faradaic turnover, while ASRR depends on the portion of that charge effectively coupled to cation-anion migration through the CEM-AEM-CEM stack. At lower flow, ion replenishment becomes locally limited; at higher flow, although polarization is relieved, the reduced residence time across the membrane decreases ion-utilization efficiency. Consequently, the optimal 50 mL·min−1 flow achieves a hydrodynamic balance, maintaining adequate mass-transfer coefficients while ensuring sufficient ionic residence for selective transport. In this configuration, the 2 mm graphite felt, and 1 mm flow path promote uniform flow distribution, allowing effective use of the redox species without excessive shear or leakage.
At 1.2 V, current densities increase further, as expected under enhanced electrochemical driving force, but also show greater divergence among flow rates as shown in Figure 14c. At 50 mL·min−1, the system shows the highest steady-state current (~5.47 mA·cm−2) with stable operation over 4 h. At 60 mL·min−1, the current gradually increases before stabilizing at ~5.5 mA·cm−2, indicating minor side reactions that sustain the current. The ASRR likewise peaks at 50 mL·min−1 (≈1.93 × 103 mmol·m−2·h−1), while CE shows a corresponding maximum and SEC a minimum as shown in Figure 15. The data demonstrate that even at the highest voltage, where ohmic and activation overpotentials are minimized, geometric and flow factors remain decisive. The decline in CE and rise in SEC at 60 mL·min−1 reflect the transition to a regime dominated by convective losses and co-ion leakage, particularly within the narrow 1 mm channel where excessive flow may perturb the ion-exchange boundary layers and weaken selective migration.
The relationship between ASRR and SEC across voltages reveals a coherent physical trend: as flow rate increases from 30 to 50 mL·min−1, both ASRR and CE improve, but further increase to 60 mL·min−1 leads to performance deterioration. The 50 mL·min−1 point thus represents a practical hydrodynamic optimum where the redox replenishment rate matches the ion transport demand of the desalination channels. The same optimum across 0.7–1.2 V demonstrates that this behavior is intrinsic to the cell architecture rather than voltage-dependent, underscoring the robust coupling between geometry and transport.
Importantly, the use of 0.1 M redox concentration imposes a demanding condition on both the electrolyte and the electrode. This high concentration minimizes kinetic limitation but increases solution viscosity and ionic strength, raising the potential for uneven flow distribution or partial diffusion constraint. Operating the asymmetric cell at these concentrations validates the structural stability and effective mixing provided by the 1 mm intermembrane spacing and 3 mm redox chamber thickness. The sustained current and consistent ASRR over 4 h at 1.0–1.2 V confirms that no severe concentration polarization or degradation occurred, implying that the chamber asymmetry successfully maintains redox uniformity under stress. This observation reinforces the design rationale: the thicker outer redox chambers act as concentration buffers, compensating for temporal redox gradients and enabling continuous charge transfer even during prolonged, high-flow operations.
From an energetic standpoint, the SEC trends mirror CE inversely. The energy per mole of salt removed decreases with flow rate up to 50 mL·min−1 but rises thereafter. At low flow, polarization losses dominate; at high flow, mechanical and ohmic losses increase due to shortened residence and non-ideal ion selectivity. The relatively small SEC difference between 1.0 and 1.2 V further illustrates that the primary energy cost arises not from applied potential but from transport efficiency within the cell. Hence, the asymmetric configuration allows the system to maintain near-constant electrochemical utilization across voltages, achieving high charge efficiencies within the mid-flow range. These values compare favorably to reported symmetric RFD architectures, where efficiency often drops sharply at higher voltage due to redox depletion and co-ion crossover.
The collective results confirm that hydrodynamic optimization is as critical as electrochemical tuning in RFD design. Increasing flow relieves mass-transfer limitation but risks underutilization of charge if the electrolyte residence is too short. The 50 mL·min−1 optimum observed here arises from a delicate equilibrium between convective enhancement, diffusion-layer maintenance, and selective ion transport. It validates that the cell’s geometric asymmetry 3 mm redox chambers flanking 1 mm desalination and concentration chambers enable a natural balance between redox regeneration and salt transport. Furthermore, operation at high concentration 0.1 M and elevated flow confirms mechanical integrity and stable ion-exchange performance, reinforcing the feasibility of this hand-fabricated configuration for practical desalination applications.
In summary, the results demonstrate that in an asymmetric four-chamber RFD cell, performance does not increase monotonically with flow rate. Instead, an intermediate flow 50 mL·min−1 maximizes desalination efficiency by ensuring effective coupling between redox conversion and ion migration. The combined analyses of current stability, ASRR, CE, and SEC highlight that mass-transfer optimization through controlled hydrodynamics is essential for achieving low-voltage, energy-efficient electrochemical desalination. The established balance between geometric design, electrolyte composition, and flow regime provides a robust experimental validation of the asymmetric configuration under high-stress operating conditions, laying the groundwork for future scale-up and long-term stability testing.

3.6. Energy-Efficiency Trade-Off and Voltage Dependence

The combined effects of electrolyte flow rate and applied voltage on desalination performance, EC, and CE were further analyzed to elucidate the operational trade-offs in the asymmetric four-chamber redox desalination cell. Figure 16a–c summarize the correlation between ASRR, EC, and CE under different voltage and flow-rate conditions.
At a fixed applied potential, all three voltages (0.7, 1.0, and 1.2 V) exhibited a non-linear response to flow-rate variation. ASRR initially increased with rising flow rate from 30 to 50 mL·min−1, reaching a peak at mL·min−1 for each voltage, and then declined at 60 mL·min−1. This trend reflects the competing influences of convective ion supply and residence-time limitations. At lower flow rates, the redox electrolyte becomes partially depleted near the electrode surface, inducing concentration polarization and reduced ion-exchange efficiency. Increasing the flow enhances redox mass transfer and maintains a uniform potential distribution, improving ion-removal kinetics. However, at excessive flow (≥60 mL·min−1), the residence time of electrolyte through the 1 mm flow path becomes insufficient for complete redox conversion, while hydraulic losses and mixing effects reduce overall cell utilization. The consistent peak ASRR at 50 mL·min−1 across all voltages suggests that this rate represents an optimal hydrodynamic operating point for the asymmetric chamber design, effectively balancing redox replenishment and ionic selectivity.
CE behavior exhibited a similar bell-shaped profile. CE improved with increasing flow up to 50 mL·min−1, owing to enhanced reactant delivery and suppression of back-diffusion at the ion-exchange interface, then decreased at 60 mL·min−1 due to incomplete charge transfer and potential leakage currents. Interestingly, CE remained consistently higher than 80% for 0.7–1.0 V operation, confirming that faradaic losses and parasitic reactions were minimal within this potential window. The subsequent slight decline at 1.2 V indicates the onset of side processes such as water splitting or co-ion transport through the separator, which reduce coulombic efficiency under high driving force.
SEC showed an inverse correlation with CE and a convex dependence on flow rate. At each voltage, SEC decreased initially as convective transport reduced concentration overpotential, reaching a minimum near 50 mL·min−1, and increased thereafter due to increased pumping work and electrochemical inefficiency at high flow. This convergence of ASRR, CE, and EC around 50 mL·min−1 confirms the robustness of the flow-optimized design and validates the electrochemical stability of the asymmetric 1 mm chamber even under the high-concentration (0.1 M K4/K3[Fe(CN)6]) stress condition.
A complementary analysis at a fixed flow rate of 25 mL·min−1 as shown in Figure 11 further clarifies the voltage-dependent behavior. Increasing the applied potential from 0.4 to 1.2 V monotonically increased ASRR from ~665 to ~1430 mmol·m−2·h−1 due to stronger redox driving force and faster electron-transfer kinetics. However, SEC rose steeply with voltage, highlighting the quadratic dependence of ohmic and activation losses on potential. CE, meanwhile, plateaued near 95~99%, showing that the redox couple maintains high utilization efficiency up to 1.0 V but begins to saturate as additional voltage primarily contributes to non-productive reactions.
Overall, these results establish that optimal desalination performance is achieved within the operational window of 1.0~1.2 V and ~50 mL·min−1, where both ASRR and CE are maximized while energy cost remains moderate. The consistency of these trends across multiple voltages and flow rates validates the electrochemical resilience and mass-transfer uniformity of the asymmetric four-chamber design, confirming its suitability for high-concentration and high-flow operation without significant efficiency degradation.

3.7. Repetabiltiy Evlaution at the Selected Optimal Operating Voltage (1.0 V)

To evaluate the statistical reliability of the desalination performance, three independent 12 h experiments were conducted under identical conditions at the selected optimal operating voltage of 1.0 V. As shown in Figure 17a, the conductivity profiles in both the concentration tank and dilution tank exhibited highly consistent trajectories among the three replicates, indicating stable and reproducible salt transport behavior.
The corresponding current density evolution, presented in Figure 17b, and ASRR profiles, shown in Figure 17c, likewise showed minimal deviation, confirming robust electrochemical operation throughout the entire desalination period. The final performance metrics-ASRR, charge efficiency (CE), and energy consumption (EC) are summarized in Table 2, with relative standard deviations below 2% for all quantities. These results demonstrate excellent repeatability of the system and provide strong statistical confidence in the desalination performance observed at 1.0 V.

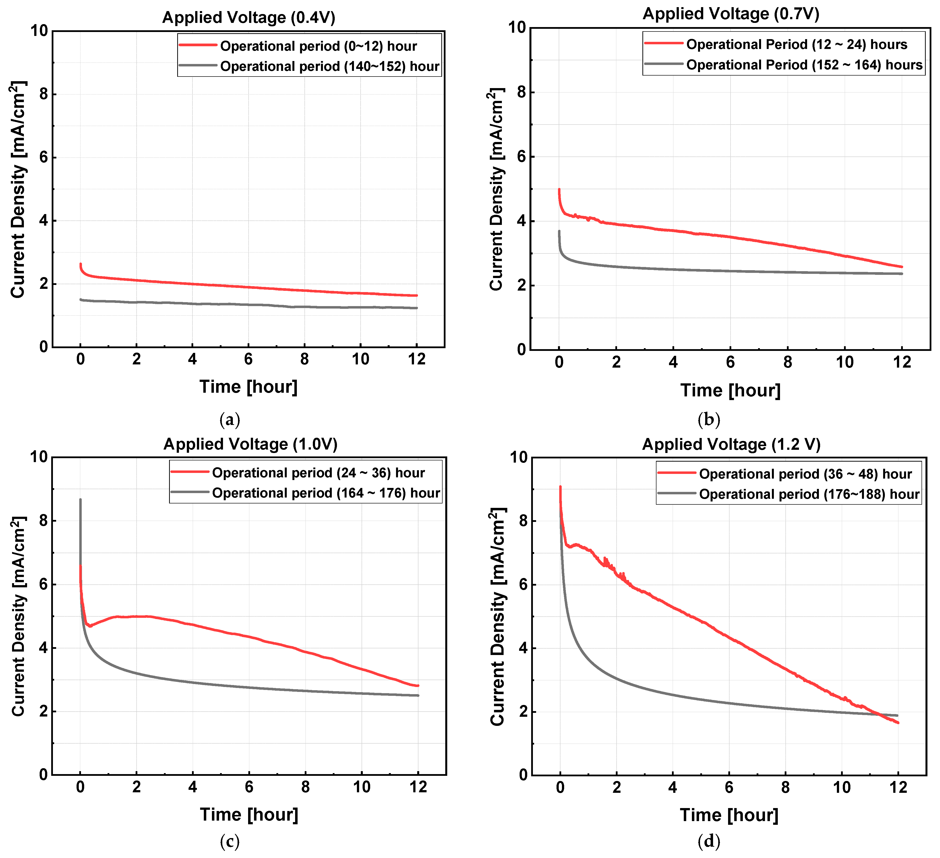
3.8. System Stability and Voltage-Depending Degradation

The long-term operational stability of the RFD cell was evaluated under constant voltages of 0.4, 0.7, 1.0, and 1.2 V, each operated for 12 h during two separate aging periods: an early phase (0–48 h) and middle-aged phase (140–188 h) as shown in Figure 18. In all tests, the current density exhibited an initial transient decay followed by gradual stabilization, consistent with the establishment of steady-state ion transport and redox equilibrium. Over extended operation, the current density progressively decreased but without abrupt fluctuations or noise, confirming the absence of electrical instabilities or mechanical defects such as leakage or short-circuiting.
The degradation behavior was highly dependent on the applied voltage. At 0.4 V, the cell exhibited only a slight decrease in current density, retaining approximately 80–85% of its initial value after prolonged operation, which indicates minimal polarization and negligible side reactions. Increasing the voltage to 0.7 V and 1.0 V led to moderate performance decline, with current retention of about 70–80%, mainly due to gradual interfacial resistance buildup and partial depletion of redox species near the electrode–membrane interfaces. In contrast, the 1.2 V operation showed a continuous, non-saturating current decay throughout the 12 h test, with retention falling to 65–70%. This pronounced degradation behavior is attributed to accelerated electrode passivation, surface oxidation of the graphite felt, and parasitic oxygen-evolution reactions consuming charge without contributing to ion transport. These results confirm that while higher voltages enhance initial reaction kinetics, they also intensify electrochemical aging, defining an optimal operational window of 0.7–1.0 V for stable and energy-efficient long-term desalination performance.
Beyond electrochemical performance, the physical condition of the cell components after 188 h was examined to assess mechanical and chemical durability. As shown in Figure 19a,b, both the bifunctional electrode and stainless-steel current collector maintained their structural integrity with no visible signs of corrosion, delamination, or surface degradation. Similarly, as shown in Figure 19c, the membrane exhibited no observable fouling, discoloration, or mechanical distortion, demonstrating its long-term chemical and mechanical stability under continuous redox cycling.
To further confirm the system’s stability, pH measurements were conducted for both the diluted and concentrated streams after 12 h of operation at 1.0 V Figure 20. The pH values remained near neutral (~7.0) for both outlets, indicating the absence of significant water-splitting reactions. This stability suggests that the electrochemical desalination process proceeded predominantly through redox-mediated ion transfer rather than undesired hydrolysis or gas evolution, ensuring sustained ionic selectivity and energy efficiency.
Overall, the system maintained continuous operation for more than 180 h without noticeable degradation of electrochemical, mechanical, or chemical components. These results demonstrate that the asymmetric four-chamber RFD configuration provides strong long-term operational stability. Although higher voltages enhance desalination kinetics, they accelerate electrode aging and side reactions; thus, an optimal operating voltage range of 0.7–1.0 V is recommended for long-term, energy-efficient, and chemically stable desalination performance.

3.9. Comparative Benchmarking with Prior Work

To assess the performance of the charging-phase-only asymmetric four-chamber RFD system, benchmarking is conducted against several previously reported RFD systems, as shown in Table 3. Some of the key indicators estimated were ASRR, SEC, and CE. Chen et al. (2020) [41] with emphasis on ultralow-energy operation. Although a competitive SEC of 2.14 kJ·mol−1 at 0.1 V and a CE of nearly 100% were achieved, the ASRR was only 114 mmol·m−2·h−1, which likely resulted from the use of a simple 2 mm flat chamber without engineered flow control or geometry optimization. This architecture is beneficial for energy comparison but does not have sufficient thought-provoking for scalable designs [39]. Kim et al. (2023) [40] presented a multi-electrode stack design featuring symmetrically activated carbon electrodes that can be scaled in volume. They achieved an ASRR as high as 852 mmol·m−2·h−1 and an SEC of ~120 kJ·mol−1 at 1.2 V; however, their flow geometry was based on compression, creating an undefined geometry, and exhibiting non-uniform redox flow that limited the removal capacity to implement chamber asymmetry. By comparison, the system uses 2 mm graphite felt electrodes, twice the thickness of the dilute and concentrate chambers, creating a rigid, patterned, and asymmetric structure that promotes balanced redox flow and improved active-species exchange without requiring multistacked electrodes.
Xie et al. (2023) [42] reported a flow-through RFD based on an Fe-DTPA chelated redoxmer, which demonstrated an ASRR of 404.4 mmol·m−2·h−1 and SEC of 28.4 kJ·mol−1 under 1.0 V. Despite the low-voltage capacity of the device, the symmetric device setup with a single AEM-CEM used as a separator and parallel channel configuration hampers the possibility of largely enforcing the unidirectional ion transport, which eventually caused ion dilution and low separation efficiency [41]. Xie et al. (2024) [31] were the first to report potassium 1,1′-bis(sulfonate) ferrocene (1,1′-FcDS) as a very soluble organic redoxmer, realizing an ASRR of 457.5 mmol·m−2·h−1 and an SEC of 179.8 kJ·mol−1 at 2.0 V. Despite its excellent solubility and chemical stability, the system studied was symmetrical, and no use of cell asymmetry or fixed flow gap was implemented. Due to its high operation voltage, side reactions and energy loss were recorded, which limited its potential as an energy-saving high-throughput desalination device.
Compared with previous designs, the system incorporates different chamber thicknesses, a 1 mm flow gap to enhance redox kinetics, and a CEM-AEM-CEM configuration for one-dimensional ion transport. Most importantly, it is high rate working under charge mode alone no discharging process or reverse polarity. Under the conditions of 1.2 V and 25 mL·min−1, the cell reveals the removal rate of 1430.38 mmol·m−2·h−1 with an SEC of 122.06 kJ·mol−1 and a CE of 94.9%, indicating the optimized balance between the productivity and energy cost. Meanwhile, under a much lower voltage of 0.4 V, the system retained a high ASRR of 655.79 mmol·m−2·h−1 and CE of ~99.19% after running for 12 h at 25 mL·min−1, indicating an advantage of less SEC and better long-term stability in comparison with many reported higher-voltage systems.
Building on these benchmarking results, several promising directions emerge for future research. First, integrating full charge–discharge cycling will be essential to evaluate energy recovery and long-term redox reversibility, enabling more comprehensive comparison with closed-loop RFD architectures. Second, exploring alternative redox couples and higher-stability organic or inorganic electrolytes may further reduce specific energy consumption while mitigating parasitic reactions observed at elevated voltages. Third, systematic optimization of membrane configurations, chamber aspect ratios, and flow-field design could enhance ion selectivity and expand the operational window for high-throughput desalination. Finally, scaling the asymmetric four-chamber geometry to larger active areas and extended operating durations will be critical to assess hydraulic uniformity, mechanical durability, and techno-economic viability for practical brackish-water treatment. These research directions will help translate the architectural advantages demonstrated here into advanced, application-ready RFD systems.

4. Conclusions

This work demonstrates an asymmetric four-chamber redox flow desalination cell, designed to enhance ion transport through controlled chamber geometry. The thicker outer redox chambers, together with 2 mm graphite felt electrodes and a 1 mm flow gap, enabled stable operation across 0.4–1.2 V and 30–60 mL·min−1 flow rates. Among the tested conditions, 1.0 V provided the most balanced performance, achieving high salt removal capacity with excellent charge efficiency and moderate energy consumption. These results confirm that geometric asymmetry and hydrodynamic control are effective strategies for improving redox replenishment and desalination efficiency at low voltages. Although further studies—such as statistical replication, full charge–discharge cycling, and scale-up assessment—are required, the present findings establish a solid foundation for advancing asymmetric RFD architectures toward practical water-treatment applications.

Author Contributions

Conceptualization, A.K.K. and J.L.; methodology, A.K.K. and J.L.; software, A.K.K.; validation, J.L., J.B. and A.K.K.; formal analysis, A.K.K.; investigation, A.K.K.; resources, J.B.; data curation, A.K.K.; writing—original draft preparation, A.K.K.; writing—review and editing, J.L. and J.B.; visualization, A.K.K. and J.B.; supervision, J.L.; project administration, J.L.; funding acquisition, J.L. All authors have read and agreed to the published version of the manuscript.

Funding

This research was supported by the ‘Human Resources Program in Energy Technology’ of the Korea Institute of Energy Technology Evaluation and Planning (KETEP), funded by the Ministry of Trade, Industry and Energy (MOTIE), Republic of Korea (No. RS-2024-00398425).

Data Availability Statement

The original contributions presented in this study are included in the article. Further inquiries can be directed to the corresponding author.

Acknowledgments

The authors would like to acknowledge the Korea Institute for Advancement of Technology (KIAT) through a grant funded by the Ministry of Trade, Industry and Energy (MOTIE), Republic of Korea (No. P0024184), and in part by the Human Resources Program in Energy Technology of the Korea Institute of Energy Technology Evaluation and Planning (KETEP), also funded by MOTIE, Republic of Korea (No. RS-2024-00398425).

Conflicts of Interest

The authors declare no conflicts of interest.

Abbreviations

The following abbreviations are used in this manuscript:
RFDRedox flow desalination
CEMCation exchange membrane
AEMAnion exchange membrane
FCNFerri/Ferrocyanide
EISElectrochemical Impedance Spectroscopy
ASSRAverage Salt Removal Rate
SECSpecific Energy Consumption
CECharge Efficiency

References

  1. Kummu, M.; Guillaume, J.H.A.; de Moel, H.; Eisner, S.; Flörke, M.; Porkka, M.; Siebert, S.; Veldkamp, T.I.E.; Ward, P.J. The world’s road to water scarcity: Shortage and stress in the 20th century and pathways towards sustainability. Sci. Rep. 2016, 6, 38495. [Google Scholar] [CrossRef] [PubMed]
  2. He, C.; Liu, Z.; Wu, J.; Pan, X.; Fang, Z.; Li, J.; Bryan, B.A. Future global urban water scarcity and potential solutions. Nat. Commun. 2021, 12, 4667. [Google Scholar] [CrossRef] [PubMed]
  3. Du Plessis, A.; du Plessis, A. Current and future water scarcity and stress. Water as an inescapable risk: Current global water availability, quality and risks with a specific focus on South Africa. In Current and Future Water Scarcity and Stress; Springer: Berlin/Heidelberg, Germany, 2019; pp. 13–25. [Google Scholar]
  4. Ghaffour, N.; Missimer, T.M.; Amy, G.L. Technical review and evaluation of the economics of water desalination: Current and future challenges for better water supply sustainability. Desalination 2013, 309, 197–207. [Google Scholar] [CrossRef]
  5. Gevorkov, L.; Domínguez-García, J.L.; Trilla, L. The Synergy of Renewable Energy and Desalination: An Overview of Current Practices and Future Directions. Appl. Sci. 2025, 15, 1794. [Google Scholar] [CrossRef]
  6. Poirier, K.; Lotfi, M.; Garg, K.; Patchigolla, K.; Anthony, E.; Faisal, N.H.; Mulgundmath, V.; Sahith, J.K.; Jadhawar, P.; Koh, L.; et al. A comprehensive review of pre-and post-treatment approaches to achieve sustainable desalination for different water streams. Desalination 2023, 566, 116944. [Google Scholar] [CrossRef]
  7. Kim, N.; Aguda, A.; Kim, C.; Su, X. Redox-mediated electrodialysis for desalination, environmental remediation, and resource recovery. ACS Energy Lett. 2024, 9, 3887–3912. [Google Scholar] [CrossRef]
  8. Han, M.; Tang, L.; Xiao, Y.; Li, M.; Chen, H.; Songsiriritthigul, P.; Oo, T.Z.; Zaw, M.; Lwin, N.W.; Aung, S.H.; et al. Enhanced continuous desalination performance with iron-complexed malonate redox couples. Environ. Sci. Water Res. Technol. 2023, 9, 2368–2377. [Google Scholar] [CrossRef]
  9. Lin, P.; Yang, T.; Li, Z.; Xia, W.; Xuan, X.; Sun, X.; Alshehri, S.M.; Ahamad, T.; Yamauchi, Y.; Xu, X.; et al. Ion transport channels in redox flow deionization enable ultra-high desalination performance. Nano Energy 2022, 102, 107652. [Google Scholar] [CrossRef]
  10. Beh, E.S.; Benedict, M.A.; Desai, D.; Rivest, J.B. A redox-shuttled electrochemical method for energy-efficient separation of salt from water. ACS Sustain. Chem. Eng. 2019, 7, 13411–13417. [Google Scholar] [CrossRef]
  11. Zhang, C.-M.; Guan, J.; Liu, L.-N.; Wan, Z.-H.; Wang, S.-G.; Sun, X.-F. Impact of molecular size and electrical polarity on fouling of capacitive electrodes during water desalination. Desalination 2021, 500, 114846. [Google Scholar] [CrossRef]
  12. Kim, H.; Kim, S.; Ahn, D.; Kim, C. Improved desalination via cell voltage extension and simultaneous energy recovery of redox flow desalination using organic supporting electrolyte. Sep. Purif. Technol. 2023, 324, 124490. [Google Scholar] [CrossRef]
  13. Mohandass, G.; Krishnan, S.; Kim, T. Experimental analysis and modeling of closed-loop redox flow desalination. J. Electrochem. Soc. 2022, 169, 063521. [Google Scholar] [CrossRef]
  14. Lu, D.; Xu, C.; Wang, Y.; Cai, W. Continuous desalination via redox flow desalination using sodium 4-sulfonatooxy-2, 2, 6, 6-tetramethyl-piperidine-1-oxyl (NaSO4-TEMPO). Chem. Eng. J. 2022, 431, 133917. [Google Scholar] [CrossRef]
  15. Hou, Z.; Chen, X.; Liu, J.; Huang, Z.; Chen, Y.; Zhou, M.; Liu, W.; Zhou, H. Towards a high efficiency and low-cost aqueous redox flow battery: A short review. J. Power Sources 2024, 601, 234242. [Google Scholar] [CrossRef]
  16. Tucci, M.; Viggi, C.C.; Nunez, A.E.; Schievano, A.; Rabaey, K.; Aulenta, F. Empowering electroactive microorganisms for soil remediation: Challenges in the bioelectrochemical removal of petroleum hydrocarbons. Chem. Eng. J. 2021, 419, 130008. [Google Scholar] [CrossRef]
  17. Sun, H.; Hu, F.; Jiang, Z.; Cui, Z.; Ravivarma, M.; Fan, H.; Song, J.; Kong, D. Advancements of non-viologen-based anolytes for pH-neutral aqueous organic redox flow batteries. Chem. Synth. 2023, 3, 33. [Google Scholar] [CrossRef]
  18. Luo, J.; Hu, B.; Debruler, C.; Bi, Y.; Zhao, Y.; Yuan, B.; Hu, M.; Wu, W.; Liu, T.L. Unprecedented capacity and stability of ammonium ferrocyanide catholyte in pH neutral aqueous redox flow batteries. Joule 2019, 3, 149–163. [Google Scholar] [CrossRef]
  19. Chen, X.; Guo, L.; Hui, K.S.; Luo, M.; Tang, D.; Chen, F. Enhanced Redox-Flow Desalination with Polyaniline-Modified Electrode. Langmuir 2025, 41, 9499–9507. [Google Scholar] [CrossRef]
  20. Muñoz-Perales, V.; García-Salaberri, P.Á.; Mularczyk, A.; Ibáñez, S.E.; Vera, M.; Forner-Cuenca, A. Investigating the coupled influence of flow fields and porous electrodes on redox flow battery performance. J. Power Sources 2023, 586, 233420. [Google Scholar] [CrossRef]
  21. Kim, Y.; Jeon, S.; Ahn, D.; Kim, H.; Kim, C.; Lee, Y. Parametric investigation of ferri/ferrocyanide redox flow for performance optimization of redox flow desalination. Desalination 2023, 550, 116406. [Google Scholar] [CrossRef]
  22. ShoShoaib, M.; Vallayil, P.; Jaiswal, N.; Suba, P.I.V.; Sankararaman, S.; Ramanujam, K.; Thangadurai, V. Advances in Redox Flow Batteries–A Comprehensive Review on Inorganic and Organic Electrolytes and Engineering Perspectives. Adv. Energy Mater. 2024, 14, 2400721. [Google Scholar] [CrossRef]
  23. Olabi, A.G.; Allam, M.A.; Abdelkareem, M.A.; Deepa, T.D.; Alami, A.H.; Abbas, Q.; Alkhalidi, A.; Sayed, E.T. Redox flow batteries: Recent development in main components, emerging technologies, diagnostic techniques, large-scale applications, and challenges and barriers. Batteries 2023, 9, 409. [Google Scholar] [CrossRef]
  24. Aluko, A.; Knight, A. A review on vanadium redox flow battery storage systems for large-scale power systems application. IEEE Access 2023, 11, 13773–13793. [Google Scholar] [CrossRef]
  25. Ahn, D.; Kim, S.; Ren, P.; Presser, V.; Kim, C. Redox Flow Battery Desalination for Tetramethylammonium Hydroxide Removal and Recovery from Semiconductor Wastewater. J. Ind. Eng. Chem. 2023, 118, 147–154. [Google Scholar] [CrossRef]
  26. Wang, F.; Xiao, G.; Su, M.; Chu, F. Coupling influences of electrode and flow field geometry on species transport behavior and battery performance for organic redox flow battery. Int. J. Low-Carbon Technol. 2022, 17, 1341–1352. [Google Scholar] [CrossRef]
  27. Muñoz-Perales, V.; van der Heijden, M.; De Haas, V.; Olinga, J.; Vera, M.; Forner-Cuenca, A. Understanding the role of electrode thickness on redox flow cell performance. ChemElectroChem 2024, 11, e202300380. [Google Scholar] [CrossRef]
  28. Huang, Z.; Xuan, L.; Liu, Y.; Zhu, W.; Xie, X.; Lin, T.; Huang, Z.; Wu, J.; Huang, Q.; Deng, Y. Numerical analysis of asymmetric biomimetic flow field structure design for vanadium redox flow battery. Future Batter. 2025, 5, 100017. [Google Scholar] [CrossRef]
  29. Wang, L. Faradaic Materials and Processes for the Electrochemical Separation of Alkali and Alkaline Earth Metal Ions. Doctoral Dissertation, Universität des Saarlandes, Saarbruecken, Germany, 2023. [Google Scholar]
  30. Shan, W.; Zi, Y.; Chen, H.; Li, M.; Luo, M.; Oo, T.Z.; Lwin, N.W.; Aung, S.H.; Tang, D.; Ying, G.; et al. Coupling redox flow desalination with lithium recovery from spent lithium-ion batteries. Water Res. 2024, 252, 121205. [Google Scholar] [CrossRef]
  31. Xie, R.; Schrage, B.R.; Jiang, J.; Ziegler, C.J.; Peng, Z. Ferrocene Bis (Sulfonate) Salt as Redoxmer for Fast and Steady Redox Flow Desalination. Molecules 2024, 29, 2506. [Google Scholar] [CrossRef]
  32. Nara, H.; Mukoyama, D.; Shimizu, R.; Momma, T.; Osaka, T. Systematic analysis of interfacial resistance between the cathode layer and the current collector in lithium-ion batteries by electrochemical impedance spectroscopy. J. Power Sources 2019, 409, 139–147. [Google Scholar] [CrossRef]
  33. Yamada, M.; Watanabe, T.; Gunji, T.; Wu, J.; Matsumoto, F. Review of the design of current collectors for improving the battery performance in lithium-ion and post-lithium-ion batteries. Electrochem 2020, 1, 124–159. [Google Scholar] [CrossRef]
  34. Grigoriev, S.A.; Millet, P.; Volobuev, S.A.; Fateev, V.N. Optimization of porous current collectors for PEM water electrolysers. Int. J. Hydrog. Energy 2009, 34, 4968–4973. [Google Scholar] [CrossRef]
  35. Kim, S.; Kim, N.; Kim, Y.; Park, S.; Cho, K.H. Optimization of a redox flow battery desalination system: Experiment and modeling. J. Water Process Eng. 2024, 64, 105597. [Google Scholar] [CrossRef]
  36. Huang, Z.; Li, K.; Wu, J.; Xiao, Z.; Liu, Y.; Xie, X.; Deng, Y.; Xiong, Z.; Huang, Q.; Liu, Y.; et al. Performance evaluation of vanadium redox flow battery based on asymmetric flow rate design. Electrochim. Acta 2025, 524, 146046. [Google Scholar] [CrossRef]
  37. Liu, Y.; Zhang, B.; Huang, Z.; Xie, X.; Liu, Y.; Xiong, Z.; Luo, Y.; Li, Z.; Wu, J.; Wu, L.; et al. Redox flow batteries: Asymmetric design analysis and research methods. J. Energy Storage 2024, 104, 114455. [Google Scholar] [CrossRef]
  38. Lu, M.-Y.; Yin, C.; Ma, Q.; Su, H.-N.; Lu, P.; Dai, Z.-Q.; Yang, W.-W.; Xu, Q. Flow field structure design for redox flow battery: Developments and Prospects. J. Energy Storage 2024, 95, 112303. [Google Scholar] [CrossRef]
  39. Mohandass, G.; Chen, W.; Krishnan, S.; Kim, T. Asymmetric and symmetric redox flow batteries for energy-efficient, high-recovery water desalination. Environ. Sci. Technol. 2022, 56, 4477–4488. [Google Scholar] [CrossRef]
  40. Kim, H.; Kim, S.; Kim, N.; Su, X.; Kim, C. Multi-electrode scale-up strategy and parametric investigation of redox-flow desalination systems. Desalination 2023, 549, 116350. [Google Scholar] [CrossRef]
  41. Chen, F.; Wang, J.; Feng, C.; Ma, J.; Waite, T.D. Low energy consumption and mechanism study of redox flow desalination. Chem. Eng. J. 2020, 401, 126111. [Google Scholar] [CrossRef]
  42. Xie, R.; Yue, D.; Peng, Z.; Wei, X. Achieving energy-saving, continuous redox flow desalination with iron chelate redoxmers. Energy Mater. Adv. 2023, 4, 9. [Google Scholar] [CrossRef]
  43. Kim, N.; Kim, C.-M.; Park, S.; Park, J.; Cho, K.H.; Kim, Y. Continuous desalination and high-density energy storage: Na metal hybrid redox flow desalination battery. Chem. Eng. J. 2024, 479, 147628. [Google Scholar] [CrossRef]
Figure 1. Exploded schematic of the asymmetric four-chamber redox flow desalination cell, showing the redox, dilute, and concentrate chambers separated by alternating CEM and AEMs with gaskets for sealing.
Figure 1. Exploded schematic of the asymmetric four-chamber redox flow desalination cell, showing the redox, dilute, and concentrate chambers separated by alternating CEM and AEMs with gaskets for sealing.
Energies 18 06529 g001
Figure 2. Schematic and experimental setup of the asymmetric four-chamber redox flow desalination cell. (a) Operational flow paths of the redox, dilute, and concentrate chambers separated by a CEM–AEM–CEM configuration. (b) Photograph of the assembled cell showing redox electrolyte circulation and feedwater loops.
Figure 2. Schematic and experimental setup of the asymmetric four-chamber redox flow desalination cell. (a) Operational flow paths of the redox, dilute, and concentrate chambers separated by a CEM–AEM–CEM configuration. (b) Photograph of the assembled cell showing redox electrolyte circulation and feedwater loops.
Energies 18 06529 g002
Figure 3. Stainless-steel current collectors with attached 2 mm graphite felt electrodes used in the redox chambers.
Figure 3. Stainless-steel current collectors with attached 2 mm graphite felt electrodes used in the redox chambers.
Energies 18 06529 g003
Figure 4. Experimental setup for electrochemical desalination using the asymmetric four-chamber redox flow cell, including the cell assembly, circulation pumps, and external solution reservoirs.
Figure 4. Experimental setup for electrochemical desalination using the asymmetric four-chamber redox flow cell, including the cell assembly, circulation pumps, and external solution reservoirs.
Energies 18 06529 g004
Figure 5. Linear calibration of the conductivity sensor using NaCl solutions (25–250 mM), showing a strong linear fit (y = 0.0915x + 2.0513, R2 = 0.995).
Figure 5. Linear calibration of the conductivity sensor using NaCl solutions (25–250 mM), showing a strong linear fit (y = 0.0915x + 2.0513, R2 = 0.995).
Energies 18 06529 g005
Figure 6. Current–density responses of the asymmetric four-chamber RFD cell at different redox electrolyte flow rates (10–70 mL·min−1) under applied voltages of (a) 0.4 V, (b) 0.7 V, (c) 1.0 V, and (d) 1.2 V.
Figure 6. Current–density responses of the asymmetric four-chamber RFD cell at different redox electrolyte flow rates (10–70 mL·min−1) under applied voltages of (a) 0.4 V, (b) 0.7 V, (c) 1.0 V, and (d) 1.2 V.
Energies 18 06529 g006
Figure 7. Current density of the asymmetric four-chamber RFD cell as a function of applied voltage and electrolyte flow rate (10–70 mL·min−1).
Figure 7. Current density of the asymmetric four-chamber RFD cell as a function of applied voltage and electrolyte flow rate (10–70 mL·min−1).
Energies 18 06529 g007
Figure 8. Nyquist plots of the asymmetric four-chamber RFD cell at electrolyte flow rates of 10–70 mL·min−1.
Figure 8. Nyquist plots of the asymmetric four-chamber RFD cell at electrolyte flow rates of 10–70 mL·min−1.
Energies 18 06529 g008
Figure 9. Conductivity variation in the diluted and concentrated tanks under applied voltages of 0.4–1.2 V during 12 h operation of the asymmetric four-chamber RFD cell.
Figure 9. Conductivity variation in the diluted and concentrated tanks under applied voltages of 0.4–1.2 V during 12 h operation of the asymmetric four-chamber RFD cell.
Energies 18 06529 g009
Figure 10. Current-density evolution of the asymmetric four-chamber RFD cell during 12 h operation at applied voltages of 0.4, 0.7, 1.0, and 1.2 V.
Figure 10. Current-density evolution of the asymmetric four-chamber RFD cell during 12 h operation at applied voltages of 0.4, 0.7, 1.0, and 1.2 V.
Energies 18 06529 g010
Figure 11. Time-dependent ASRR of the asymmetric four-chamber RFD cell under applied voltages of 0.4, 0.7, 1.0, and 1.2 V during 12 h operation.
Figure 11. Time-dependent ASRR of the asymmetric four-chamber RFD cell under applied voltages of 0.4, 0.7, 1.0, and 1.2 V during 12 h operation.
Energies 18 06529 g011
Figure 12. ASRR, SEC, and CE of the asymmetric four-chamber RFD cell at applied voltages of 0.4–1.2 V under a fixed redox flow rate of 25 mL·min−1.
Figure 12. ASRR, SEC, and CE of the asymmetric four-chamber RFD cell at applied voltages of 0.4–1.2 V under a fixed redox flow rate of 25 mL·min−1.
Energies 18 06529 g012
Figure 13. Normalized conductivity variation in the diluted and concentrated tanks under applied voltages of 0.7 V and 1.0 V during 12 h operation.
Figure 13. Normalized conductivity variation in the diluted and concentrated tanks under applied voltages of 0.7 V and 1.0 V during 12 h operation.
Energies 18 06529 g013
Figure 14. Effect of electrolyte flow rate and applied voltage on the desalination performance of the asymmetric four-chamber RFD cell. (ac) Current-density profiles at applied voltages of 0.7, 1.0, and 1.2 V for flow rates of 30–60 mL·min−1. (d) ASRR as a function of flow rate under different applied voltages.
Figure 14. Effect of electrolyte flow rate and applied voltage on the desalination performance of the asymmetric four-chamber RFD cell. (ac) Current-density profiles at applied voltages of 0.7, 1.0, and 1.2 V for flow rates of 30–60 mL·min−1. (d) ASRR as a function of flow rate under different applied voltages.
Energies 18 06529 g014
Figure 15. Specific energy consumption (SEC) of the asymmetric four-chamber RFD cell at electrolyte flow rates of 30–60 mL·min−1 under applied voltages of 0.7, 1.0, and 1.2 V.
Figure 15. Specific energy consumption (SEC) of the asymmetric four-chamber RFD cell at electrolyte flow rates of 30–60 mL·min−1 under applied voltages of 0.7, 1.0, and 1.2 V.
Energies 18 06529 g015
Figure 16. Effect of electrolyte flow rate on ASRR, SEC, and CE of the asymmetric four-chamber RFD cell. (ac) Performance metrics at flow rates of 30–60 mL·min−1 under applied voltages of 0.7, 1.0, and 1.2 V.
Figure 16. Effect of electrolyte flow rate on ASRR, SEC, and CE of the asymmetric four-chamber RFD cell. (ac) Performance metrics at flow rates of 30–60 mL·min−1 under applied voltages of 0.7, 1.0, and 1.2 V.
Energies 18 06529 g016
Figure 17. Repeatability results at the optimal operating voltage (1.0 V) during 12 h desalination: (a) conductivity profile with replicate curves and mean values, (b) ASRR profiles for three replicates, and (c) current density profiles for three replicates.
Figure 17. Repeatability results at the optimal operating voltage (1.0 V) during 12 h desalination: (a) conductivity profile with replicate curves and mean values, (b) ASRR profiles for three replicates, and (c) current density profiles for three replicates.
Energies 18 06529 g017
Figure 18. Long-term operational stability of the asymmetric four-chamber RFD cell. (ad) Current-density profiles during initial operation and after 140–188 h of cumulative cycling at applied voltages of 0.4, 0.7, 1.0, and 1.2 V.
Figure 18. Long-term operational stability of the asymmetric four-chamber RFD cell. (ad) Current-density profiles during initial operation and after 140–188 h of cumulative cycling at applied voltages of 0.4, 0.7, 1.0, and 1.2 V.
Energies 18 06529 g018
Figure 19. Photographs of cell components after long-term operation: (a) bifunctional electrode on stainless-steel current collector, (b) stainless-steel current collector after electrode removal, and (c) ion-exchange membrane.
Figure 19. Photographs of cell components after long-term operation: (a) bifunctional electrode on stainless-steel current collector, (b) stainless-steel current collector after electrode removal, and (c) ion-exchange membrane.
Energies 18 06529 g019
Figure 20. pH measurements of the diluted and concentrated streams after 12 h of electrochemical desalination at 1.0 V: (a) diluted stream (pH 7.03) and (b) concentrated stream (pH 7.09).
Figure 20. pH measurements of the diluted and concentrated streams after 12 h of electrochemical desalination at 1.0 V: (a) diluted stream (pH 7.03) and (b) concentrated stream (pH 7.09).
Energies 18 06529 g020
Table 1. Summary of uncertainty components for conductivity measurements.
Table 1. Summary of uncertainty components for conductivity measurements.
Source of UncertaintyRelative Error (%)
Sensor calibration trueness (MAPE)3.72
Measurement repeatability (RSD)4.75
Combined relative uncertainty (Quadrature) ( 3.72 % ) 2 + ( 4.75 % ) 2 ≈ 6.03
Table 2. Repeatability of ASRR, CE, and EC under 1.0 V (three independent runs).
Table 2. Repeatability of ASRR, CE, and EC under 1.0 V (three independent runs).
MetricReplicate 1Replicate 2Replicate 3Mean ± SD% RSD
ASRR (mmol·m−2·h−1)1225.951213.151243.801227.63 ± 15.401.25%
CE (%)96.7495.6893.2795.23 ± 1.781.87%
EC (kJ·mol−1)99.74101.17103.62101.51 ± 1.961.93%
Table 3. Comparison of Previous Summary Study Report.
Table 3. Comparison of Previous Summary Study Report.
TechnologyElectrolyte MaterialsInitial NaCl
(ppm)
Applied Voltage/CurrentFlow Rate (mL·min−1)ASSR
(mmol·m−2·h−1)
Energy Consumption (kJ·mol−1)Ref.
RFD50 mM
Fe(CN)63−/4−
30001.11 mA·cm−2no data408.35133.91[41]
RFDNa4Fe(CN)6/Na3Fe(CN)629221.2 Vno data852120[40]
RFD50 mM/50 mM
(Fe3+/2+—DTPA)
29221.0 Vno data404.428.44[42]
RFDNa4Fe(CN)6/Na3Fe(CN)635,7303.06 Vno data239.699.36[43]
RFDPotassium 1,1′-bis(sulfonate) ferrocene (1,1′-FcDS)29222 V25 mL·min−1457.5178.16 [31]
RFD0.1 M K3Fe(CN)6/K4Fe(CN)6)11,5000.4 V25665.7949338.99331This study
0.7 V25857.970668.8634This study
1.0 V251225.94599.73788This study
1.2 V251430.381122.06This study
Disclaimer/Publisher’s Note: The statements, opinions and data contained in all publications are solely those of the individual author(s) and contributor(s) and not of MDPI and/or the editor(s). MDPI and/or the editor(s) disclaim responsibility for any injury to people or property resulting from any ideas, methods, instructions or products referred to in the content.

Share and Cite

MDPI and ACS Style

Ko, A.K.; Bae, J.; Lee, J. Design and Experimental Validation of an Asymmetric Four-Chamber Redox Flow Desalination Cell for Energy-Efficient Ion Removal. Energies 2025, 18, 6529. https://doi.org/10.3390/en18246529

AMA Style

Ko AK, Bae J, Lee J. Design and Experimental Validation of an Asymmetric Four-Chamber Redox Flow Desalination Cell for Energy-Efficient Ion Removal. Energies. 2025; 18(24):6529. https://doi.org/10.3390/en18246529

Chicago/Turabian Style

Ko, Aung Ko, Joohan Bae, and Jaeyoung Lee. 2025. "Design and Experimental Validation of an Asymmetric Four-Chamber Redox Flow Desalination Cell for Energy-Efficient Ion Removal" Energies 18, no. 24: 6529. https://doi.org/10.3390/en18246529

APA Style

Ko, A. K., Bae, J., & Lee, J. (2025). Design and Experimental Validation of an Asymmetric Four-Chamber Redox Flow Desalination Cell for Energy-Efficient Ion Removal. Energies, 18(24), 6529. https://doi.org/10.3390/en18246529

Note that from the first issue of 2016, this journal uses article numbers instead of page numbers. See further details here.

Article Metrics

Back to TopTop