Use of a Cobalt-Based Redox Electrolyte in Hybrid Electrochromic Devices
Abstract
1. Introduction
2. Materials and Methods
2.1. Preparation of Tungsten Oxide (WO3) Thin Films
2.2. Fabrication of Devices
2.2.1. Fabrication of Battery-like Electrochromic Devices (b-ECDs)
2.2.2. Fabrication of Hybrid Electrochromic Devices (h-ECDs)
2.3. Characterization Methods
2.3.1. Optical and Electrochemical Characterization of WO3 Thin Films
2.3.2. Optical and Electrochemical Characterization of ECDs
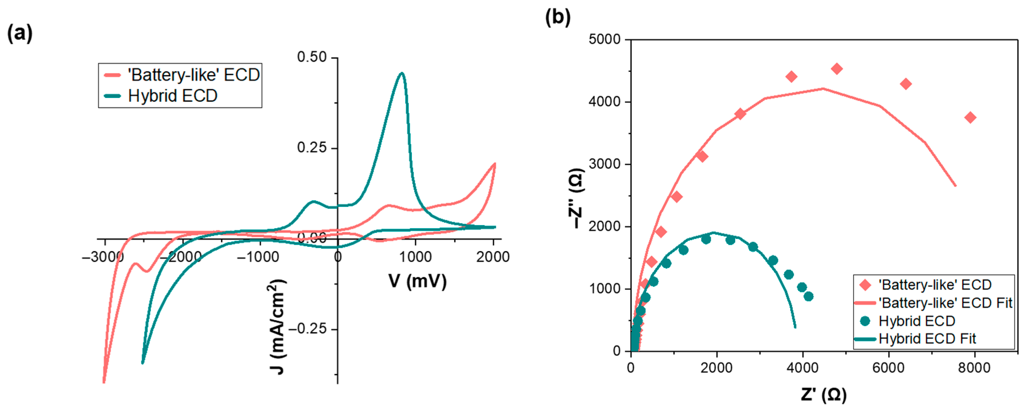
3. Results and Discussion
4. Conclusions
Supplementary Materials
Author Contributions
Funding
Data Availability Statement
Conflicts of Interest
References
- Energy Performance of Buildings Directive. Available online: https://energy.ec.europa.eu/topics/energy-efficiency/energy-performance-buildings/energy-performance-buildings-directive_en (accessed on 25 September 2025).
- Detsi, M.; Atsonios, I.; Mandilaras, I.; Founti, M. Effect of smart glazing with electrochromic and thermochromic layers on building’s energy efficiency and cost. Energy Build. 2024, 319, 114553. [Google Scholar] [CrossRef]
- Baetens, R.; Jelle, B.P.; Gustavsen, A. Properties, requirements and possibilities of smart windows for dynamic daylight and solar energy control in buildings: A state-of-the-art review. Sol. Energy Mater. Sol. Cells 2010, 94, 87–105. [Google Scholar] [CrossRef]
- Fernandes, L.L.; Lee, E.S.; Ward, G. Lighting energy savings potential of split-pane electrochromic windows controlled for daylighting with visual comfort. Energy Build. 2013, 61, 8–20. [Google Scholar] [CrossRef]
- Cannavale, A.; Ayr, U.; Fiorito, F.; Martellotta, F. Smart Electrochromic Windows to Enhance Building Energy Efficiency and Visual Comfort. Energies 2020, 13, 1449. [Google Scholar] [CrossRef]
- Detsi, M.; Manolitsis, A.; Atsonios, I.; Mandilaras, I.; Founti, M. Energy Savings in an Office Building with High WWR Using Glazing Systems Combining Thermochromic and Electrochromic Layers. Energies 2020, 13, 3020. [Google Scholar] [CrossRef]
- Park, B.R.; Hong, J.; Choi, E.J.; Choi, Y.J.; Lee, C.; Moon, J.W. Improvement in Energy Performance of Building Envelope Incorporating Electrochromic Windows (ECWs). Energies 2019, 12, 1181. [Google Scholar] [CrossRef]
- Niklaus, L.; Schott, M.; Posset, U.; Giffin, G.A. Redox Electrolytes for Hybrid Type II Electrochromic Devices with Fe−MEPE or Ni1−xO as Electrode Materials. ChemElectroChem 2020, 7, 3274–3283. [Google Scholar] [CrossRef]
- Bae, J.; Kim, H.; Moon, H.C.; Kim, S.H. Low-voltage, simple WO3-based electrochromic devices by directly incorporating an anodic species into the electrolyte. J. Mater. Chem. C 2016, 4, 10887–10892. [Google Scholar] [CrossRef]
- Giannuzzi, R.; Prontera, C.T.; Primiceri, V.; Capodilupo, A.L.; Pugliese, M.; Mariano, F.; Maggiore, A.; Gigli, G.; Maiorano, V. Hybrid electrochromic device with transparent electrolyte. Sol. Energy Mater. Sol. Cells 2023, 257, 112346. [Google Scholar] [CrossRef]
- Georg, A.; Georg, A. Electrochromic device with a redox electrolyte. Sol. Energy Mater. Sol. Cells 2009, 93, 1329–1337. [Google Scholar] [CrossRef]
- Bogati, S.; Georg, A.; Graf, W. Sputtered Si3N4 and SiO2 electron barrier layer between a redox electrolyte and the WO3 film in electrochromic devices. Sol. Energy Mater. Sol. Cells 2017, 159, 395–404. [Google Scholar] [CrossRef]
- Bogati, S.; Georg, A.; Jerg, C.; Graf, W. Tetramethylthiourea (TMTU) as an alternative redox mediator for electrochromic devices. Sol. Energy Mater. Sol. Cells 2016, 157, 454–461. [Google Scholar] [CrossRef]
- Čolović, M.; Hajzeri, M.; Tramšek, M.; Orel, B.; Surca, A.K. In situ Raman and UV–visible study of hybrid electrochromic devices with bis end-capped designed trialkoxysilyl-functionalized ionic liquid based electrolytes. Sol. Energy Mater. Sol. Cells 2021, 220, 110863. [Google Scholar] [CrossRef]
- Wang, S.; Wang, Y.; Wang, T.; Han, Z.; Cho, C.; Kim, E. Charge-Balancing Redox Mediators for High Color Contrast Electrochromism on Polyoxometalates. Adv. Mater. Technol. 2020, 5, 2000326. [Google Scholar] [CrossRef]
- Syrrokostas, G.; Tsamoglou, S.; Leftheriotis, G. Limitations Imposed Using an Iodide/Triiodide Redox Couple in Solar-Powered Electrochromic Devices. Energies 2023, 16, 7084. [Google Scholar] [CrossRef]
- Wang, Z.; Shen, K.; Xie, H.; Xue, B.; Zheng, J.; Xu, C. Robust non-complementary electrochromic device based on WO3 film and CoS catalytic counter electrode with TMTU/TMFDS2+ redox couple. Chem. Eng. J. 2021, 426, 131314. [Google Scholar] [CrossRef]
- Hočevar, M.; Krašovec, U.O. Solid electrolyte containing a colorless redox couple for electrochromic device. Sol. Energy Mater. Sol. Cells 2019, 196, 9–15. [Google Scholar] [CrossRef]
- Ke, Y.; Wang, Z.; Xie, H.; Khalifa, M.A.; Zheng, J.; Xu, C. Long-Term Stable Complementary Electrochromic Device Based on WO3 Working Electrode and NiO-Pt Counter Electrode. Membranes 2023, 13, 601. [Google Scholar] [CrossRef]
- Kim, Y.M.; Li, X.; Kim, K.-W.; Kim, S.H.; Moon, H.C. Tetrathiafulvalene: Effective organic anodic materials for WO3-based electrochromic devices. RSC Adv. 2019, 9, 19450–19456. [Google Scholar] [CrossRef] [PubMed]
- Song, J.; Huang, B.; Xu, Y.; Yang, K.; Li, Y.; Mu, Y.; Du, L.; Yun, S.; Kang, L. A Low Driving-Voltage Hybrid-Electrolyte Electrochromic Window with Only Ferreous Redox Couples. Nanomaterials 2023, 13, 213. [Google Scholar] [CrossRef]
- Granqvist, C.G. Electrochromics for smart windows: Oxide-based thin films and devices. Thin Solid Films 2014, 564, 1–38. [Google Scholar] [CrossRef]
- Tan, F.; Zhou, J.; Guo, Z.; Zhang, C.; Yu, S.; Yang, Y.; Xie, Y.; Cao, X.; Wu, X.; Gao, X.; et al. Research Progress on Electrochromic Properties of WO3 Thin Films. Coatings 2025, 15, 1310. [Google Scholar] [CrossRef]
- Pinto, O.M.; Toledo, R.P.; da Silva Barros, H.E.; Gonçalves, R.A.; Nunes, R.S.; Joshi, N.; Berengue, O.M. Advances and Challenges in WO3 Nanostructures’ Synthesis. Processes 2024, 12, 2605. [Google Scholar] [CrossRef]
- Yao, Y.; Sang, D.; Zou, L.; Wang, Q.; Liu, C. A Review on the Properties and Applications of WO3 Nanostructure−Based Optical and Electronic Devices. Nanomaterials 2021, 11, 2136. [Google Scholar] [CrossRef]
- Huang, Q.; Dong, G.; Xiao, Y.; Diao, X. Electrochemical studies of silicon nitride electron blocking layer for all-solid-state inorganic electrochromic device. Electrochim. Acta 2017, 252, 331–337. [Google Scholar] [CrossRef]
- Dokouzis, A.; Theodosiou, K.; Leftheriotis, G. Assessment of the long-term performance of partly covered photoelectrochromic devices under insolation and in storage. Sol. Energy Mater. Sol. Cells 2018, 182, 281–293. [Google Scholar] [CrossRef]
- Dokouzis, A.; Zhang, J.; Skarlatos, D.; Leftheriotis, G. Electrochemical evaluation of barrier layers for photoelectrochromic devices. Electrochim. Acta 2023, 464, 142941. [Google Scholar] [CrossRef]
- Bella, F.; Galliano, S.; Gerbaldi, C.; Viscardi, G. Cobalt-Based Electrolytes for Dye-Sensitized Solar Cells: Recent Advances towards Stable Devices. Energies 2016, 9, 384. [Google Scholar] [CrossRef]
- Giribabu, L.; Bolligarla, R.; Panigrahi, M. Recent Advances of Cobalt (II/III) Redox Couples for Dye-Sensitized Solar Cell Applications. Chem. Rec. 2015, 15, 760–788. [Google Scholar] [CrossRef]
- Animasahun, L.O.; Taleatu, B.A.; Adewinbi, S.A.; Busari, R.A.; Omotoso, E.; Adewumi, O.E.; Fasasi, A.Y. Rapid synthesis and characterizations of defect-enhanced WO3-δ thin film electrode for effective energy storage application in asymmetric supercapacitor devices. Mater. Res. Bull. 2023, 167, 112378. [Google Scholar] [CrossRef]
- Licht, F.; Davis, M.A.; Andreas, H.A. Charge redistribution and electrode history impact galvanostatic charging/discharging and associated figures of merit. J. Power Sources 2020, 446, 227354. [Google Scholar] [CrossRef]
- Kim, J.; Choi, S.; Kim, S.; Liu, W.; Wang, M.; Diao, X.; Lee, C.S. Surface morphology engineering of WO3 films for increasing Li ion insertion area in electrochromic supercapacitors (ECSCs). Electrochim. Acta 2023, 472, 143394. [Google Scholar] [CrossRef]
- Yang, P.; Sun, P.; Du, L.; Liang, Z.; Xie, W.; Cai, X.; Huang, L.; Tan, S.; Mai, W. Quantitative Analysis of Charge Storage Process of Tungsten Oxide that Combines Pseudocapacitive and Electrochromic Properties. J. Phys. Chem. C 2015, 119, 16483–16489. [Google Scholar] [CrossRef]
- Syrrokostas, G.; Leftheriotis, G.; Yianoulis, P. Performance and stability of ‘partly covered’ photoelectrochromic devices for energy saving and power production. Solid State Ion. 2015, 277, 11–22. [Google Scholar] [CrossRef]
- Leftheriotis, G.; Papaefthimiou, S.; Yianoulis, P. Dependence of the estimated diffusion coefficient of LixWO3 films on the scan rate of cyclic voltammetry experiments. Solid State Ion. 2007, 178, 259–263. [Google Scholar] [CrossRef]
- Srivastava, A.K.; Deepa, M.; Singh, S.; Kishore, R.; Agnihotry, S.A. Microstructural and electrochromic characteristics of electrodeposited and annealed WO3 films. Solid State Ion. 2005, 176, 1161–1168. [Google Scholar] [CrossRef]
- Deepa, M.; Saxena, T.K.; Singh, D.P.; Sood, K.N.; Agnihotry, S.A. Spin coated versus dip coated electrochromic tungsten oxide films: Structure, morphology, optical and electrochemical properties. Electrochim. Acta 2006, 51, 1974–1989. [Google Scholar] [CrossRef]
- Granqvist, C.G. Handbook of Inorganic Electrochromic Materials; Elsevier: Amsterdam, The Netherlands, 2002. [Google Scholar]
- Pandit, B.; Dubal, D.P.; Gómez-Romero, P.; Kale, B.B.; Sankapal, B.R. V2O5 encapsulated MWCNTs in 2D surface architecture: Complete solid-state bendable highly stabilized energy efficient supercapacitor device. Sci. Rep. 2017, 7, 43430. [Google Scholar] [CrossRef] [PubMed]
- Wei, C.-C.; Lin, P.-H.; Hsu, C.-E.; Jian, W.-B.; Lin, Y.-L.; Chen, J.-T.; Banerjee, S.; Chu, C.-W.; Khedulkar, A.P.; Doong, R.-A.; et al. Boosting areal capacitance in WO3-based supercapacitor materials by stacking nanoporous composite films. Cell Rep. Phys. Sci. 2024, 5, 101836. [Google Scholar] [CrossRef]
- He, X.; Li, X.; Bi, Z.; Chen, Y.; Xu, X.; Gao, X. Dual-functional electrochromic and energy-storage electrodes based on tungsten trioxide nanostructures. J. Solid State Electrochem. 2018, 22, 2579–2586. [Google Scholar] [CrossRef]
- Xie, S.; Bi, Z.; Chen, Y.; He, X.; Guo, X.; Gao, X.; Li, X. Electrodeposited Mo-doped WO3 film with large optical modulation and high areal capacitance toward electrochromic energy-storage applications. Appl. Surf. Sci. 2018, 459, 774–781. [Google Scholar] [CrossRef]
- Bi, Z.; Li, X.; He, X.; Chen, Y.; Xu, X.; Gao, X. Integrated electrochromism and energy storage applications based on tungsten trioxide monohydrate nanosheets by novel one-step low temperature synthesis. Sol. Energy Mater. Sol. Cells 2018, 183, 59–65. [Google Scholar] [CrossRef]
- Zhao, L.; Huang, X.; Lin, G.; Peng, Y.; Chao, J.; Yi, L.; Huang, X.; Li, C.; Liao, W. Structure engineering in hexagonal tungsten trioxide/oriented titanium dioxide nanorods arrays with high performances for multi-color electrochromic energy storage device applications. Chem. Eng. J. 2021, 420, 129871. [Google Scholar] [CrossRef]
- Wang, Y.; Shen, G.; Tang, T.; Zeng, J.; Sagar, R.U.R.; Qi, X.; Liang, T. Construction of doped-rare earth (Ce, Eu, Sm, Gd) WO3 porous nanofilm for superior electrochromic and energy storage windows. Electrochim. Acta 2022, 412, 140099. [Google Scholar] [CrossRef]
- Wang, Y.; Zeng, J.; Zhou, Z.; Shen, G.; Tang, T.; Sagar, R.U.R.; Qi, X. Growth of a high-performance WO3 nanofilm directly on a polydopamine-modified ITO electrode for electrochromism and power storage applications. Appl. Surf. Sci. 2022, 573, 151603. [Google Scholar] [CrossRef]
- Yin, Y.; Zhu, Y.; Liao, P.; Yuan, X.; Jia, J.; Lan, C.; Li, C. Co-sputtering construction of Gd-doped WO3 nano-stalagmites film for bi-funcional electrochromic and energy storage applications. Chem. Eng. J. 2024, 487, 150615. [Google Scholar] [CrossRef]
- Liu, Y.; Jiang, S.P.; Shao, Z. Intercalation pseudocapacitance in electrochemical energy storage: Recent advances in fundamental understanding and materials development. Mater. Today Adv. 2020, 7, 100072. [Google Scholar] [CrossRef]
- Deebansok, S.; Deng, J.; Le Calvez, E.; Zhu, Y.; Crosnier, O.; Brousse, T.; Fontaine, O. Capacitive tendency concept alongside supervised machine-learning toward classifying electrochemical behavior of battery and pseudocapacitor materials. Nat. Commun. 2024, 15, 1133. [Google Scholar] [CrossRef]
- Liu, L.; Wang, T.; He, Z.; Yi, Y.; Wang, M.; Luo, Z.; Liu, Q.; Huang, J.; Zhong, X.; Du, K.; et al. All-solid-state electrochromic Li-ion hybrid supercapacitors for intelligent and wide-temperature energy storage. Chem. Eng. J. 2021, 414, 128892. [Google Scholar] [CrossRef]
- Nasreen, F.; Anwar, A.W.; Majeed, A.; Ahmad, M.A.; Ilyas, U.; Ahmad, F. High performance and remarkable cyclic stability of a nanostructured RGO–CNT-WO3 supercapacitor electrode. RSC Adv. 2022, 12, 11293–11302. [Google Scholar] [CrossRef] [PubMed]
- Chodankar, N.R.; Pham, H.D.; Nanjundan, A.K.; Fernando, J.F.S.; Jayaramulu, K.; Golberg, D.; Han, Y.; Dubal, D.P. True Meaning of Pseudocapacitors and Their Performance Metrics: Asymmetric versus Hybrid Supercapacitors. Small 2020, 16, 2002806. [Google Scholar] [CrossRef] [PubMed]
- Kim, K.-W.; Yun, T.Y.; You, S.-H.; Tang, X.; Lee, J.; Seo, Y.; Kim, Y.-T.; Kim, S.H.; Moon, H.C.; Kim, J.K. Extremely fast electrochromic supercapacitors based on mesoporous WO3 prepared by an evaporation-induced self-assembly. NPG Asia Mater. 2020, 12, 84. [Google Scholar] [CrossRef]
- Mineo, G.; Scuderi, M.; Escobar, G.P.; Mirabella, S.; Bruno, E. Engineering of Nanostructured WO3 Powders for Asymmetric Supercapacitors. Nanomaterials 2022, 12, 4168. [Google Scholar] [CrossRef]
- Giannuzzi, R.; Scarfiello, R.; Sibillano, T.; Nobile, C.; Grillo, V.; Giannini, C.; Cozzoli, P.D.; Manca, M. From capacitance-controlled to diffusion-controlled electrochromism in one-dimensional shape-tailored tungsten oxide nanocrystals. Nano Energy 2017, 41, 634–645. [Google Scholar] [CrossRef]
- Dokouzis, A.; Bella, F.; Theodosiou, K.; Gerbaldi, C.; Leftheriotis, G. Photoelectrochromic devices with cobalt redox electrolytes. Mater. Today Energy 2020, 15, 100365. [Google Scholar] [CrossRef]
- Sheng, K.; Xu, F.; Shen, K.; Zheng, J.; Xu, C. Electrocatalytic PProDOT–Me2 counter electrode for a Br−/Br3− redox couple in a WO3-based electrochromic device. Electrochem. Commun. 2020, 111, 106646. [Google Scholar] [CrossRef]
- Leftheriotis, G.; Papaefthimiou, S.; Yianoulis, P.; Siokou, A.; Kefalas, D. Structural and electrochemical properties of opaque sol-gel deposited WO3 layers. Appl. Surf. Sci. 2003, 218, 276–281. [Google Scholar] [CrossRef]
- Speckmann, F.-W.; Bintz, S.; Groninger, M.L.; Birke, K.P. Alkaline Electrolysis with Overpotential-Reducing Current Profiles. J. Electrochem. Soc. 2018, 165, F456–F462. [Google Scholar] [CrossRef]
- Kondalkar, V.V.; Mali, S.S.; Kharade, R.R.; Khot, K.V.; Patil, P.B.; Mane, R.M.; Choudhury, S.; Patil, P.S.; Hong, C.K.; Kim, J.H.; et al. High performing smart electrochromic device based on honeycomb nanostructured h-WO3 thin films: Hydrothermal assisted synthesis. Dalton Trans. 2015, 44, 2788–2800. [Google Scholar] [CrossRef]








| Bias Potential (V) | Switching Time | CR | ΔOD at 630 nm | Charge Density (mC/cm2) | Energy Density (μWh/cm2) | |
|---|---|---|---|---|---|---|
| b-ECDs | −3/+2.5 | 3 min/10 min | 3.5:1 | 0.8 | 11.8/10.4 | 9.8/6.9 |
| h-ECDs | −2.5/+0.5 | 10 s/1.5 min | 7:1 | 1.2 | 13.31/25.1 | 9.2/3.5 |
Disclaimer/Publisher’s Note: The statements, opinions and data contained in all publications are solely those of the individual author(s) and contributor(s) and not of MDPI and/or the editor(s). MDPI and/or the editor(s) disclaim responsibility for any injury to people or property resulting from any ideas, methods, instructions or products referred to in the content. |
© 2025 by the authors. Licensee MDPI, Basel, Switzerland. This article is an open access article distributed under the terms and conditions of the Creative Commons Attribution (CC BY) license.
Share and Cite
Merkoulidi, E.; Syrrokostas, G. Use of a Cobalt-Based Redox Electrolyte in Hybrid Electrochromic Devices. Energies 2026, 19, 68. https://doi.org/10.3390/en19010068
Merkoulidi E, Syrrokostas G. Use of a Cobalt-Based Redox Electrolyte in Hybrid Electrochromic Devices. Energies. 2026; 19(1):68. https://doi.org/10.3390/en19010068
Chicago/Turabian StyleMerkoulidi, Eleftheria, and George Syrrokostas. 2026. "Use of a Cobalt-Based Redox Electrolyte in Hybrid Electrochromic Devices" Energies 19, no. 1: 68. https://doi.org/10.3390/en19010068
APA StyleMerkoulidi, E., & Syrrokostas, G. (2026). Use of a Cobalt-Based Redox Electrolyte in Hybrid Electrochromic Devices. Energies, 19(1), 68. https://doi.org/10.3390/en19010068

