Sign in to use this feature.

Years

Between: -

Subjects

remove_circle_outline
remove_circle_outline
remove_circle_outline
remove_circle_outline
remove_circle_outline

Journals

Article Types

Countries / Regions

Search Results (41)

Search Parameters:
Keywords = diglycoside

Order results
Result details
Results per page
Select all
Export citation of selected articles as:
17 pages, 12441 KB  
Article
Characterization of a Thermophilic and Acidophilic GH78 α-L-Rhamnosidase from Thermotoga sp. 2812B Capable of Efficiently Hydrolyzing a Variety of Natural Flavonoid Diglycosides
by Bin-Chun Li, Weijuan Dong, Bingbing Wu, Yanlong Liu, Na Han and Guo-Bin Ding
Biomolecules 2026, 16(1), 68; https://doi.org/10.3390/biom16010068 - 31 Dec 2025
Cited by 1 | Viewed by 472
Abstract
α-L-Rhamnosidase can specifically hydrolyze plant natural glycosides and holds significant potential for biocatalytic applications in functional foods, healthy products, and pharmaceutical industries. Herein, a novel thermophilic and acidophilic α-L-rhamnosidase TsRha from Thermotoga sp. 2812B belonging to glycoside hydrolase family 78 was identified by [...] Read more.
α-L-Rhamnosidase can specifically hydrolyze plant natural glycosides and holds significant potential for biocatalytic applications in functional foods, healthy products, and pharmaceutical industries. Herein, a novel thermophilic and acidophilic α-L-rhamnosidase TsRha from Thermotoga sp. 2812B belonging to glycoside hydrolase family 78 was identified by genome mining and comprehensively characterized by bioinformatics, computer-aided structural analysis, and biochemical characterization. TsRha possesses a domain architecture comprising one catalytic (α/α)6-barrel domain and four β-sheet domains. TsRha displayed optimal activity at 90 °C and pH 5.0, remarkable thermostability at 80 °C, and considerable tolerance to organic solvents. TsRha exhibited broad substrate selectivity and might efficiently hydrolyze a series of natural flavonoid glycosides with various glycosidic bonds (α-1, α-1, 2, α-1, 6) from different aglycone subgroups (flavanone, flavone, flavonol, and dihydrochalcone). Moreover, it demonstrated high conversion efficiencies toward a variety of natural flavonoid diglycosides rutin, naringin, naringin dihydrochalcone, hesperidin, and troxerutin, achieving ≥99.1% conversion within 20~100 min. The excellent properties including high activity, thermophilicity, acidophilicity, good thermostability, broad substrate spectrum will make the α-L-rhamnosidase TsRha a promising biocatalyst for the efficient production of rare and high-value flavonoid glucosides with improved bioavailability and bioactivity. Full article
(This article belongs to the Section Enzymology)
Show Figures

Figure 1

23 pages, 5999 KB  
Article
The Neuroprotective Effects of Cyanidin Derivatives on AlCl3-Induced Zebrafish Model of Alzheimer’s Disease
by Yun Wu, Yidan Gao, Fangfang Tie, Ruinan Wang, Na Hu, Qi Dong, Chunxiang Fu and Honglun Wang
Molecules 2025, 30(18), 3686; https://doi.org/10.3390/molecules30183686 - 10 Sep 2025
Cited by 1 | Viewed by 1683
Abstract
Alzheimer’s disease (AD) is characterized by cholinergic deficits and neuronal damage, making acetylcholinesterase (AChE) a crucial therapeutic target. Cyanidin derivatives, sourced from the diet as anthocyanins, exhibit neuroprotective properties, yet comparative investigations are scarce. This research explored the neuroprotective impacts of five cyanidin [...] Read more.
Alzheimer’s disease (AD) is characterized by cholinergic deficits and neuronal damage, making acetylcholinesterase (AChE) a crucial therapeutic target. Cyanidin derivatives, sourced from the diet as anthocyanins, exhibit neuroprotective properties, yet comparative investigations are scarce. This research explored the neuroprotective impacts of five cyanidin derivatives, namely cyanidin-3-O-(trans-p-coumaroyl)-diglycoside (C3GG), cyanidin-3-O-rutinoside (C3R), cyanidin-3-O-arabinoside (C3A), cyanidin-3-O-sophoroside (C3S), and cyanidin-3-O-xyloside (C3X), utilizing an aluminum-chloride (AlCl3)-induced zebrafish model of AD. The administration of these compounds ameliorated zebrafish locomotor impairments, suppressed AChE activity, decreased brain oxidative stress levels, upregulated AD-related gene expression, and mitigated brain tissue pathological changes. Molecular docking and dynamics simulations indicated that cyanidin derivatives exhibit robust binding affinity and stable binding to AChE. Particularly, C3R demonstrated the most potent multi-faceted neuroprotective effects among the tested derivatives, suggesting its potential as a promising lead compound for AD therapy. Full article
Show Figures

Graphical abstract

19 pages, 7322 KB  
Article
Phytochemical-Mediated Ah Receptor Activity Is Dependent on Dietary Context
by Fangcong Dong, Andrew J. Annalora, Iain A. Murray, Debopriya Chakraborty, Denise M. Coslo, Craig Marcus, Andrew D. Patterson and Gary H. Perdew
Nutrients 2025, 17(5), 876; https://doi.org/10.3390/nu17050876 - 28 Feb 2025
Viewed by 1600
Abstract
Background/Objective: The aryl hydrocarbon receptor (AHR) is an important mediator of intestinal homeostasis. The AHR senses certain classes of phytochemicals, including many flavonoids and tryptophan metabolites generated in the intestinal tract. Several in vitro studies demonstrate the presence of AHR ligands in numerous [...] Read more.
Background/Objective: The aryl hydrocarbon receptor (AHR) is an important mediator of intestinal homeostasis. The AHR senses certain classes of phytochemicals, including many flavonoids and tryptophan metabolites generated in the intestinal tract. Several in vitro studies demonstrate the presence of AHR ligands in numerous plants commonly consumed by humans. However, it has not been established that these foods can activate the AHR in vivo. The aim of this study was to evaluate how phytochemicals in foods can lead to AHR activation in vivo through modulating CYP1A1 activity. Methods: Freeze-dried spinach, corn, red potatoes, kidney beans, parsley, onion, carrots, bell peppers, and broccoli were fed to C57BL6/J female mice at 15% w/w in a semi-purified diet to evaluate the AHR activation potential. In vitro CYP1A1 microsomal assays were utilized to establish specific phytochemicals as CYP1A1 substrates. Results: Broccoli, onion, and carrots increased expression of the AHR target gene Cyp1a1 in the duodenum. Broccoli consumption led to the formation of the potent AHR ligand indolo[3,2-b]carbazole (ICZ), which is also a CYP1A1 substrate. Relative to the other vegetables, parsley contained a high concentration of apiin, a diglycoside of the flavone apigenin. Mice were fed a diet with either 10% parsley, 10% broccoli, or both vegetables. Parsley consumption increased broccoli-mediated Cyp1a1 induction in the duodenum, liver, and lung. Apigenin is a CYP1A1 substrate that can attenuate ICZ metabolism in vitro and increase broccoli-mediated Cyp1a1 expression in the lung. Conclusions: These results suggest that phytochemical competition for intestinal AHR binding and CYP1A1 metabolism modulates systemic AHR activity. Full article
(This article belongs to the Section Nutrition and Metabolism)
Show Figures

Figure 1

19 pages, 13763 KB  
Article
Substrate Selectivities of GH78 α-L-Rhamnosidases from Human Gut Bacteria on Dietary Flavonoid Glycosides
by Bin-Chun Li, Bingbing Wu, Xueting Hou and Guo-Bin Ding
Molecules 2025, 30(5), 980; https://doi.org/10.3390/molecules30050980 - 20 Feb 2025
Cited by 5 | Viewed by 1493
Abstract
α-L-rhamnosidases play a key role in the metabolism and biodegradation of dietary flavonoid glycosides. We have developed a novel microplate spectrophotometric method to rapidly evaluate the conversion rates and substrate selectivities of mesophilic α-L-rhamnosidases towards citrus flavanone diglycosides by combining with a high-active [...] Read more.
α-L-rhamnosidases play a key role in the metabolism and biodegradation of dietary flavonoid glycosides. We have developed a novel microplate spectrophotometric method to rapidly evaluate the conversion rates and substrate selectivities of mesophilic α-L-rhamnosidases towards citrus flavanone diglycosides by combining with a high-active and thermophilic β-D-glucosidase based on UV-visible spectral differences between citrus flavanone diglycosides and the corresponding aglycones under alkaline conditions. Furthermore, catalytic activities and enzyme kinetics of four α-L-rhamnosidases from human gut bacteria on various dietary flavonoid glycosides with different glycosidic bonds from various subclasses have been explored by HPLC. The α-L-rhamnosidase BtRha78A specifically removed the rhamnose group from the flavones, flavanones and flavonols diglycosides with the α-1,6 glycosidic bonds. Moreover, BtRha78A displayed higher catalytic activities on the rutinose group at 7-OH of the aglycones than at 3-OH. HFM-RhaA preferred to catalyze the flavones, flavanones and dihydrochalcones diglycosides with the α-1,2 glycosidic linkages at the 7-OH. However, this enzyme also showed high catalytic activity on the flavonol diglycoside rutin with the α-1,6 glycosidic bonds at the 3-OH. HFM-RhaC exhibited certain hydrolytic abilities towards all flavonoid diglycosides, and displayed higher activities on the flavonoid diglycosides with the α-1,6 glycosidic bonds. HFM-Rha78 weakly hydrolyzed the flavones, flavanones and dihydrochalcones diglycosides with the α-1,2 glycosidic bonds, and the flavonols diglycosides with α-1,6 glycosidic bonds. All four α-L-rhamnosidases from human gut bacteria did not exhibit catalytic activity towards the flavonoid glycosides with the α-1 glycosidic bonds. It was revealed that the α-L-rhamnosidases from human gut bacteria possessed diverse substrate selectivity on dietary flavonoid diglycosides. The structural basis for the specificity of BtRha78A on the flavonoid diglycosides with α-1,6 glycosidic bonds and the preference of HFM-RhaA on the flavonoid diglycosides with α-1,2 glycosidic bonds have been analyzed by molecular docking. Full article
Show Figures

Graphical abstract

12 pages, 781 KB  
Article
Direct Determination of Flavanone Isomers in Citrus Juice by Paper Spray Tandem Mass Spectrometry
by Lucia Bartella, Fabio Mazzotti, Ilaria Santoro, Ines Rosita Talarico and Leonardo Di Donna
Antioxidants 2025, 14(1), 20; https://doi.org/10.3390/antiox14010020 - 27 Dec 2024
Cited by 1 | Viewed by 1734
Abstract
A novel and efficient analytical protocol based on paper spray tandem mass spectrometry was developed for the determination of isomeric O-glycoside flavanones in citrus juices and beverages. This approach significantly reduces sample preparation time and solvent consumption compared to traditional chromatographic techniques. [...] Read more.
A novel and efficient analytical protocol based on paper spray tandem mass spectrometry was developed for the determination of isomeric O-glycoside flavanones in citrus juices and beverages. This approach significantly reduces sample preparation time and solvent consumption compared to traditional chromatographic techniques. By exploiting the unique fragmentation patterns of these compounds, accurate quantification of both diglycosides and their individual isomers (neohesperidoside and rutinose derivatives) was achieved. The method demonstrated excellent analytical performance, with high accuracy, selectivity, and reproducibility. The impact of matrix effects was mitigated through the construction of ratio calibration curves, ensuring reliable quantification in complex matrices. Finally, a simple DPPH experiment to assay the antioxidant activity of each single positional isomer was performed, indicating the superior ability of neohesperidose conjugates. This simplified method offers a valuable tool for quality control, authenticity assessment and the study of health benefits associated with citrus consumption. Full article
(This article belongs to the Special Issue Phenolic Antioxidants)
Show Figures

Figure 1

16 pages, 10944 KB  
Article
Targeted Directed Evolution of an α-L-Rhamnosidase on Hesperidin Through Six-Codon Combinatorial Mutagenesis
by Bingbing Wu, Xueting Hou, Na Han, Xinfeng Li, Bin-Chun Li and Guo-Bin Ding
Catalysts 2024, 14(12), 935; https://doi.org/10.3390/catal14120935 - 18 Dec 2024
Cited by 1 | Viewed by 1581
Abstract
Targeted saturation mutagenesis at the residues located at the substrate-binding pocket for generating focused libraries has emerged as the technique of choice for enzyme engineering, but choosing the optimal residue number of the randomization site and the reduced amino acid alphabet to minimize [...] Read more.
Targeted saturation mutagenesis at the residues located at the substrate-binding pocket for generating focused libraries has emerged as the technique of choice for enzyme engineering, but choosing the optimal residue number of the randomization site and the reduced amino acid alphabet to minimize the labor-determining screening effort remains a challenge. Herein, we propose the six-codon combinatorial mutagenesis (SCCM) strategy by using the BMT degeneracy codons encoding six amino acids with different chemical properties as the building blocks for the randomization of the amnio acid motif. SCCM requires only a small library of 646 clones for 95% coverage at the three-residue motif compared to conventional NNK degeneracy codons encoding all 20 canonical amino acids and requiring the screening of nearly 100,000 clones. SCCM generates a suitable number of mutant libraries, providing a new strategy for reducing the screening workload of saturated combination mutations in enzyme engineering. Using this approach, the α-L-rhamnosidase BtRha78A from Bacteroides thetaiotaomicron had been successfully engineered for improving the hydrolytic activity on natural flavonoid diglycoside hesperidin via targeted directed evolution at the motifs positioning the entrance of the substrate-binding pocket. The results indicate that the conversion rates of the four mutants on hesperidin were increased by more than 30% compared with the wild type using whole-cell biotransformation. Moreover, the catalytic efficiency kcat/KM value of the mutant TM1-6-F5 was 1.4-fold higher than that of the wild type. Full article
Show Figures

Figure 1

12 pages, 1018 KB  
Article
Variation in the Phenolic Profile and Antioxidant, Antihyperglycemic, and Anti-Inflammatory Activity in Leaves of Cotoneaster zabelii during Growing Season
by Agnieszka Kicel, Anna Magiera and Monika Anna Olszewska
Molecules 2024, 29(19), 4745; https://doi.org/10.3390/molecules29194745 - 8 Oct 2024
Viewed by 1682
Abstract
Cotoneaster zabelii is a medicinal plant that is beneficial due to its polyphenol-rich leaves. In the course of optimizing the harvest time for C. zabelii cultivated in Poland, the leaf samples were collected monthly during the annual plant vegetation season, and the hydromethanolic [...] Read more.
Cotoneaster zabelii is a medicinal plant that is beneficial due to its polyphenol-rich leaves. In the course of optimizing the harvest time for C. zabelii cultivated in Poland, the leaf samples were collected monthly during the annual plant vegetation season, and the hydromethanolic leaf extracts were evaluated for their phenolic composition and model biological activities, including antioxidant, antihyperglycemic, and anti-inflammatory effects in vitro. The phenolic profiles were analyzed using UHPLC-PDA-ESI-MS3, HPLC-PDA, and spectrophotometric methods (total phenolic content, TPC) to understand their seasonal variability and its correlation with bioactive properties. The identified phenolic compounds included caffeic acid derivatives, flavan-3-ols (especially (−)-epicatechin and procyanidins B-type), and flavonoids like quercetin mono- and diglycosides. Leaves harvested in July and October contained the highest polyphenolic levels and demonstrated significant antioxidant activity in most tests. The leaves harvested in July, September, and October showed optimal anti-inflammatory effects, whereas the highest antihyperglycemic activity was observed in the leaves collected from June to July. Regarding polyphenolic levels and bioactivity, the summer and autumn months appear to be the most advantageous for harvesting leaf material of optimal quality for phytotherapy. Full article
Show Figures

Graphical abstract

10 pages, 990 KB  
Article
Thevetia thevetioides Cardenolide and Related Cardiac Glycoside Profile in Mature and Immature Seeds by High-Resolution Thin-Layer Chromatography (HPTLC) and Quadrupole Time of Flight–Tandem Mass Spectrometry (Q-TOF MS/MS) Reveals Insights of the Cardenolide Biosynthetic Pathway
by Juan Vázquez-Martínez, Paulina Bravo-Villa and Jorge Molina-Torres
Molecules 2024, 29(17), 4083; https://doi.org/10.3390/molecules29174083 - 28 Aug 2024
Cited by 2 | Viewed by 2756
Abstract
Thevetia thevetioides is a species within the Apocynaceae family known for containing cardenolide-glycosides, commonly referred to as cardiac glycosides, which are characteristic of this genus. The seeds of the Thevetia species are frequently used as a model source for studying cardiac steroids, as [...] Read more.
Thevetia thevetioides is a species within the Apocynaceae family known for containing cardenolide-glycosides, commonly referred to as cardiac glycosides, which are characteristic of this genus. The seeds of the Thevetia species are frequently used as a model source for studying cardiac steroids, as these glycosides can be more readily extracted from the oil-rich seeds than from the plant’s green tissues. In this work, the cardenolide profile of ripe and immature seeds was determined and compared to establish the main differences. Ripe seeds contain six related cardenolides and triosides, with thevetin B being the predominant component. In contrast, immature seeds exhibit a total of thirteen cardiac glycosides, including monoglycosides such as neriifolin and peruvosides A, B, and C, as well as diglycosides like thevebiosides A, B, and C. Some of these compounds have previously been identified as degradation products of more complex cardiac glycosides; however, their presence in immature seeds, as described in this study, suggests that they may serve as biosynthetic precursors to the triosides observed in mature seeds. The glycoside patterns observed via HPTLC are associated with specific chemical structures characteristic of this genus, typically featuring thevetose or acetyl-thevetose at the first position, followed by glucose or gentibiose in di- or trisaccharides, independent of the trioside aglycones identified: digitoxigenin, cannogenin, or yccotligenin. Ripe seeds predominantly contain triosides, including thevetin B, C, and A, the latter of which has not been previously reported. Full article
(This article belongs to the Section Natural Products Chemistry)
Show Figures

Figure 1

11 pages, 1341 KB  
Article
Quantitative Analysis and Molecular Docking Simulation of Flavonols from Eruca sativa Mill. and Their Effect on Skin Barrier Function
by Jihye Park, Wonchul Choi, Jayoung Kim, Hye Won Kim, Jee-Young Lee, Jongsung Lee and Bora Kim
Curr. Issues Mol. Biol. 2024, 46(1), 398-408; https://doi.org/10.3390/cimb46010025 - 2 Jan 2024
Cited by 3 | Viewed by 3446
Abstract
Eruca sativa is a commonly used edible plant in Italian cuisine. E. sativa 70% ethanol extract (ES) was fractionated with five organic solvents, including n-hexane (EHex), chloroform (ECHCl3), ethyl acetate (EEA), n-butyl alcohol (EBuOH), and water (EDW). Ethyl acetate fraction (EEA) [...] Read more.
Eruca sativa is a commonly used edible plant in Italian cuisine. E. sativa 70% ethanol extract (ES) was fractionated with five organic solvents, including n-hexane (EHex), chloroform (ECHCl3), ethyl acetate (EEA), n-butyl alcohol (EBuOH), and water (EDW). Ethyl acetate fraction (EEA) had the highest antioxidant activity, which was correlated with the total polyphenol and flavonoid content. ES and EEA acted as PPAR-α ligands by PPAR-α competitive binding assay. EEA significantly increased cornified envelope formation as a keratinocyte terminal differentiation marker in HaCaT cells. Further, it significantly reduced nitric oxide and pro-inflammatory cytokines (IL-6 and TNF-α) in lipopolysaccharide-stimulated RAW 264.7 cells. The main flavonol forms detected in high amounts from EEA are mono-and di-glycoside of each aglycone. The main flavonol form of EEA is the mono-glycoside of each aglycone detected, and the most abundant flavonol mono-glycoside is kaempferol 3-glucoside 7.4%, followed by quercetin-3-glucoside 2.3% and isorhamnetin 3-glucoside 1.4%. Flavonol mono-glycosides were shown to be a potent PPAR-α ligand using molecular docking simulation and showed the inhibition of nitric oxide. These results suggest that the flavonol composition of E. sativa is suitable for use in improving skin barrier function and inflammation in skin disorders, such as atopic dermatitis. Full article
Show Figures

Figure 1

23 pages, 3037 KB  
Article
Characterization of Polyphenols from Chenopodium botrys after Fractionation with Different Solvents and Study of Their In Vitro Biological Activity
by Dimitar Bojilov, Stanimir Manolov, Angelika Nacheva, Soleya Dagnon and Iliyan Ivanov
Molecules 2023, 28(12), 4816; https://doi.org/10.3390/molecules28124816 - 16 Jun 2023
Cited by 6 | Viewed by 3298
Abstract
In the present work, we have investigated the polyphenolic composition of Chenopodium botrys from Bulgaria. The polyphenols were fractionated with solvents of varying polarity (n-hexane, chloroform, ethyl acetate, and n-butanol). The fractions were analyzed by HPLC-PDA and UHPLC-MS. The ethyl [...] Read more.
In the present work, we have investigated the polyphenolic composition of Chenopodium botrys from Bulgaria. The polyphenols were fractionated with solvents of varying polarity (n-hexane, chloroform, ethyl acetate, and n-butanol). The fractions were analyzed by HPLC-PDA and UHPLC-MS. The ethyl acetate fraction contained mono- and di-glycosides of quercetin, di-glycosides of kaempferol, and isorhamnetin and monoglycosides of hispidulin and jaceosidine. We found quercetin triglycosides in the butanol fraction. The ethyl acetate and butanol fractions contained 168.82 mg/g Extr and 67.21 mg/g Extr of quercetin glycosides, respectively. The main components of the polyphenolic complex in C. botrys were 6-methoxyflavones (355.47 mg/g Extr), which were found in the chloroform fraction. The flavonoids pectolinarigenin, demethylnobiletin, and isosinensetin, and the glycosides of quercetin (triglycosides, acylglycosides), kaempferol, isorhamnetin, hispidiulin, and jaceosidine, were discovered and reported in Chenopodium botrys for the first time. We used in vitro methods to assess the biological activity against oxidative stress (hydrogen peroxide scavenging activity (HPSA) and hydroxyl radical scavenging activity (HRSA)), nitrosative stress (nitric oxide scavenging activity (NOSA)), anti-inflammatory activity (IAD inhibition), and anti-tryptic activity (ATA). Quercetin mono- and di-glycosides exhibited greater HPSA and HRSA (IC50 = 39.18, 105.03 µg/mL), while 6-methoxyflavones had a greater NOSA (IC50 = 146.59 µg/mL). The same components showed the highest ATA (IC50 ranging from 116.23 to 202.44 µg/mL). Full article
(This article belongs to the Special Issue Natural Antioxidants in Foods and Medicinal Plants)
Show Figures

Graphical abstract

14 pages, 2638 KB  
Article
Anthocyanins Prevent AAPH-Induced Steroidogenesis Disorder in Leydig Cells by Counteracting Oxidative Stress and StAR Abnormal Expression in a Structure-Dependent Manner
by Jun Hu, Xusheng Li, Naijun Wu, Cuijuan Zhu, Xinwei Jiang, Kailan Yuan, Yue Li, Jianxia Sun and Weibin Bai
Antioxidants 2023, 12(2), 508; https://doi.org/10.3390/antiox12020508 - 17 Feb 2023
Cited by 23 | Viewed by 3610
Abstract
Testosterone deficiency may increase the risk of sexual dysfunction and the failure of spermatogenesis. Oxidative stress that is derived from the destruction of homeostasis, disease, and exposure to contaminants can damage the steroidogenicity process in Leydig cells, resulting in a reduction in testosterone [...] Read more.
Testosterone deficiency may increase the risk of sexual dysfunction and the failure of spermatogenesis. Oxidative stress that is derived from the destruction of homeostasis, disease, and exposure to contaminants can damage the steroidogenicity process in Leydig cells, resulting in a reduction in testosterone synthesis. Anthocyanins are a group of innoxious antioxidants widely recognized in food sources, and are an ideal candidate to relieve oxidative stress-related steroidogenesis disorder. However, there is still a major gap in our knowledge of the structure–function relationship of anthocyanin on the activity mentioned above. In the present study, four anthocyanins including cyanidin-3-glucoside (Cy-3-glu), delphinidin-3-glucoside (Dp-3-glu), pelargonidin-3-glucoside (Pg-3-glu), and cyanidin-3,5-diglucoside (Cy-3,5-diglu) were applied to reverse testosterone generation after employing 2,2′-Azobis(2-amidinopropane)-dihydrochloride (AAPH) as the inducer of oxidative stress in R2C cells. The results demonstrated that all four kinds of anthocyanins can inhibit ROS generation, alleviate mitochondrial membrane potential damage, and contribute to increased testosterone. Among them, Cy-3,5-diglu with diglycoside performed best on antioxidative ability and improved cell dysfunction and upregulated the expression of the steroidogenic acute regulatory protein (StAR). The molecular docking further revealed the direct combination between anthocyanins and StAR, suggesting that anthocyanins with monosaccharide were more likely to interact with StAR than with diglycoside. Taken together, these data indicate that recipient R2C cells under oxidative stress submitted to anthocyanins exhibited improved steroidogenesis in a structure-dependent manner. Anthocyanins could be considered the ideal ingredients against oxidative stress-induced testosterone deficiency. Full article
(This article belongs to the Special Issue Reactive Oxygen Species (ROS) and Reproduction Health)
Show Figures

Graphical abstract

15 pages, 14142 KB  
Article
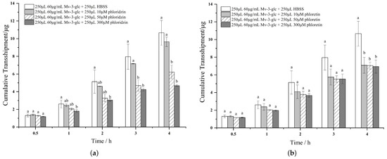
Methylation, Hydroxylation, Glycosylation and Acylation Affect the Transport of Wine Anthocyanins in Caco-2 Cells
by Yang Liu, Jiali Lin, Tiantian Cheng, Yangjie Liu and Fuliang Han
Foods 2022, 11(23), 3793; https://doi.org/10.3390/foods11233793 - 24 Nov 2022
Cited by 19 | Viewed by 2814
Abstract
Anthocyanins are substances with multiple physiological activities widely present in red wine, but the influence of structure (methylation, hydroxylation, acylation, glycosylation) on the transport remains ill-defined. In the present study, Caco-2 monolayers were used as an in vitro model of the absorptive intestinal [...] Read more.
Anthocyanins are substances with multiple physiological activities widely present in red wine, but the influence of structure (methylation, hydroxylation, acylation, glycosylation) on the transport remains ill-defined. In the present study, Caco-2 monolayers were used as an in vitro model of the absorptive intestinal epithelium to transport different types of anthocyanin samples. Results showed that both methylation and acetylation promote the level of transport. Monoglycoside standard exhibited higher transport amount and rate compared to diglycoside standard while the transport level of the monoglycoside mixture was unexpectedly lower than that of the diglycoside mixture. Caco-2 monolayers appeared to be more capable of transporting the single standard than the mixed standard. Meanwhile, the transport of anthocyanins in Caco-2 cell model showed time- and concentration-dependent trends. Anthocyanin treatment had a greater effect on sodium-dependent glucose transporter 1 (SGLT1) mRNA expression than glucose transporter 2 (GLUT2), and significantly down-regulated the protein expression of SGLT1. Although the low bioavailability of anthocyanins requires much more research, further evidence of the role of structure is provided. Full article
(This article belongs to the Section Food Physics and (Bio)Chemistry)
Show Figures

Graphical abstract

23 pages, 2989 KB  
Review
Current Developments on Chemical Compositions, Biosynthesis, Color Properties and Health Benefits of Black Goji Anthocyanins: An Updated Review
by Yuzhen Yan, Tanzeela Nisar, Zhongxiang Fang, Lingling Wang, Zichao Wang, Haofeng Gu, Huichun Wang and Wenying Wang
Horticulturae 2022, 8(11), 1033; https://doi.org/10.3390/horticulturae8111033 - 4 Nov 2022
Cited by 15 | Viewed by 4962
Abstract
Lycium ruthenicum is a therapeutic plant and its fruits (black goji) are commonly used as a traditional Chinese medicine. This review comprehensively discusses the recent research developments of black goji anthocyanins (BGAs), including chemical compositions, biosynthesis, color properties and health benefits. Among the [...] Read more.
Lycium ruthenicum is a therapeutic plant and its fruits (black goji) are commonly used as a traditional Chinese medicine. This review comprehensively discusses the recent research developments of black goji anthocyanins (BGAs), including chemical compositions, biosynthesis, color properties and health benefits. Among the 39 identified BGAs, most are 3,5-diglycoside derivatives of petunidin (>95%) with an individual anthocyanin [petunidin 3-O-rutinoside (trans-p-coumaroyl)-5-O-glucoside], accounting for 80% of the total BGAs. Due to their unique anthocyanin profile, BGAs possess various health benefits, including antioxidant activities, α-glucosidase inhibiting activity, alleviating insulin resistance, improving mitochondrial function, anti-inflammatory effects, etc., and therefore have the potential to treat a range of chronic diseases, such as type 2 diabetes mellitus, memory disorders, stroke, colitis, atherosclerosis, cardiovascular and cerebrovascular diseases. In addition, BGAs exhibit a pH-dependent “red-purple-blue” pattern of color change and thus could be used as natural colorants and to prepare smart food packaging materials. This review is valuable for broad applications of BGAs as promising natural colorants, functional foods and potential herbal medicines. Full article
(This article belongs to the Section Medicinals, Herbs, and Specialty Crops)
Show Figures

Figure 1

17 pages, 1382 KB  
Article
Chemical Composition and Antioxidant Capacity of the Fruits of European Plum Cultivar “Čačanska Lepotica” Influenced by Different Rootstocks
by Antoaneta Trendafilova, Viktoria Ivanova, Boryana Trusheva, Mariana Kamenova-Nacheva, Sava Tabakov and Svetlana Simova
Foods 2022, 11(18), 2844; https://doi.org/10.3390/foods11182844 - 14 Sep 2022
Cited by 35 | Viewed by 3872
Abstract
We investigated the influence of different rootstocks on the content of sugars, organic acids, and antioxidant phenolic compounds in the whole fruit and fruit skin of the European plum cultivar “Čačanska Lepotica”. 1H NMR of the fruit extracts allowed for the identification [...] Read more.
We investigated the influence of different rootstocks on the content of sugars, organic acids, and antioxidant phenolic compounds in the whole fruit and fruit skin of the European plum cultivar “Čačanska Lepotica”. 1H NMR of the fruit extracts allowed for the identification of sucrose, α- and β-glucose, sorbitol, fructose, and malic and quinic acids, while LC–DAD–ESIMS showed the presence of neochlorogenic and chlorogenic acids, cyanidin-3-O-glucoside, cyanidin-3-O-rutinoside, peonidin-3-O-glucoside, peonidin-3-O-rutinoside, hyperoside, isoquercitrin, rutin, and unidentified quercetin-3-diglycoside. The quantitation of the sugars, malic and quinic acids by 1H NMR and phenolic compounds by HPLC–DAD revealed that the rootstock significantly influenced the content of the individual compounds in the fruit skin and fruit. The fruit grafted on “Wavit” rootstock was characterized by significant amounts of neochlorogenic acid, peonidin-3-O-rutinoside, cyanidin-3-O-rutinoside, and sucrose, while the fruit on “GXN-15” was characterized by high levels of sugars, cyanidin-3-O-glucoside, and malic and chlorogenic acids. The fruit skins of plums grafted on “Wavit” were the richest in sugars, organic acids, and phenolic compounds. A good correlation was observed between the content of total phenolics (TPC), flavonoids (TFC), anthocyanins (TAC), and individual phenolic compounds in the extracts of the fruit and the fruit skins and their antioxidant capacity (DPPH, ABTS, and FRAP). Full article
(This article belongs to the Special Issue Foods: 10th Anniversary)
Show Figures

Graphical abstract

12 pages, 2935 KB  
Communication
Extraction Kinetics and Reaction Rates of Sacred Lotus Stamen Tea Infusion-Derived Flavonoids in Relation with Its Antioxidant Capacity
by Duangjai Tungmunnithum, Laurine Garros, Samantha Drouet, Natália Cruz-Martins and Christophe Hano
Plants 2022, 11(17), 2234; https://doi.org/10.3390/plants11172234 - 29 Aug 2022
Cited by 7 | Viewed by 3126
Abstract
Stamen tea from Nelumbo nucifera Gaertn. (or the so-called sacred lotus) is widely consumed, and its flavonoids provide various human health benefits. The method used for tea preparation for consumption, namely the infusion time, may affect the levels of extractable flavonoids, ultimately affecting [...] Read more.
Stamen tea from Nelumbo nucifera Gaertn. (or the so-called sacred lotus) is widely consumed, and its flavonoids provide various human health benefits. The method used for tea preparation for consumption, namely the infusion time, may affect the levels of extractable flavonoids, ultimately affecting their biological effects. To date, there is no report on this critical information. Thus, this study aims to determine the kinetics of solid liquid extraction of flavonoid from sacred lotus stamen using the traditional method of preparing sacred lotus stamen tea. Phytochemical composition was also analyzed using high-performance liquid chromatography (HPLC). The antioxidant potential of stamen tea was also determined. The results indicated that the infusion time critically affects the concentrations of flavonoids and the antioxidant capacity of sacred lotus stamen tea, with a minimum infusion time of 5–12 min being required to release the different flavonoids from the tea. The extraction was modeled using second order kinetics. The rate of release was investigated by the glycosylation pattern, with flavonoid diglycosides, e.g., rutin and Kae-3-Rob, being released faster than flavonoid monoglycosides. The antioxidant activity was also highly correlated with flavonoid levels during infusion. Taken together, data obtained here underline that, among others, the infusion time should be considered for the experimental design of future epidemiological studies and/or clinical trials to reach the highest health benefits. Full article
(This article belongs to the Special Issue Plant Phytochemicals on Crop Protection and Drug Development)
Show Figures

Figure 1

Back to TopTop