Sign in to use this feature.

Years

Between: -

Subjects

remove_circle_outline
remove_circle_outline
remove_circle_outline
remove_circle_outline
remove_circle_outline
remove_circle_outline
remove_circle_outline
remove_circle_outline
remove_circle_outline

Journals

remove_circle_outline
remove_circle_outline
remove_circle_outline
remove_circle_outline
remove_circle_outline

Article Types

Countries / Regions

remove_circle_outline
remove_circle_outline
remove_circle_outline
remove_circle_outline

Search Results (905)

Search Parameters:
Keywords = dielectric insulation

Order results
Result details
Results per page
Select all
Export citation of selected articles as:
15 pages, 2150 KB  
Article
Liquid Metal Particles–Graphene Core–Shell Structure Enabled Hydrogel-Based Triboelectric Nanogenerators
by Sangkeun Oh, Yoonsu Lee, Jungin Yang, Yejin Lee, Seoyeon Won, Sang Sub Han, Jung Han Kim and Taehwan Lim
Gels 2026, 12(1), 86; https://doi.org/10.3390/gels12010086 (registering DOI) - 19 Jan 2026
Abstract
The development of flexible and self-powered electronic systems requires triboelectric materials that combine high charge retention, mechanical compliance, and stable dielectric properties. Here, we report a redox reaction approach to prepare liquid metal particle-reduced graphene oxide (LMP@rGO) core–shell structures and introduce into a [...] Read more.
The development of flexible and self-powered electronic systems requires triboelectric materials that combine high charge retention, mechanical compliance, and stable dielectric properties. Here, we report a redox reaction approach to prepare liquid metal particle-reduced graphene oxide (LMP@rGO) core–shell structures and introduce into a poly(acrylic acid) (PAA) hydrogel to create a high-performance triboelectric layer. The spontaneous interfacial reaction between gallium oxide of LMP and graphene oxide produces a conformal rGO shell while simultaneously removing the native insulating oxide layer onto the LMP surface, resulting in enhanced colloidal stability and a controllable semiconductive bandgap of 2.7 (0.01 wt%), 2.9 (0.005 wt%) and 3.2 eV (0.001 wt%). Increasing the GO content promotes more complete core–shell formation, leading to higher zeta potentials, stronger interfacial polarization, and higher electrical performance. After embedding in PAA, the LMP@rGO structures form hydrogen-bonding networks with the hydrogel nature, improving both dielectric constant and charge retention while notably preserving soft mechanical compliance. The resulting LMP@rGO/PAA hydrogels show enhanced triboelectric output, with the 2.0 wt/vol% composite generating sufficient power to illuminate more than half of 504 series-connected LEDs. All the results demonstrate the potential of LMP@rGO hydrogel composites as promising triboelectric layer materials for next-generation wearable and self-powered electronic systems. Full article
Show Figures

Figure 1

22 pages, 3453 KB  
Review
Diamond Sensor Technologies: From Multi Stimulus to Quantum
by Pak San Yip, Tiqing Zhao, Kefan Guo, Wenjun Liang, Ruihan Xu, Yi Zhang and Yang Lu
Micromachines 2026, 17(1), 118; https://doi.org/10.3390/mi17010118 - 16 Jan 2026
Viewed by 188
Abstract
This review explores the variety of diamond-based sensing applications, emphasizing their material properties, such as high Young’s modulus, thermal conductivity, wide bandgap, chemical stability, and radiation hardness. These diamond properties give excellent performance in mechanical, pressure, thermal, magnetic, optoelectronic, radiation, biosensing, quantum, and [...] Read more.
This review explores the variety of diamond-based sensing applications, emphasizing their material properties, such as high Young’s modulus, thermal conductivity, wide bandgap, chemical stability, and radiation hardness. These diamond properties give excellent performance in mechanical, pressure, thermal, magnetic, optoelectronic, radiation, biosensing, quantum, and other applications. In vibration sensing, nano/poly/single-crystal diamond resonators operate from MHz to GHz frequencies, with high quality factor via CVD growth, diamond-on-insulator techniques, and ICP etching. Pressure sensing uses boron-doped piezoresistive, as well as capacitive and Fabry–Pérot readouts. Thermal sensing merges NV nanothermometry, single-crystal resonant thermometers, and resistive/diode sensors. Magnetic detection offers FeGa/Ti/diamond heterostructures, complementing NV. Optoelectronic applications utilize DUV photodiodes and color centers. Radiation detectors benefit from diamond’s neutron conversion capability. Biosensing leverages boron-doped diamond and hydrogen-terminated SGFETs, as well as gas targets such as NO2/NH3/H2 via surface transfer doping and Pd Schottky/MIS. Imaging uses AFM/NV probes and boron-doped diamond tips. Persistent challenges, such as grain boundary losses in nanocrystalline diamond, limited diamond-on-insulator bonding yield, high temperature interface degradation, humidity-dependent gas transduction, stabilization of hydrogen termination, near-surface nitrogen-vacancy noise, and the cost of high-quality single-crystal diamond, are being addressed through interface and surface chemistry control, catalytic/dielectric stack engineering, photonic integration, and scalable chemical vapor deposition routes. These advances are enabling integrated, high-reliability diamond sensors for extreme and quantum-enhanced applications. Full article
Show Figures

Figure 1

21 pages, 2164 KB  
Article
Machine Learning-Based Prediction of Breakdown Voltage in High-Voltage Transmission Lines Under Ambient Conditions
by Mujahid Hussain, Muhammad Siddique, Farhan Hameed Malik, Zunaib Maqsood Haider and Ghulam Amjad Hussain
Eng 2026, 7(1), 36; https://doi.org/10.3390/eng7010036 - 10 Jan 2026
Viewed by 141
Abstract
Reliability and safety of high-voltage transmission lines are essential for stable and continuous operation of a power system. Environmental factors such as pressure, temperature, surface contamination, humidity, etc., significantly affect the dielectric strength of air, often causing unpredictable voltage breakdowns. This research presents [...] Read more.
Reliability and safety of high-voltage transmission lines are essential for stable and continuous operation of a power system. Environmental factors such as pressure, temperature, surface contamination, humidity, etc., significantly affect the dielectric strength of air, often causing unpredictable voltage breakdowns. This research presents a novel machine learning-based predictive framework that integrates Paschen’s Law with simulated and empirical data to estimate the breakdown voltage (Vbk) of transmission lines in various environmental conditions. The main contribution is to demonstrate that data-driven prediction of breakdown voltage (Vbk) using a hybrid machine learning model is in agreement with physical discharge theory. The model achieved root mean square error (RMSE) of 5.2% and mean absolute error (MAE) of 3.5% when validated against field data. Despite the randomness of avalanche breakdown, model predictions strongly match experimental measurements. This approach enables early detection of insulation stress, real-time monitoring, and optimises maintenance scheduling to reduce outages, costs, and safety risks. Its robustness is confirmed experimentally. Overall, this work advances the prediction of avalanche breakdown behaviour using machine learning. Full article
Show Figures

Figure 1

14 pages, 5134 KB  
Article
Silicon Effect on Conductive Behavior in Rubber Recycled Composites
by Marc Marín-Genescà, Ramon Mujal Rosas, Jordi García Amorós, Lluis Massagues and Xavier Colom
Polymers 2026, 18(1), 137; https://doi.org/10.3390/polym18010137 - 2 Jan 2026
Viewed by 280
Abstract
In the present research, the structure and thermal–dielectric behavior of Styrene Butadiene Rubber (SBR) and of the SBR/EPDMd composite with SiO2 with different compositions and concentrations of EPDMd are analyzed. In this sense, interesting behaviors are observed for the DC-AC regime of [...] Read more.
In the present research, the structure and thermal–dielectric behavior of Styrene Butadiene Rubber (SBR) and of the SBR/EPDMd composite with SiO2 with different compositions and concentrations of EPDMd are analyzed. In this sense, interesting behaviors are observed for the DC-AC regime of the conductive behavior of the material; therefore, a very marked DC and AC regime is observed in the conductivities, showing a different dielectric behavior at low and high frequencies. On the other hand, peak relaxations due to polarization phenomena are observed in terms of the imaginary modulus. Conductively, SiO2 does not produce significant or relevant changes, but it does produce changes in the permittivity and the electrical modulus, so it is concluded that the impact of the incorporation of SiO2 in these compounds affects energy storage (permittivity and modulus) in these types of compounds. Compared with compounds without silica (insights—no SiO2), it is observed that SiO2 maintains a similar operating regime to the initial one (SBR and SBR + EPDMd + SiO2) without SiO2 dielectric changes occurring, so silica presence modifies the dielectric behavior, reducing polarization effects, as can be seen in the dielectric results. Conductively, SiO2 produces more insulating compounds, that is, less conductive; this property can make it interesting as electrical insulation. Full article
(This article belongs to the Special Issue Advances in Functional Rubber and Elastomer Composites, 3rd Edition)
Show Figures

Graphical abstract

16 pages, 2444 KB  
Article
The Decomposition Mechanism of C4F7N–Ag Gas Mixture Under High Temperature Arc
by Tan Liu, Yi Ding, Congrui Zhang and Xingjian Kang
Appl. Sci. 2026, 16(1), 356; https://doi.org/10.3390/app16010356 - 29 Dec 2025
Viewed by 162
Abstract
The global phase-out of sulfur hexafluoride (SF6), an insulating gas with high global warming potential (GWP), has driven the search for eco-friendly alternatives in high-voltage equipment. Perfluoroisobutyronitrile (C4F7N) emerges as a promising candidate due to its low GWP and high dielectric strength. However, [...] Read more.
The global phase-out of sulfur hexafluoride (SF6), an insulating gas with high global warming potential (GWP), has driven the search for eco-friendly alternatives in high-voltage equipment. Perfluoroisobutyronitrile (C4F7N) emerges as a promising candidate due to its low GWP and high dielectric strength. However, its chemical stability under circuit breaker conditions, especially when interacting with vaporized contact materials such as silver, remains a key concern. This study investigates the decomposition mechanisms of C4F7N in the presence of silver vapor using quantum chemical calculations at the B3LYP/LanL2DZ level. A reaction network comprising 35 pathways and 12 transition states were identified. All structures were confirmed as valid stationary points via frequency analysis and intrinsic reaction coordinate (IRC) calculations. Three primary reaction pathways between C4F7N and Ag were delineated, leading to secondary reactions that generate low-weight molecules and Ag-containing species such as AgF and AgCN. Key energy barriers and temperature-dependent equilibrium constants (Keq) were determined to evaluate pathway feasibility. This work provides fundamental insights into the high-temperature interfacial chemistry of C4F7N with Ag, offering essential data for assessing its material compatibility and long-term reliability as a sustainable insulation medium in power systems. Full article
Show Figures

Figure 1

14 pages, 4360 KB  
Article
Anisotropic Thermal Conductivity in Pellet-Based 3D-Printed Polymer Structures for Advanced Heat Management in Electrical Devices
by Michal Rzepecki and Andrzej Rybak
Polymers 2026, 18(1), 93; https://doi.org/10.3390/polym18010093 - 29 Dec 2025
Viewed by 254
Abstract
Efficient thermal management is critical for modern electrical and electronic devices, where increasing power densities and miniaturization demand advanced heat dissipation solutions. This study investigates anisotropic thermal conductivity in polymer structures fabricated via pellet-based fused granulate fabrication using polyamide 6 composite filled with [...] Read more.
Efficient thermal management is critical for modern electrical and electronic devices, where increasing power densities and miniaturization demand advanced heat dissipation solutions. This study investigates anisotropic thermal conductivity in polymer structures fabricated via pellet-based fused granulate fabrication using polyamide 6 composite filled with thermally conductive, electrically insulative mineral fillers. Three sample orientations were manufactured by controlling the printing path direction to manipulate filler alignment relative to heat flow. The microscopic analysis confirmed a flake-shaped filler orientation dependent on extrusion direction. Thermal conductivity measurements using a guarded heat flow meter revealed significant anisotropy: samples with fillers aligned parallel to heat flow exhibited thermal conductivity of 4.09 W/m·K, while perpendicular alignment yielded 1.21 W/m·K, representing a 238% enhancement and an anisotropy ratio of 3.4. The dielectric measurements showed modest electrical anisotropy with maintained low dielectric loss below 0.05 at 1 kHz, confirming the suitability of the investigated materials for electrical insulation applications. The presented results demonstrate that pellet-based fused granular fabrication uniquely enables in situ control of platelet filler orientation during printing, achieving unprecedented thermal anisotropy, high through-plane thermal conductivity, and excellent electrical insulation in directly 3D-printed polymer structures, offering a breakthrough approach for advanced thermal management in electrical devices. Full article
(This article belongs to the Section Polymer Processing and Engineering)
Show Figures

Figure 1

17 pages, 2149 KB  
Article
Impact of an Insulating Barrier on Lightning Properties of a Point–Sphere Electrode System Using Different Dielectric Liquids
by Filip Stuchala and Pawel Rozga
Energies 2026, 19(1), 165; https://doi.org/10.3390/en19010165 - 27 Dec 2025
Viewed by 347
Abstract
An increasing number of different types of dielectric liquids are appearing on the market. This is undoubtedly related to sustainable development goals. This paper presents comparative studies of the lightning impulse breakdown voltage (LIBV) of six dielectric liquids with different chemical compositions: naphthenic [...] Read more.
An increasing number of different types of dielectric liquids are appearing on the market. This is undoubtedly related to sustainable development goals. This paper presents comparative studies of the lightning impulse breakdown voltage (LIBV) of six dielectric liquids with different chemical compositions: naphthenic uninhibited mineral oil (UMO), naphthenic inhibited mineral oil (IMO), natural ester (NE), synthetic ester (SE), bio-based hydrocarbon (BIO), and an inhibited liquid produced using gas-to-liquids technology (GTL). Tests were conducted in a point-to-sphere electrode configuration with a 5 mm thick pressboard barrier placed between them. This configuration was designed to more closely replicate the actual configuration found in transformers, where the oil channels are separated by pressboard barriers. Tests were performed for two inter-electrode gap distances of 25 mm and 40 mm, and for both lightning impulse voltage polarities. The pressboard barrier was placed so that the distance between point electrode and the barrier was always the same (10 mm). Measurements were performed using the step method. Before measurements began, the pressboard barrier was impregnated with the dielectric liquid being tested. The obtained measurement results were compared with previous studies conducted by the authors, which used a similar electrode system but without the pressboard barrier. The results confirmed that inserting the pressboard barrier between the electrodes effectively inhibits development of discharges and significantly increases the electrical strength of the entire insulation system. Full article
Show Figures

Figure 1

21 pages, 1147 KB  
Article
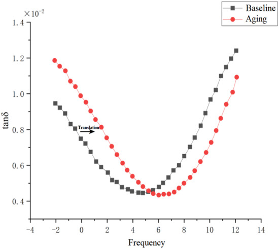
Assessment of Insulation Aging Condition for Dry-Type Transformer Epoxy Resin Based on Dielectric Response and Activation Energy Analysis
by Yu Dong, Youhang Wang, Zhiqiang Li, Ning Lei, Yanchen Wei and Bin Song
Energies 2026, 19(1), 144; https://doi.org/10.3390/en19010144 - 26 Dec 2025
Viewed by 205
Abstract
The accurate assessment of the aging state of epoxy resin insulation is critical for the safe operation of cast resin dry-type transformers. This study investigates the evolution of activation energy during thermal aging and its correlation with insulation degradation. Accelerated aging experiments at [...] Read more.
The accurate assessment of the aging state of epoxy resin insulation is critical for the safe operation of cast resin dry-type transformers. This study investigates the evolution of activation energy during thermal aging and its correlation with insulation degradation. Accelerated aging experiments at 150 °C, 170 °C, and 200 °C were conducted, followed by frequency-domain dielectric spectroscopy and Havriliak–Negami (HN) model analysis. An improved method for calculating activation energy, incorporating temperature correction via an HN-based model, is proposed. The evolution of key HN parameters—relaxation strength (Δε), relaxation time (τ), and shape parameters (α, β)—serves as the criterion for identifying the dominant aging mechanism: crosslinking at 150 °C, competition between crosslinking and degradation at 170 °C, and degradation-dominated chain scission at 200 °C. Using 150 °C data as a baseline, the initial activation energy is determined to be 90.03 kJ/mol, increasing to 166.83 kJ/mol at the end of service life. A practical, graded insulation condition indicator based on the rate of change in activation energy (ΔEa) is established, providing clear guidance for maintenance decisions—from routine monitoring (ΔEa ≤ 20%) to prioritized inspection or replacement (ΔEa > 60%). The proposed method offers a non-destructive tool for insulation diagnosis, residual life prediction, and condition-based maintenance of dry-type transformers. Full article
Show Figures

Figure 1

13 pages, 3207 KB  
Article
Considering Moisture Intrusion Evolution Law of Insulation Performance of High-Voltage AC XLPE Cables
by Shili Liu and Guanbo Zong
Energies 2026, 19(1), 138; https://doi.org/10.3390/en19010138 - 26 Dec 2025
Viewed by 178
Abstract
The outer sheaths of cables can be damaged by factors, such as mechanical stress, chemical corrosion, and aging, leading to moisture intrusion. This seriously threatens cable insulation performance and may even induce discharge accidents. Based on the corrugated aluminum sheath structure of the [...] Read more.
The outer sheaths of cables can be damaged by factors, such as mechanical stress, chemical corrosion, and aging, leading to moisture intrusion. This seriously threatens cable insulation performance and may even induce discharge accidents. Based on the corrugated aluminum sheath structure of the cables and moisture diffusion mechanism, the moisture intrusion (moisture absorption) process can be divided into three stages: water-blocking tape adsorption, air-gap wetting, and main insulation diffusion. First, through experimental tests, key electrical parameters such as capacitance, dielectric constant, and dielectric loss of 66 kV cables and XLPE main insulation samples in different moisture absorption stages were obtained. Furthermore, using finite element simulation, theoretical analysis and verification of the parameter variation characteristics of the cable were conducted by adjusting the moisture content and varying the moisture-affected positions. The results show that the electrical parameters of the cable body change most significantly in the third stage of moisture absorption: when the moisture absorption degree increases by 0.01%, the cable body capacitance increases by 1.2% and the insulation resistance decreases by 3.7%; for the XLPE insulation samples, when the moisture absorption degree increases by 0.25%, the relative dielectric constant increases by 0.7%, the conductivity increases by 1.4%, and the dielectric loss increases by a factor of 1.6 times at lower frequencies. In addition, the changes in the main insulation parameters were only related to the moisture content and were not affected by moisture distribution. Full article
Show Figures

Figure 1

13 pages, 2422 KB  
Article
Prediction of DC Breakdown Strength for Polymer Nanocomposite Based on Energy Depth of Trap
by Xiaohu Qi, Jian Guan, Xuri Xu, Zhen Zhang, Chuanyun Zhu, Chenyi Guo, Qifeng Shang and Yu Gao
Energies 2026, 19(1), 44; https://doi.org/10.3390/en19010044 - 21 Dec 2025
Viewed by 280
Abstract
Understanding the role of carrier traps in the determination of dielectric breakdown of polymer nanocomposite would yield a novel method for the estimation of breakdown strength of the material. In this study, we propose a novel approach to predict the DC breakdown strength [...] Read more.
Understanding the role of carrier traps in the determination of dielectric breakdown of polymer nanocomposite would yield a novel method for the estimation of breakdown strength of the material. In this study, we propose a novel approach to predict the DC breakdown strength of polyethylene (PE) and its nanocomposite at room temperature via the bipolar charge transport (BCT) model based on trap energy estimated from isothermal surface potential decay (ISPD). Test specimens of polyethylene (PE) and its nanocomposites, with a thickness of 110 μm, were fabricated using the hot-pressing method by incorporating 20 nm SiO2 particles as fillers. The distribution of carrier traps within these specimens was subsequently determined through ISPD measurements. The intrinsic breakdown strength of the sample was derived from the determined trap energy levels, by which the breakdown strength was predicted through the BCT model. Experimental DC breakdown tests were conducted on the specimens to validate the accuracy of the predictions. The results indicated that the DC breakdown strength predicted theoretically was in good agreement with that measured from the experiment. Such a prediction method provides a possible way to employ a non-destructive test to evaluate the DC breakdown strength of polymer nanocomposite. Full article
Show Figures

Figure 1

14 pages, 6874 KB  
Article
Preparation of Highly Uniform Silica Microspheres Recycled from Silicone Rubber and Their Application as Fillers in Epoxy Resin-Based Insulating Materials
by Zhiling Chen, Li Cheng, Wenlong Xu and Ruijin Liao
Materials 2025, 18(24), 5647; https://doi.org/10.3390/ma18245647 - 16 Dec 2025
Viewed by 336
Abstract
Silicone rubber from decommissioned composite insulators has become one of the major environmental challenges in the power industry due to its non-degradable nature. Therefore, the recycling and reuse of silicone rubber are of great environmental and economic significance. In this work, a method [...] Read more.
Silicone rubber from decommissioned composite insulators has become one of the major environmental challenges in the power industry due to its non-degradable nature. Therefore, the recycling and reuse of silicone rubber are of great environmental and economic significance. In this work, a method for preparing silica microspheres based on stepwise pyrolysis combined with post-treatment particle size fractionation is proposed. First, highly spherical silica microspheres were obtained by stepwise pyrolysis. Subsequently, glass fiber membrane filtration and aga-rose gel electrophoresis were employed as post-treatment methods to achieve particle size fractionation and enhanced uniformity. The results indicate that the post-treated silica microspheres exhibit high uniformity, high sphericity, and good dispersibility. This method significantly improves the structural uniformity and microscopic characteristics of the microspheres, making them promising high-value fillers for epoxy resin insulation modification. Comparative analysis with commercial nanosilica used as epoxy fillers shows that the recycled and fractionated silica microspheres achieve comparable improvements in breakdown strength and dielectric performance, confirming their potential for recycling and reuse in high-voltage insulation and electronic packaging applications. Full article
(This article belongs to the Section Green Materials)
Show Figures

Figure 1

13 pages, 1291 KB  
Article
Laboratory Measurements of Electromagnetic Wave Attenuation of Building Materials in the W-Band (75–110 GHz)
by Krzysztof Maniak and Remigiusz Mydlikowski
Appl. Sci. 2025, 15(24), 13178; https://doi.org/10.3390/app152413178 - 16 Dec 2025
Viewed by 436
Abstract
Recent developments in sixth-generation (6G) communication systems have increased interest in using sub-terahertz frequencies, particularly the W-band (75–110 GHz), for high-capacity indoor links. At these frequencies, electromagnetic (EM) wave attenuation introduced by building materials becomes a key factor limiting system performance. The objective [...] Read more.
Recent developments in sixth-generation (6G) communication systems have increased interest in using sub-terahertz frequencies, particularly the W-band (75–110 GHz), for high-capacity indoor links. At these frequencies, electromagnetic (EM) wave attenuation introduced by building materials becomes a key factor limiting system performance. The objective of this study is to provide continuous, laboratory-validated attenuation characteristics of commonly used construction and finishing materials across the full W-band. Measurements were conducted in an accredited electromagnetic compatibility laboratory using a calibrated far-field setup with a vector network analyzer, W-band frequency extenders, and standard-gain horn antennas inside an anechoic chamber. For each frequency point, 20 measurements were recorded under controlled environmental conditions. The results show distinct attenuation behaviour depending on material type: wood-based materials exhibit 6–13 dB/cm, construction materials 2–4 dB/cm, and insulation materials below 0.3 dB/cm, while ceramic materials exceed 15–23 dB/cm. A general increase in attenuation with frequency is observed, particularly for materials with higher dielectric losses. The presented dataset enables more accurate indoor propagation modelling, supports ray-tracing and link-budget analyses, and provides practical guidelines for designing radio-transparent building components for future 6G communication systems. Full article
Show Figures

Figure 1

15 pages, 2119 KB  
Article
Lightweight Modification of Polypropylene Cable Insulation Materials Doped with Hollow Glass Microspheres
by Xindong Zhao, Dongxu Luo, Kai Wang, Jiaming Yang, Ling Weng, Xiongjun Liu, Xiao Han and Xin Yao
Polymers 2025, 17(24), 3321; https://doi.org/10.3390/polym17243321 - 16 Dec 2025
Viewed by 445
Abstract
Overhead transmission lines have long relied on cross-linked polyethylene (XLPE) insulation. The production of XLPE insulation requires silane cross-linking, which generates by-products, consumes high energy, and results in poor recyclability-retired XLPE insulation can only be disposed of through incineration or landfilling. Additionally, its [...] Read more.
Overhead transmission lines have long relied on cross-linked polyethylene (XLPE) insulation. The production of XLPE insulation requires silane cross-linking, which generates by-products, consumes high energy, and results in poor recyclability-retired XLPE insulation can only be disposed of through incineration or landfilling. Additionally, its high density leads to increased cable weight and sag, reducing the service life of the cables. Therefore, there is an urgent need to develop recyclable and lightweight insulation materials. In this study, recyclable polypropylene (PP) was used as a substitute for XLPE. Hollow glass microspheres (HGM) were incorporated to reduce weight, and hydrogenated styrene-ethylene-butylene-styrene block copolymer (SEBS) was added for toughening, thereby constructing a PP/HGM/SEBS ternary composite system. The results show that the introduction of HGM into the PP matrix effectively reduces the material density, decreasing from 0.890 g/cm3 (pure PP) to 0.757 g/cm3—a reduction of 15%. With the addition of SEBS, the mechanical properties of the composite are significantly improved: the tensile strength increases from 14.94 MPa (PP/HGM) to 32.40 MPa, and the elongation at break jumps sharply from 72.02% to 671.22%, achieving the synergistic optimization of “weight reduction” and “strengthening-toughening”. Electrical performance tests indicate that the PP/HGM/SEBS composite exhibits a volume resistivity of 1.66 × 1012 Ω·m, a characteristic breakdown strength of 108.6 kV/mm, a low dielectric loss tangent of 2.76 × 10−4, and a dielectric constant of 2.24. It achieves density reduction while maintaining low dielectric loss and high insulation strength, verifying its feasibility for application in lightweight insulation scenarios of overhead transmission lines. Full article
Show Figures

Figure 1

12 pages, 6047 KB  
Article
Basic Concept of Purity Analysis of Facilities for High-Temperature Non-Oxide Crystal Growth
by Elena Voronina, Elena Mozhevitina, Karina Kim, Victoria Solomatina, Oleg Nefedov and Igor Avetissov
Crystals 2025, 15(12), 1059; https://doi.org/10.3390/cryst15121059 - 14 Dec 2025
Viewed by 334
Abstract
The general procedure for measurement of impurities in hot zones of high-temperature growth setups is proposed and developed. In the first step, we prepared extra-pure 15 × 15 × 8 mm collecting cubes from composite graphite by high-temperature annealing in dry dynamic vacuum. [...] Read more.
The general procedure for measurement of impurities in hot zones of high-temperature growth setups is proposed and developed. In the first step, we prepared extra-pure 15 × 15 × 8 mm collecting cubes from composite graphite by high-temperature annealing in dry dynamic vacuum. The collecting cubes were placed in different parts of the hot zones of growth setups. We tested two types of crystal growth setups: single- and multi-crucible growth setups of a VGF configuration for AIIIBV semiconductors’ crystal growth. The hot zones of the setups were built from different types of graphite materials and high-temperature dielectric ceramics (BN and Al2O3) as insulators. The growth setups with collecting cubes without raw crystal materials were heated to operating temperatures, exposed for certain operating periods, and cooled to room temperature. The cubes were taken off and analyzed by extraction of condensed impurities into an analytic super-pure acid. The extracted impurities in the acid were determined by ICP-MS analysis. We showed that the hot zone of a single-crucible growth setup was nearly twice as pure (averaged 2.45 mg/g) compared with the hot zone of a multi-crucible setup (averaging 4.06 mg/g) because of the different graphite materials of the constructions. Full article
(This article belongs to the Section Industrial Crystallization)
Show Figures

Figure 1

20 pages, 2110 KB  
Review
XLPE and Beyond: A Review of Recent Progress in Polymer Nanocomposites for Dielectric Insulation in High-Voltage Cables
by Alexander A. Yurov, Ivan N. Zubkov, Alexey V. Lukonin, Oleg Y. Kaun, Alexander E. Bogachev and Victor A. Klushin
Materials 2025, 18(24), 5553; https://doi.org/10.3390/ma18245553 - 10 Dec 2025
Viewed by 909
Abstract
Crosslinked polyethylene (XLPE) has been the cornerstone material in the power industry for insulating high-voltage cables due to its exceptional properties, including reduced dielectric loss, high dielectric constant and thermal conductivity, and excellent resistance to electrical stress. In the current study, in order [...] Read more.
Crosslinked polyethylene (XLPE) has been the cornerstone material in the power industry for insulating high-voltage cables due to its exceptional properties, including reduced dielectric loss, high dielectric constant and thermal conductivity, and excellent resistance to electrical stress. In the current study, in order to further enhance the electrical and mechanical properties of XLPE’s various types of nanofillers such as metal oxides, boron nitride nanosheets of nanosilica and graphene oxide are incorporated into the XLPE matrix. These nanoparticles promote the occurrence of numerous trap sites, even at modest concentrations, due to their extensive interfacial regions, which affect crucial characteristics including breakdown voltage strength, electrical tree growth, structural defects, space charge accumulation, and thermal aging. The present review summarizes the effects of nanoparticles on the dielectric performance of XLPE. At the same time, the current advancements in the development of a new generation of recyclable insulation materials are briefly discussed. Full article
(This article belongs to the Section Energy Materials)
Show Figures

Graphical abstract

Back to TopTop