A Method for Extracting Characteristic Parameters of Frequency Domain Dielectric Spectroscopy of Oil-Paper Insulation Using Modified Cole–Cole Model
Abstract
1. Introduction
2. Modified Cole–Cole Model and Characteristic Parameters
3. Parameters Estimation of the Modified Cole–Cole Model
3.1. Selection of Initial Parameter Values
- (1)
- : Take the average value of measured at the frequencies above 100 Hz.
- (2)
- : Take the frequency point corresponding to the dielectric loss peak A in the imaginary part. Then, . This peak is quite noticeable in the relationship between the dielectric loss and the frequency domain.
- (3)
- : Select the low-frequency linear segment in and perform a linear fit on the measured data between these two points. Assume that the intercept obtained by the fitting is ; then
- (4)
- : On the frequency plot, take a point C with a frequency greater than . The curve between and appears linear. Perform a linear fit on this segment of data, and let the slope obtained be . Then, .
- (5)
- and : Take the imaginary part coordinates measured at frequencies above 100 Hz for linear fitting, and the slopes obtained are and , and the initial values of and are
- (6)
- Take the lowest frequency measurement point E on the real part curve, and denote its measurement frequency and corresponding as and , respectively; then we have
3.2. Defining the Objective Function
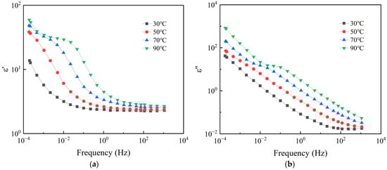
4. The Influence of Temperature on Frequency Domain Dielectric Spectroscopy Characteristics
4.1. Test Samples and Measurement Procedure
4.2. Frequency Domain Dielectric Spectrum Curves at Different Temperatures
5. The Impact of Temperature on the Parameters of the Modified Cole–Cole Model
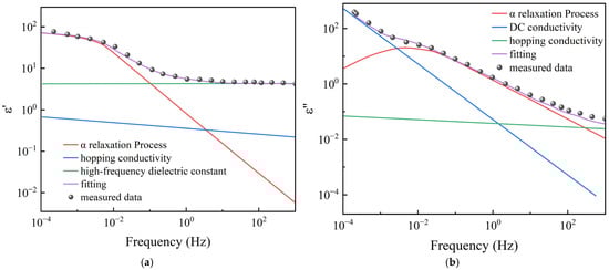
5.1. Fitting Results of Modified Cole–Cole Model at Different Temperatures
5.2. Variation Patterns of α-Relaxation and DC Conductivity Process
5.3. Comparative Analysis of Dielectric Models
6. Future Prospective
7. Conclusions
Author Contributions
Funding
Data Availability Statement
Conflicts of Interest
References
- Kaliappan, G.; Rengaraj, M. Aging assessment of transformer solid insulation: A review. Mater. Today Proc. 2021, 47, 272–277. [Google Scholar] [CrossRef]
- Xue, W.; Wang, H.; Wang, S.; Xie, J.; Chen, X. Experimental Study and XY Model Simulation on the Polarization and Depolarization Characteristics of Oil-paper Insulation. In Proceedings of the 2019 International Conference on Computer, Network, Communication and Information Systems (CNCI 2019); Atlantis Press: Qingdao, China, 2019. [Google Scholar] [CrossRef]
- Arshad, M.; Islam, S. Significance of cellulose power transformer condition assessment. IEEE Trans. Dielectr. Electr. Insul. 2011, 18, 1591–1598. [Google Scholar] [CrossRef]
- Sun, P.; Wu, J.; Sima, W.; Yang, M. Influence of thermal aging on the breakdown characteristics of tran sformer oil impregnated paper. IEEE Trans. Dielectr. Electr. Insul. 2016, 23, 3373–3381. [Google Scholar] [CrossRef]
- Yuan, Z. Investigating Aging Characteristics of Oil-Immersed Power Transformers’ Insulation in Electrical-Thermal-Mechanical Combined Conditions. Polymers 2023, 15, 4239. [Google Scholar] [CrossRef] [PubMed]
- Brutsch, R.; Tari, M.; Weiers, T.; Frohlich, K.; Vogelsang, R. Insulation Failure Mechanisms of Power Generators. IEEE Electr. Insul. Mag. 2008, 24, 17–25. [Google Scholar] [CrossRef]
- Saha, T.K. Review of modern diagnostic techniques for assessing insulation condition in aged transformers. IEEE Trans. Dielectr. Electr. Insul. 2003, 10, 903–917. [Google Scholar] [CrossRef]
- Fofana, I.; Bouaïcha, A.; Farzaneh, M. Characterization of aging transformer oil-pressboard insulation using some modern diagnostic techniques. Eur. Trans. Electr. Power 2011, 21, 1110–1127. [Google Scholar] [CrossRef]
- Gu, Z.; Du, L.; Wan, F.; Yun, Y.; Shi, H.; Chen, W. Silver nano-bulks surface-enhanced Raman spectroscopy used as rapid insitu method for detection of furfural concentration in transformer oil. IEEE Trans. Dielectr. Electr. Insul. 2018, 25, 457–463. [Google Scholar] [CrossRef]
- Gao, S.; Ke, T.; Yang, L. Failure mechanism of transformer oil-immersed cellulosic insulation induced by sulfur corrosion. Cellulose 2020, 27, 7157–7174. [Google Scholar] [CrossRef]
- Liu, J.; Liao, R.; Zheng, H.; Wei, H.; Zhang, Y. Grey Relational Analysis for Insulation Condition Assessment of Power Transformers Based Upon Conventional Dielectric Response Measurement. Energies 2017, 10, 1526. [Google Scholar] [CrossRef]
- Morsalin, S.; Phung, B.T. Dielectric response study of service-aged XLPE cable based on polarisation and depolarisation current method. IEEE Trans. Dielectr. Electr. Insul. 2020, 27, 58–66. [Google Scholar] [CrossRef]
- Poovamma, P.K.; Sudhindra, A.; Mallikarjunappa, K.; Ahamad, T.R.A. Evaluation of Transformer Insulation by Frequency Domain Technique. In Proceedings of the 2007 IEEE International Conference on Solid Dielectrics, Winchester, UK, 8–13 July 2007; pp. 681–684. [Google Scholar]
- Gao, J.; Wang, Y.; Hao, J.; Qi, C.; Yang, L.; Liu, J. Quantitative evaluation of ageing condition of oil-paper insulation using frequency domain characteristic extracted from modified cole-cole model. IEEE Trans. Dielectr. Electr. Insul. 2015, 22, 2694–2702. [Google Scholar] [CrossRef]
- Liu, J.; Fan, X.; Zhang, C.; Zhang, H.; Zhang, Y. Aging evaluation for transformer oil-immersed cellulose insulation by using frequency dependent dielectric modulus technique. Cellulose 2021, 28, 2387–2401. [Google Scholar] [CrossRef]
- Linhjell, D.; Gafvert, U.; Lundgaard, L. Dielectric response of mineral oil impregnated cellulose and the impact of aging. IEEE Trans. Dielectr. Electr. Insul. 2007, 14, 156–169. [Google Scholar] [CrossRef]
- Liao, R. Quantitative analysis of insulation condition of oil-paper insulation based on frequency domain spectroscopy. IEEE Trans. Dielectr. Electr. Insul. 2015, 22, 322–334. [Google Scholar] [CrossRef]
- Fofana, I. On the frequency domain dielectric response of oil-paper insulation at low temperatures. IEEE Trans. Dielectr. Electr. Insul. 2010, 17, 799–807. [Google Scholar] [CrossRef]
- Saknure, S.H.; Garad, N.P.; Gubre, A.G.; Joshi, Y.S.; Kumbharkhane, A.C. Molecular interactions studies of methyl cellulose-water solutions using dielectric spectroscopy. Phys. Chem. Liq. 2023, 61, 229–239. [Google Scholar] [CrossRef]
- Cole, K.S.; Cole, R.H. Dispersion and Absorption in Dielectrics I. Alternating Current Characteristics. J. Chem. Phys. 1941, 9, 341–351. [Google Scholar] [CrossRef]
- Cole, K.S.; Cole, R.H. Dispersion and Absorption in Dielectrics II. Direct Current Characteristics. J. Chem. Phys. 1942, 10, 98–105. [Google Scholar] [CrossRef]
- Cole, R.H. Dielectric Polarization and Relaxation; Springer: Dordrecht, The Netherlands, 1984. [Google Scholar] [CrossRef]
- Barthel, J.; Kleebauer, M.; Buchner, R. Dielectric relaxation of electrolyte solutions in acetonitrile. J. Solut. Chem 1995, 518, 1–17. [Google Scholar] [CrossRef]
- Pradhan, A.K.; Tenbohlen, S. Estimation of Moisture Content in Oil-impregnated Pressboard through Analyzing Dielectric Response Current under Switching Impulse. IEEE Trans. Dielectr. Electr. Insul. 2021, 28, 938–945. [Google Scholar] [CrossRef]
- Zhao, H.; Mu, H.; Zhang, D.; Ding, N.; Wu, Y.; Zhang, G.; Tian, J.; Liang, Z. Analysis of FDS Characteristics of Oil-impregnated Paper Insulation under High Electric Field Strength Based on the Motion of Charge Carriers. IEEE Trans. Dielectr. Electr. Insul. 2021, 28, 1153–1161. [Google Scholar] [CrossRef]
- Ojha, S.K.; Purkait, P.; Chatterjee, B.; Chakravorti, S. Application of Cole–Cole model to transformer oil-paper insulation considering distributed dielectric relaxation. High Volt. 2019, 4, 72–79. [Google Scholar] [CrossRef]
- Liu, J.; Zhou, L.; Wu, G.; Zhao, Y.; Liu, P.; Peng, Q. Dielectric frequency response of oil-paper composite insulation modified by nanoparticles. IEEE Trans. Dielectr. Electr. Insul. 2012, 19, 510–520. [Google Scholar] [CrossRef]
- Hao, J.; Dai, X.; Gao, J.; Yang, L.; Jian, Z.; Du, Y.; Liao, R. Synergistic enhancement effect of moisture and aging on frequency dielectric response of oil-immersed cellulose insulation and its degree of polymerization evaluation using dielectric modulus. Cellulose 2021, 28, 1–17. [Google Scholar] [CrossRef]
- Liu, J.; Zhou, L.; Wu, G. Frequency response characteristics of nano-modified transformer oil-paper composite insulation. Proc. CSEE 2011, 31, 144–153. [Google Scholar]
- Tuncer, E.; Gubanski, S.M. Electrical properties of filled silicone rubber. J. Phys. Condens. Matter 2000, 12, 1873–1897. [Google Scholar] [CrossRef]
- Lijun, Y.; Sihang, G.; Jun, G. Characteristic Parameters Extracted From Modified Cole-Cole Model and Moisture Content Assessment Methods Study on Frequency-Domain Dielectric Spectroscopy of Oil-Paper Insulation. Trans. China Electro Tech. Soc. 2016, 31, 26–33. [Google Scholar]
- Tang, C.; Chen, R.; Zhang, J.; Peng, X.; Chen, B.; Zhang, L. A review on the research progress and future development of nano-modified cellulose insulation paper. IET Nanodielectr. 2022, 5, 63–84. [Google Scholar] [CrossRef]
- Sahoo, A.; Paul, T.; Maiti, S.; Banerjee, R. Temperature-dependent dielectric properties of CsPb2Br5: A 2D inorganic halide perovskite. Nanotechnology 1957, 33, 195703. [Google Scholar] [CrossRef]
- Nguyen, H.M.; Pouget, S.; Benedetto, H.; Sauzéat, C. Time-temperature superposition principle for bituminous mixtures. Eur. J. Environ. Civ. Eng. 2009, 13, 1095–1107. [Google Scholar] [CrossRef]







| Parameters | ||||||||||
| Definition |
| Parameter | Before Optimization | After Optimization |
|---|---|---|
| 4.7741 | 4.38 | |
| 72 | 73.39 | |
| 0.75 | 0.70 | |
| 23.3718 | 34.21 | |
| 3.26 | 3.28 | |
| 0.14 | 0.071 | |
| 6.0 | 3.74 | |
| 196 | 19.71 | |
| 69 | 11.32 | |
| 259 | 57.35 | |
| 0.689 | 0.998 | |
| 0.825 | 0.976 |
| 30 | 3.70 | 60.00 | 0.72 | 1500.00 | 0.24 | 0.12 | 3.87 |
| 40 | 4.10 | 100.71 | 0.74 | 629.79 | 0.39 | 0.08 | 3.86 |
| 50 | 3.88 | 98.96 | 0.69 | 263.99 | 0.83 | 0.13 | 3.35 |
| 60 | 4.33 | 100.45 | 0.68 | 99.76 | 2.10 | 0.13 | 3.89 |
| 70 | 4.38 | 73.39 | 0.70 | 34.21 | 3.28 | 0.07 | 3.74 |
| 80 | 4.43 | 59.38 | 0.70 | 7.57 | 8.03 | 0.11 | 4.00 |
| 90 | 4.31 | 59.72 | 0.71 | 3.01 | 13.44 | 0.09 | 3.98 |
| Parameter | |||
|---|---|---|---|
| 0.996 | 0.98 | ||
| 0.659 | 0.99 |
| Model | Component Included | SSE (ε′) | SSE (ε′′) | R2 (ε′) | R2 (ε′′) |
|---|---|---|---|---|---|
| Fundamental Cole–Cole | α-relaxation only | 87.64 | 41.27 | 0.902 | 0.897 |
| Ekanayake’s Model | α-relaxation + fractional conductivity (Aω−n term) | 48.11 | 27.05 | 0.944 | 0.929 |
| Modified Cole–Cole | α-relaxation + DC conductivity + hopping conductivity | 19.71 | 11.32 | 0.998 | 0.976 |
Disclaimer/Publisher’s Note: The statements, opinions and data contained in all publications are solely those of the individual author(s) and contributor(s) and not of MDPI and/or the editor(s). MDPI and/or the editor(s) disclaim responsibility for any injury to people or property resulting from any ideas, methods, instructions or products referred to in the content. |
© 2025 by the authors. Licensee MDPI, Basel, Switzerland. This article is an open access article distributed under the terms and conditions of the Creative Commons Attribution (CC BY) license (https://creativecommons.org/licenses/by/4.0/).
Share and Cite
Ahmed, R.; Ji, L.; Mingze, Z.; Hammad, M.Z. A Method for Extracting Characteristic Parameters of Frequency Domain Dielectric Spectroscopy of Oil-Paper Insulation Using Modified Cole–Cole Model. Electronics 2025, 14, 2656. https://doi.org/10.3390/electronics14132656
Ahmed R, Ji L, Mingze Z, Hammad MZ. A Method for Extracting Characteristic Parameters of Frequency Domain Dielectric Spectroscopy of Oil-Paper Insulation Using Modified Cole–Cole Model. Electronics. 2025; 14(13):2656. https://doi.org/10.3390/electronics14132656
Chicago/Turabian StyleAhmed, Raheel, Liu Ji, Zhang Mingze, and Muhammad Zahid Hammad. 2025. "A Method for Extracting Characteristic Parameters of Frequency Domain Dielectric Spectroscopy of Oil-Paper Insulation Using Modified Cole–Cole Model" Electronics 14, no. 13: 2656. https://doi.org/10.3390/electronics14132656
APA StyleAhmed, R., Ji, L., Mingze, Z., & Hammad, M. Z. (2025). A Method for Extracting Characteristic Parameters of Frequency Domain Dielectric Spectroscopy of Oil-Paper Insulation Using Modified Cole–Cole Model. Electronics, 14(13), 2656. https://doi.org/10.3390/electronics14132656

