Sign in to use this feature.

Years

Between: -

Subjects

remove_circle_outline
remove_circle_outline
remove_circle_outline
remove_circle_outline
remove_circle_outline
remove_circle_outline
remove_circle_outline
remove_circle_outline
remove_circle_outline

Journals

remove_circle_outline
remove_circle_outline
remove_circle_outline
remove_circle_outline
remove_circle_outline
remove_circle_outline

Article Types

Countries / Regions

remove_circle_outline
remove_circle_outline
remove_circle_outline
remove_circle_outline
remove_circle_outline

Search Results (709)

Search Parameters:
Keywords = delay-differential equations

Order results
Result details
Results per page
Select all
Export citation of selected articles as:
22 pages, 504 KB  
Article
Approximate Controllability and Existence Results of the Sobolev-Type Fractional Stochastic Differential Equation Driven by a Fractional Brownian Motion
by Sadam Hussain, Muhammad Sarwar, Syed Khayyam Shah, Kamaleldin Abodayeh and Manuel De La Sen
Fractal Fract. 2026, 10(3), 203; https://doi.org/10.3390/fractalfract10030203 - 20 Mar 2026
Viewed by 122
Abstract
In this article, we investigate the existence and approximate controllability of a class of Sobolev-type fractional stochastic differential equations of order 1<δ<2 with infinite delay. The analysis is carried out in an abstract Hilbert space framework, incorporating fractional dynamics [...] Read more.
In this article, we investigate the existence and approximate controllability of a class of Sobolev-type fractional stochastic differential equations of order 1<δ<2 with infinite delay. The analysis is carried out in an abstract Hilbert space framework, incorporating fractional dynamics together with stochastic perturbations. By employing techniques from fractional calculus, semigroup theory, and fixed point theory, particularly the Banach contraction principle along with compactness arguments, we establish the existence of mild solutions for the proposed system. Subsequently, sufficient conditions for approximate controllability are derived by combining operator-theoretic methods with stochastic analysis. The novelty of this work lies in extending controllability results to Sobolev-type fractional stochastic systems of order 1<δ<2, where both the higher-order fractional structure and stochastic effects are treated simultaneously within a unified framework. This generalizes and complements several existing results in the literature that mainly address deterministic systems or fractional differential equations of order 0<δ1. Finally, an illustrative example is presented to demonstrate the applicability and effectiveness of the theoretical findings. Full article
Show Figures

Figure 1

17 pages, 627 KB  
Article
Asymptotic Behavior of Solutions to Delayed Nonlinear Integral Equations Influenced by Growth Rates and Time Delays
by Khalaf M. Alanazi
Mathematics 2026, 14(6), 1017; https://doi.org/10.3390/math14061017 - 17 Mar 2026
Viewed by 145
Abstract
This study examines partial differential equation models with delay on both unbounded and bounded domains. The mathematical model is reformulated as a system of nonlinear integral equations. The primary objective is to investigate the long-time behavior of solutions to nonlinear integral equations and [...] Read more.
This study examines partial differential equation models with delay on both unbounded and bounded domains. The mathematical model is reformulated as a system of nonlinear integral equations. The primary objective is to investigate the long-time behavior of solutions to nonlinear integral equations and to compare these findings with those from the partial differential equation model under varying growth rates. The theory of asymptotic spreading speed is employed to achieve this objective. The existence and uniqueness of solutions to the nonlinear integral equations are demonstrated. Minimal wave speeds are calculated for the model with bounded and unbounded domains, considering different growth rates and time delays. Numerical experiments are conducted to validate the theoretical results. Full article
Show Figures

Figure 1

24 pages, 3678 KB  
Article
Comparing Incommensurable Quantities: Intertemporal vs. Risky Choices with Single Outcomes
by Si-Chu Shen, Yuan-Na Huang, Yi-Juan Zhang, Yi Kuang, Shu-Wen Yang and Shu Li
Behav. Sci. 2026, 16(3), 372; https://doi.org/10.3390/bs16030372 - 5 Mar 2026
Viewed by 229
Abstract
The equate-to-differentiate (ETD) model posits that individuals tend to equate a less significant difference between options on one dimension and thus leave the greater one-dimensional difference to be differentiated as the determinant for the preferred option. However, when confronted with an ostensibly “simple” [...] Read more.
The equate-to-differentiate (ETD) model posits that individuals tend to equate a less significant difference between options on one dimension and thus leave the greater one-dimensional difference to be differentiated as the determinant for the preferred option. However, when confronted with an ostensibly “simple” choice between two risky options with single-nonzero outcomes or between two intertemporal options with single-dated outcomes, we face an insurmountable barrier against the ETD model’s explanation and prediction of these choices. The reason is that determining which intra-dimensional difference (∆PayoffA,B or ∆ProbabilityA,B/∆DelayA,B) between Option A and Option B is greater is meaningless and is considered to be a challenge in the physical world. To address this challenge and evaluate whether such decisions are indeed governed by the ETD process, the present study developed a visual analogue scale designed to capture individuals’ subjective comparisons across dimensions of different units. Across two studies, we demonstrate that the analogically measured intra-dimensional comparison reliably and consistently predicts choice patterns attributed to separate anomalies: the common difference effect and unit effect in intertemporal decisions, and subproportionality and the peanuts effect in risky decisions. These findings suggest that both types of decisions may share a common cognitive mechanism based on dimensional evaluation, despite involving distinct informational metrics (time vs. probability). By enabling direct measurement of dimension-wise comparisons, our analogue scale—though unconventional—offers a novel methodological tool for exploring the underlying structure of seemingly “simple” decisions. The implications of this work extend to the development of unified models capable of integrating intertemporal and risky decision-making under a shared explanatory framework. Full article
Show Figures

Figure 1

23 pages, 1148 KB  
Article
Conservation-Consistent Modeling of Time-Varying Transfer Delays with Applications in Energy Systems
by Sara Bysko, Krzysztof Łakomiec and Krzysztof Fujarewicz
Energies 2026, 19(5), 1262; https://doi.org/10.3390/en19051262 - 3 Mar 2026
Viewed by 589
Abstract
Time delays are intrinsic to energy systems, arising from transport phenomena, communication latency, and control dynamics; however, their accurate modeling remains challenging, particularly under variable operating conditions. The most common delays are constant over time and are easy to model and simulate. However, [...] Read more.
Time delays are intrinsic to energy systems, arising from transport phenomena, communication latency, and control dynamics; however, their accurate modeling remains challenging, particularly under variable operating conditions. The most common delays are constant over time and are easy to model and simulate. However, simulation tools of time-varying delay systems rely on signal-delay representations that fail to enforce conservation laws, leading to unphysical results in applications involving mass or energy transport. This study develops a physically consistent mathematical framework for time-varying transfer delays that explicitly couples kinematic evolution with conservation principles through a dynamic gain term. A systematic classification is introduced, distinguishing between signal delays (information transfer) and transfer delays (physical transport), further categorized by the source of variability in time delay into Types R (variable extraction), W (variable supply), and M (variable medium). The proposed formulation was implemented in Simulink through newly developed functional blocks supporting all delay variants and validated against representative heat transport scenarios. Comparative analysis demonstrates that standard signal-delay models violate energy conservation by generating spurious energy, whereas the proposed transfer-delay formulation preserves physical consistency under variable-flow conditions. The framework provides a rigorous foundation for accurate modeling of district heating networks, renewable energy integration with power-to-gas systems, thermal storage, and smart grid communications, supporting the development of reliable control strategies essential for the ongoing energy transition. Full article
(This article belongs to the Special Issue Advances in Heat and Mass Transfer)
Show Figures

Figure 1

21 pages, 385 KB  
Article
Qualitative Analysis of Second-Order Atangana–Baleanu Fractional Delay Equations
by Amjad E. Hamza, Mohammed S. Abdo, Bakri Younis, Khaled Aldwoah, Osman Osman, Alawia Adam and Hicham Saber
Fractal Fract. 2026, 10(3), 150; https://doi.org/10.3390/fractalfract10030150 - 26 Feb 2026
Viewed by 265
Abstract
This paper investigates qualitative properties of fractional delay differential equations formulated in terms of the Atangana–Baleanu–Caputo (ABC) fractional derivative of order 1<ϱ<2. Three related problem settings are examined: equations with variable delay, the constant-delay case, and a multi-delay [...] Read more.
This paper investigates qualitative properties of fractional delay differential equations formulated in terms of the Atangana–Baleanu–Caputo (ABC) fractional derivative of order 1<ϱ<2. Three related problem settings are examined: equations with variable delay, the constant-delay case, and a multi-delay extension involving several discrete delay terms. For each formulation, sufficient conditions ensuring existence and uniqueness of solutions are established in both the supremum norm and an exponentially weighted Maksoud norm. The analysis is carried out using Banach’s fixed point theorem in conjunction with progressive contractions and suitable Lipschitz-type conditions. In addition, Ulam–Hyers (UH) and Ulam–Hyers–Rassias (UHR) stability results are derived, providing quantitative estimates on the sensitivity of solutions with respect to perturbations. To complement the theoretical findings, numerical examples are presented, one of which illustrates the behavior of approximate solutions for various fractional orders. Full article
(This article belongs to the Section General Mathematics, Analysis)
Show Figures

Figure 1

36 pages, 3130 KB  
Article
Rational (a, p)−Quasicontractions and Fractional Delayed Nonlocal Caputo Problems via Hammerstein Operators
by Mahpeyker Öztürk
Fractal Fract. 2026, 10(3), 148; https://doi.org/10.3390/fractalfract10030148 - 26 Feb 2026
Viewed by 179
Abstract
We introduce and study a new class of nonlinear operators on metric spaces, called rational (a, p)quasicontractions. Within this framework, we establish Greguš-type fixed-point theorems for closed, convex subsets of Banach spaces. The results establish the existence [...] Read more.
We introduce and study a new class of nonlinear operators on metric spaces, called rational (a, p)quasicontractions. Within this framework, we establish Greguš-type fixed-point theorems for closed, convex subsets of Banach spaces. The results establish the existence and uniqueness of fixed points, as well as the convergence of the Picard iteration for every initial guess. We show that rational (a, p)quasicontractions strictly extend several classical contractive classes, including Hardy-Rogers, Kannan, Chatterjea, and rational contractions, and we provide explicit examples exhibiting the properness of these inclusions. As an application, we consider a nonlocal boundary value problem for a Caputo fractional differential equation of order α(1, 2) with distributed delay and mixed nonlocal boundary conditions. By rewriting the problem as a Hammerstein-Volterra integral equation on a cone, and imposing natural growth and rational Lipschitz conditions on the delayed nonlinearity, we show that the associated Hammerstein operator is a rational (a, p)quasicontraction. This yields the existence, uniqueness, and global attractivity of a positive solution. Two model fractional nonlinearities with delayed feedback are discussed in detail, along with a numerical scheme that illustrates the predicted geometric convergence of the discrete Picard iteration in the Caputo fractional setting. Full article
Show Figures

Figure 1

18 pages, 502 KB  
Article
Effective Iterative Procedure for Delay Fractional Partial Differential Equations Using Sumudu Decomposition Method
by Mona Alsulami, Mariam Al-Mazmumy and Norah Sharif Al-Yazidi
Symmetry 2026, 18(3), 407; https://doi.org/10.3390/sym18030407 - 26 Feb 2026
Viewed by 253
Abstract
The present study aims to integrate the Adomian decomposition method with the Sumudu transform for solving delay fractional partial differential equations. Integrating these two methods enhances accuracy and computational efficiency, providing an effective approach for handling delays in fractional-order models. The decomposition method [...] Read more.
The present study aims to integrate the Adomian decomposition method with the Sumudu transform for solving delay fractional partial differential equations. Integrating these two methods enhances accuracy and computational efficiency, providing an effective approach for handling delays in fractional-order models. The decomposition method effectively decomposes complex fractional differential equations into convergent series, while the Sumudu transform simplifies and transforms these equations, facilitating the analysis of delayed systems. Its effectiveness has been demonstrated through multiple examples. Full article
(This article belongs to the Special Issue Integral/Differential Equations and Symmetry)
Show Figures

Figure 1

21 pages, 3678 KB  
Article
Dynamic Error Improved Model-Free Adaptive Control Method for Electro-Hydraulic Servo Actuators in Active Suspensions with Time Delay and Data Disturbances
by Hao Xiong, Dingxuan Zhao, Haiwu Zheng and Liqiang Zhao
Actuators 2026, 15(2), 130; https://doi.org/10.3390/act15020130 - 21 Feb 2026
Viewed by 314
Abstract
The Electro-Hydraulic Servo Actuator for Active Suspensions (ASEHSA) plays a decisive role in shaping the holistic performance of vehicle suspension systems through its dynamic response speed and control precision. However, achieving high-performance control of ASEHSA still faces challenges. On one hand, existing model-based [...] Read more.
The Electro-Hydraulic Servo Actuator for Active Suspensions (ASEHSA) plays a decisive role in shaping the holistic performance of vehicle suspension systems through its dynamic response speed and control precision. However, achieving high-performance control of ASEHSA still faces challenges. On one hand, existing model-based control methods are highly sensitive to parameter uncertainties and unmodeled nonlinear hydraulic dynamics, which can easily lead to reduced robustness in practical applications. On the other hand, traditional model-free strategies have limited time-delay compensation capabilities and often struggle to balance overshoot and settling time under delayed and disturbed conditions. To resolve this challenge, this study proposes an improved model-free adaptive control method that incorporates the differentiation of the tracking error (DE-IMFAC). Within the framework of traditional model-free adaptive control (MFAC), this approach reconfigures the time-delay term from an explicit form in the control law to implicit management, substantially mitigating the influence of time delays on system control performance. At the same time, by refining the performance criterion function and integrating a tracking error differentiation term together with dynamic weighting factors, the dynamic performance and adjustment flexibility of the controller are significantly enhanced. Additionally, by leveraging the characteristic equation of discrete autonomous systems and compression mapping theory, the BIBO stability of the DE-IMFAC control system and the monotonic convergence of the tracking error are rigorously established through theoretical analysis. Simulation and experimental results demonstrate that, compared with PID and traditional MFAC methods, DE-IMFAC significantly reduces integral absolute error, overshoot, settling time, and maximum position tracking error, while improving disturbance rejection capability. This approach does not depend on an accurate mathematical model of the ASEHSA system and maintains robust dynamic performance under complex operating environments characterized by time delays and data disturbances, providing a practical solution for ASEHSA and related industrial control systems. Full article
Show Figures

Figure 1

25 pages, 4068 KB  
Article
The Interplay Between Non-Instantaneous Dynamics of mRNA and Bounded Extrinsic Stochastic Perturbations for a Self-Enhancing Transcription Factor
by Lorenzo Cabriel, Giulio Caravagna, Sebastiano de Franciscis, Fabio Anselmi and Alberto D’Onofrio
Entropy 2026, 28(2), 238; https://doi.org/10.3390/e28020238 - 19 Feb 2026
Viewed by 267
Abstract
In this work, we consider a simple bistable motif constituted by a self-enhancing Transcription Factor (TF) and its mRNA with non-instantaneous dynamics. In particular, we mainly numerically investigated the impact of bounded stochastic perturbations of Sine–Wiener type affecting the degradation rate/binding rate constant [...] Read more.
In this work, we consider a simple bistable motif constituted by a self-enhancing Transcription Factor (TF) and its mRNA with non-instantaneous dynamics. In particular, we mainly numerically investigated the impact of bounded stochastic perturbations of Sine–Wiener type affecting the degradation rate/binding rate constant of the TF on the phase-like transitions of the system. We show that the intrinsic exponential delay in the TF positive feedback, due to the presence of a mRNA with slow dynamics, deeply affects the above-mentioned transitions for long but finite times. We also show that, in the case of more complex delays in the feedback and/or in the translation process, the impact of the extrinsic stochasticity is further amplified. We also briefly investigate the power-law behavior (PLB) of the averaged energy spectrum of the TF by showing that, in some cases, the PLB is simply due to the filtering nature of the motif. A similar analysis can also be applied to biological models having a qualitatively similar structure, such as the well-known Capasso and Paveri–Fontana model of cholera spreading. Full article
(This article belongs to the Section Statistical Physics)
Show Figures

Figure 1

23 pages, 2771 KB  
Article
Mathematical Modeling for Contagious Dental Health Issue: An Early Study of Streptococcus mutans Transmission
by Sanubari Tansah Tresna, Nursanti Anggriani, Herlina Napitupulu, Wan Muhamad Amir W. Ahmad and Asty Samiati Setiawan
Mathematics 2026, 14(4), 704; https://doi.org/10.3390/math14040704 - 17 Feb 2026
Viewed by 234
Abstract
Dental caries is an example of an oral infectious disease that affects many people worldwide, but it is not well studied in deterministic mathematical modeling. Therefore, we are interested in studying the dynamics of tooth cavity disease using a deterministic modeling approach. We [...] Read more.
Dental caries is an example of an oral infectious disease that affects many people worldwide, but it is not well studied in deterministic mathematical modeling. Therefore, we are interested in studying the dynamics of tooth cavity disease using a deterministic modeling approach. We propose a delay differential equation system (DDEs) to describe the phenomenon. The breakthrough of the constructed model is the formulation of the recovery rate as a saturation function constrained by healthcare capacity and the plausibility of caries reformation. In addition, we consider two controls, such as a health campaign and a post-treatment intervention. The mathematical analysis yields equilibrium solutions and their stability, which is determined by the basic reproduction number R0. Furthermore, backward bifurcation occurs as the medical facility’s capacity decreases, driven by an increasing infectious population. The sensitivity analysis results indicate that both considered controls are the most influential parameters. The optimal control problem is formulated using the Pontryagin Maximum Principle to obtain an optimal solution in suppressing the number of caries formation cases. At the end, a numerical simulation shows that interventions reduce the risk of transmission and suppress the number of infectious individuals. The constructed model has excellent future potential, such as generating a function for relapse cases or other preventive actions into an optimal control problem. Full article
(This article belongs to the Section E3: Mathematical Biology)
Show Figures

Figure 1

21 pages, 310 KB  
Article
Periodic Solutions and Exponential Stability of Nonlinear Neutral Differential Systems with State-Dependent Delays via Matrix Measure Approach
by Mouataz Billah Mesmouli, Loredana Florentina Iambor and Taher S. Hassan
Mathematics 2026, 14(4), 671; https://doi.org/10.3390/math14040671 - 13 Feb 2026
Viewed by 191
Abstract
This paper investigates a class of nonlinear neutral functional differential systems with multiple state-dependent delays. By combining the matrix measure framework with Banach’s and Krasnoselskii’s fixed point principles, we derive new explicit and verifiable criteria for the existence and uniqueness of T-periodic [...] Read more.
This paper investigates a class of nonlinear neutral functional differential systems with multiple state-dependent delays. By combining the matrix measure framework with Banach’s and Krasnoselskii’s fixed point principles, we derive new explicit and verifiable criteria for the existence and uniqueness of T-periodic solutions. Furthermore, we establish sufficient conditions for the exponential stability of the unique periodic solution, showing how the strength of the linear dissipation competes with the sensitivity of the state-dependent delays. The proposed results extend and unify several earlier contributions on systems with constant or time-varying delays, and rigorously characterize the influence of nonlinear feedback-dependent delay terms on periodic dynamics. Three detailed numerical examples are presented to verify the sharpness and applicability of the obtained conditions. Full article
12 pages, 725 KB  
Article
Dynamic Measurement of Power Grid Carbon Emission Factors Based on Carbon Emission Flow Theory
by Guimin Li, Qing Wang, Pingxin Wang, Yue Lin, Jian Yang, Zhimin Lu, Xiang Zhang, Dexiang Jia, Zhengcong Zhao and Shunchun Yao
Energies 2026, 19(4), 950; https://doi.org/10.3390/en19040950 - 12 Feb 2026
Viewed by 313
Abstract
Current carbon accounting in the power sector often relies on annual average emission factors, which suffer from ill-defined system boundaries, update delays, and insufficient temporal granularity. To address these limitations, this study introduces a high-spatiotemporal-resolution dynamic measurement model for grid carbon emission factors, [...] Read more.
Current carbon accounting in the power sector often relies on annual average emission factors, which suffer from ill-defined system boundaries, update delays, and insufficient temporal granularity. To address these limitations, this study introduces a high-spatiotemporal-resolution dynamic measurement model for grid carbon emission factors, grounded in carbon emission flow theory. Applied to a regional grid in northern China, the model employs nodal carbon–emission–flow balance to construct system-level matrix equations. This approach accurately traces the spatiotemporal transmission paths of carbon emissions, enabling refined, node-level, and hourly carbon accounting. A case study demonstrated that our model significantly outperformed existing static methods based on interprovincial power exchange in both resolution and accuracy. The results revealed pronounced spatiotemporal heterogeneity in grid emission factors: diurnal fluctuations reach up to 45% in maximum deviation, closely coupled with renewable energy output, while spatial disparities between high- and low-emission regions reach a factor of 4.7, highlighting the critical roles of generation mix and grid topology. This study confirms that high-resolution emission factors effectively overcome the biases of traditional methods, providing a critical data foundation for green electricity trading, demand-side response, and regionally differentiated emission-reduction policies. Our approach offers key methodological and policy insights for building new-type power systems and advancing carbon neutrality goals. Full article
(This article belongs to the Special Issue Advanced Low-Carbon Energy Technologies)
Show Figures

Figure 1

33 pages, 12130 KB  
Article
Optimal Operation Strategy for Regional CCHP Systems Considering Thermal Transmission Delay and Adaptive Temporal Discretization
by Shunchun Yao, Shunzhe Zhao, Jiehui Zheng, Youcai Liang, Qing Wang and Pingxin Wang
Appl. Sci. 2026, 16(4), 1711; https://doi.org/10.3390/app16041711 - 9 Feb 2026
Viewed by 275
Abstract
With the increasing integration of regional energy systems, the dynamic coupling characteristics of cooling, heating, and power flows have become significantly pronounced. However, traditional scheduling models often utilize steady-state assumptions that neglect the thermal transmission delay of the pipeline network, leading to spatiotemporal [...] Read more.
With the increasing integration of regional energy systems, the dynamic coupling characteristics of cooling, heating, and power flows have become significantly pronounced. However, traditional scheduling models often utilize steady-state assumptions that neglect the thermal transmission delay of the pipeline network, leading to spatiotemporal mismatches between energy supply and load demand. To address this issue, this paper proposes an optimal operation strategy for regional Combined Cooling, Heating, and Power (CCHP) systems that explicitly integrates thermal inertia. First, a Pipeline Fluid Micro-element Discretization Method (PFMDM) is developed based on the Lagrangian specification to accurately characterize the dynamic flow and thermal decay processes without the heavy computational burden of partial differential equations. In addition, the accuracy of PFMDM is directly benchmarked against a high-fidelity transient PDE solver (finite-volume TVD–MUSCL scheme) over a wide range of pipe lengths, flow velocities, and thermal loss coefficients, where the outlet-temperature RMSE remains below 0.2 °C. This model quantitatively reveals the “Virtual Energy Storage” (VES) mechanism of the pipeline network. Second, to overcome the “curse of dimensionality” in dynamic scheduling, a Load-Gradient-Based Adaptive Temporal Discretization (LG-ATD) method is proposed. This method maintains a fine-grained baseline for electrical settlement while dynamically aggregating thermal/cooling steps based on load fluctuations. Simulation results demonstrate that the proposed strategy corrects the significant physical deviations of the traditional steady-state model. The analysis reveals that the steady-state model underestimates the required heating and cooling supply capacities by up to 26.66% and 39.15%, respectively, due to the neglect of transmission losses and delays. By leveraging the VES mechanism, the proposed method enables a fuel-shift in the energy-supply structure, substantially decreasing the electricity purchasing cost (by 75.2% in the tested case). This reduction reflects a reallocation from grid purchases to on-site gas-fired cogeneration to maintain physical feasibility under delay and loss effects, and therefore, it is accompanied by an increase in natural gas consumption and a higher total operating cost. Furthermore, the LG-ATD method significantly alleviates the computational burden by substantially compressing the presolved model size and reducing the overall solving time by more than 80%, thereby effectively mitigating the curse of dimensionality for practical engineering applications. Full article
Show Figures

Figure 1

27 pages, 5516 KB  
Article
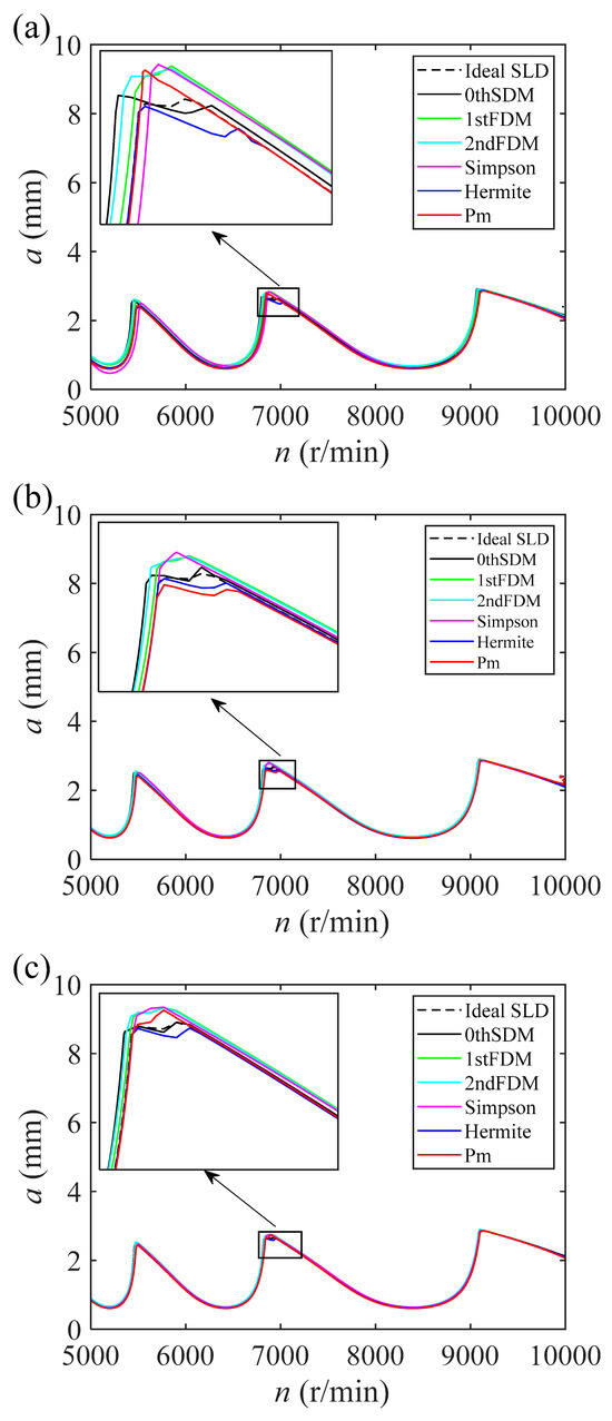
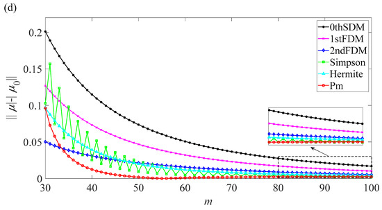
A Hybrid Integration Approach for Milling Stability Prediction of Regenerative Chatter Using Simpson and Hermite Methods
by Xinglong Wang, Yan Xia, Guosheng Su, Zhaoting Hou, Peirong Zhang, Binxun Li and Jin Du
Coatings 2026, 16(2), 216; https://doi.org/10.3390/coatings16020216 - 8 Feb 2026
Viewed by 319
Abstract
This paper proposes an enhanced numerical integration technique for predicting milling stability. The underlying milling dynamics model incorporates regenerative chatter effects, formulated as a system of linear time-delay differential equations. The computational methodology begins by dividing the tool engagement period into the free [...] Read more.
This paper proposes an enhanced numerical integration technique for predicting milling stability. The underlying milling dynamics model incorporates regenerative chatter effects, formulated as a system of linear time-delay differential equations. The computational methodology begins by dividing the tool engagement period into the free vibration and forced vibration intervals, followed by uniform discretization of the forced vibration interval. A numerical integration method is primarily carried out using Simpson’s and Hermite’s rules. Thus, a discrete dynamic mapping that correlates the system’s current state with its previous state is constructed. Based on this, the milling stability is ultimately determined by applying Floquet theory. Furthermore, the mean squared error metric is introduced to quantify the prediction accuracy of stability lobe diagrams. Through comprehensive comparative analyses, the predicted efficiency and accuracy of the proposed method are systematically benchmarked against the conventional approaches. The simulated and experimental results demonstrate that the proposed method achieves high computational efficiency alongside good accuracy, and its engineering practicality is rigorously validated through milling experiments. Full article
(This article belongs to the Section Surface Characterization, Deposition and Modification)
Show Figures

Figure 1

28 pages, 20041 KB  
Article
Prediction of Apron Queue Length Based on a Single-Server Queueing Network Model
by Nan Li, Jun An, Jiayi Peng, Xavier Olive, Xiao Liu and Zheng Gao
Aerospace 2026, 13(2), 156; https://doi.org/10.3390/aerospace13020156 - 6 Feb 2026
Viewed by 293
Abstract
Airport aprons are complex, multi-node operational hubs frequently affected by queue congestion resulting from control handovers, taxi conflicts, and external factors. To enable proactive congestion management, we propose a new and accurate method for apron queue length prediction. The core of our approach [...] Read more.
Airport aprons are complex, multi-node operational hubs frequently affected by queue congestion resulting from control handovers, taxi conflicts, and external factors. To enable proactive congestion management, we propose a new and accurate method for apron queue length prediction. The core of our approach is a multi-queue network model in which queues are systematically divided by control position and taxi direction. This framework, which applies the Fluid Flow Approximation and is calibrated with historical data, effectively captures the dynamics of multi-node traffic flow. In a validation case study at Beijing Daxing International Airport (ZBAD), the model achieved high accuracy, with the mean absolute error of queue length prediction averaging 0.5 aircraft. The results demonstrate the model’s ability to characterize queue dynamics on a minute-level scale across a full day. Full article
(This article belongs to the Section Air Traffic and Transportation)
Show Figures

Figure 1

Back to TopTop