Next Article in Journal
Statistical Modeling and Forecasting of Operational Reliability of Induction Motors of Mining Dump Trucks
Previous Article in Journal
Geometric Residual Projection in Linear Regression: Rank-Aware Operators and a Geometric Multicollinearity Index
 
 
Font Type:
Arial Georgia Verdana
Font Size:
Aa Aa Aa
Line Spacing:
Column Width:
Background:
Article

Mathematical Modeling for Contagious Dental Health Issue: An Early Study of Streptococcus mutans Transmission

by
Sanubari Tansah Tresna
1,
Nursanti Anggriani
2,*,
Herlina Napitupulu
2,
Wan Muhamad Amir W. Ahmad
3 and
Asty Samiati Setiawan
4
1
Doctoral Program of Mathematics, Faculty of Mathematics and Natural Sciences, Universitas Padjadjaran, Bandung 40132, Indonesia
2
Department of Mathematics, Faculty of Mathematics and Natural Sciences, Universitas Padjadjaran, Bandung 40132, Indonesia
3
School of Dental Sciences, Universiti Sains Malaysia, Kota Bharu 16150, Malaysia
4
Department of Public Health, Faculty of Dentistry, Universitas Padjadjaran, Bandung 40132, Indonesia
*
Author to whom correspondence should be addressed.
Mathematics 2026, 14(4), 704; https://doi.org/10.3390/math14040704
Submission received: 15 January 2026 / Revised: 14 February 2026 / Accepted: 15 February 2026 / Published: 17 February 2026
(This article belongs to the Section E3: Mathematical Biology)

Abstract

Dental caries is an example of an oral infectious disease that affects many people worldwide, but it is not well studied in deterministic mathematical modeling. Therefore, we are interested in studying the dynamics of tooth cavity disease using a deterministic modeling approach. We propose a delay differential equation system (DDEs) to describe the phenomenon. The breakthrough of the constructed model is the formulation of the recovery rate as a saturation function constrained by healthcare capacity and the plausibility of caries reformation. In addition, we consider two controls, such as a health campaign and a post-treatment intervention. The mathematical analysis yields equilibrium solutions and their stability, which is determined by the basic reproduction number R 0 . Furthermore, backward bifurcation occurs as the medical facility’s capacity decreases, driven by an increasing infectious population. The sensitivity analysis results indicate that both considered controls are the most influential parameters. The optimal control problem is formulated using the Pontryagin Maximum Principle to obtain an optimal solution in suppressing the number of caries formation cases. At the end, a numerical simulation shows that interventions reduce the risk of transmission and suppress the number of infectious individuals. The constructed model has excellent future potential, such as generating a function for relapse cases or other preventive actions into an optimal control problem.

1. Introduction

Dental caries is a primary cause of other oral health issues. Research by D’Hoore and Van Nieuwenhuysen et al. [1] found that dental caries is strongly associated with dental fluorosis. The impact of the oral microorganisms is not limited to oral health problems. When dental caries penetrates the tooth and enters the bloodstream, the organisms enter and spread to other parts of the body [2,3]. It is supported by Aarabi G., et al. [4] and Martini MA., et al. [3], who reveal their findings that similar microorganisms are detected in the lungs, heart, and brain in the sufferers of pneumonia, myocarditis, and dementia/Alzheimer’s disease, respectively. It can be concluded that dental caries precedes other serious diseases. Hence, it is important to study how the microorganism spreads among people to suppress dental caries sufferers.
Dental health is an attractive part of concern as it can represent the health of the body. Dental caries is one of the most common issues that disturb dental health. Nowadays, it is a preventable disease in its early stages, but inadequate knowledge and awareness lead to the disease being prevalent. Dental caries occurs because of the demineralization of enamel and dentin, which are part of dental hard tissues and result from organic acids produced in the bacterial fermentation of dietary carbohydrates [5]. As stated in the studies conducted in this area, dental caries is mainly developed by two microorganisms, namely Streptococcus mutans (S. mutans) and Porphyromonas gingivalis (P. gingivalis) [6,7]. In particular, S. mutans can preserve their vitality on limited surfaces such as teeth, and saliva transfer plays an essential role in the term microorganism spreads [7,8,9,10]. The spread risk of these depends on the amount of microorganisms in the mouth of the spreader [8].
In terms of microorganisms spread, both S. mutans and P. gingivalis can be transmitted vertically and horizontally. Vertical transmission refers to the intrafamilial transfer of microorganisms, specifically from parents to their children. This mechanism is seen as a risk in situations and habits of having close contact among family members that allow the microorganisms to spread. For instance, the study in [7,9,11] reveals that the bacteria in children are mainly from the mother. It is supported by the fact that the microorganisms in oral babies are mostly around 71% until 90%, similar to the species in the mother [9]. At the same time, the study detects that some microorganism in a baby has a different genotype from those of the family members. It is indicated that the microorganisms can spread horizontally. The horizontal mechanism refers to the microorganisms spread from the environment, which occurs among the people living in a community [9,11]. For instance, the study in [12] investigates the kindergarten as a supportive environment for S. mutans spread and found bacteria with similar genotypes among the children. Therefore, we can study the tooth cavity dynamics by representing the issue in terms of S. mutans transmission among people. Nevertheless, mathematically, both transmission modes are assumed to be covered since the population is supposed to be homogeneous.
Mathematical modeling is a redoubtable approach to understanding the spread of a virus or microorganisms that cause an infection or a disease among people in a community. This approach is able to test and compare the spread of disease in any situation as a study to predict the phenomenon on a time scale [13]. In addition, modeling can be used to study the knowledge transmission among people [14] with the stability of the solution [15] and another study, such as the economic burden of conducting an intervention involved in the model [16]. Mathematical models are helpful in understanding how disease spreads quantitatively and permit us to check whether the hypotheses fulfill research goals, as their importance [17]. Constructing a mathematical model for a spreadable phenomenon needs some assumptions about the spreading mechanism or any stuff that is set as a goal. To date, mathematical modeling is frequently used to study many disease-transmission [18] and co-infection [19] phenomena, including typhoid [20], dengue [21,22], tuberculosis [23], COVID-19 [24,25], hepatitis C [26], diabetes [27], etc. It is not only used to understand the human disease spread, but this approach can also help in understanding the disease spread in plants [28,29,30] and animals [31,32,33]. Moreover, some researchers, such as in [34,35], constructed a mathematical model by considering any factors that are possibly involved in preventing or controlling disease spread.
The mathematical model is well-used in studying disease transmission, with no exception in dental health studies. Dental caries study using mathematical modeling is divided into two approaches, namely statistical and deterministic. Dental caries study using mathematical modeling is divided into two approaches, namely statistical and deterministic. A statistical approach was used by Kreth J., et al. [36] to reveal the coexistence and competition between S. mutans and S. sanguinis in oral biofilm, and deployed by Strauss FJ., et al. [37] to investigate the possibility of dental caries existing with periodontitis. Meanwhile, many researchers use a deterministic approach to explore dental health issues. For instance, a mathematical model was used to study the salivary clearance of sugar from the oral cavity [38,39,40]. Researchers in [41] proposed a mathematical model for in vivo aroma release when taking semi-liquid foods. In [42], the researchers constructed a mathematical model to study the recovery of oral biofilm after antibacterial treatment. Authors in [43] used mathematical modeling to understand the tooth demineralization process and its pH profiles in dental plaque. Out of the conducted studies, modeling how a dental issue is transmitted or how the microorganism that causes it can spread among people is not well-concerned, as stated in [44]. This is confirmed by a review study in [45], which revealed that no research has used deterministic modeling to study the dynamics of the population in terms of caries bacterial transmission. The researchers were the first to publish a research article on the transmission dynamics of dental health issues—tooth cavity—at the human population level. Furthermore, no deterministic model utilizing optimal control theory has yet been used to study the phenomenon of dental caries, both from the point of view of bacterial transmission or caries formation.
Based on the explanation above, there is a clear opportunity to utilize a deterministic model to explore the dynamics of caries formation cases by accounting for delays and any plausible interventions. To achieve the goal of reducing the incidence of dental caries, a new model, distinct from the model in [44], was developed and analyzed in this study. Here, we propose a fresh model based on a delay differential equation to represent the dynamics of dental caries cases caused by bacterial transmission among people, but it remains to prioritize the medical aspects. Two types of preventive action, such as health campaigns and post-treatment modes, are considered as control in different ways to treat people pre- and post-case formation. The motivation underlying this study is not only to expand the scope of deterministic modeling research but also to provide theoretical and numerical insights for the dental community in achieving the goal of suppressing potential caries cases, specifically a caries-free Indonesia by 2030. This article is divided into several sections, which are as follows: In Section 2, we elaborate on how the model was developed in our study. In Section 3, the developed model is analyzed using dynamical system theory. Next, we put the sensitivity and elasticity analysis results in Section 4. The construction of the optimal control model and its requirements are explored in Section 5. All graphical analyses that result from a numerical simulation are given in Section 6. Finally, we put the conclusion of our study and mention the possibility of further research to be conducted.

2. Model Formulation

The model formulation begins by dividing the human population, denoted by N , into three subpopulations, namely susceptible, infectious, and recovered. Each subpopulation is denoted mathematically as S ,   I , and R , respectively. The definitions and dynamics of all these subpopulations are explained below.
The susceptible subpopulation consists of healthy people who have never been exposed to caries-causing bacteria. We assume that the individual enters this subpopulation at a rate proportional to the population, i.e., μ N , per unit time, where μ 1 denotes the average of a human’s lifetime. Next, considering the probability of a susceptible individual meeting the infectious individual in a population, we define the rate of susceptible individuals being infectious as β S I N , where β is the transmission rate of caries-bacteria. However, in many disease-spread phenomena [23,46], a health campaign could reduce transmission. In our study, this term is defined as 1 c 1 β S I N , where c 1 denotes the level of a health campaign, valued between 0 and 1. Lastly, another outflux of this subpopulation is due to the natural death rate, denoted as μ S .
The infectious subpopulation consists of people who have detectable caries and may spread caries-causing bacteria to susceptible individuals. Susceptible individuals who are exposed to caries-causing bacteria at time t τ 1 enter the infectious subpopulation after a delay of τ 1 , which denotes the time taken to form caries. This term is inspired by [47], which revealed the fact that bacteria require 6–24 months to develop caries after initial exposure. The factor e μ τ 1 denotes the survival probability through this delay. This means that the number of people entering the infectious subpopulation may not equal the number leaving the susceptible subpopulation because some may die. Infectious people may recover via medical treatment at a rate ζ / ( 1 + m I ) , where the denominator denotes the saturation effect due to the limited medical resources ( m 0 ) . Nevertheless, treated or recovered people may experience caries reformation or relapse on another tooth, even without any transmission. It is plausible since caries-causing bacteria on teeth are so difficult to eradicate [42,48]. Hence, the treated or recovered people may experience relapse, which is a reformation of caries, at a rate ϕ , but a post-treatment intervention may reduce this risk. This relapse process manifests after the same delay τ 1 . Lastly, another outflux of this subpopulation is due to the natural death rate, denoted as μ I .
The recovered subpopulation consists of people who have been treated or recovered from caries. People who began treatment at time t τ 2 and complete it enter this subpopulation after a treatment delay of τ 2 . The factor e μ τ 2 denotes the survival probability during the treatment process. It means that the number of people entering this subpopulation may not equal the number leaving the infectious population because some may die. Next, based on the explanation in the previous paragraph, people in this subpopulation may experience relapse at a rate ϕ because eradicating the caries-causing bacteria is difficult. The only thing we can do is conduct a post-treatment intervention, which was denoted by c 2 previously. Lastly, another outflux of this subpopulation is due to the natural death rate, denoted as μ R (see Table 1).
Finally, we have the following delayed-time differential equations system as a mathematical model
d S t d t = μ N t β S t I t N t μ S t ,
d I t d t = 1 c 1 β S t τ 1 I t τ 1 N t τ 1 e μ τ 1 ζ 1 + m I t I t μ I t + 1 c 2 ϕ R t τ 1 e μ τ 1 ,
d R t d t = ζ 1 + m I t τ 2 I t τ 2 e μ τ 2 1 c 2 ϕ R t μ R t .
The initial condition for each subpopulation is assumed to be non-negative. Furthermore, scaling on the parameters and subpopulation was conducted using the method in [48] to ease the mathematical analysis of the model using the following term
s = S N ; i = I N ; r = R N ,
μ * = μ ζ ; β * = β ζ ;   ϕ * = ϕ ζ ; c 1 * = c 1 ζ ; c * = c 2 ζ ; m * = m N ; τ 1 * = τ 1 ζ ;   τ 2 * = τ 2 ζ ; t * = t ζ .
Using the relation s = 1 i r and taking the model in Equations (1)–(3) with respect to the scaled time t * = ζ t for i = 1 , 2 . While the ζ is set to be valued at one and removing the asterisks on the new parameters brings us to arrive at the final model as follows
d i t d t = 1 c 1 β s t τ 1 i t τ 1 e μ τ 1 1 1 + m i t i t μ i t + 1 c 2 ϕ r t τ 1 e μ t 1 d r t d t = 1 1 + m i t τ 2 i t τ 2 e μ τ 2 1 c 2 ϕ r t μ r t .
whereas Equation (1) can be rewritten as a non-dimensionalized equation, as follows
d s t d t = μ β s t i t μ s t .
Note that all parameters and variables in the system (4) and Equation (5) are now dimensionless. In addition, population numbers are scaled and bounded at one.

3. Dynamical Analysis

3.1. Preliminary Analysis

First of all, we ensure that the model in the system (4) with regarding Equation (5) is well-defined both mathematically and biologically. It means that the solutions of the model should always be non-negative for all t > 0 since it represents the existence of people with each tooth health condition. Related properties of these are written in the two theorems below. Theorem 1 guarantees the non-negative solution, whereas Theorem 2 explores the upper bound of the total population.
Theorem 1.
Given that the initial values of the model (4) and (5) are  s ( 0 ) , i ( 0 ) ,  and  r ( 0 ) 0 , the solution of each subpopulation will always be non-negative for all  t 0 .
Proof. 
Refer to the non-negativity proof in [49]. If s ( 0 ) 0 , i ( 0 ) 0 , and r ( 0 ) 0 , then from Equation (5) we have
d s t d t = μ β s t i t μ s t
d s t d t β i t μ s t
Separating the variables and integrating both sides, then
0 t 1 s τ d s d τ d τ 0 t β i τ + μ d τ
ln s t ln s 0 0 t β i τ + μ d τ
Hence,
s t s 0 e 0 t β i τ + μ d τ , t 0
Since all of the initial conditions are non-negative. By conducting the same procedures to all equations in the system (4) for all t 0 , we obtain that i t 0 and r t 0 . Therefore, the solution s t , i t , r y is non-negative and well-represented biologically.
Theorem 2.
The feasible region of the biological solution  = s , i , r R + 3 : s + i + r 1  is positively invariant for the system (4) and Equation (5).
Proof. 
Note that the total population at time t can be written as n t , which can be formulated as follows
n t = s t + i t + r t .
Therefore, the total population dynamics can be expressed as
d n t d t = d s t + i t + r t d t μ μ n t .
Solving the above equation with respect to n t and with a non-negative initial condition n 0 0 gives
n t 1 D e μ t
with D is constant. □
Hence, if we take t , then we have that n t is eventually bounded by one. Analog to the proof of Theorem 1 in [44], we concluded that is the positively invariant region for the model in the system (4).
Based on Theorems 1 and 2, we conclude that the constructed model in the system (4) with the implicit susceptible subpopulation (written in Equation (5) explicitly) has the meaning biologically and mathematically as an epidemic mathematical model.

3.2. Disease-Free Equilibrium Solution and Basic Reproduction Number

The disease-free equilibrium (DFE) solution represents the condition of the absence of disease infection in the system. It caused the total population to be fully susceptible, and the other subpopulations did not exist in the system in the long term. The model in the system (4) always produces a DFE solution as follows
ξ * = i * , r * = 0 , 0 .
In this study, we aim to investigate whether the transmission rate, treatment rate, and delay time play an important role in the disease spread, as well as steering the dynamics of the system toward a DFE solution. Hence, we must calculate the basic reproduction ratio to know the involved parameter in controlling the disease directly.
The basic reproduction ratio R 0 is crucial for epidemiology studies since it indicates when a disease starts spreading and predicts whether it will worsen over time. In our problem context and biological means, this ratio shows an estimated number of secondary tooth cavity infection cases caused by one primary infection. Mathematically, the R 0 may be calculated since we have the DFE solution (see Equation (6)). The next-generation matrix method in [50] is used to determine the basic reproduction ratio of the model in this study. While the proposed model considered discrete time delays, linearizing around ξ * renders the next-generation matrices delay-independent, with delays appearing only as exponential terms. We defined F as the new infection matrix and V as the transition matrix that contains the influxes and outfluxes phenomenon of each selected subpopulation. The F and V matrices are sufficiently determined only for exposed and infectious subpopulations in the system (4) and can be written as follows
F i , r = 1 c 1 β 1 i t τ 1 r t τ 1 i τ τ 1 e μ τ 1 + 1 c 2 ϕ r τ τ 1 e μ τ 1 0
and
V i , r = 1 1 + m i t i t + μ i t 1 1 + m i t τ 2 i t τ 2 e μ τ 2 + 1 c 2 ϕ r t + μ r t .
The matrices of F and V are linearized around ξ * , and evaluating their Jacobian matrices produced the next-generation matrices of F and V . Note that, at ξ * , all state variables are constant i * = r * = 0 . Consequently, all delayed terms i t τ 1 , 2 and r t τ 1 are also zero. Thus, the delays are no longer incorporated into the linearized system when computing the partial derivatives. They are involved only in the exponential survival rates e μ τ 1 and e μ τ 2 , which appear in the coefficients. Therefore, the F and V matrices can be formulated as
F i * , r * = 1 c 1 β e μ τ 1 1 c 2 ϕ e μ τ 1 0 0
V i * , r * = 1 + μ 0 e μ τ 2 1 c 2 ϕ + μ .
Next, to produce the next-generation matrix F V 1 , compute V 1 first, and it can be written as
V 1 i * , r * = 1 1 + μ 0 e μ τ 2 1 c 2 ϕ + μ 1 + μ 1 1 c 2 ϕ + μ .
Finally, the next-generation matrix can be written as
F V 1 = 1 c 1 β e μ τ 1 1 + μ + 1 c 2 ϕ e μ τ 1 e μ τ 2 1 c 2 ϕ + μ 1 + μ   1 c 2 ϕ e μ τ 1 1 c 2 ϕ + μ 0 0 .
Since it is an upper triangular matrix, the spectral radius of F V 1 is the entry of (1,1), which yields the basic reproduction ratio that can be expressed as
R 0 = 1 c 1 β e μ τ 1 1 + μ + 1 c 2 ϕ e μ τ 1 + τ 2 1 c 2 ϕ + μ 1 + μ .
The derived R 0 provides a comprehensive biological measure of the caries formation potential by considering two distinct caries formation modes, namely primary formation and post-treatment recurrence. The equation is composed of two terms, reflecting the sum of contributions from these modes. The first term denotes the generation of new caries cases from susceptible subpopulation. The baseline transmission regarding the caries-causing bacteria spread at a rate β is attenuated by the health campaign efficacy denoted as ( 1 c 1 ) , while the factor e μ τ 1 accounted for the plausibility of individual surviving the latency period τ 1 required for caries formation. The second term captures the contribution of recurrent formation, usually the other tooth, arising from the treated or recovered people. This term is governed by relapse rate ϕ , reduced by the quality of post-treatment intervention ( 1 c 2 ) . Notably, the recurrence term includes cumulative survival plausibility e μ ( τ 1 + τ 2 ) , representing the biological reality that this formation must survive during both treatment delay ( τ 2 ) and formation delay ( τ 1 ) . Collectively, the ratio R 0 demonstrates that the endemicity of dental caries depends on the durability of health campaign interventions and the demographic turnover relative to the transmission and relapse rates.
Referring to Theorem 2 in [51], the obtained R 0 can be used to determine the stability of the DFE solution. Hence, we can prove the stability of our disease-free equilibrium solution (see Equation (6)) in the following theorem.
Theorem 3.
The disease-free equilibrium point in Equation (6) is locally asymptotically stable when   R 0 < 1 , whereas unstable when  R 0 > 1 .
Proof. 
Linearization of the system (4) that is evaluated at ξ * equilibrium resulting in the following matrix
J ξ * = 1 c 1 β e μ τ 1 1 + μ 1 c 2 ϕ e μ τ 1 e μ τ 2 1 c 2 ϕ μ
The characteristic polynomial of the above matrix is obtained as follows
P D F E λ = λ 2 + a 1 λ + a 2 ,
where
a 1 = μ + 1 c 2 ϕ + 1 c 2 ϕ e μ τ 1 + τ 2 1 c 2 ϕ + μ 1 + μ + 1 + μ 1 R 0 ,
a 2 = 1 1 1 + μ 1 c 2 ϕ e μ τ 1 + τ 2 + 1 c 2 ϕ + μ 1 + μ 1 R 0 .
According to the Routh–Hurwitz stability criterion for a second-degree polynomial, the equilibrium is locally asymptotically stable if and only if the coefficients fulfill a 1 > 0 and a 2 > 0 . Both coefficients are written as a function depending on the R 0 . Specifically, the term ( 1 R 0 ) appears as a factor in both coefficients. Note that, when R 0 < 1 , the term ( 1 R 0 ) is positive. Since all other defined parameters are non-negative, this ensures a 1 > 0 and a 2 > 0 . Consequently, both roots of P D F E λ have negative real parts, implying that the DFE is locally asymptotically stable.

3.3. Existence of Endemic Equilibrium Solution

The previous subsection discussed the disease-free equilibrium solution and stability using the basic reproduction ratio with R 0 > 1 . In this subsection, we elaborated on the process to determine the existence of the endemic equilibrium solution. The tooth cavity endemic equilibrium solution of the system (4) is given indirectly by
ξ * * = i * * , r * *
with
r * * = e μ τ 2 i * * 1 + m i * * 1 c 2 ϕ + μ
where i * * is chosen from the positive roots of the following quadratic polynomial of i * *
P i * * = a 3 i * * 2 + a 4 i * * + a 5
with
a 3 = m β 1 c 1 1 c 2 ϕ + μ e μ τ 1 ,
a 4 = 1 c 1 β e μ τ 1 1 + e τ 2 + m 1 c 1 β e μ τ 1 μ 1 c 2 ϕ + μ ,   and
a 5 = R 0 1 1 c 2 ϕ + μ 1 + μ .
Since a 3 < 0 , and a 5 > 0 if and only if R 0 > 1 , polynomial P i * * has at least one positive root. Consequently, we have the following lemma.
Lemma 1.
System (4) always has a unique endemic equilibrium solution if  R 0 > 1 .
From Lemma 1, we reveal that at least one endemic equilibrium always exists if R 0 > 1 . However, because P i * * is a quadratic polynomial, we plausibly have a double endemic equilibrium solution when R 0 < 1 since a 3 < 0 . This can be reached if
m > 1 c 1 β e μ τ 1 1 + e τ 2 1 c 1 β e μ τ 1 μ 1 c 2 ϕ + μ ,
implying a backward bifurcation occurs. Nevertheless, to ensure backward bifurcation appears, we conduct a bifurcation analysis using Castillo-Chavez and Song’s theorem in the following subsection.

3.4. Bifurcation Analysis

In this section, a bifurcation analysis was carried out for the proposed tooth cavity transmission scaled model in the system (4). This analysis was conducted using the well-known center manifold theorem [52]. The theorem is well-known for helping to investigate the type of bifurcation in a system, both forward and backward bifurcation. This theorem explores the direction of dynamical trajectories in a system over time. The obtained R 0 was utilized to determine the type of bifurcation. Hence, the bifurcation can be investigated by interpreting the R 0 value. It is well-known that the disease-free equilibrium is stable if the R 0 < 1 . Meanwhile, the endemic equilibrium solution is stable when the R 0 > 1 . Consequently, bifurcation will always occur when the R 0 crosses the point of 1. Remember that bifurcation refers to changes in the stability of one equilibrium solution into the other equilibrium solution. Finally, the process of investigating the bifurcation can be written as follows.
First, we evaluate R 0 equal to one, letting β * be the new parameter with the following expression
β * = 1 + μ 1 c 2 ϕ + μ 1 c 2 ϕ e μ τ 1 + τ 2 e μ τ 1 1 c 1 1 c 2 ϕ + μ
The linearization of the system (4) is evaluated at the disease-free equilibrium solution ξ * and β = β * given by
J ξ * , β = β * = 1 c 2 e μ τ 1 + τ 2 1 c 2 ϕ + μ 1 c 2 ϕ e μ τ 1 e μ τ 2 1 c 2 ϕ + μ .
The materials for Theorem 4.1 in [52] are the right eigenvector w = w 1 , w 2 T and the left eigenvector v = v 1 , v 2 T of the Jacobian matrix evaluated at disease-free equilibrium solution J ξ * , β = β * on to the zero eigenvalues, also
A = k , i , j = 1 n v k w i w j 2 f k y i y j ξ *   a n d   B = k , i , j = 1 n v k w i 2 f k y i β ξ *
by setting y 1 , y 2 = i , r . Hence, according to the matrix of J ξ * , β = β * , it has four eigenvalues, including a simple zero eigenvalue λ 1 = 0 and the other is negative eigenvalues as follows
λ 2 = 1 c 2 2 ϕ 2 + 1 c 2 e μ τ 1 + τ 2 + μ 2 1 c 2 ϕ + μ .
Since we found the simple zero eigenvalue λ 1 and the other is negative, the center-manifold theorem is usable to analyze the dynamics of the system (4) around β = β * . Next, matrix J ξ * , β = β * ’s right and left eigenvectors are calculated at zero eigenvalues. The right eigenvector is written as w = w 1 , w 2 T , with
w 1 = 1 c 2 ϕ + μ e μ τ 2 ;   w 2 = 1 .
Then, the left eigenvector is written as v = v 1 , v 2 T , with
v 1 = 1 ;   v 2 = 1 c 2 ϕ e μ τ 1 1 c 2 ϕ + μ .
To analyze whether the existence of bifurcation tends to go backward or forward, we determine the second-order partial derivative of the following system
f 1 = d y 1 t d t ;   f 2 = d y 2 t d t .
From the derivative f 1 and f 2 , the second derivative with respect to each variable and bifurcation parameter β which is non-zero as follows
2 f 1 y 1 y 1 ξ * = 2 1 c 1 e μ τ 1 1 c 2 ϕ e μ τ 1 + τ 2 1 + μ 1 c 2 ϕ + μ 1 c 2 ϕ + μ 1 c 1 + m ;
2 f 1 y 1 y 2 ξ * = 2 f 1 y 2 y 1 ξ * = 1 c 1 e μ τ 1 1 c 2 ϕ e μ τ 1 + τ 2 1 + μ 1 c 2 ϕ + μ 1 c 2 ϕ + μ 1 c 1 ;
2 f 2 y 1 y 1 ξ * = 2 m e μ τ 2 ; 2 f 1 y 2 y 2 ξ * = 2 f 2 y 1 y 2 ξ * = 2 f 2 y 2 y 1 ξ * = 2 f 2 y 2 y 2 ξ * = 0 ;
2 f 2 y 2 β ξ * = 1 c 1 e μ τ 1 .
Now, we calculate the coefficient A and B defined in Equation (11) and obtain the results as
A = 2 1 c 2 1 m ϕ e μ τ 1 + m μ 1 1 c 2 ϕ + μ e μ τ 2 1 + μ 1 c 1 1 c 2 ϕ + μ
and B = 1 c 1 1 c 2 ϕ + μ e μ τ 1 τ 2 > 0 . It looks that the coefficient of B is always positive, then the system (4) undergoes a backward bifurcation at R 0 = 1 if A > 0 , which fulfills the following condition
m > 1 c 1 β e μ τ 1 1 + e τ 2 1 c 1 β e μ τ 1 μ 1 c 2 ϕ + μ = m *
Finally, we arrive at the result of the bifurcation analysis, as concluded in the following theorem.
Theorem 4.
If  R 0 < 1  and the inequality (12) holds, then the system (4) undergoes a backward bifurcation at  R 0 = 1 . If  m < m * , the system (4) undergoes a forward bifurcation at  R 0 = 1 .

4. Optimal Control Problem

To control disease transmission while minimizing control costs, we formulate an optimal control problem. The problem is formulated to suppress the infectious subpopulation through a health campaign and a post-treatment intervention. For instance, a health campaign reflects campaigns through digital media, while post-treatment intervention focuses on medical interventions. Regarding implementation costs, we aim to minimize the cost of supporting factors for both controls to reduce the risk of caries formation. Hence, we constructed the optimal control model based on the model in the system (4) and Equation (5) and rewrote c 1 and c 2 into c 1 ( t ) and c 2 ( t ) since they are defined as optimal control solutions over time. Then, we obtain the following system:
d s t d t = μ 1 c 1 t β s t i t μ s t , d i t d t = 1 c 1 t β s t τ 1 i t τ 1 e μ τ 1 1 1 + m i t i t μ i t + 1 c 2 t ϕ r t τ 1 e μ τ 1 , d r t d t = 1 1 + m i t τ 2 i t τ 2 e μ τ 2 1 c 2 t ϕ r t μ r t .
Mathematically, the goal of optimal control is to calculate an optimal solution for each control, which minimizes the following objective function:
I c 1 , c 2 = min 0 t f A i t + B 1 c 1 2 t + B 2 c 2 2 t d t .
Note that A represents the weight of the exposed and infectious proportions in the system (13), while B 1 and B 2 represent the cost weight of each control to obtain an optimal recovery rate as implemented in the performance function that satisfies A ,   B 1 , B 2 0 . In solving the optimal control problem, we employ the Pontryagin Maximum Principle with the variable state x t = s t   i t   r t and the constraints (13). Here, the optimal solution c 1 * and c 2 * are determined as follows
I c 1 * , c 2 * = min Ω I c 1 , c 2
where Ω = c 1 , c 2 L 0 , t f | c 1 c 1 m i n c 1 c 1 m a x , c 2 m i n c 2 c 2 m a x with L 0 , t f assumed as the control function. The Hamiltonian function for the optimality problem can be written as follows
L s , i , r = A i t + B 1 c 1 2 t + B 2 c 2 2 t + λ 1 t μ 1 c 1 t β s t i t μ s t + λ 2 t 1 c 1 t β s t τ 1 i t τ 1 e μ τ 1 i t 1 + m i t μ i t + 1 c 2 t ϕ r t τ 1 e μ τ 1 + λ 3 t i t τ 2 1 + m i t τ 2 e μ τ 2 1 c 2 t ϕ r t μ r t
where λ s t , λ i t , and λ r t are the co-state variables in the optimal control problem. Let χ a , b t be the characteristic function defined by
χ 0 , t f τ 1 , 2 t = 1 , i f   t 0 , t f τ 1 , 2 0 , o t h e r w i s e .
Next, it was noted that it must adhere to Pontryagin Maximum Principle, which means that it must satisfy the necessary condition for an optimal control problem as follows:
  • State equation
    s t 0 , i t 0 , r t 0 .
  • Co-state variables
    d λ s t d t = λ s t 1 c 1 t β i t + μ χ 0 , t f τ 1 t λ i t + τ 1 1 c 1 t + τ 1 β i t e μ τ 1 ,
    d λ i t d t = A + λ i t 1 1 + m i t 2 + μ + λ s t 1 c 1 t β s t χ 0 , t f τ 1 t λ i t + τ 1 1 c 1 t + τ 1 β s t e μ τ 1 χ 0 , t f τ 2 t λ r t + τ 2 1 1 + m i t 2 e μ τ 2 ,
    d λ r t d t = λ r t 1 c 2 t ϕ + μ χ 0 , t f τ 1 t λ i t + τ 1 1 c 2 t + τ 1 ϕ e μ τ 1 .
  • Stationer conditions of the problem are L / c 1 = L / c 2 = 0 . Since 0 c 1 t , c 2 t 1 , then we obtain
    c 1 t = min max 0 , 1 2 λ s t β s t i t λ i t β s t τ 1 i t τ 1 e μ τ 1 B 1 , 1 ,
    c 2 t = min max 0 , 1 2 λ i t ϕ r t τ 1 e μ τ 1 λ r t ϕ r t B 2 , 1 .
Due to 2 L c 1 2 = 2 B 1 > 0 and 2 L c 2 2 = 2 B 2 > 0 satisfy the minimum criterion of optimal control theory with c 1 and c 2 being the optimal control of the problem.

5. Sensitivity Analysis

As discussed in Section 3, the basic reproduction ratio R 0 for the dental caries transmission model (4) gives an insightful study in determining the behavior of the dynamics of dental caries. Hence, R 0 is a reasonable basis for analyzing the changes in each involved parameter in greater depth. The results of this analysis are important for designing an experiment as scientific evidence before implementing a policy in a community [53]. Sensitivity analysis is commonly used to assess the robustness of model predictions to parameter values. In addition, it provides information on the relationships between parameter changes and the model, and on the change level of each parameter. We conduct an analysis using Latin Hypercube Sampling (LHS) and the Partial Rank Correlation Coefficient (PRCC) to identify correlations between each parameter and the ratio. The result is served below (see Figure 1).
Figure 1 shows that the post-treatment control ( c 2 ) and the health campaign control ( c 1 ) are the two most influential parameters governing R 0 . Both parameters exhibit strong negative correlations, implying that enhancement in these controls significantly suppresses the transmission potential, whereas biological parameters such as caries reformation ( ϕ ) and transmission rate ( β ) play a relatively minor role in R 0 . Furthermore, the limitation of medical resources m is identified as the weakest parameter in affecting R 0 . Nevertheless, the results differ when we analyze i * as follows.
Figure 2 shows that c 1 and c 2 remain the two most influential parameters. However, the order is different, while the c 2 is more influential over c 1 in R 0 , whereas c 1 is more influential over c 2 in i * . This implies that stopping the outbreak depends heavily on treating the currently infectious, while health campaigns help reduce the long-term number of infectious people. This suggests that prevention is just as critical as cure. This suggests that prevention is just as critical as cure. Practically, this implies that while treatment drives the initial extinction threshold, long-term disease reduction depends equally on sustained prevention, such as hygiene and diet education. Next, the limitation of medical resources ( m ) increases sensitivity by around eightfold, from 0.017 ( R 0 ) to 0.131 ( i * ) . This transition highlights a critical biological sense, while constraining may not affect the R 0 , it plays an important role in maintaining high endemic levels by limiting the rate at which the infectious population can be treated.
These results provide critical guidance for public health strategies on dental caries by distinguishing between practically controllable interventions, such as a health campaign ( c 1 ) and a post-treatment intervention ( c 2 ) . Also, intrinsic biological parameters such as transmission rate and rate ( β ) of caries reformation after post-treatment ( ϕ ) .

6. Numerical Simulation and Its Discussion

The numerical simulation is carried out to present the bifurcation in system (4) and the optimal control in system (13). We use the parameter values shown in Table 1, except for the optimal control problem, c 1 and c 2 will be sought through the simulation.

6.1. Bifurcation Simulation

We served the simulation of the bifurcation of system (4) using the parameter values in Table 1. The results are shown as follows.
Figure 3 shows the bifurcation diagram of the endemic equilibrium i * as a function of R 0 , with varying levels of medical resource limitation ( m ) . System (4) exhibits a transition from a standard forward to a backward bifurcation as the level of medical resource limitations increases. For a low level of limitation, the system exhibits a forward bifurcation pattern in which a stable endemic equilibrium persists only when R 0 > 1 . This ensures that decreasing the R 0 below unity is sufficient for disease elimination. However, backward bifurcation appears at higher saturation levels, such as 10 and 100. Biologically, this bifurcation is driven by the saturation of recovery due to limited medical resources. It is well known that medical treatment is the only way for people with dental caries to recover. Consequently, as the number of infectious people increases, the per-capita treatment rate declines due to limited medical resources. This creates a feedback loop where high prevalence suppresses recovery efforts. Consequently, a stable endemic equilibrium coexists with the disease-free equilibrium even when R 0 < 1 , creating a bistability region, also called a hysteresis zone. It has a critical epidemiological implication, such as simply decreasing R 0 below unity is insufficient to extinguish the disease if the infectious subpopulation is already at a high prevalence. In this hysteresis condition, the stability of the endemic equilibrium depends on the initial condition. For instance, at the initial condition, if the observed infectious subpopulation (i.e., i * > 0 ) is below the critical point (represented by the dashed line), the endemic state is unstable. Otherwise, the endemic state is stable even when R 0 < 1 . Consequently, control effort should be notably stronger to suppress R 0 above the lower critical threshold, the turning point of the backward curve, to escape this zone of the endemic attractor and remain at the disease-free equilibrium.
The LHS-PRCC results indicate that the time delays τ 1 and τ 2 have a relatively small influence on the magnitude of i * , compared with the controls c 1 and c 2 , their role in the bifurcation term is structural. Specifically, time delays in caries formation and treatment govern the system’s memory. They can shift the turning point, which is critical, of the backward bifurcation curve even if the delays do not significantly alter the equilibrium value of i * . This indicated that the observed hysteresis was more pronounced in the backward direction, as evidenced by a wider zone. Therefore, it is crucial to calculate the safety point of control required to ensure the system does not enter the catastrophic endemic branch.

6.2. Intervention Threshold

Based on the sensitivity analysis results, the trade-offs for each control must be calculated to determine the minimum effort required to achieve a disease-free condition. The calculation results are presented as follows.
Figure 4 reveals the critical threshold required to maintain the disease-free equilibrium stability ( R 0 < 1 ). This reveals a trade-off in achieving elimination, which a health campaign control ( c 1 ) requires lower coverage than a post-treatment control ( c 2 ) . This suggests that while post-treatment control has a higher sensitivity index on R 0 , health campaigns pose a lower ‘barrier to entry’ for ending the caries transmission chain. The following simulation validates these findings by comparing the results of specific control scenarios.
Figure 5 shows that single-strategy interventions hover R 0 near their threshold. It means that controlling the transmission of caries-causing bacteria with a single strategy leaves no room for error. This scenario is fragile and highly susceptible to perturbations, so a single minor error can cause an endemic equilibrium to become stable. However, a ‘Balanced Optimal’ scenario simultaneously suppresses R 0 to 0.75, confirming that an integrated strategy is more robust at reducing long-term caries cases.
This difference between the high-sensitivity post-treatment control ( c 2 ) and the lower-health campaign control ( c 1 ) highlights a fundamental discrepancy between the two interventions. Post-treatment control plays as a ‘sink’ mechanism, reducing the number of infectious. While highly potent, as shown in the sensitivity analysis results, a high coverage (>72%) is needed to outrun the wave of new cases since it fights against the active infectious. In contrast, health campaigns ( c 1 ) play as a ‘source reduction’ mechanism. This reduces the plausibility of endemicity by directly lowering the transmission rate. Consequently, the minimum coverage of the health campaign control is lower at 56%. Biologically, this suggests that while post-treatment is more effective at rapidly reducing individual disease burden, health campaign strategies offer a more resource-efficient path to eliminate the disease by reducing the ‘barrier to entry’ to R 0 < 1 .

6.3. Optimal Control Simulation with Varied Caries Formation Delay Times τ 1

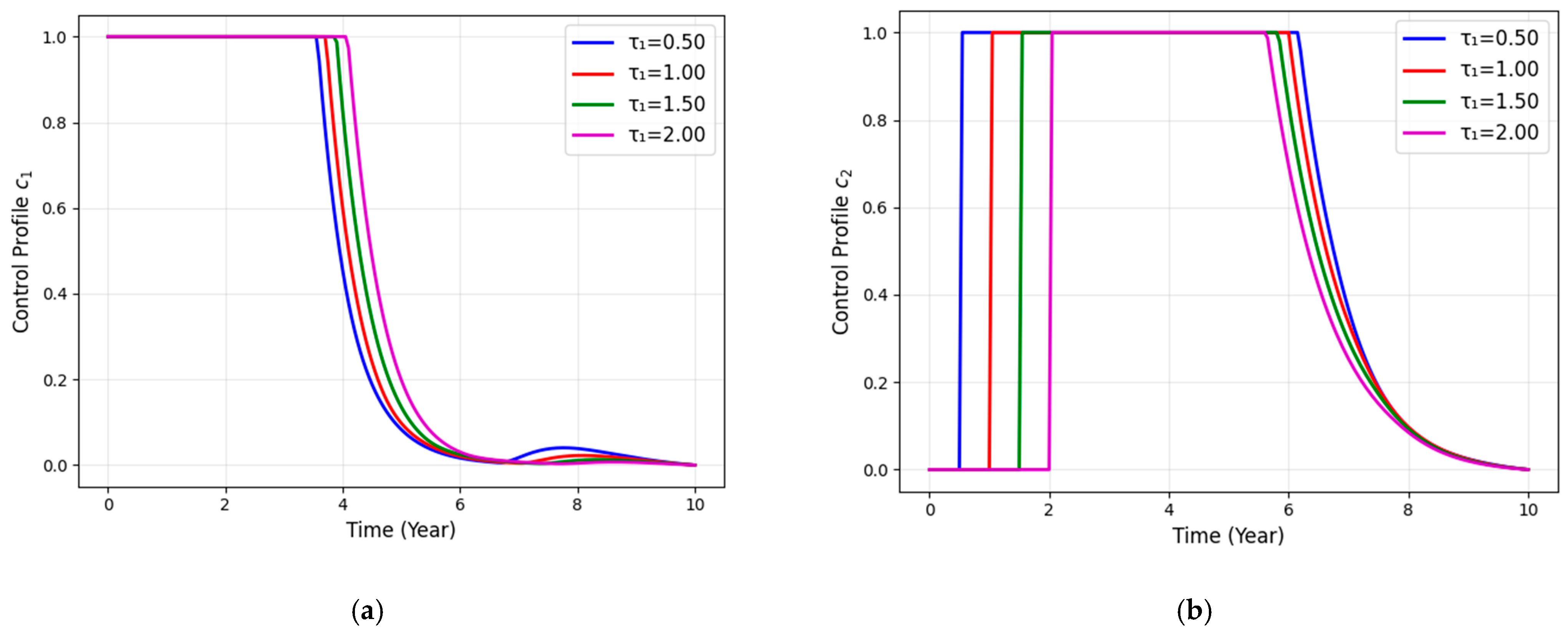
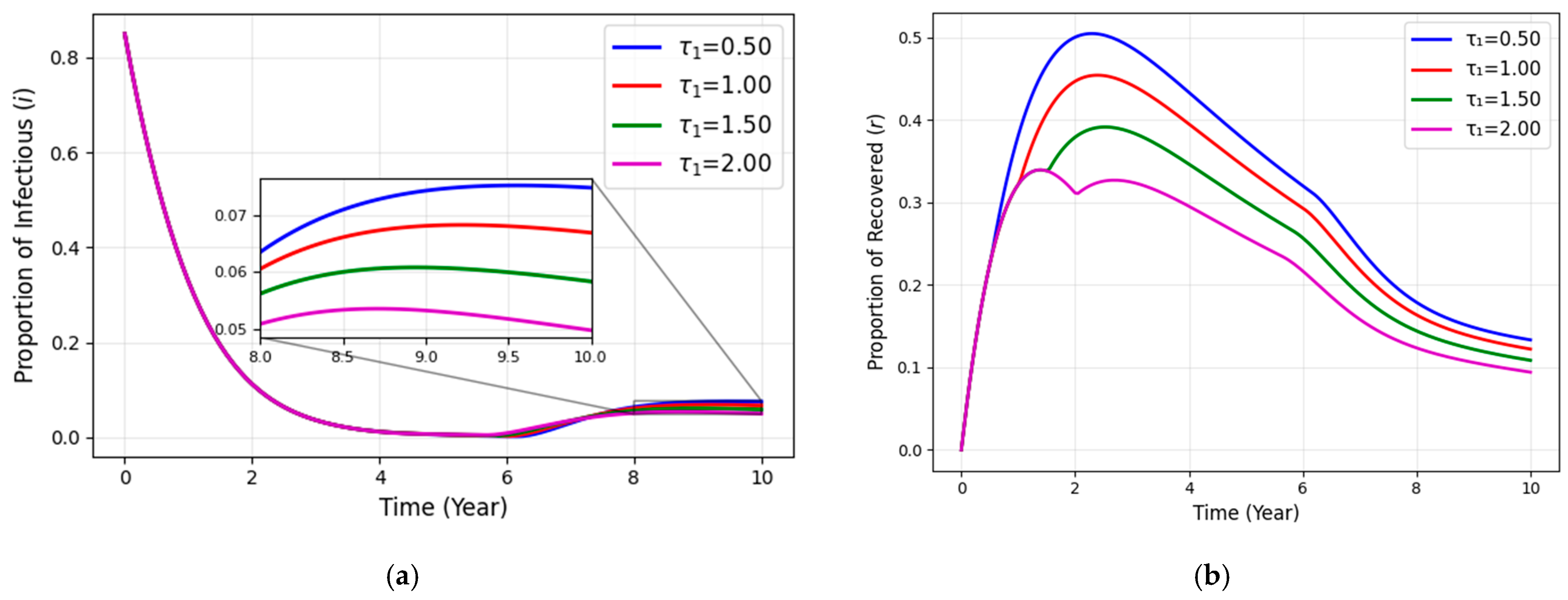
To further explain the role of delay time on intervention strategy as an optimal control problem, a numerical simulation was conducted. The results are depicted as follows.
Figure 6 demonstrates the dynamics of (a) infectious and (b) recovered proportions. It reveals that extending the caries formation delay τ 1 naturally reduced the disease prevalence. As shown in the figure, the proportion of infectious cases decreases as τ 1 increases significantly. In this term, the longest delay, with τ 1 = 2 , achieves the lowest peak in infection cases and the fastest decline compared to the shorter delay. Biologically, this represents a ‘survival’ mechanism in the model, suggesting that a longer delay time increases the likelihood that susceptible individuals leave the system due to natural demographic turnover before progressing to the caries-formed condition. Consequently, the circulation into the recovered pool ( r ) is indirectly delayed and reduced, since the pool of infectious agents available for treatment is smaller. Furthermore, the delay parameter shifts the optimal intervention time as follows.
Figure 7a shows that, for the health campaign ( c 1 ) , a longer delay requires a more sustained control. The control profile, such as τ 1 = 2 , maintains its maximum effort ( c 1 m a x = 1 ) for a longer period than the lower delays do before decreasing. This proposes that when disease manifestation slows, prevention must be maintained longer to account for the extended period of incubation. Conversely, the post-treatment intervention ( c 2 ) experiences a deferred activation pattern. As shown in Figure 7b, the optimal strategy for the shortest delay ( τ 1 = 0.5 ) requires an instantaneous ramp-up of treatment resources, which starts around 0.5 years. Nevertheless, as the delay increases, the activation of maximum effort is deferred until t around 2. These findings provide valuable economic insights for policymakers to postpone massive investments in curative and post-treatment infrastructure and to focus initially on preventive action, while waiting for the caries-sufferer population to reach a threshold that requires intensive treatment if the latency period is longer.

6.4. Optimal Control Simulation with Varied Level of Medical Resources Limitation ( m )

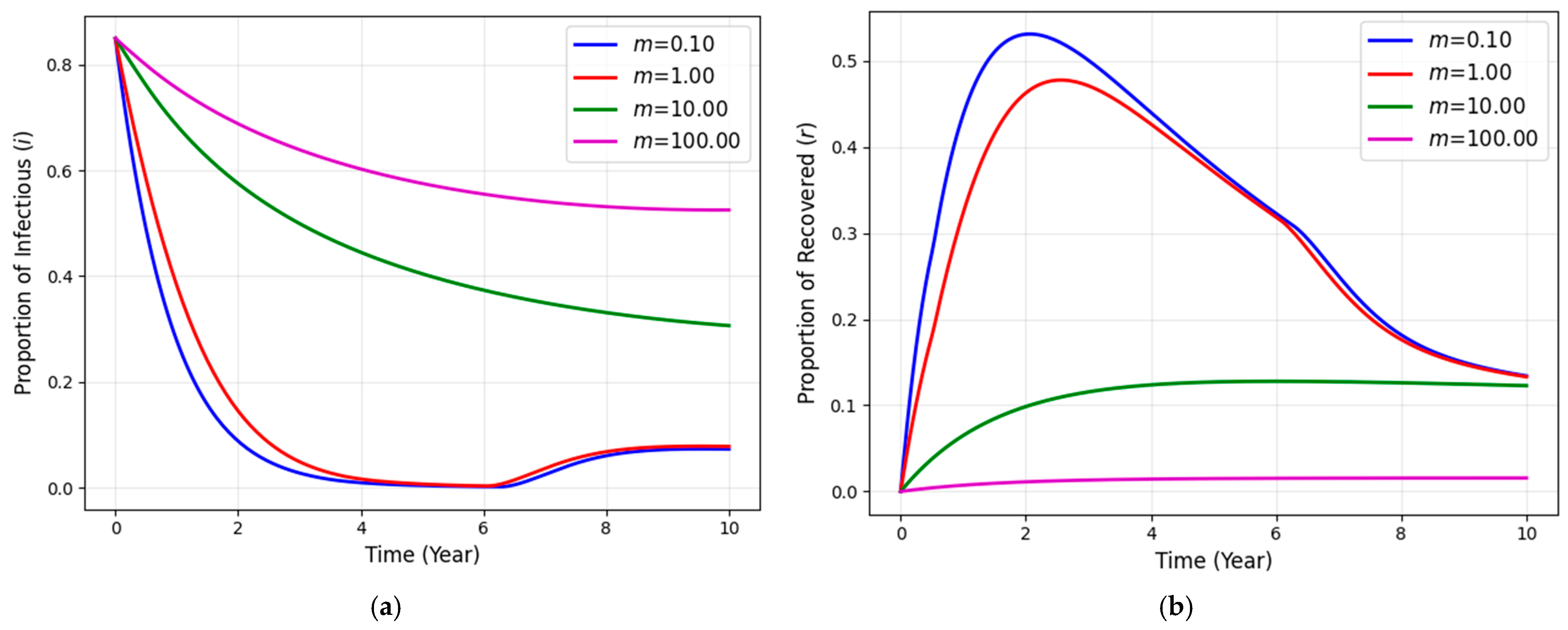
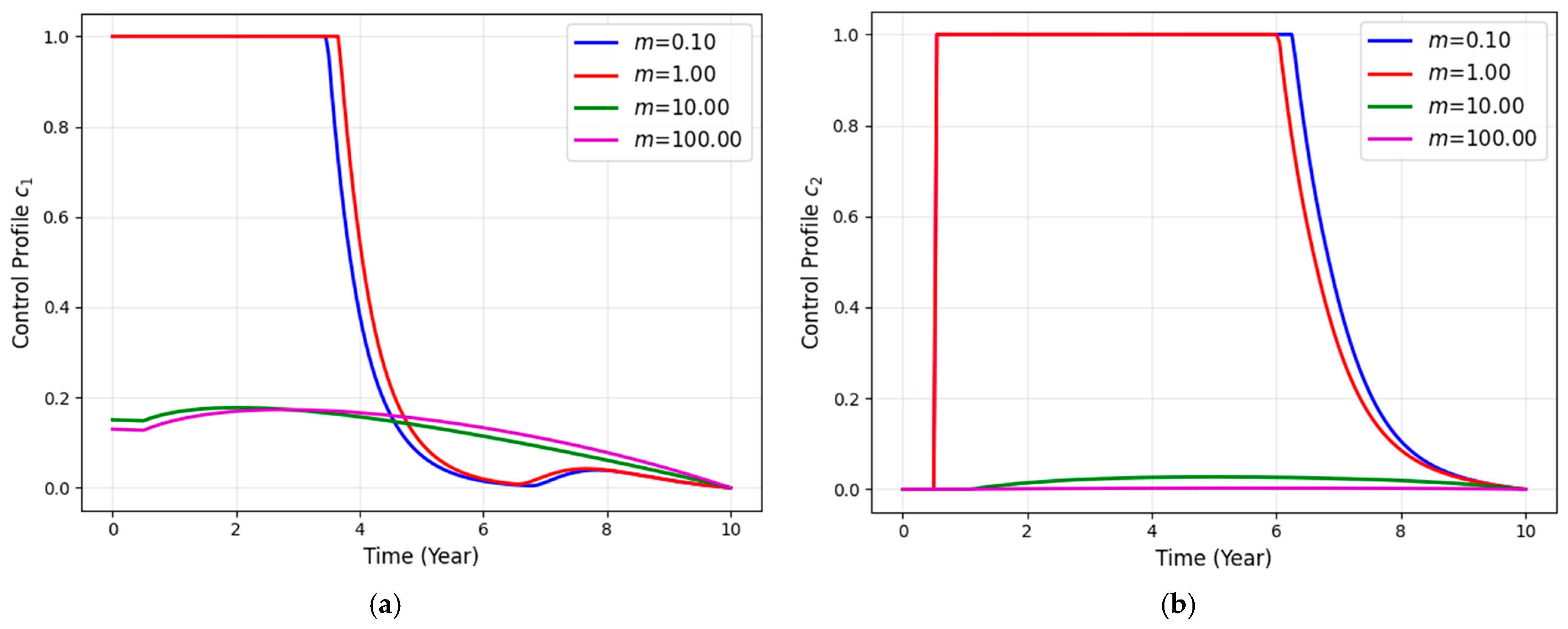
The simulation for varying the limitation level of medical resources, which m 0.1 ,   1.0 ,   10.0 ,   100.0 , spotlights the vital role of facility capacity in determining the plausibility of disease extinction. The results of this numerical simulation are shown as follows.
Figure 8 depicts the impact of recovery saturation due to limited medical resources on disease prevalence. It shows that scenarios with low resource limitations ( m   = 0.1 , 0.01 ) experience a rapid case suppression, leading the infectious proportion ( i ) to near-zero levels within four years. In contrast, when the medical limitation is severe ( m   = 10.0 , 100.0 ) , the disease remains highly endemic, with around 30–50% of the population experiencing caries throughout the simulation period. This confirms the existence of the ‘endemic trap’ indicated by the backward bifurcation analysis. When m is large, the effect of nonlinear saturation 1 / ( 1 + m i ) severely reduces the per-capita treatment rate, preventing the system from running away from the high-prevalence attractor. Consequently, the flow into the recovered pool ( r ) is hampered, as shown in Figure 8b, where the recovered proportion remains negligible for high m values, indicating a severe limitation of medical resources. Most notably, the following optimal control profiles reveal a ‘diminishing return’ in controlling the transmission of causing-caries bacteria and their cases as m increases.
Figure 9 shows a fascinating finding. Intuitively, a higher prevalence would trigger a stronger control effort. However, the result shows the contrast. For low saturation, the optimal post-treatment control is conducted at a maximum intensity ( c 2 m a x = 1 ) for an extended duration of about 6 years, and the health campaign ( c 1 ) is closely aggressive. However, at high saturation, both optimal controls are severely suppressed and persist near zero, indicating a very low level of control implementation. Mathematically, this happens since the saturation term reduces the marginal benefit of the intervention to near zero. Consequently, the optimal control solver identifies that investing effort into a saturated system yields a negligible reduction in infection. This indicates that the most cost-effective strategy is to conserve resources rather than invest in an ineffective intervention. Biologically, this implies a hierarchy of interventions, and simply increasing the post-treatment budget is futile when medical resources are insufficient. Effective disease control requires structural expansion, such as increasing medical personnel and reducing treatment costs, before or alongside the scaling of medical treatments.

7. Conclusions

In this study, we proposed and analyzed a nonlinear deterministic model to investigate the transmission dynamics of dental caries from the perspective of caries-causing bacteria transmission. Some realistic biological constraints, such as time delays in caries formation and treatment, are incorporated into the model, as well as saturation in the recovery term due to the medical resource limitation. The analytical results used the basic reproduction ratio ( R 0 ) as a sharp threshold to characterize the system’s state. Moreover, the findings of a backward bifurcation at R 0 = 1 indicate a more complex biological reality. This bistability phenomenon, led by the saturation of medical resources ( m ) , indicates that simply reducing R 0 below unity is insufficient to extinguish caries in a high-prevalence community. Mathematically, this suggests that the system betrays hysteresis, in which the path to disease extinction requires a much stronger intervention level than the path to endemicity.
The results of the sensitivity analysis and threshold assessment provide critical insights into the hierarchy of intervention strategies. While post-treatment intervention c 2 was identified as the most promising parameter for suppressing caries-causing bacteria transmission potential ( P R C C 0.966 ) , the contour plot analysis shows that the health campaign ( c 1 ) as the preventive intervention offers a more resource-efficient way to eradicate the disease, requiring a lower minimum coverage ( c 1 > 0.56 ) compared to post-treatment intervention ( c 2 > 0.72 ) . This indicates a ‘source vs. sink’ trade-off, while the post-treatment plays as a rapid ‘sink’ that removes infectious individuals as it fights active infectious people. Contrarily, a health campaign plays as a ‘source reduction’ by lowering the ‘barrier to entry’ for disease-free stability to persist. Furthermore, our numerical simulations confirm that a hybrid ‘Balanced Optimal’ strategy provides the most robust safety margin under parameter uncertainty, and that reducing R 0 below 0.75.
The analysis of optimal control highlighted the structural influence of biological delays and control constraints. We find that a longer caries formation delay ( τ 1 ) not only slows the endemic but also shifts the time of optimal control implementation. It allows for a deferred activation of treatment while requiring prolonged health campaigns ( c 1 ) . Conversely, severe levels of medical resource limitation ( m   =   10.0 , 100.0 ) rendered optimal controls ineffective and confined the population in a high-prevalence condition, regardless of the treatment’s theoretical efficacy. These findings have public health implications for reducing dental caries cases, suggesting that, in resource-limited settings, increasing the budget for dental treatment procedures ( c 2 ) is futile without a concurrent expansion of medical infrastructure ( m ) to avert system saturation.
Finally, while the proposed model captures essential nonlinearities in the dynamics of caries cases from the perspective of caries-causing bacterial transmission, it is not without limitations. First, the value of each parameter was based on data gathered from literature sources rather than primary epidemiological surveillance. Consequently, the provided numerical threshold ( e . g . ,   c 1 > 0.56 ) serves as a theoretical benchmark for general disease dynamics rather than precise projective values for a specific community. Next, the use of deterministic differential equations limits the interpretation of stochastic extinction events in small communities. In addition, the assumption of homogeneous mixing may oversimplify the clustered nature of caries formation risk within families of socioeconomic communities. Future research should calibrate the model using longitudinal data from specific settings to improve these operational targets for regional health policy. In addition, it should incorporate stochasticity and spatial heterogeneity to inform targeted interventions for localized epidemics better. Despite these limitations, the results of this study provide robust theoretical insights for optimizing dental health policies, underscoring that sustainable disease extinction depends as much on medical resources and the timing of health campaign activation as on the excellence of medical treatment.

Author Contributions

Conceptualization, S.T.T., N.A. and A.S.S.; methodology, S.T.T.; software, S.T.T.; validation, N.A., H.N., W.M.A.W.A. and A.S.S.; formal analysis, S.T.T.; investigation, S.T.T.; resources, S.T.T. and A.S.S.; data curation, S.T.T.; writing—original draft preparation, S.T.T.; writing—review and editing, N.A., H.N., W.M.A.W.A. and A.S.S.; visualization, S.T.T.; supervision, N.A., H.N. and W.M.A.W.A.; project administration, N.A.; funding acquisition, N.A. All authors have read and agreed to the published version of the manuscript.

Funding

This publication charge is funded by Unpad through the Indonesian Endowment Fund for Education (LPDP) on behalf of the Indonesian Ministry of Higher Education, Science and Technology and managed under the EQUITY Program (Contract No. 4303/B3/DT.03.08/2025 and 3927/UN6.RKT/HK.07.00/2025), also under the Universitas Padjadjaran Research Grant under RMMP with contract number 4082/UN6.3.1/PT.00/2025.

Data Availability Statement

No new data were created or analyzed in this study. Data sharing is not applicable to this article.

Acknowledgments

We are grateful to the associate editor and the reviewers for their comments and suggestions on improving the quality of this study. Also, to Universitas Padjadjaran and the Indonesian Ministry of Higher Education, Science, and Technology for all the facilities.

Conflicts of Interest

No potential conflicts of interest were reported by the authors.

References

  1. D’Hoore, W.; Van Nieuwenhuysen, J.P. Benefits and Risks of Fluoride Supplementation: Caries Prevention versus Dental Fluorosis. Eur. J. Pediatr. 1992, 151, 613–616. [Google Scholar] [CrossRef]
  2. Martini, A.M.; Moricz, B.S.; Ripperger, A.K.; Tran, P.M.; Sharp, M.E.; Forsythe, A.N.; Kulhankova, K.; Salgado-Pabón, W.; Jones, B.D. Association of Novel Streptococcus sanguinis Virulence Factors with Pathogenesis in a Native Valve Infective Endocarditis Model. Front. Microbiol. 2020, 11, 10. [Google Scholar] [CrossRef]
  3. Martini, A.M.; Moricz, B.S.; Woods, L.J.; Jones, B.D. Type IV Pili of Streptococcus sanguinis Contribute to Pathogenesis in Experimental Infective Endocarditis. Microbiol. Spectr. 2021, 9, e01752-21. [Google Scholar] [CrossRef]
  4. Aarabi, G.; Thomalla, G.; Heydecke, G.; Seedorf, U. Chronic Oral Infection: An Emerging Risk Factor of Cerebral Small Vessel Disease. Oral Dis. 2019, 25, 710–719. [Google Scholar] [CrossRef] [PubMed]
  5. Shkembi, B.; Huppertz, T. Impact of Dairy Products and Plant-Based Alternatives on Dental Health: Food Matrix Effects. Nutrients 2023, 15, 1469. [Google Scholar] [CrossRef]
  6. How, K.Y.; Song, K.P.; Chan, K.G. Porphyromonas gingivalis: An Overview of Periodontopathic Pathogen below the Gum Line. Front. Microbiol. 2016, 7, 53. [Google Scholar] [CrossRef] [PubMed]
  7. Van Winkelhoff, A.J.; Boutaga, K. Transmission of Periodontal Bacteria and Models of Infection. J. Clin. Periodontol. 2005, 32, 16–27. [Google Scholar] [CrossRef] [PubMed]
  8. Esra, K.; Nurhan, O.; Yilmaz, A.D.; Berrin, O. Vertical and Horizontal Transmission of Streptococcus Mutans and Effective Factors: An In Vivo Study. J. Adv. Oral Res. 2020, 11, 172–179. [Google Scholar] [CrossRef]
  9. Damle, S.G.; Yadav, R.; Garg, S.; Dhindsa, A.; Beniwal, V.; Loomba, A.; Chatterjee, S. Transmission of Mutans Streptococci in Mother-Child Pairs. Indian J. Med. Res. 2016, 144, 264–270. [Google Scholar] [CrossRef]
  10. Latifi-Xhemajli, B.; Rexhepi, A.; Veronneau, J.; Kutllovci, T.; Ahmeti, D.; Bajrami, S. Streptococcus Mutans Infections in Infants and Related Maternal and Child Factors. Acta Stomatol. Croat. 2021, 55, 308–315. [Google Scholar] [CrossRef]
  11. Caufield, P.W.; Griffen, A.L. Dental Caries: An Infectious and Transmissible Disease. Pediatr. Clin. N. Am. 2000, 47, 1001–1019. [Google Scholar] [CrossRef] [PubMed]
  12. Foote, T.; Willis, L.; Lin, T.K. National Oral Health Policy and Financing and Dental Health Status in 19 Countries: DENTAL POLICY IN OECD COUNTRIES. Int. Dent. J. 2023, 73, 449–455. [Google Scholar] [CrossRef] [PubMed]
  13. Lofgren, E.T.; Halloran, M.E.; Rivers, C.M.; Drake, J.M.; Porco, T.C.; Lewis, B.; Yang, W.; Vespignani, A.; Shaman, J.; Eisenberg, J.N.S.; et al. Opinion: Mathematical Models: A Key Tool for Outbreak Response. Proc. Natl. Acad. Sci. USA 2014, 111, 18095–18096. [Google Scholar] [CrossRef]
  14. Wang, S.; Mei, J.; Xia, D.; Yang, Z.; Hu, J. Finite-Time Optimal Feedback Control Mechanism for Knowledge Transmission in Complex Networks via Model Predictive Control. Chaos Solitons Fractals 2022, 164, 112724. [Google Scholar] [CrossRef]
  15. Mei, J.; Wang, S.; Xia, D.; Hu, J. Global Stability and Optimal Control Analysis of a Knowledge Transmission Model in Multilayer Networks. Chaos Solitons Fractals 2022, 164, 112708. [Google Scholar] [CrossRef]
  16. Mei, J.; Wang, S.; Xia, X.; Wang, W. An Economic Model Predictive Control for Knowledge Transmission Processes in Multilayer Complex Networks. IEEE Trans. Cybern. 2024, 54, 1442–1455. [Google Scholar] [CrossRef]
  17. Pandey, B.D.; Pandeya, K.; Neupane, B.; Shah, Y.; Adhikary, K.P.; Gautam, I.; Hagge, D.A.; Morita, K. Persistent Dengue Emergence: The 7 Years Surrounding the 2010 Epidemic in Nepal. Trans. R. Soc. Trop. Med. Hyg. 2015, 109, 775–782. [Google Scholar] [CrossRef]
  18. Wang, W.; Wu, G.; Fan, X. Global Dynamics of a Novel Viral Infection Model Mediated by Pattern Recognition Receptors. Appl. Math. Lett. 2026, 173, 109757. [Google Scholar] [CrossRef]
  19. Noffel, Z.; Dobrovolny, H.M. Modeling the Bystander Effect during Viral Coinfection. J. Theor. Biol. 2024, 594, 111928. [Google Scholar] [CrossRef]
  20. Tresna, S.T.; Subiyanto; Supian, S. Mathematical Models for Typhoid Disease Transmission: A Systematic Literature Review. Mathematics 2022, 10, 2506. [Google Scholar] [CrossRef]
  21. Anggriani, N.; Tasman, H.; Ndii, M.Z.; Supriatna, A.K.; Soewono, E.; Siregar, E. The Effect of Reinfection with the Same Serotype on Dengue Transmission Dynamics. Appl. Math. Comput. 2019, 349, 62–80. [Google Scholar] [CrossRef]
  22. Supriatna, A.K.; Husniah, H.; Soewono, E.; Ghosh, B.; Purwanto, Y.; Nurlaelah, E. Age-Dependent Survival Rates in SIR-SI Dengue Transmission Model and Its Application Considering Human Vaccination and Wolbachia Infection in Mosquitoes. Mathematics 2022, 10, 3950. [Google Scholar] [CrossRef]
  23. Inayaturohmat, F.; Anggriani, N.; Supriatna, A.K. A Mathematical Model of Tuberculosis and COVID-19 Coinfection with the Effect of Isolation and Treatment. Front. Appl. Math. Stat. 2022, 8, 958081. [Google Scholar] [CrossRef]
  24. Nuraini, N.; Khairudin, K.; Apri, M. Modeling Simulation of COVID-19 in Indonesia Based on Early Endemic Data. Commun. Biomath. Sci. 2020, 3, 1–8. [Google Scholar] [CrossRef]
  25. Pangestu, D.S.; Tresna, S.T.; Inayaturohmat, F.; Anggriani, N. COVID-19 Transmission Model with Discrete Time Approach. Commun. Math. Biol. Neurosci. 2022, 2022, 93. [Google Scholar] [CrossRef]
  26. Chandrika, P.; Rajivganthi, C. Control Analysis of Fractional-Order Extracellular Delayed Hepatitis C Virus Model. Eur. Phys. J. Spec. Top. 2024, 234, 1851–1860. [Google Scholar] [CrossRef]
  27. Balakrishnan, G.P.; Chinnathambi, R.; Rihan, F.A. A Fractional-Order Control Model for Diabetes with Restraining and Time-Delay. J. Appl. Math. Comput. 2023, 69, 3403–3420. [Google Scholar] [CrossRef]
  28. Amelia, R.; Anggriani, N.; Supriatna, A.K.; Istifadah, N. Analysis and Optimal Control of the Tungro Virus Disease Spread Model in Rice Plants by Considering the Characteristics of the Virus, Roguing, and Pesticides. Mathematics 2023, 11, 1151. [Google Scholar] [CrossRef]
  29. Amelia, R.; Anggriani, N.; Supriatna, A.K.; Istifadah, N. Mathematical Model for Analyzing the Dynamics of Tungro Virus Disease in Rice: A Systematic Literature Review. Mathematics 2022, 10, 2944. [Google Scholar] [CrossRef]
  30. Tresna, S.T.; Anggriani, N.; Supriatna, A.K. Mathematical Model for Soybean Mosaic Disease Transmission with Entomopathogen Interventions and Photoperiodicity. Commun. Math. Biol. Neurosci. 2023, 2023, 4. [Google Scholar] [CrossRef]
  31. Basir, C.; Supriatna, A.K.; Sukono; Saputra, J. Prey–Predator Mathematics Model for Fisheries Insurance Calculations in the Search of Optimal Strategies for Inland Fisheries Management: A Systematic Literature Review. Sustainability 2023, 15, 12376. [Google Scholar] [CrossRef]
  32. Hasibuan, A.; Supriatna, A.K.; Rusyaman, E.; Biswas, M.H.A. Harvested Predator–Prey Models Considering Marine Reserve Areas: Systematic Literature Review. Sustainability 2023, 15, 12291. [Google Scholar] [CrossRef]
  33. Lafontaine, J.D. The Mimallonis Group of the Genus Euxoa Hbn. (Lepidoptera: Noctuidae) with Descriptions of Three New Species. Can. Entomol. 1975, 107, 155–165. [Google Scholar] [CrossRef]
  34. Peter, O.J.; Ibrahim, M.O.; Edogbanya, H.O.; Oguntolu, F.A.; Oshinubi, K.; Ibrahim, A.A.; Ayoola, T.A.; Lawal, J.O. Direct and Indirect Transmission of Typhoid Fever Model with Optimal Control. Results Phys. 2021, 27, 104463. [Google Scholar] [CrossRef]
  35. Nyaberi, H.O.; Musaili, J.S. Mathematical Modeling of the Impact of Treatment on the Dynamics of Typhoid. J. Egypt. Math. Soc. 2021, 29, 15. [Google Scholar] [CrossRef]
  36. Kreth, J.; Merritt, J.; Shi, W.; Qi, F. Competition and Coexistence between Streptococcus Mutans and Streptococcus sanguinis in the Dental Biofilm. J. Bacteriol. 2005, 187, 7193–7203. [Google Scholar] [CrossRef]
  37. Strauss, F.J.; Espinoza, I.; Stähli, A.; Baeza, M.; Cortés, R.; Morales, A.; Gamonal, J. Dental Caries Is Associated with Severe Periodontitis in Chilean Adults: A Cross-Sectional Study. BMC Oral Health 2019, 19, 278. [Google Scholar] [CrossRef]
  38. Scott, D.C.; Coggan, J.W.; Cruze, C.A.; He, T.; Johnson, R.D. Topical Oral Cavity Pharmacokinetic Modeling of a Stannous Fluoride Dentifrice: An Unusual Two Compartment Model. J. Pharm. Sci. 2009, 98, 3862–3870. [Google Scholar] [CrossRef]
  39. Ilie, O.; Van Turnhout, A.G.; Van Loosdrecht, M.C.M.; Picioreanu, C. Numerical Modelling of Tooth Enamel Subsurface Lesion Formation Induced by Dental Plaque. Caries Res. 2014, 48, 73–89. [Google Scholar] [CrossRef] [PubMed]
  40. Duckworth, R.M. Pharmacokinetics in the Oral Cavity: Fluoride and Other Active Ingredients. Monogr. Oral Sci. 2013, 23, 125–139. [Google Scholar] [CrossRef]
  41. Trelea, I.C.; Atlan, S.; Déléris, I.; Saint-Eve, A.; Marin, M.; Souchon, I. Mechanistic Mathematical Model for in Vivo Aroma Release during Eating of Semiliquid Foods. Chem. Senses 2008, 33, 181–192. [Google Scholar] [CrossRef]
  42. Jing, X.; Huang, X.; Haapasalo, M.; Shen, Y.; Wang, Q. Modeling Oral Multispecies Biofilm Recovery After Antibacterial Treatment. Sci. Rep. 2019, 9, 804. [Google Scholar] [CrossRef]
  43. Ilie, O.; van Loosdrecht, M.C.M.; Picioreanu, C. Mathematical Modelling of Tooth Demineralisation and PH Profiles in Dental Plaque. J. Theor. Biol. 2012, 309, 159–175. [Google Scholar] [CrossRef]
  44. Kumar, P.; Govindaraj, V.; Erturk, V.S. A Novel Mathematical Model to Describe the Transmission Dynamics of Tooth Cavity in the Human Population. Chaos Solitons Fractals 2022, 161, 112370. [Google Scholar] [CrossRef]
  45. Tresna, S.T.; Anggriani, N.; Napitupulu, H.; Ahmad, W.M.A.W. Deterministic Modeling of the Issue of Dental Caries and Oral Bacterial Growth: A Brief Review. Mathematics 2024, 12, 2218. [Google Scholar] [CrossRef]
  46. Aldila, D.; Chávez, J.P.; Wijaya, K.P.; Ganegoda, N.C.; Simorangkir, G.M.; Tasman, H.; Soewono, E. A Tuberculosis Epidemic Model as a Proxy for the Assessment of the Novel M72/AS01E Vaccine. Commun. Nonlinear Sci. Numer. Simul. 2023, 120, 107162. [Google Scholar] [CrossRef]
  47. Forssten, S.D.; Björklund, M.; Ouwehand, A.C. Streptococcus Mutans, Caries and Simulation Models. Nutrients 2010, 2, 290–298. [Google Scholar] [CrossRef]
  48. Shen, Y.; Zhao, J.; De La Fuente-Núñez, C.; Wang, Z.; Hancock, R.E.W.; Roberts, C.R.; Ma, J.; Li, J.; Haapasalo, M.; Wang, Q. Experimental and Theoretical Investigation of Multispecies Oral Biofilm Resistance to Chlorhexidine Treatment. Sci. Rep. 2016, 6, 27537. [Google Scholar] [CrossRef] [PubMed]
  49. Erick, B.; Mayengo, M. Modelling the Dynamics of Cassava Mosaic Disease with Non-Cassava Host Plants. Inform. Med. Unlocked 2022, 33, 101086. [Google Scholar] [CrossRef]
  50. Diekmann, O.; Heesterbeek, J.A.P.; Roberts, M.G. The Construction of Next-Generation Matrices for Compartmental Epidemic Models. J. R. Soc. Interface 2010, 7, 873–885. [Google Scholar] [CrossRef] [PubMed]
  51. Van Den Driessche, P.; Watmough, J. Reproduction Numbers and Sub-Threshold Endemic Equilibria for Compartmental Models of Disease Transmission. Math. Biosci. 2002, 180, 29–48. [Google Scholar] [CrossRef] [PubMed]
  52. Castillo-chavez, C.; Song, B. Dynamical Models of Tuberculosis and Applications. Math. Biosci. Eng. 2013, 1, 191–217. [Google Scholar] [CrossRef] [PubMed]
  53. Aldila, D.; Angelina, M. Optimal Control Problem and Backward Bifurcation on Malaria Transmission with Vector Bias. Heliyon 2021, 7, e06824. [Google Scholar] [CrossRef] [PubMed]
Figure 1. Sensitivity analysis results using LHS and PRCC. The order (left to right) represents the different influence levels (strongest to weakest) given by each parameter against the R 0 . Note that red and blue, respectively, represent the negative and positive correlation.
Figure 1. Sensitivity analysis results using LHS and PRCC. The order (left to right) represents the different influence levels (strongest to weakest) given by each parameter against the R 0 . Note that red and blue, respectively, represent the negative and positive correlation.
Mathematics 14 00704 g001
Figure 2. Sensitivity analysis results using LHS and PRCC. The order (left to right) represents the different influence levels (strongest to weakest) given by each parameter against the i * . Note that red and blue, respectively, represent the negative and positive correlation.
Figure 2. Sensitivity analysis results using LHS and PRCC. The order (left to right) represents the different influence levels (strongest to weakest) given by each parameter against the i * . Note that red and blue, respectively, represent the negative and positive correlation.
Mathematics 14 00704 g002
Figure 3. Bifurcation diagram of the system (4). Note that the solid and dashed curves represent the stable and unstable conditions of the equilibrium solutions, respectively.
Figure 3. Bifurcation diagram of the system (4). Note that the solid and dashed curves represent the stable and unstable conditions of the equilibrium solutions, respectively.
Mathematics 14 00704 g003
Figure 4. A two-parameter contour plot depicting the disease-free equilibrium stability region. The curve represents the critical threshold ( R 0 = 1 ) , which distinguishes endemic regions (red) from disease-free regions (green). The intercept value indicates the minimum coverage required for elimination using a single-strategy approach.
Figure 4. A two-parameter contour plot depicting the disease-free equilibrium stability region. The curve represents the critical threshold ( R 0 = 1 ) , which distinguishes endemic regions (red) from disease-free regions (green). The intercept value indicates the minimum coverage required for elimination using a single-strategy approach.
Mathematics 14 00704 g004
Figure 5. Validation of control strategies showing the calculated R 0 under different scenarios.
Figure 5. Validation of control strategies showing the calculated R 0 under different scenarios.
Mathematics 14 00704 g005
Figure 6. Optimal control simulation with varied caries formation delay times τ 1 for the proportion of (a) infectious and (b) recovered.
Figure 6. Optimal control simulation with varied caries formation delay times τ 1 for the proportion of (a) infectious and (b) recovered.
Mathematics 14 00704 g006
Figure 7. Control profile due to varied caries formation delay times τ 1 for (a) health campaign and (b) post-treatment intervention.
Figure 7. Control profile due to varied caries formation delay times τ 1 for (a) health campaign and (b) post-treatment intervention.
Mathematics 14 00704 g007
Figure 8. Optimal control simulation with a varied level of medical resources limitation ( m ) for the proportion of (a) infectious and (b) recovered.
Figure 8. Optimal control simulation with a varied level of medical resources limitation ( m ) for the proportion of (a) infectious and (b) recovered.
Mathematics 14 00704 g008
Figure 9. Control profile due to the varied level of medical resources limitation (m) for (a) health campaign and (b) post-treatment intervention.
Figure 9. Control profile due to the varied level of medical resources limitation (m) for (a) health campaign and (b) post-treatment intervention.
Mathematics 14 00704 g009
Table 1. Definition of the used parameters.
Table 1. Definition of the used parameters.
ParameterDefinitionValueUnitRef.
μ Natural birth/death rate 1 72 × 12 1 / y e a r [46]
β Transmission rate [ 0.4412 0.4672 ] 1 / y e a r [49]
ζ Recovery rate 0.9 1 / y e a r [44]
m Medical resources limitation level 1 Non-dimensionalized[44]
ϕ Reformation of caries0.4542 1 / y e a r [49]
c 1 Health campaign level 0 , 1 Non-dimensionalizedAssumed
c 2 Post-treatment intervention level 0 , 1 Non-dimensionalizedAssumed
τ 1 Time delay for caries formation 6 12 , 24 12 Non-dimensionalizedAssumed
τ 2 Time delay for treatment process 6 12 , 24 12 Non-dimensionalizedAssumed
Disclaimer/Publisher’s Note: The statements, opinions and data contained in all publications are solely those of the individual author(s) and contributor(s) and not of MDPI and/or the editor(s). MDPI and/or the editor(s) disclaim responsibility for any injury to people or property resulting from any ideas, methods, instructions or products referred to in the content.

Share and Cite

MDPI and ACS Style

Tresna, S.T.; Anggriani, N.; Napitupulu, H.; Ahmad, W.M.A.W.; Setiawan, A.S. Mathematical Modeling for Contagious Dental Health Issue: An Early Study of Streptococcus mutans Transmission. Mathematics 2026, 14, 704. https://doi.org/10.3390/math14040704

AMA Style

Tresna ST, Anggriani N, Napitupulu H, Ahmad WMAW, Setiawan AS. Mathematical Modeling for Contagious Dental Health Issue: An Early Study of Streptococcus mutans Transmission. Mathematics. 2026; 14(4):704. https://doi.org/10.3390/math14040704

Chicago/Turabian Style

Tresna, Sanubari Tansah, Nursanti Anggriani, Herlina Napitupulu, Wan Muhamad Amir W. Ahmad, and Asty Samiati Setiawan. 2026. "Mathematical Modeling for Contagious Dental Health Issue: An Early Study of Streptococcus mutans Transmission" Mathematics 14, no. 4: 704. https://doi.org/10.3390/math14040704

APA Style

Tresna, S. T., Anggriani, N., Napitupulu, H., Ahmad, W. M. A. W., & Setiawan, A. S. (2026). Mathematical Modeling for Contagious Dental Health Issue: An Early Study of Streptococcus mutans Transmission. Mathematics, 14(4), 704. https://doi.org/10.3390/math14040704

Note that from the first issue of 2016, this journal uses article numbers instead of page numbers. See further details here.

Article Metrics

Back to TopTop