The Interplay Between Non-Instantaneous Dynamics of mRNA and Bounded Extrinsic Stochastic Perturbations for a Self-Enhancing Transcription Factor
Abstract
1. Introduction
2. The Deterministic Dynamics of TF-mRNA: Biological and Systems Biology Details
3. Bounded Stochastic Perturbations Afflicting the Parameter : Definitions, Simple Analytical Inferences and Sine–Wiener Bounded Noise
- is Locally Asymptotically Stable (LAS)
- is unstable
- is Locally Asymptotically Stable (LAS)
Bounded Stochastic Processes
4. Base Model Simulations
4.1. Spectral Behavior
4.2. Impact of the Noise Autocorrelation
4.3. Probability Distributions
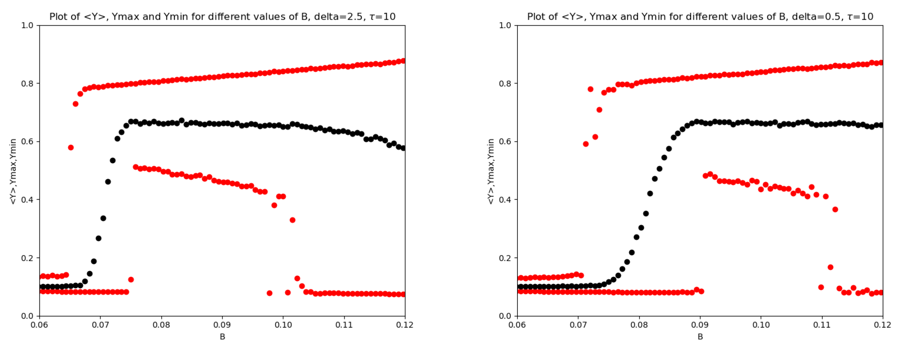
5. The Interplay of the Extrinsic Noise with Non-Instantaneous Feedback and/or Non-Immediate Translation
6. Concluding Remarks
Author Contributions
Funding
Data Availability Statement
Conflicts of Interest
Abbreviations
| TF | Transcription Factor |
| mRNA | messenger Rybo-Nucleic Acid |
| FT | Fourier Transform |
| FFT | Fast Fourier Transform |
Appendix A. The Role of the Non-Instantaneous Nature of Both the Translation and the Feedback Enacted by the TF
Appendix A.1. Delayed Feedback of the TF


Appendix A.2. Non-Instantaneous Translation

Appendix A.3. Combining the Two Delays’ Effects

References
- Klipp, E.; Liebermeister, W.; Wierling, C.; Kowald, A. Systems Biology: A Textbook, 2nd ed.; John Wiley & Sons: Hoboken, NJ, USA, 2016. [Google Scholar]
- Alon, U. An Introduction to Systems Biology: Design Principles of Biological Circuits; Chapman and Hall/CRC: Boca Raton, FL, USA, 2019. [Google Scholar]
- Ingalls, B.P. Mathematical Modeling in Systems Biology: An Introduction; MIT Press: Cambridge, MA, USA, 2013. [Google Scholar]
- Prigogine, I.; Lefever, R. Symmetry breaking instabilities in dissipative systems. II. J. Chem. Phys. 1968, 48, 1695–1700. [Google Scholar] [CrossRef]
- Prigogine, I. Time, structure, and fluctuations. Science 1978, 201, 777–785. [Google Scholar] [CrossRef]
- Prigogine, I.; Nicolis, G. Biological order, structure and instabilities. Q. Rev. Biophys. 1971, 4, 107–148. [Google Scholar] [CrossRef] [PubMed]
- Horsthemke, W.; Lefever, R. Noise-Induced Transitions: Theory and Applications in Physics, Chemistry, and Biology; Springer: Berlin/Heidelberg, Germany, 1984. [Google Scholar]
- Arnold, L.; Horsthemke, W.; Lefever, R. White and coloured external noise and transition phenomena in nonlinear systems. Z. Phys. B Condens. Matter 1978, 29, 367–373. [Google Scholar] [CrossRef]
- De Kepper, P.; Horsthemke, W. Experimental evidence of noise-induced transitions in an open chemical system. In Synergetics; Springer: Berlin/Heidelberg, Germany, 1979; pp. 61–63. [Google Scholar]
- d’Onofrio, A.; Caravagna, G.; de Franciscis, S. Bounded noise induced first-order phase transitions in a baseline non-spatial model of gene transcription. Phys. A Stat. Mech. Its Appl. 2018, 492, 2056–2068. [Google Scholar] [CrossRef]
- Prigogine, I. Dissipative structures in biological systems. In De la Physique Théorique à la Biologie; Centre National de la Recherche Scientifique: Paris, France, 1971; pp. 162–183. [Google Scholar]
- de Franciscis, S.; Caravagna, G.; d’Onofrio, A. Bounded noises as a natural tool to model extrinsic fluctuations in biomolecular networks. Nat. Comput. 2014, 13, 297–307. [Google Scholar] [CrossRef]
- De Franciscis, S.; Caravagna, G.; Mauri, G.; d’Onofrio, A. Gene switching rate determines response to extrinsic perturbations in the self-activation transcriptional network motif. Sci. Rep. 2016, 6, 26980. [Google Scholar] [CrossRef]
- Smolen, P.; Baxter, D.A.; Byrne, J.H. Frequency selectivity, multistability, and oscillations emerge from models of genetic regulatory systems. Am. J. Physiol.-Cell Physiol. 1998, 274, C531–C542. [Google Scholar] [CrossRef]
- Raghavan, A.; Ogilvie, R.L.; Reilly, C.; Abelson, M.L.; Raghavan, S.; Vasdewani, J.; Krathwohl, M.; Bohjanen, P.R. Genome-wide analysis of mRNA decay in resting and activated primary human T lymphocytes. Nucleic Acids Res. 2002, 30, 5529–5538. [Google Scholar] [CrossRef]
- Lee, J.E.; Lee, J.Y.; Wilusz, J.; Tian, B.; Wilusz, C.J. Systematic analysis of cis-elements in unstable mRNAs demonstrates that CUGBP1 is a key regulator of mRNA decay in muscle cells. PLoS ONE 2010, 5, e11201. [Google Scholar] [CrossRef]
- Sharova, L.V.; Sharov, A.A.; Nedorezov, T.; Piao, Y.; Shaik, N.; Ko, M.S. Database for mRNA half-life of 19 977 genes obtained by DNA microarray analysis of pluripotent and differentiating mouse embryonic stem cells. DNA Res. 2009, 16, 45–58. [Google Scholar] [CrossRef] [PubMed]
- Nair, G.; Abranches, E.; Guedes, A.M.; Henrique, D.; Raj, A. Heterogeneous lineage marker expression in naive embryonic stem cells is mostly due to spontaneous differentiation. Sci. Rep. 2015, 5, 13339. [Google Scholar] [CrossRef] [PubMed]
- Assaf, M.; Roberts, E.; Luthey-Schulten, Z. Determining the stability of genetic switches: Explicitly accounting for mRNA noise. Phys. Rev. Lett. 2011, 106, 248102. [Google Scholar] [CrossRef]
- Jaruszewicz, J.; Zuk, P.J.; Lipniacki, T. Type of noise defines global attractors in bistable molecular regulatory systems. J. Theor. Biol. 2013, 317, 140–151. [Google Scholar] [CrossRef] [PubMed][Green Version]
- Goodwin, B.C. Oscillatory behavior in enzymatic control processes. Adv. Enzym. Regul. 1965, 3, 425–437. [Google Scholar] [CrossRef]
- Griffith, J.S. Mathematics of cellular control processes I. Negative feedback to one gene. J. Theor. Biol. 1968, 20, 202–208. [Google Scholar] [CrossRef]
- Griffith, J.S. Mathematics of cellular control processes II. Positive feedback to one gene. J. Theor. Biol. 1968, 20, 209–216. [Google Scholar] [CrossRef]
- Selgrade, J.F. Mathematical analysis of a cellular control process with positive feedback. SIAM J. Appl. Math. 1979, 36, 219–229. [Google Scholar] [CrossRef]
- Banks, H.; Mahaffy, J. Stability of cyclic gene models for systems involving repression. J. Theor. Biol. 1978, 74, 323–334. [Google Scholar] [CrossRef]
- Goldbeter, A. A model for circadian oscillations in the Drosophila period protein (PER). Proc. R. Soc. Lond. Ser. B Biol. Sci. 1995, 261, 319–324. [Google Scholar]
- Thattai, M.; Van Oudenaarden, A. Intrinsic noise in gene regulatory networks. Proc. Natl. Acad. Sci. USA 2001, 98, 8614–8619. [Google Scholar] [CrossRef] [PubMed]
- François, P.; Hakim, V. Core genetic module: The mixed feedback loop. Phys. Rev. E—Stat. Nonlinear Soft Matter Phys. 2005, 72, 031908. [Google Scholar] [CrossRef]
- Lestas, I.; Paulsson, J.; Ross, N.E.; Vinnicombe, G. Noise in gene regulatory networks. IEEE Trans. Autom. Control 2008, 53, 189–200. [Google Scholar] [CrossRef]
- Ochab-Marcinek, A.; Tabaka, M. Bimodal gene expression in noncooperative regulatory systems. Proc. Natl. Acad. Sci. USA 2010, 107, 22096–22101. [Google Scholar] [CrossRef] [PubMed]
- Jia, T.; Kulkarni, R.V. Intrinsic noise in stochastic models of gene expression with molecular memory and bursting. Phys. Rev. Lett. 2011, 106, 058102. [Google Scholar] [CrossRef]
- Aquino, T.; Abranches, E.; Nunes, A. Stochastic single-gene autoregulation. Phys. Rev. E—Stat. Nonlinear Soft Matter Phys. 2012, 85, 061913. [Google Scholar] [CrossRef][Green Version]
- Bhattacharyya, B.; Kalay, Z. Distribution of population-averaged observables in stochastic gene expression. Phys. Rev. E 2014, 89, 012715. [Google Scholar] [CrossRef]
- Kepler, T.B.; Elston, T.C. Stochasticity in transcriptional regulation: Origins, consequences, and mathematical representations. Biophys. J. 2001, 81, 3116–3136. [Google Scholar] [CrossRef]
- Scott, M.; Hwa, T.; Ingalls, B. Deterministic characterization of stochastic genetic circuits. Proc. Natl. Acad. Sci. USA 2007, 104, 7402–7407. [Google Scholar] [CrossRef]
- Mitrophanov, A.Y.; Hadley, T.J.; Groisman, E.A. Positive autoregulation shapes response timing and intensity in two-component signal transduction systems. J. Mol. Biol. 2010, 401, 671–680. [Google Scholar] [CrossRef]
- Hermsen, R.; Erickson, D.W.; Hwa, T. Speed, sensitivity, and bistability in auto-activating signaling circuits. PLoS Comput. Biol. 2011, 7, e1002265. [Google Scholar] [CrossRef] [PubMed]
- Frigola, D.; Casanellas, L.; Sancho, J.M.; Ibañes, M. Asymmetric stochastic switching driven by intrinsic molecular noise. PLoS ONE 2012, 7, e31407. [Google Scholar] [CrossRef] [PubMed]
- Cheng, Z.; Liu, F.; Zhang, X.P.; Wang, W. Robustness analysis of cellular memory in an autoactivating positive feedback system. FEBS Lett. 2008, 582, 3776–3782. [Google Scholar] [CrossRef] [PubMed]
- Xiong, W.; Ferrell, J.E., Jr. A positive-feedback-based bistable ‘memory module’that governs a cell fate decision. Nature 2003, 426, 460–465. [Google Scholar] [CrossRef]
- Wang, L.; Walker, B.L.; Iannaccone, S.; Bhatt, D.; Kennedy, P.J.; Tse, W.T. Bistable switches control memory and plasticity in cellular differentiation. Proc. Natl. Acad. Sci. USA 2009, 106, 6638–6643. [Google Scholar] [CrossRef]
- Karmakar, R.; Bose, I. Positive feedback, stochasticity and genetic competence. Phys. Biol. 2007, 4, 29–37. [Google Scholar] [CrossRef][Green Version]
- Smits, W.K.; Kuipers, O.P.; Veening, J.W. Phenotypic variation in bacteria: The role of feedback regulation. Nat. Rev. Microbiol. 2006, 4, 259–271. [Google Scholar] [CrossRef]
- Ptashne, M. A Genetic Switch: Phage Lambda and Higher Organisms; Blackwell: Hoboken, NJ, USA, 1992. [Google Scholar]
- Gokhale, S.A.; Roshan, R.; Khetan, V.; Pillai, B.; Gadgil, C.J. A kinetic model of TBP auto-regulation exhibits bistability. Biol. Direct 2010, 5, 50. [Google Scholar] [CrossRef][Green Version]
- Acar, M.; Becskei, A.; Van Oudenaarden, A. Enhancement of cellular memory by reducing stochastic transitions. Nature 2005, 435, 228–232. [Google Scholar] [CrossRef]
- Stock, A.M.; Robinson, V.L.; Goudreau, P.N. Two-component signal transduction. Annu. Rev. Biochem. 2000, 69, 183–215. [Google Scholar] [CrossRef]
- Gao, R.; Brokaw, S.E.; Li, Z.; Helfant, L.J.; Wu, T.; Malik, M.; Stock, A.M. Exploring the mono-/bistability range of positively autoregulated signaling systems in the presence of competing transcription factor binding sites. PLoS Comput. Biol. 2022, 18, e1010738. [Google Scholar] [CrossRef] [PubMed]
- To, T.L.; Maheshri, N. Noise can induce bimodality in positive transcriptional feedback loops without bistability. Science 2010, 327, 1142–1145. [Google Scholar] [CrossRef] [PubMed]
- Becskei, A.; Séraphin, B.; Serrano, L. Positive feedback in eukaryotic gene networks: Cell differentiation by graded to binary response conversion. EMBO J. 2001, 20, 2528–2535. [Google Scholar] [CrossRef] [PubMed]
- Jaquet, V.; Hsu, C.; Becskei, A. Measurement of bistability in a multidimensional parameter space. Integr. Biol. 2017, 9, 167–177. [Google Scholar] [CrossRef]
- d’Onofrio, A. (Ed.) Bounded Noises in Physics, Biology, and Engineering; Birkhäuser/Springer: New York, NY, USA, 2013. [Google Scholar] [CrossRef]
- Shahrezaei, V.; Ollivier, J.F.; Swain, P.S. Colored extrinsic fluctuations and stochastic gene expression. Mol. Syst. Biol. 2008, 4, MSB200831. [Google Scholar] [CrossRef]
- Domingo, D.; d’Onofrio, A.; Flandoli, F. Boundedness vs unboundedness of a noise linked to Tsallis q-statistics: The role of the overdamped approximation. J. Math. Phys. 2017, 58, 033301. [Google Scholar] [CrossRef]
- Domingo, D.; d’Onofrio, A.; Flandoli, F. Properties of bounded stochastic processes employed in biophysics. Stoch. Anal. Appl. 2020, 38, 277–306. [Google Scholar] [CrossRef]
- Wio, H.S.; Toral, R. Effect of non-Gaussian noise sources in a noise-induced transition. Phys. D Nonlinear Phenom. 2004, 193, 161–168. [Google Scholar] [CrossRef][Green Version]
- Fuentes, M.; Wio, H.S.; Toral, R. Effective Markovian approximation for non-Gaussian noises: A path integral approach. Phys. A Stat. Mech. Its Appl. 2002, 303, 91–104. [Google Scholar] [CrossRef]
- Fuentes, M.; Toral, R.; Wio, H.S. Enhancement of stochastic resonance: The role of non Gaussian noises. Phys. A Stat. Mech. Its Appl. 2001, 295, 114–122. [Google Scholar] [CrossRef]
- Bobryk, R.; Chrzeszczyk, A. Stability regions for Mathieu equation with imperfect periodicity. Phys. Lett. A 2009, 373, 3532–3535. [Google Scholar] [CrossRef]
- Bobryk, R.V.; Chrzeszczyk, A. Transitions induced by bounded noise. Phys. A Stat. Mech. Its Appl. 2005, 358, 263–272. [Google Scholar] [CrossRef]
- Deng, J.; Xie, W.C.; Pandey, M.D. Stochastic stability of a fractional viscoelastic column under bounded noise excitation. J. Sound Vib. 2014, 333, 1629–1643. [Google Scholar] [CrossRef]
- Gong, Y.; Hao, Y.; Xie, Y.; Ma, X.; Yang, C. Non-Gaussian noise optimized spiking activity of Hodgkin–Huxley neurons on random complex networks. Biophys. Chem. 2009, 144, 88–93. [Google Scholar] [CrossRef]
- Yang, X.; Jia, Y.; Zhang, L. Impact of bounded noise and shortcuts on the spatiotemporal dynamics of neuronal networks. Phys. A Stat. Mech. Its Appl. 2014, 393, 617–623. [Google Scholar] [CrossRef]
- Ridolfi, L.; D’Odorico, P.; Laio, F. Noise-Induced Phenomena in the Environmental Sciences; Cambridge University Press: Cambridge, UK, 2011. [Google Scholar]
- Cai, G.; Lin, Y. Stochastic analysis of predator–prey type ecosystems. Ecol. Complex. 2007, 4, 242–249. [Google Scholar] [CrossRef]
- Banerjee, S.; Banerjee, M. Noise induced oscillations in time delayed semiconductor laser system. Opt. Commun. 2012, 285, 2402–2409. [Google Scholar] [CrossRef]
- Yao, Y.; Yang, L.; Wang, C.; Liu, Q.; Gui, R.; Xiong, J.; Yi, M. Subthreshold Periodic Signal Detection by Bounded Noise-Induced Resonance in the FitzHugh–Nagumo Neuron. Complexity 2018, 2018, 5632650. [Google Scholar] [CrossRef]
- Zhao, J.; Yang, J.; Zhang, J.; Wu, C.; Huang, D. Improving the stochastic resonance in a bistable system with the bounded noise excitation. J. Stat. Phys. 2018, 173, 1688–1697. [Google Scholar] [CrossRef]
- Maddalena, E.T.; Scharnhorst, P.; Jones, C.N. Deterministic error bounds for kernel-based learning techniques under bounded noise. Automatica 2021, 134, 109896. [Google Scholar] [CrossRef]
- Chholak, P.; Hramov, A.E.; Pisarchik, A.N. An advanced perception model combining brain noise and adaptation. Nonlinear Dyn. 2020, 100, 3695–3709. [Google Scholar] [CrossRef]
- Luo, C.; Du, L.; Guo, Z.; Shi, H.; Huang, F.; Xiang, Y.; Guo, W. Bounded diffusing diffusivities: Brownian yet non-Gaussian diffusion. Phys. Scr. 2024, 99, 115214. [Google Scholar] [CrossRef]
- Jin, H.; Guan, Y.; Yao, L. Minimum entropy active fault tolerant control of the non-Gaussian stochastic distribution system subjected to mean constraint. Entropy 2017, 19, 218. [Google Scholar] [CrossRef]
- Flora, B.F.F.; Ciancio, A.; d’Onofrio, A. On systems of active particles perturbed by symmetric bounded noises: A multiscale kinetic approach. Symmetry 2021, 13, 1604. [Google Scholar] [CrossRef]
- Hui, C.H.; Lo, C.F.; Liu, C.H. Equity Price Dynamics under Shocks: In Distress or Short Squeeze. Risks 2023, 12, 1. [Google Scholar] [CrossRef]
- Stranger, B.E.; Forrest, M.S.; Dunning, M.; Ingle, C.E.; Beazley, C.; Thorne, N.; Redon, R.; Bird, C.P.; De Grassi, A.; Lee, C.; et al. Relative impact of nucleotide and copy number variation on gene expression phenotypes. Science 2007, 315, 848–853. [Google Scholar] [CrossRef]
- Alberts, B.; Bray, D.; Hopkin, K.; Johnson, A.D.; Lewis, J.; Raff, M.; Roberts, K.; Walter, P. Essential Cell Biology; Garland Science: New York, NY, USA, 2015. [Google Scholar]
- Coppel, W.A. Stability and Asymptotic Behavior of Differential Equations; Heath: Houston, TX, USA, 1965. [Google Scholar]
- Ozbudak, E.M.; Thattai, M.; Lim, H.N.; Shraiman, B.I.; Van Oudenaarden, A. Multistability in the lactose utilization network of Escherichia coli. Nature 2004, 427, 737–740. [Google Scholar] [CrossRef]
- Capasso, V.; Paveri-Fontana, S. A mathematical model for the 1973 cholera epidemic in the European Mediterranean region. Rev. D’Epidemiol. Sante Publique 1979, 27, 121–132. [Google Scholar]
- Dimentberg, M.F. Statistical Dynamics of Nonlinear and Time-Varying Systems; Taunton Press: Newtown, CT, USA, 1988. [Google Scholar]
- Dimentberg, M. Dynamics of systems with randomly disordered periodic excitations. In Bounded Noises in Physics, Biology, and Engineering; d’Onofrio, A., Ed.; Springer: New York, NY, USA, 2013; pp. 25–41. [Google Scholar]
- Wedig, W.V. Analysis and simulation of nonlinear stochastic systems. In Nonlinear Dynamics in Engineering Systems; Springer: Berlin/Heidelberg, Germany, 1990; pp. 337–344. [Google Scholar]
- Zhu, W.; Cai, G. On bounded stochastic processes. In Bounded Noises in Physics, Biology, and Engineering; d’Onofrio, A., Ed.; Springer: New York, NY, USA, 2013; pp. 3–24. [Google Scholar]
- Cabriel, L. SDE-SS. 2025. Available online: https://github.com/lcabriel/SDE-SS (accessed on 28 December 2025).
- Chua, L.O.; Desoer, C.A.; Kuh, E.S.j. Linear and Nonlinear Circuits; McGraw-Hill: New York, NY, USA, 1987. [Google Scholar]
- Bai, J.; Perron, P. Computation and analysis of multiple structural change models. J. Appl. Econom. 2003, 18, 1–22. [Google Scholar] [CrossRef]
- Kim, T.; Lee, H.; Choi, H. Improved identification of breakpoints in piecewise regression and its applications. arXiv 2024, arXiv:2408.13751. [Google Scholar] [CrossRef]
- Capasso, V. Mathematical Structures of Epidemic Systems; Springer: Berlin/Heidelberg, Germany, 1993. [Google Scholar]












| Case | B | A | ||||||||
|---|---|---|---|---|---|---|---|---|---|---|
| Lin | 0.0001 | 2.97 | 0.0124 | 1.84 | 0.14 | 1.94 | 3.78 | 11.55 | −1.88 | 1.90 |
| Nonl | 0.065 | −0.19 | 0.008 | 1.56 | 0.035 | 2.09 | 3.65 | 4.49 | −1.75 | 1.9 |
| Lin | 0.065 | 3.26 | 0.012 | 1.67 | 0.099 | 1.996 | 3.66 | 5.21 | −1.79 | 1.88 |
| Lin | 0.9999 | 4.08 | 0.012 | 1.73 | 0.095 | 2.09 | 3.82 | 7.65 | −1.899 | 1.92 |
Disclaimer/Publisher’s Note: The statements, opinions and data contained in all publications are solely those of the individual author(s) and contributor(s) and not of MDPI and/or the editor(s). MDPI and/or the editor(s) disclaim responsibility for any injury to people or property resulting from any ideas, methods, instructions or products referred to in the content. |
© 2026 by the authors. Licensee MDPI, Basel, Switzerland. This article is an open access article distributed under the terms and conditions of the Creative Commons Attribution (CC BY) license.
Share and Cite
Cabriel, L.; Caravagna, G.; de Franciscis, S.; Anselmi, F.; D’Onofrio, A. The Interplay Between Non-Instantaneous Dynamics of mRNA and Bounded Extrinsic Stochastic Perturbations for a Self-Enhancing Transcription Factor. Entropy 2026, 28, 238. https://doi.org/10.3390/e28020238
Cabriel L, Caravagna G, de Franciscis S, Anselmi F, D’Onofrio A. The Interplay Between Non-Instantaneous Dynamics of mRNA and Bounded Extrinsic Stochastic Perturbations for a Self-Enhancing Transcription Factor. Entropy. 2026; 28(2):238. https://doi.org/10.3390/e28020238
Chicago/Turabian StyleCabriel, Lorenzo, Giulio Caravagna, Sebastiano de Franciscis, Fabio Anselmi, and Alberto D’Onofrio. 2026. "The Interplay Between Non-Instantaneous Dynamics of mRNA and Bounded Extrinsic Stochastic Perturbations for a Self-Enhancing Transcription Factor" Entropy 28, no. 2: 238. https://doi.org/10.3390/e28020238
APA StyleCabriel, L., Caravagna, G., de Franciscis, S., Anselmi, F., & D’Onofrio, A. (2026). The Interplay Between Non-Instantaneous Dynamics of mRNA and Bounded Extrinsic Stochastic Perturbations for a Self-Enhancing Transcription Factor. Entropy, 28(2), 238. https://doi.org/10.3390/e28020238

