Sign in to use this feature.

Years

Between: -

Subjects

remove_circle_outline
remove_circle_outline
remove_circle_outline
remove_circle_outline
remove_circle_outline
remove_circle_outline
remove_circle_outline
remove_circle_outline
remove_circle_outline

Journals

Article Types

Countries / Regions

Search Results (165)

Search Parameters:
Keywords = dehumidification system

Order results
Result details
Results per page
Select all
Export citation of selected articles as:
15 pages, 4021 KB  
Article
Simulation of Heat Flow Field in Venlo Greenhouse in South China and Optimization of Its Cooling and Dehumidification System
by Linchen Shen, Kunpeng Xue, Bo Xiao and Yecong Chen
Processes 2026, 14(9), 1331; https://doi.org/10.3390/pr14091331 - 22 Apr 2026
Abstract
In response to the technical bottleneck of the Venlo greenhouse’s inability to achieve year-round production due to the high temperature and humidity in the summer in South China, this study took an existing Venlo-type greenhouse in Guangzhou as the research object and constructed [...] Read more.
In response to the technical bottleneck of the Venlo greenhouse’s inability to achieve year-round production due to the high temperature and humidity in the summer in South China, this study took an existing Venlo-type greenhouse in Guangzhou as the research object and constructed a three-dimensional computational fluid dynamics (CFD) model of the greenhouse by comprehensively considering key factors such as solar radiation, thermal radiation, and crop canopy resistance. After on-site experiments, it was verified that, except for the top area of the greenhouse, the temperature deviation between the model simulation values and the measured values was less than 2 °C, and the error rate was less than 5%, confirming the model’s accurate representation of the temperature field distribution within the greenhouse. Based on the characteristics of the temperature and humidity fields revealed by the CFD simulation (canopy temperature gradient K = 0.144 °C/m, maximum temperature difference between upper and lower layers 20 °C), an optimized scheme of “wet curtain fan + salt bath dehumidification equipment” for local cooling and dehumidification of the crop canopy was proposed, and a non-uniform air duct layout was designed according to the temperature gradient characteristics. Field experiments showed that after optimization, the daytime temperature of the crop canopy was mostly controlled within 30 °C, the relative humidity was stably maintained below 80%, and the maximum temperature difference along the length of the greenhouse was reduced from 7 °C to 2 °C, effectively solving the problem of poor cooling and dehumidification effects of the traditional system. This scheme enabled the stable operation and year-round production of Venlo-type greenhouses in South China during the summer, providing technical support and engineering reference for greenhouse environmental control in high-humidity areas. Full article
(This article belongs to the Section Energy Systems)
Show Figures

Figure 1

56 pages, 3551 KB  
Review
Pathways for Greenhouse Thermal Management’s Contribution to Net-Zero Food Production
by Samson Sogbaike, Celestina Ezenwajiaku, Amir Badiee, Chris Bingham and Aliyu M. Aliyu
Energies 2026, 19(8), 1975; https://doi.org/10.3390/en19081975 - 19 Apr 2026
Viewed by 120
Abstract
Decarbonising greenhouse food production requires improvements in thermal management, energy efficiency, and system integration. Greenhouse energy demand is shaped by coupled heat and mass transfer processes, particularly envelope performance, ventilation, and latent heat associated with humidity control. This article synthesises recent advances in [...] Read more.
Decarbonising greenhouse food production requires improvements in thermal management, energy efficiency, and system integration. Greenhouse energy demand is shaped by coupled heat and mass transfer processes, particularly envelope performance, ventilation, and latent heat associated with humidity control. This article synthesises recent advances in greenhouse microclimate control with emphasis on heat transfer, low-carbon heating and cooling, thermal storage, renewable and waste heat integration, and advanced modelling and control approaches. The review shows that humidity control and latent load management are primary drivers of winter energy use, as moisture removal through ventilation and dehumidification directly increases the sensible heating required to maintain indoor temperature setpoints. When assessed using realistic psychrometric relationships, ventilation and dehumidification can dominate peak heating demand and seasonal consumption. The performance of heat pumps, storage systems, semi-closed greenhouse concepts, and renewable heat pathways depends on how thermal loads are defined, how system boundaries are set, and how technologies are integrated in operation. Digital twins, predictive control, and hybrid physics-data models are increasingly used to manage variability in weather, energy prices, and infrastructure constraints. Greenhouse decarbonisation cannot be treated as a simple substitution of energy sources. System performance depends on coordinated design and operation, including heat recovery, moisture removal, and integration of supply technologies. Semi-closed and heat recovery-based configurations can reduce the ventilation–heating penalty and lower primary energy demand compared with vent-to-dry approaches. Long-term market projections suggest that the commercial greenhouse sector could expand substantially by 2050 under plausible growth scenarios, reflecting increased capital investment rather than a proportional rise in global food output. Net-zero greenhouse production is achievable through combined improvements in thermal management, electrification, and renewable energy integration. However, large-scale deployment depends on consistent modelling assumptions, credible economic assessment, and alignment with heat and CO2 supply infrastructure. The transition is therefore shaped by system integration and planning as much as by individual technologies. Full article
26 pages, 3884 KB  
Article
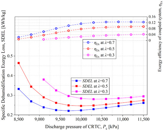
Theoretical Research of a Transcritical Refrigeration System of CO2 Coupled with Liquid Desiccant Dehumidification Cycle Using Exergy Analysis Method
by Xiao Liang, Yongbao Liu, Qiaolian Feng, Yongsheng Su and Yanfei Li
Entropy 2026, 28(4), 436; https://doi.org/10.3390/e28040436 - 13 Apr 2026
Viewed by 174
Abstract
Aiming to improve cooling and dehumidification performance in air conditioning systems and to meet the trend toward environmentally friendly refrigerants, this study proposes a coupled system that combines a CO2 transcritical refrigeration cycle (CTRC) with a liquid desiccant dehumidification cycle. The system [...] Read more.
Aiming to improve cooling and dehumidification performance in air conditioning systems and to meet the trend toward environmentally friendly refrigerants, this study proposes a coupled system that combines a CO2 transcritical refrigeration cycle (CTRC) with a liquid desiccant dehumidification cycle. The system takes advantage of high-grade waste heat from the exothermic side of the CTRC to drive the regenerating process of the liquid desiccant dehumidification. A cooling evaporator is adopted to cool indoor air, while another evaporator (i.e., Evaporator II) is utilized to cool the concentrated solution, improving dehumidification capacity and enabling independent control of sensible and latent heat loads. Through thermodynamic modeling and the exergy analysis model, a mathematical model of the system is developed to examine how key parameters (such discharge pressure and the CO2 mass flow rate ratio in Evaporator II (λ)) affect performance and to analyze exergy loss features. Results show that the system’s coefficient of performance (COP) and dehumidification coefficient of performance (COPdeh) initially rise and then fall with increasing CTRC discharge pressure, achieving an optimal pressure of around 10,500 kPa (COP up to 4.32) under a specific working condition, surpassing those of standalone CTRC systems. Properly increasing λ enhances dehumidification capacity and energy efficiency, with a low specific dehumidification energy (SDE) of 0.2033 kWh/kg, indicating high economic efficiency. Most exergy losses occur in the CO2-solution heat exchanger and dehumidifier (over 60% of total losses). The system’s maximum exergy efficiency reaches 12.4%, leaving room for further improvements. This coupled system offers an efficient, eco-friendly way for air conditioning in high-humidity environments, combining cooling and dehumidification with the potential for energy recovery. Full article
(This article belongs to the Section Thermodynamics)
Show Figures

Figure 1

26 pages, 9959 KB  
Article
Sustainable Humidity and Thermal Management in UK Indoor Swimming Pools with Liquid Desiccant Technology
by Alessandro Giampieri, Janie Ling-Chin, Christopher Beeson and Anthony Paul Roskilly
Energies 2026, 19(8), 1823; https://doi.org/10.3390/en19081823 - 8 Apr 2026
Viewed by 315
Abstract
Indoor swimming pools require ventilation and precise temperature and humidity control, leading to significant energy consumption. This study investigated the use of liquid desiccant technology to reduce energy consumption for heating and dehumidification of two indoor swimming pools in a UK leisure centre. [...] Read more.
Indoor swimming pools require ventilation and precise temperature and humidity control, leading to significant energy consumption. This study investigated the use of liquid desiccant technology to reduce energy consumption for heating and dehumidification of two indoor swimming pools in a UK leisure centre. Through dynamic modelling and techno-economic analysis, this research quantified heat losses in the pools, simulated the performance of liquid desiccant technology, evaluated the economic benefits and cost implications of regenerating the desiccant solution using waste heat, and assessed the feasibility of adopting the technology across the entire UK. The results showed that evaporative losses were the dominant heat loss mechanism for both pools, while the proposed liquid desiccant system effectively maintained optimal temperature and humidity conditions. Additionally, pool water can serve as a heat sink after desiccant regeneration, thereby reducing the energy demand for pool water heating. Energy consumption could be reduced by 68.9–76.7% when using a cooling tower and 77.5–88.1% when using pool water for heat rejection, with internal rates of return that can exceed 15% for the most cost-effective configurations. If the regeneration heat is sourced externally, up to £34.7/MWh could be paid for the heat required while ensuring the cost-effectiveness of the process. These findings suggest that liquid desiccant systems can reduce heating and dehumidification energy in indoor swimming pools when low-temperature heat is available for regeneration. Future research should focus on experimental validation, addressing interactions with chlorine gases, long-term system performance and real-world implementation challenges to ensure commercial deployment. Full article
Show Figures

Figure 1

20 pages, 3036 KB  
Article
Preliminary Experimental Investigation of the Performance of a Horizontal Air-Ground Heat Exchanger Integrated with Peltier Cells—The AIRcon.WATER Project
by Gianluca Falcicchia Ferrara, Cristina Baglivo, Giulio Russo, Michele Spagnolo, Marina Bonomolo, Irene Petrosillo and Paolo Maria Congedo
Energies 2026, 19(6), 1436; https://doi.org/10.3390/en19061436 - 12 Mar 2026
Viewed by 357
Abstract
This work experimentally investigates the behavior of a new indoor air conditioning system based on the application of Peltier cells in a Horizontal Air–Ground Heat Exchanger (HAGHE). To this end, a laboratory-scale prototype focusing exclusively on the terminal section of the system was [...] Read more.
This work experimentally investigates the behavior of a new indoor air conditioning system based on the application of Peltier cells in a Horizontal Air–Ground Heat Exchanger (HAGHE). To this end, a laboratory-scale prototype focusing exclusively on the terminal section of the system was developed and tested under controlled conditions. A series of configurations was tested, each representing an evolution of the previous one. The results highlight the strong dependence of system performance on airflow velocity, applied voltage, and heat dissipation effectiveness, demonstrating both the potential and the critical limitations of the proposed configurations. The most promising results were obtained in the advanced (fourth and fifth) configurations, yielding average temperature increases of approximately +1.9 °C on the hot flow and decreases ranging from −1.0 °C to −1.7 °C on the cold flow at moderate total voltages (40–50 V) and higher airflow velocities (0.5–0.6 m/s). In line with the principles of the circular economy, the prototype was constructed using recycled materials, including plastic pipes and Peltier cells recovered from discarded devices. Full article
Show Figures

Figure 1

14 pages, 2127 KB  
Article
Effect of Operating Temperature and Humidity in Heat Pump Drying on Energy Consumption and Drying Characteristics of Apple Slices
by Xianlong Yu, Bin Chu, Zhenchao Jia, Suchao Ma, Wenxuan Wu, Ziliang Liu and Ligang Sun
Agriculture 2026, 16(6), 633; https://doi.org/10.3390/agriculture16060633 - 10 Mar 2026
Viewed by 388
Abstract
In the current work, a novel heat pump drying system with precise control of temperature and humidity of drying medium was developed and the impacts of drying temperature and humidity on the drying characteristics of apple slices and energy consumption of drying system [...] Read more.
In the current work, a novel heat pump drying system with precise control of temperature and humidity of drying medium was developed and the impacts of drying temperature and humidity on the drying characteristics of apple slices and energy consumption of drying system were investigated. Experimental results indicated that the temperature and relative humidity (RH) of drying medium have a significant impact on drying efficiency and operating performance. During the first hour of the drying process, the heat pump drying of apple slices exhibited the highest drying rate throughout the entire process at a temperature of 40~50 °C and a relative humidity of 30~60%. And then the apple slices drying was in a falling-rate drying stage. When the relative humidity of the drying medium exceeded 50%, the final moisture content of the material increased significantly and exceeded 20% (dry basis, d.b.). Increased air medium temperature and humidity enhance the dehumidification rate of the evaporator. When the drying temperature was maintained at 40–60 °C, the condensation rate at 60% RH was 3.5–10 times that at 30% RH. The increased dehumidification rate significantly promoted the energy efficiency. The specific moisture extraction rate (SMER) was 2.53 kg/(kW·h) at 60 °C and 60% RH, which is 3.4 times that at 30% RH. It was appropriate to adopt high-temperature and high-humidity conditions in the early drying stage to improve drying energy efficiency. Meanwhile, the relative humidity should be reduced to promote moisture removal from the material in the late drying stage. The obtained results provided theoretical methods for the energy-saving control of heat pump drying for fruits. Full article
(This article belongs to the Special Issue Novel Thermal Processing Technology of Fruits and Vegetables)
Show Figures

Figure 1

16 pages, 468 KB  
Article
Performance Evaluation of a Ship Waste Heat-Driven Freshwater Production System Based on Rotary Dehumidification and Seawater Condensation
by Guanghai Yang, Defeng Ding, Ziwen Zhu, Guojie Zheng and Shilong Jiao
Processes 2026, 14(4), 666; https://doi.org/10.3390/pr14040666 - 14 Feb 2026
Viewed by 481
Abstract
This study evaluates integrated shipboard freshwater production and fresh air pretreatment on a 20,000 TEU-class container vessel, addressing its freshwater demand and the inefficient recovery of exhaust waste heat from the main engine. The system integrates rotary dehumidification, seawater condensation, and water purification. [...] Read more.
This study evaluates integrated shipboard freshwater production and fresh air pretreatment on a 20,000 TEU-class container vessel, addressing its freshwater demand and the inefficient recovery of exhaust waste heat from the main engine. The system integrates rotary dehumidification, seawater condensation, and water purification. A theoretical model was developed to evaluate the system performance, incorporating design, thermodynamic modeling, parameter optimization, and adaptability analyses under various operating conditions. The results indicate that under optimal conditions (seawater at 25 °C, outlet temperature difference of 2 °C), the single-stage system is predicted to produce approximately 1.45 m3 of freshwater per day, meeting 20.7% of the vessel’s freshwater requirement. The auxiliary electrical energy consumption, estimated based on standard engineering correlations, is 1–1.5 kWh/m3, representing a 70–80% reduction compared to conventional reverse osmosis systems (3–6 kWh/m3). The sensitivity coefficient for seawater temperature was −0.334, whereas that for output temperature was −0.167. A two-stage series configuration has the potential to further improve the demand satisfaction rate to 41–61%. Overall, the proposed system enables the cascade utilization of ship waste heat and functional integration of air pretreatment and freshwater production, offering a promising auxiliary engineering solution for energy conservation, emission reduction, and onboard freshwater self-sufficiency in marine applications. Full article
Show Figures

Figure 1

12 pages, 3212 KB  
Proceeding Paper
Engineering Verification and Performance Analysis of Water Curtain Wall System Based on Multi-Sensor and Automatic Control Technologies
by Yu-Chen Liu, Qi-Xuan Pan, Sheng-Rui Teng, Wei-Yan Sun and Wei-Jen Chen
Eng. Proc. 2025, 120(1), 64; https://doi.org/10.3390/engproc2025120064 - 12 Feb 2026
Viewed by 361
Abstract
Modern buildings in subtropical and humid regions face growing challenges regarding energy consumption and indoor climate comfort. Traditional air conditioning and dehumidification systems are often inefficient, energy-intensive, and difficult to automate for real-time adaptation to fluctuating environments. The water curtain wall (WCW) leverages [...] Read more.
Modern buildings in subtropical and humid regions face growing challenges regarding energy consumption and indoor climate comfort. Traditional air conditioning and dehumidification systems are often inefficient, energy-intensive, and difficult to automate for real-time adaptation to fluctuating environments. The water curtain wall (WCW) leverages passive evaporative cooling and potential condensation dehumidification to deliver high energy efficiency and robust indoor microclimate regulation. Yet, its large-scale adoption depends on reliable automation, multi-point environmental sensing, and modular engineering that ensure stability, adaptability, and easy maintenance. The results of this study demonstrate a next-generation WCW system integrating multi-sensor feedback and dynamic control and a full cycle of engineering verification, operational analysis, and optimization for real-world deployment. Full article
(This article belongs to the Proceedings of 8th International Conference on Knowledge Innovation and Invention)
Show Figures

Figure 1

27 pages, 2708 KB  
Article
High-Productivity Hybrid Adsorption Desalination Using a Sodium Polyacrylate/CaCl2 Composite with Dual Ejectors and Humidification–Dehumidification Under Saudi Arabian Climate Conditions
by Ridha Ben Mansour, Ahmed S. Alsaman, Ehab S. Ali, Ahmed E. Abu El-Maaty and Rached Ben-Mansour
Polymers 2026, 18(4), 450; https://doi.org/10.3390/polym18040450 - 10 Feb 2026
Cited by 2 | Viewed by 547
Abstract
This study investigates the utilization of a sodium polyacrylate (SP)/CaCl2 composite as an adsorbent in a low-grade-heat desalination configuration designed for Saudi Arabian conditions. A dynamic system model was developed and validated for an adsorption desalination (AD) cycle integrated with a dual-ejector [...] Read more.
This study investigates the utilization of a sodium polyacrylate (SP)/CaCl2 composite as an adsorbent in a low-grade-heat desalination configuration designed for Saudi Arabian conditions. A dynamic system model was developed and validated for an adsorption desalination (AD) cycle integrated with a dual-ejector and a humidification–dehumidification (HDH) unit. Two operating modes were evaluated, including a production-oriented configuration that applies internal evaporator–condenser heat recovery (HR) when no cooling effect is required. Without HR, the AD–EJ–HDH system achieves 41–56 m3/ton·day SDWP and 2.6–2.9 GOR, with a freshwater cost of 1.8–2.4 $/m3 under solar driving and 0.70–0.90 $/m3 under waste heat. With HR, performance increases to SDWP 95–155 m3/ton·day and GOR 2.9–3.1, while costs decrease to about 1.34 $/m3 (solar) and 0.38 $/m3 (waste heat) in June. The SP/CaCl2 composite yields about 85% higher freshwater production than silica gel in the same system, highlighting the material’s potential for high-output hybrid adsorption desalination in hot-climate regions. Full article
(This article belongs to the Special Issue Application of Polymer Materials in Water Purification)
Show Figures

Figure 1

19 pages, 5005 KB  
Article
Analysis of Heat and Moisture Transfer Characteristics on the Air Side of a Refrigerated Air Dryer Evaporator
by Yuzheng Wu, Zinan Ye, Dapeng Ye and Bing Fang
Appl. Sci. 2026, 16(2), 991; https://doi.org/10.3390/app16020991 - 19 Jan 2026
Viewed by 317
Abstract
The demand for efficient dehumidification in evaporators has become one of the key technical challenges restricting the high-quality development of the refrigerated air dryer industry. To investigate the effects of fin structure on the air-side heat transfer and dehumidification performance of finned-tube evaporators [...] Read more.
The demand for efficient dehumidification in evaporators has become one of the key technical challenges restricting the high-quality development of the refrigerated air dryer industry. To investigate the effects of fin structure on the air-side heat transfer and dehumidification performance of finned-tube evaporators applied in refrigerated air dryers under the operating conditions of 50 °C, RH = 85%, numerical heat and mass transfer models for the air side of evaporators with plain fins and wavy fins were established based on the Ansys Fluent software 2022R1. The study found that wavy fins possess superior heat transfer and moisture removal capabilities. Key performance indicators, including the air-side heat transfer rate (Q), moisture removal amount (Δm), friction factor (f), and the nusselt number (Nu), were all higher for wavy fins compared to plain fins. Building upon this, three types of vortex generators (VGs) were introduced to further optimize the performance of the wavy fins, aiming to balance heat transfer enhancement and flow resistance control. At an attack angle of 30°, the comprehensive performance factor (JF) showed the highest improvement, reaching 43% with the Delta Winglet vortex generators. The 15° configuration also showed improvement, while 45° led to the worst performance due to increased flow resistance. The results indicate that for typical high-temperature and high-humidity environments, the wavy fin is recommended as the preferred choice due to its superior overall performance and simple structure. For applications requiring higher dehumidification capacity, wavy fins equipped with vortex generators can be selected to achieve the most efficient dehumidification. This study provides valuable insights for the design and application of finned-tube evaporators in dehumidification systems under high-temperature, high-humidity conditions for refrigerated air dryers. Full article
Show Figures

Figure 1

24 pages, 5284 KB  
Article
Performance Prediction of Condensation Dehumidification System Utilizing Natural Cold Resources in Cold Climate Regions Using Physical-Based Model and Stacking Ensemble Learning Models
by Ping Zheng, Jicheng Zhang, Qiuju Xie, Chaofan Ma and Xuan Li
Agriculture 2026, 16(2), 185; https://doi.org/10.3390/agriculture16020185 - 11 Jan 2026
Viewed by 385
Abstract
Maintaining optimal humidity in livestock buildings during winter is a major challenge in cold climate regions due to the conflict between moisture-removing ventilation and the need for heat preservation. To address this issue, a novel condensation dehumidification system is proposed that utilizes the [...] Read more.
Maintaining optimal humidity in livestock buildings during winter is a major challenge in cold climate regions due to the conflict between moisture-removing ventilation and the need for heat preservation. To address this issue, a novel condensation dehumidification system is proposed that utilizes the natural low temperature of cold winters. An integrated energy consumption model, coupling moisture and thermal balances, was developed to evaluate room temperature drop, dehumidification rate (DR), and the internal circulation coefficient of performance (IC-COP). The model was calibrated and validated with experimental data comprising over 150 operational cycles under varied operation conditions, including initial temperature differences (ranging from −20 to −5 °C), air flow rates (0.6–1.5 m/s), refrigerant flow rates (3–7 L/min), and high-humidity conditions (>90% RH). Correlation analysis showed that higher indoor humidity improved both DR and IC-COP. Four machine learning models—Extreme Gradient Boosting (XGBoost), Light Gradient Boosting Machine (LightGBM), Random Forest (RF), and Multilayer Perceptron (MLP)—were developed and compared with a stacking ensemble learning model. Results demonstrated that the stacking model achieved superior prediction accuracy, with the best R2 reaching 0.908, significantly outperforming individual models. This work provides an energy-saving dehumidification solution for enclosed livestock housing and a case study on the application of machine learning for energy performance prediction and optimization in agricultural environmental control. Full article
Show Figures

Figure 1

25 pages, 3113 KB  
Article
Data-Driven Modeling for a Liquid Desiccant Dehumidification Air Conditioning System Based on BKA-BiTCN-BiLSTM-SA
by Xianhua Ou, Xinkai Wang, Zheyu Wang and Xiongxiong He
Appl. Sci. 2026, 16(1), 304; https://doi.org/10.3390/app16010304 - 28 Dec 2025
Viewed by 347
Abstract
The model of a liquid desiccant dehumidification air conditioning (LDAC) system is one of the key foundations for achieving efficient cooling, dehumidification and regeneration, and saving energy consumption. The data-driven modeling method does not need to understand the complex heat and mass transfer [...] Read more.
The model of a liquid desiccant dehumidification air conditioning (LDAC) system is one of the key foundations for achieving efficient cooling, dehumidification and regeneration, and saving energy consumption. The data-driven modeling method does not need to understand the complex heat and mass transfer mechanism and equipment physical information, thus the modeling complexity is greatly reduced. This paper proposes a temperature and humidity prediction model integrating the Black Kite Algorithm (BKA), Bidirectional Temporal Convolutional Network (BiTCN), Bidirectional Long Short-Term Memory (BiLSTM), and Self-Attention mechanism (SA). The model extracts local spatiotemporal features from sequence data through BiTCN, enhances the understanding of contextual dependencies in temporal data using BiLSTM, and employs the SA to assign dynamic weights to different time steps. Furthermore, BKA is adopted to optimize the hyperparameter combinations of the neural network, thereby improving prediction accuracy. To validate the model performance, an experimental platform for an LDAC system was established to collect operational data under multiple working conditions, constructing a comprehensive dataset for simulation analysis. Experimental results demonstrate that compared to conventional time-series prediction models, the proposed model achieves higher accuracy in predicting outlet temperature and humidity across various operating conditions, providing reliable technical support for system real-time control and performance optimization. Full article
Show Figures

Figure 1

19 pages, 4050 KB  
Article
Experimental and Simulation Research on Straight-Through Cyclone Water Separator: Effects of Structural and Operational Parameters on Separation Performance
by Yihan Chen, Xingjuan Zhang, Chao Wang and Han Yang
Processes 2025, 13(11), 3732; https://doi.org/10.3390/pr13113732 - 19 Nov 2025
Cited by 1 | Viewed by 868
Abstract
The aircraft air-cycle system (ACS) provides cabin cooling, dehumidification, and pressurization. As a key component, the water separator removes free moisture from the air, preventing turbine icing/blockage under high humidity and avoiding humidity-induced electronics failures, thus ensuring reliable ACS operation. Existing studies focus [...] Read more.
The aircraft air-cycle system (ACS) provides cabin cooling, dehumidification, and pressurization. As a key component, the water separator removes free moisture from the air, preventing turbine icing/blockage under high humidity and avoiding humidity-induced electronics failures, thus ensuring reliable ACS operation. Existing studies focus mainly on oil and chemical applications, with limited work for aircraft ACS. To address this research gap, this study investigates a straight-through cyclone water separator for aircraft ACS applications. We built a test platform to measure separation efficiency and conducted experiments at swirl angles of 20°, 30°, and 40°. A simulation model based on the Reynolds Stress turbulence model and a discrete phase model was established, and its simulation efficiency agreed with experiments within 4.1%. Simulation on water separator under high-pressure and low-pressure conditions were conducted, revealing internal flow fields and droplet dynamics. Results show each swirl angle has a distinct high-efficiency operating range, enabling selection according to system parameters across air mass flow rates; under varying humidification rate, the 40° swirl generator performed best. Simulations further indicate that higher operating pressure markedly improves performance: pressure loss decreased from 4.5 kPa to 0.7 kPa, while separation efficiency increased by 30.7%. Full article
(This article belongs to the Section Process Control and Monitoring)
Show Figures

Figure 1

27 pages, 4372 KB  
Article
Numerical Analysis of the Energy Consumption of Ventilation and Dehumidification Processes in the Ice Rink Arena
by Agnieszka Palmowska and Piotr Ciuman
Appl. Sci. 2025, 15(21), 11771; https://doi.org/10.3390/app152111771 - 4 Nov 2025
Viewed by 1602
Abstract
The reduction in energy use in buildings remains a major challenge. In the European Union, buildings account for approximately 40% of the total energy consumption, with sports facilities alone responsible for around 10% of annual use. These facilities are characterised by specific indoor [...] Read more.
The reduction in energy use in buildings remains a major challenge. In the European Union, buildings account for approximately 40% of the total energy consumption, with sports facilities alone responsible for around 10% of annual use. These facilities are characterised by specific indoor environmental requirements, and ice rink arenas, in particular, represent substantial energy consumers due to the demands of ventilation and dehumidification processes. This paper investigates strategies for maintaining adequate air parameters in an ice rink arena, based on an experimentally verified numerical model of the facility. The research focused on: (1) assessing the energy consumption of different ventilation and air distribution system configurations, and (2) evaluating potential reductions achievable through the implementation of recirculation, heat recovery, and various air handling unit (AHU) configurations, while ensuring appropriate thermal and humidity conditions within the arena. Multi-variant simulations of AHU energy consumption were performed in IDA ICE 4.8 software for both day and night operation over the entire ice rink season. The results showed that the choice and operation of AHU configurations significantly influenced energy consumption as well as the thermal–humidity conditions of the facility, with annual savings of up to 67%. Full article
Show Figures

Figure 1

8 pages, 1403 KB  
Proceeding Paper
Transient Analysis of Solar Driven Hydrogen Generation System Using Industrial Waste Water
by Yasir Ismail Saad, Muzaffar Ali, Javed Akhtar, Muhammad Usman, Muhammad Taha Manzoor, Müslüm Arıcı and Muhammad Aqil Khan
Eng. Proc. 2025, 111(1), 29; https://doi.org/10.3390/engproc2025111029 - 28 Oct 2025
Viewed by 588
Abstract
This study investigates an integrated solar-powered system for wastewater treatment and hydrogen production, combining solar PV, a humidification–dehumidification (HDH) system, solar thermal collectors, and electrolysis. The objective is to evaluate the feasibility of utilizing industrial wastewater for both clean water production and green [...] Read more.
This study investigates an integrated solar-powered system for wastewater treatment and hydrogen production, combining solar PV, a humidification–dehumidification (HDH) system, solar thermal collectors, and electrolysis. The objective is to evaluate the feasibility of utilizing industrial wastewater for both clean water production and green hydrogen generation. A transient analysis is conducted using TRNSYS and EES software, modeling a system designed to process 4000 kg of wastewater daily. The results indicate that the HDH system produces 300 kg of clean water per hour, while the electrolyzer generates approximately 66.5 kg of hydrogen per hour. The solar PV system operates under the weather conditions of Kohat, Pakistan. This integrated approach demonstrates significant potential for sustainable wastewater treatment and renewable energy production, offering a promising solution for industrial applications. Full article
Show Figures

Figure 1

Back to TopTop