Sign in to use this feature.

Years

Between: -

Subjects

remove_circle_outline
remove_circle_outline
remove_circle_outline
remove_circle_outline
remove_circle_outline
remove_circle_outline
remove_circle_outline
remove_circle_outline
remove_circle_outline

Journals

Article Types

Countries / Regions

Search Results (148)

Search Parameters:
Keywords = dehumidification performance

Order results
Result details
Results per page
Select all
Export citation of selected articles as:
14 pages, 2127 KB  
Article
Effect of Operating Temperature and Humidity in Heat Pump Drying on Energy Consumption and Drying Characteristics of Apple Slices
by Xianlong Yu, Bin Chu, Zhenchao Jia, Suchao Ma, Wenxuan Wu, Ziliang Liu and Ligang Sun
Agriculture 2026, 16(6), 633; https://doi.org/10.3390/agriculture16060633 - 10 Mar 2026
Viewed by 113
Abstract
In the current work, a novel heat pump drying system with precise control of temperature and humidity of drying medium was developed and the impacts of drying temperature and humidity on the drying characteristics of apple slices and energy consumption of drying system [...] Read more.
In the current work, a novel heat pump drying system with precise control of temperature and humidity of drying medium was developed and the impacts of drying temperature and humidity on the drying characteristics of apple slices and energy consumption of drying system were investigated. Experimental results indicated that the temperature and relative humidity (RH) of drying medium have a significant impact on drying efficiency and operating performance. During the first hour of the drying process, the heat pump drying of apple slices exhibited the highest drying rate throughout the entire process at a temperature of 40~50 °C and a relative humidity of 30~60%. And then the apple slices drying was in a falling-rate drying stage. When the relative humidity of the drying medium exceeded 50%, the final moisture content of the material increased significantly and exceeded 20% (dry basis, d.b.). Increased air medium temperature and humidity enhance the dehumidification rate of the evaporator. When the drying temperature was maintained at 40–60 °C, the condensation rate at 60% RH was 3.5–10 times that at 30% RH. The increased dehumidification rate significantly promoted the energy efficiency. The specific moisture extraction rate (SMER) was 2.53 kg/(kW·h) at 60 °C and 60% RH, which is 3.4 times that at 30% RH. It was appropriate to adopt high-temperature and high-humidity conditions in the early drying stage to improve drying energy efficiency. Meanwhile, the relative humidity should be reduced to promote moisture removal from the material in the late drying stage. The obtained results provided theoretical methods for the energy-saving control of heat pump drying for fruits. Full article
(This article belongs to the Special Issue Novel Thermal Processing Technology of Fruits and Vegetables)
Show Figures

Figure 1

16 pages, 468 KB  
Article
Performance Evaluation of a Ship Waste Heat-Driven Freshwater Production System Based on Rotary Dehumidification and Seawater Condensation
by Guanghai Yang, Defeng Ding, Ziwen Zhu, Guojie Zheng and Shilong Jiao
Processes 2026, 14(4), 666; https://doi.org/10.3390/pr14040666 - 14 Feb 2026
Viewed by 379
Abstract
This study evaluates integrated shipboard freshwater production and fresh air pretreatment on a 20,000 TEU-class container vessel, addressing its freshwater demand and the inefficient recovery of exhaust waste heat from the main engine. The system integrates rotary dehumidification, seawater condensation, and water purification. [...] Read more.
This study evaluates integrated shipboard freshwater production and fresh air pretreatment on a 20,000 TEU-class container vessel, addressing its freshwater demand and the inefficient recovery of exhaust waste heat from the main engine. The system integrates rotary dehumidification, seawater condensation, and water purification. A theoretical model was developed to evaluate the system performance, incorporating design, thermodynamic modeling, parameter optimization, and adaptability analyses under various operating conditions. The results indicate that under optimal conditions (seawater at 25 °C, outlet temperature difference of 2 °C), the single-stage system is predicted to produce approximately 1.45 m3 of freshwater per day, meeting 20.7% of the vessel’s freshwater requirement. The auxiliary electrical energy consumption, estimated based on standard engineering correlations, is 1–1.5 kWh/m3, representing a 70–80% reduction compared to conventional reverse osmosis systems (3–6 kWh/m3). The sensitivity coefficient for seawater temperature was −0.334, whereas that for output temperature was −0.167. A two-stage series configuration has the potential to further improve the demand satisfaction rate to 41–61%. Overall, the proposed system enables the cascade utilization of ship waste heat and functional integration of air pretreatment and freshwater production, offering a promising auxiliary engineering solution for energy conservation, emission reduction, and onboard freshwater self-sufficiency in marine applications. Full article
Show Figures

Figure 1

27 pages, 2708 KB  
Article
High-Productivity Hybrid Adsorption Desalination Using a Sodium Polyacrylate/CaCl2 Composite with Dual Ejectors and Humidification–Dehumidification Under Saudi Arabian Climate Conditions
by Ridha Ben Mansour, Ahmed S. Alsaman, Ehab S. Ali, Ahmed E. Abu El-Maaty and Rached Ben-Mansour
Polymers 2026, 18(4), 450; https://doi.org/10.3390/polym18040450 - 10 Feb 2026
Viewed by 351
Abstract
This study investigates the utilization of a sodium polyacrylate (SP)/CaCl2 composite as an adsorbent in a low-grade-heat desalination configuration designed for Saudi Arabian conditions. A dynamic system model was developed and validated for an adsorption desalination (AD) cycle integrated with a dual-ejector [...] Read more.
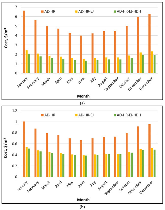
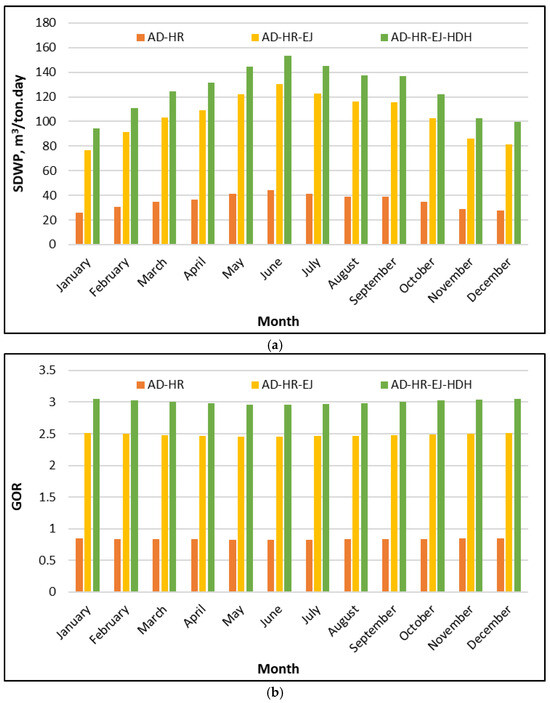
This study investigates the utilization of a sodium polyacrylate (SP)/CaCl2 composite as an adsorbent in a low-grade-heat desalination configuration designed for Saudi Arabian conditions. A dynamic system model was developed and validated for an adsorption desalination (AD) cycle integrated with a dual-ejector and a humidification–dehumidification (HDH) unit. Two operating modes were evaluated, including a production-oriented configuration that applies internal evaporator–condenser heat recovery (HR) when no cooling effect is required. Without HR, the AD–EJ–HDH system achieves 41–56 m3/ton·day SDWP and 2.6–2.9 GOR, with a freshwater cost of 1.8–2.4 $/m3 under solar driving and 0.70–0.90 $/m3 under waste heat. With HR, performance increases to SDWP 95–155 m3/ton·day and GOR 2.9–3.1, while costs decrease to about 1.34 $/m3 (solar) and 0.38 $/m3 (waste heat) in June. The SP/CaCl2 composite yields about 85% higher freshwater production than silica gel in the same system, highlighting the material’s potential for high-output hybrid adsorption desalination in hot-climate regions. Full article
(This article belongs to the Special Issue Application of Polymer Materials in Water Purification)
Show Figures

Figure 1

16 pages, 2790 KB  
Article
Research on Heat and Moisture Transfer Performance and Annual Energy Consumption of Full-Size Rammed Earth Buildings
by Bin Jiang, Kejie Huang, Maqi Jiang and Li Wan
Buildings 2026, 16(3), 582; https://doi.org/10.3390/buildings16030582 - 30 Jan 2026
Viewed by 265
Abstract
As a natural building material, rammed earth has gained significant attention due to its environmental friendliness, low cost, and sustainability. This study conducted a dynamic simulation of heat and moisture transfer in rammed earth and brick buildings to compare their energy performance under [...] Read more.
As a natural building material, rammed earth has gained significant attention due to its environmental friendliness, low cost, and sustainability. This study conducted a dynamic simulation of heat and moisture transfer in rammed earth and brick buildings to compare their energy performance under identical conditions. The results indicated that the annual minimum indoor temperature in rammed earth buildings was 0.7 °C higher, while the maximum was 0.4 °C lower than that in brick buildings. The minimum and maximum indoor relative humidities were 11.4% higher and 9.6% lower, respectively, in rammed earth buildings, with an annual average of 69.2%, which is slightly lower than that of brick buildings. The annual heating and cooling energy consumption in brick buildings was 1.37 and 1.2 times greater, respectively, than in rammed earth buildings, and their monthly dehumidification demands were consistently higher. The effect of wall thickness on energy consumption revealed that increasing the thickness from 200 to 250 mm reduced energy use by 9.3%, whereas an increase from 450 to 500 mm yielded a 4.2% reduction. When the wall thickness exceeded 400 mm, the energy savings were marginal (<5%), whereas the construction costs and space occupancy increased. Therefore, a wall thickness of 350–400 mm is recommended to optimize the trade-off between energy efficiency, thermal-moisture performance, and cost-effectiveness. Full article
(This article belongs to the Section Building Energy, Physics, Environment, and Systems)
Show Figures

Figure 1

26 pages, 5765 KB  
Systematic Review
Electromagnetic Wave Dehumidification Technology: A Non-Destructive Approach to Moisture Removal in Historic Buildings
by Shuai Cheng, Chenjun Guo, Shan Liu and Yili Zhao
Buildings 2026, 16(3), 572; https://doi.org/10.3390/buildings16030572 - 29 Jan 2026
Viewed by 287
Abstract
Moisture damage severely compromises the material properties, structural integrity, and decorative layer integrity of historic buildings, presenting a critical technical challenge in architectural heritage conservation. Electromagnetic wave dehumidification technology has garnered attention for its minimal intervention, low cost, and high efficiency, yet its [...] Read more.
Moisture damage severely compromises the material properties, structural integrity, and decorative layer integrity of historic buildings, presenting a critical technical challenge in architectural heritage conservation. Electromagnetic wave dehumidification technology has garnered attention for its minimal intervention, low cost, and high efficiency, yet its practical engineering applications remain limited. This paper categorizes electromagnetic wave dehumidification devices into two main types based on their active moisture removal capability: “water-blocking type” and “dewatering type”. Research indicates that electromagnetic wave dehumidification devices utilizing electroosmosis principles require precise control of electric field strength (≥40 V/m) and Joule effect, making them more suitable for historic buildings where the material surface carries a net negative charge and low salt content. Among moisture-blocking devices, those neutralizing water molecules perform best during humidity maintenance phases. Devices that primarily alter the structure of water molecules struggle to meet heritage dehumidification requirements. Experimental analysis indicates that external factors like moisture sources and seasonal environments significantly influence technical evaluations. This paper recommends that future research should optimize experimental design, strengthen comparative studies, and explore composite mechanisms to enhance the systematic reliability of electromagnetic wave dehumidification technology in architectural heritage conservation. This research helps to clarify some of the conceptual uncertainties associated with the use of electromagnetic wave dehumidification technology. Furthermore, it proposes a principle-based experimental framework that can be used to guide future experimental designs and the application of this technology in the field of cultural heritage preservation. Full article
(This article belongs to the Special Issue Urban Renewal: Protection and Restoration of Existing Buildings)
Show Figures

Figure 1

19 pages, 5005 KB  
Article
Analysis of Heat and Moisture Transfer Characteristics on the Air Side of a Refrigerated Air Dryer Evaporator
by Yuzheng Wu, Zinan Ye, Dapeng Ye and Bing Fang
Appl. Sci. 2026, 16(2), 991; https://doi.org/10.3390/app16020991 - 19 Jan 2026
Viewed by 221
Abstract
The demand for efficient dehumidification in evaporators has become one of the key technical challenges restricting the high-quality development of the refrigerated air dryer industry. To investigate the effects of fin structure on the air-side heat transfer and dehumidification performance of finned-tube evaporators [...] Read more.
The demand for efficient dehumidification in evaporators has become one of the key technical challenges restricting the high-quality development of the refrigerated air dryer industry. To investigate the effects of fin structure on the air-side heat transfer and dehumidification performance of finned-tube evaporators applied in refrigerated air dryers under the operating conditions of 50 °C, RH = 85%, numerical heat and mass transfer models for the air side of evaporators with plain fins and wavy fins were established based on the Ansys Fluent software 2022R1. The study found that wavy fins possess superior heat transfer and moisture removal capabilities. Key performance indicators, including the air-side heat transfer rate (Q), moisture removal amount (Δm), friction factor (f), and the nusselt number (Nu), were all higher for wavy fins compared to plain fins. Building upon this, three types of vortex generators (VGs) were introduced to further optimize the performance of the wavy fins, aiming to balance heat transfer enhancement and flow resistance control. At an attack angle of 30°, the comprehensive performance factor (JF) showed the highest improvement, reaching 43% with the Delta Winglet vortex generators. The 15° configuration also showed improvement, while 45° led to the worst performance due to increased flow resistance. The results indicate that for typical high-temperature and high-humidity environments, the wavy fin is recommended as the preferred choice due to its superior overall performance and simple structure. For applications requiring higher dehumidification capacity, wavy fins equipped with vortex generators can be selected to achieve the most efficient dehumidification. This study provides valuable insights for the design and application of finned-tube evaporators in dehumidification systems under high-temperature, high-humidity conditions for refrigerated air dryers. Full article
Show Figures

Figure 1

24 pages, 5284 KB  
Article
Performance Prediction of Condensation Dehumidification System Utilizing Natural Cold Resources in Cold Climate Regions Using Physical-Based Model and Stacking Ensemble Learning Models
by Ping Zheng, Jicheng Zhang, Qiuju Xie, Chaofan Ma and Xuan Li
Agriculture 2026, 16(2), 185; https://doi.org/10.3390/agriculture16020185 - 11 Jan 2026
Viewed by 300
Abstract
Maintaining optimal humidity in livestock buildings during winter is a major challenge in cold climate regions due to the conflict between moisture-removing ventilation and the need for heat preservation. To address this issue, a novel condensation dehumidification system is proposed that utilizes the [...] Read more.
Maintaining optimal humidity in livestock buildings during winter is a major challenge in cold climate regions due to the conflict between moisture-removing ventilation and the need for heat preservation. To address this issue, a novel condensation dehumidification system is proposed that utilizes the natural low temperature of cold winters. An integrated energy consumption model, coupling moisture and thermal balances, was developed to evaluate room temperature drop, dehumidification rate (DR), and the internal circulation coefficient of performance (IC-COP). The model was calibrated and validated with experimental data comprising over 150 operational cycles under varied operation conditions, including initial temperature differences (ranging from −20 to −5 °C), air flow rates (0.6–1.5 m/s), refrigerant flow rates (3–7 L/min), and high-humidity conditions (>90% RH). Correlation analysis showed that higher indoor humidity improved both DR and IC-COP. Four machine learning models—Extreme Gradient Boosting (XGBoost), Light Gradient Boosting Machine (LightGBM), Random Forest (RF), and Multilayer Perceptron (MLP)—were developed and compared with a stacking ensemble learning model. Results demonstrated that the stacking model achieved superior prediction accuracy, with the best R2 reaching 0.908, significantly outperforming individual models. This work provides an energy-saving dehumidification solution for enclosed livestock housing and a case study on the application of machine learning for energy performance prediction and optimization in agricultural environmental control. Full article
Show Figures

Figure 1

19 pages, 2498 KB  
Article
Nano-Enhanced Binary Eutectic PCM with SiC for Solar HDH Desalination Systems
by Rahul Agrawal, Kashif Mushtaq, Daniel López Pedrajas, Iqra Irfan and Breogán Pato-Doldán
Nanoenergy Adv. 2026, 6(1), 4; https://doi.org/10.3390/nanoenergyadv6010004 - 9 Jan 2026
Viewed by 444
Abstract
Freshwater scarcity is increasing day by day and has already reached a threatening level, especially in remotely populated areas. One of the technological solutions to this rising concern could be the use of the solar-based humidification–dehumidification (SHDH) method for water desalination. This technology [...] Read more.
Freshwater scarcity is increasing day by day and has already reached a threatening level, especially in remotely populated areas. One of the technological solutions to this rising concern could be the use of the solar-based humidification–dehumidification (SHDH) method for water desalination. This technology is a promising solution but has challenges such as solar intermittency. This challenge can be solved by integrating SHDH with the phase change material as a solar energy storage medium. Therefore, a novel nano-enhanced binary eutectic phase change material (NEPCM) was developed in this project. PCM consisting of 70 wt.% stearic acid (ST) and 30 wt.% suberic acid (SBU) with a varying concentration of silicon carbide (SiC) nanoparticles (NPs) (0.1 to 3 wt.%) was synthesized specifically considering the need of SHDH application. The systematic thermophysical characterization was conducted to investigate their energy storage capacity, thermal durability, and performance consistency over repeated cycles. DSC analysis revealed that the addition of SiC NPs preserved the thermal stability of the NEPCM, while the phase transition temperature remained nearly unchanged with a variation of less than 0.74%. The value of latent heat is inversely related to the nanoparticle concentration, i.e., from 142.75 kJ/kg for the base PCM to 131.24 kJ/kg at 3 wt.% loading. This corresponds to reductions in latent heat ranging between 0.98% and 8.06%. The FTIR measurement confirms that no chemical reactions or no new functional groups were formed. All original functional groups of ST and SBU remained intact, showing that incorporating the SiC NP to the PCM lead to physical interactions (e.g., hydrogen bonding or surface adsorption). The TGA analysis showed that the SiC NPs in the NEPCM act as supporting material, and its nano-doping enhanced the final degradation temperature and thermal stability. There was negligible change in thermal conductivity for nanoparticle loadings of 0.1% and 0.4%; however, it increased progressively by 5.2%, 10.8%, 23.12%, and 25.8% at nanoparticle loadings of 0.7%, 1%, 2%, and 3%, respectively, at 25 °C. Thermal reliability was analyzed through a DSC thermal cycling test which confirmed the suitability of the material for the desired applications. Full article
(This article belongs to the Special Issue Innovative Materials for Renewable and Sustainable Energy Systems)
Show Figures

Figure 1

25 pages, 3113 KB  
Article
Data-Driven Modeling for a Liquid Desiccant Dehumidification Air Conditioning System Based on BKA-BiTCN-BiLSTM-SA
by Xianhua Ou, Xinkai Wang, Zheyu Wang and Xiongxiong He
Appl. Sci. 2026, 16(1), 304; https://doi.org/10.3390/app16010304 - 28 Dec 2025
Viewed by 272
Abstract
The model of a liquid desiccant dehumidification air conditioning (LDAC) system is one of the key foundations for achieving efficient cooling, dehumidification and regeneration, and saving energy consumption. The data-driven modeling method does not need to understand the complex heat and mass transfer [...] Read more.
The model of a liquid desiccant dehumidification air conditioning (LDAC) system is one of the key foundations for achieving efficient cooling, dehumidification and regeneration, and saving energy consumption. The data-driven modeling method does not need to understand the complex heat and mass transfer mechanism and equipment physical information, thus the modeling complexity is greatly reduced. This paper proposes a temperature and humidity prediction model integrating the Black Kite Algorithm (BKA), Bidirectional Temporal Convolutional Network (BiTCN), Bidirectional Long Short-Term Memory (BiLSTM), and Self-Attention mechanism (SA). The model extracts local spatiotemporal features from sequence data through BiTCN, enhances the understanding of contextual dependencies in temporal data using BiLSTM, and employs the SA to assign dynamic weights to different time steps. Furthermore, BKA is adopted to optimize the hyperparameter combinations of the neural network, thereby improving prediction accuracy. To validate the model performance, an experimental platform for an LDAC system was established to collect operational data under multiple working conditions, constructing a comprehensive dataset for simulation analysis. Experimental results demonstrate that compared to conventional time-series prediction models, the proposed model achieves higher accuracy in predicting outlet temperature and humidity across various operating conditions, providing reliable technical support for system real-time control and performance optimization. Full article
Show Figures

Figure 1

26 pages, 4766 KB  
Article
One-Pot Synthesis of Carbon-Based Composite Foams with Tailorable Structure
by Florina S. Rus, Cristina Mosoarca, Nicolae Birsan, Mihai Petru Marghitas, Raul Bucur, Dan Rosu, Emanoil Linul and Radu Banica
Buildings 2026, 16(1), 56; https://doi.org/10.3390/buildings16010056 - 23 Dec 2025
Viewed by 368
Abstract
Dehumidification plays a vital role across industrial, commercial, and residential settings, where controlling moisture is essential for maintaining air quality, protecting materials, and ensuring comfort. Calcium chloride (CaCl2) is a widely used, low-cost desiccant, but it suffers from a critical drawback: [...] Read more.
Dehumidification plays a vital role across industrial, commercial, and residential settings, where controlling moisture is essential for maintaining air quality, protecting materials, and ensuring comfort. Calcium chloride (CaCl2) is a widely used, low-cost desiccant, but it suffers from a critical drawback: under humid conditions, particles tend to agglomerate, which reduces their ability to absorb water. In addition, when the salt dissolves in hydration water, its contact surface with moist air decreases, and corrosive liquid leakage can occur. Embedding CaCl2 into hydrophilic porous matrices offers a solution by dispersing particles more effectively, preventing agglomeration, increasing the contact area, and retaining liquid within the pore network to suppress leakage. In this study, we introduce a novel approach for fabricating carbon-based foams impregnated with CaCl2, produced through the thermal decomposition of glucose under self-induced pressure. These foams exhibit a composite architecture that integrates CaCl2 and calcium carbonate, enabling controlled porosity through selective dissolution. Importantly, the in situ transformation of CaCl2 into calcite refines the internal structure, improving both stability and acids absorption performance. FTIR confirmed the strong hydrophilicity of the foam walls, which enhances water vapor uptake while preventing leakage of saturated salt solutions. The carbon matrix further suppresses salt particle agglomeration during moisture absorption, resulting in high efficiency. These multifunctional foams not only capture water vapor and volatile acids but also show potential as phase change materials. Mechanical testing revealed tunable behavior among the fabricated foams, ranging from high-stiffness structures with superior energy absorption (e.g., C2) to more compliant foams with extended strain capacity (e.g., A2), illustrating their versatility for practical applications. Full article
Show Figures

Figure 1

35 pages, 3197 KB  
Systematic Review
Indoor Air Quality Assurance Influencing Factors Overlooked in Tropical Climates: A Systematic Review for Design-Informed Decisions in Residential Buildings
by María Cedeño-Quijada, Miguel Chen Austin, Thasnee Solano and Dafni Mora
Buildings 2025, 15(24), 4512; https://doi.org/10.3390/buildings15244512 - 13 Dec 2025
Cited by 1 | Viewed by 628
Abstract
This systematic review assesses indoor air quality (IAQ) in tropical residences (Köppen Af/Am/Aw), explicitly linking IAQ to ventilation from in situ monitoring and, when relevant, occupant surveys (surveys synthesized qualitatively). This focus is warranted by the scarcity of tropical, housing-specific evidence. Searches were [...] Read more.
This systematic review assesses indoor air quality (IAQ) in tropical residences (Köppen Af/Am/Aw), explicitly linking IAQ to ventilation from in situ monitoring and, when relevant, occupant surveys (surveys synthesized qualitatively). This focus is warranted by the scarcity of tropical, housing-specific evidence. Searches were performed exclusively in Google Scholar (25 August 2024–5 August 2025; English/Spanish) under PRISMA, with documented queries/filters; eligible studies reported residential settings, tropical climate, and IAQ–ventilation linkage. Results show a regulatory mosaic with few binding residential limits and heterogeneous protocols that hinder comparison. Robust patterns include cooking-related particle peaks, penetration of traffic dust, humidity-driven VOC/formaldehyde emissions, and mold growth under deficient hygrothermal control. CO2 is a useful operational indicator of ventilation yet insufficient for risk assessment without PM and VOC monitoring. Evidence supports source control, cross-ventilation and/or on-demand extraction/outdoor-air supply, humidity management, and filtration/purification to avoid particle ingress during ventilation. Reporting of sensor performance (calibration, drift, RH/T effects) is inconsistent, and targeted evaluations of TVOC/formaldehyde and window screens (mesh) are scarce. We conclude that tropical residential IAQ management requires multi-parameter, continuous monitoring, standardized reporting, and trials integrating ventilation, dehumidification, and filtration under real occupancy, alongside adaptive regulation and passive tropical design augmented by light mechanical support and informed occupant behavior. Full article
Show Figures

Figure 1

27 pages, 4075 KB  
Article
Greenhouse Climate Control at the Food–Water–Energy Nexus: An Analytic Hierarchy Process–Model Predictive Control (AHP–MPC) Approach
by Hamza Benzzine, Hicham Labrim, Ibtissam El Aouni, Abderrahim Bajit, Aouatif Saad, Driss Zejli and Rachid El Bouayadi
Energies 2025, 18(23), 6219; https://doi.org/10.3390/en18236219 - 27 Nov 2025
Cited by 1 | Viewed by 881
Abstract
The authors frame greenhouse operation as a Controlled Environment Agriculture (CEA) challenge involving multiple interdependent targets: air temperature and humidity, CO2 enrichment, photoperiod-constrained lighting, and irrigation under dynamic and limited energy availability. We propose a knowledge-driven, multi-objective Model Predictive Controller whose cost [...] Read more.
The authors frame greenhouse operation as a Controlled Environment Agriculture (CEA) challenge involving multiple interdependent targets: air temperature and humidity, CO2 enrichment, photoperiod-constrained lighting, and irrigation under dynamic and limited energy availability. We propose a knowledge-driven, multi-objective Model Predictive Controller whose cost function integrates expert priorities elicited via an online Analytic Hierarchy Process (AHP) survey; these AHP-derived weights parameterize the controller’s objectives and are solved over two 72 h seasonal episodes, so the MPC can anticipate renewable availability and coordinate HVAC, (de)humidification, CO2 dosing, LED lighting, and irrigation alongside dispatch from photovoltaic and wind sources, battery storage, and the grid. By embedding the physical interdependence of climate variables directly into the decision layer, the controller schedules energy-intensive actions around renewable peaks and avoids counterproductive actuator conflicts. Seasonal case studies (summer/high solar and winter/low solar) demonstrate robust performance: temperature tracking errors of SMAPE 2.25%/3.05% and CO2 SMAPE 3.72–3.92%; humidity control with SMAPE 7.04–8.56%; lighting and irrigation following setpoints with low NRMSE (0.08–0.14). Summer energy was 59% renewable; winter was only 13%, increasing grid reliance to 77.5% (peaks: 4.57 kW/6.92 kW for 197.7/181.5 kWh). Under water or energy scarcity, the controller degrades gracefully, protecting high-priority agronomic variables while allowing bounded relaxation on lower-priority targets. This expert-informed, predictive, and resource-aware orchestration offers a scalable route to precision greenhouse control within the food–water–energy nexus. Full article
Show Figures

Figure 1

19 pages, 4050 KB  
Article
Experimental and Simulation Research on Straight-Through Cyclone Water Separator: Effects of Structural and Operational Parameters on Separation Performance
by Yihan Chen, Xingjuan Zhang, Chao Wang and Han Yang
Processes 2025, 13(11), 3732; https://doi.org/10.3390/pr13113732 - 19 Nov 2025
Cited by 1 | Viewed by 682
Abstract
The aircraft air-cycle system (ACS) provides cabin cooling, dehumidification, and pressurization. As a key component, the water separator removes free moisture from the air, preventing turbine icing/blockage under high humidity and avoiding humidity-induced electronics failures, thus ensuring reliable ACS operation. Existing studies focus [...] Read more.
The aircraft air-cycle system (ACS) provides cabin cooling, dehumidification, and pressurization. As a key component, the water separator removes free moisture from the air, preventing turbine icing/blockage under high humidity and avoiding humidity-induced electronics failures, thus ensuring reliable ACS operation. Existing studies focus mainly on oil and chemical applications, with limited work for aircraft ACS. To address this research gap, this study investigates a straight-through cyclone water separator for aircraft ACS applications. We built a test platform to measure separation efficiency and conducted experiments at swirl angles of 20°, 30°, and 40°. A simulation model based on the Reynolds Stress turbulence model and a discrete phase model was established, and its simulation efficiency agreed with experiments within 4.1%. Simulation on water separator under high-pressure and low-pressure conditions were conducted, revealing internal flow fields and droplet dynamics. Results show each swirl angle has a distinct high-efficiency operating range, enabling selection according to system parameters across air mass flow rates; under varying humidification rate, the 40° swirl generator performed best. Simulations further indicate that higher operating pressure markedly improves performance: pressure loss decreased from 4.5 kPa to 0.7 kPa, while separation efficiency increased by 30.7%. Full article
(This article belongs to the Section Process Control and Monitoring)
Show Figures

Figure 1

12 pages, 1059 KB  
Article
Hybrid Technology of Beet Pulp Dewatering with Process Intensification in a Convection Dryer as an Element of Sustainable Processing of Agro-Industrial Waste into Bioenergy
by Igor Palamarchuk, Olesia Priss, Oksana Zozulyak, Liudmyla Kiurcheva, Oksana Vasylenko, Konstiantyn Dyadyura, Zdzislawa Romanowska-Duda, Andrzej Obraniak, Szymon Szufa and Taras Hutsol
Sustainability 2025, 17(22), 10327; https://doi.org/10.3390/su172210327 - 18 Nov 2025
Viewed by 553
Abstract
In the studied process of moisture removal there is an increase in the driving force, due to centrifugation during rotor rotation, the emergence of electroosmotic pressure when creating conditions for one-sided diffusion, the filtering of the technological mass of the load through the [...] Read more.
In the studied process of moisture removal there is an increase in the driving force, due to centrifugation during rotor rotation, the emergence of electroosmotic pressure when creating conditions for one-sided diffusion, the filtering of the technological mass of the load through the rotor perforations, as well as the introduction of low-frequency oscillations of the dryer’s actuators. Therefore, the purpose of this scientific study is to substantiate the operating modes of the vibration convective dryer by evaluating the amplitude–frequency parameters of the beet pulp dehumidification process. According to the results of the studies, the use of the angular velocity of the drive shaft of the vibrator in the range of 80…110 rad/s and the amplitude of oscillations within 2.5…3.0 mm allow the process to be carried out at maximum energy consumption of about 700…750 W. The developed technology involves the sequential implementation of vibration, filtration, and electroosmotic technological action, which allows for a reduction in the duration of beet pulp processing during dehumidification by almost two times compared to the duration when performing filtration moisture removal in a stationary layer of products. Low-frequency oscillations with force field acceleration (of the order of 2…3 g) are used to create a pseudo rapid layer of products before convective processing, and when this parameter is reduced to (0.9…1.0 g), they ensure maximum compaction of the pulp mass, which significantly increases the efficiency of electroosmotic moisture removal. Such a combination of the noted physical and mechanical factors makes it possible to reduce the specific energy consumption for the removal of 1 kg of moisture by 2.7 times compared to traditional convective drying. Full article
Show Figures

Figure 1

27 pages, 4372 KB  
Article
Numerical Analysis of the Energy Consumption of Ventilation and Dehumidification Processes in the Ice Rink Arena
by Agnieszka Palmowska and Piotr Ciuman
Appl. Sci. 2025, 15(21), 11771; https://doi.org/10.3390/app152111771 - 4 Nov 2025
Viewed by 1427
Abstract
The reduction in energy use in buildings remains a major challenge. In the European Union, buildings account for approximately 40% of the total energy consumption, with sports facilities alone responsible for around 10% of annual use. These facilities are characterised by specific indoor [...] Read more.
The reduction in energy use in buildings remains a major challenge. In the European Union, buildings account for approximately 40% of the total energy consumption, with sports facilities alone responsible for around 10% of annual use. These facilities are characterised by specific indoor environmental requirements, and ice rink arenas, in particular, represent substantial energy consumers due to the demands of ventilation and dehumidification processes. This paper investigates strategies for maintaining adequate air parameters in an ice rink arena, based on an experimentally verified numerical model of the facility. The research focused on: (1) assessing the energy consumption of different ventilation and air distribution system configurations, and (2) evaluating potential reductions achievable through the implementation of recirculation, heat recovery, and various air handling unit (AHU) configurations, while ensuring appropriate thermal and humidity conditions within the arena. Multi-variant simulations of AHU energy consumption were performed in IDA ICE 4.8 software for both day and night operation over the entire ice rink season. The results showed that the choice and operation of AHU configurations significantly influenced energy consumption as well as the thermal–humidity conditions of the facility, with annual savings of up to 67%. Full article
Show Figures

Figure 1

Back to TopTop