Sign in to use this feature.

Years

Between: -

Subjects

remove_circle_outline
remove_circle_outline
remove_circle_outline
remove_circle_outline
remove_circle_outline
remove_circle_outline
remove_circle_outline
remove_circle_outline
remove_circle_outline

Journals

Article Types

Countries / Regions

Search Results (170)

Search Parameters:
Keywords = crack precursor

Order results
Result details
Results per page
Select all
Export citation of selected articles as:
19 pages, 2995 KB  
Review
Review of the Relationship Between the Composition, Strength, and Ultimate Tensile Strain of Engineering Geopolymer Composites
by Xiaomei Wan, Weili Guo, Jiahao Cong, Chen Wang and Mingjin Han
Materials 2025, 18(24), 5603; https://doi.org/10.3390/ma18245603 - 13 Dec 2025
Viewed by 184
Abstract
Engineered Geopolymer Composites (EGC) combine the high ductility and multi-crack characteristics of traditional Engineered Cementitious Composites (ECC) with the sound low-carbon advantages of geopolymers, making them a research hotspot in the green high-performance materials. This study focuses on the influence of EGC composition [...] Read more.
Engineered Geopolymer Composites (EGC) combine the high ductility and multi-crack characteristics of traditional Engineered Cementitious Composites (ECC) with the sound low-carbon advantages of geopolymers, making them a research hotspot in the green high-performance materials. This study focuses on the influence of EGC composition (precursor, activator, fiber and fine aggregate) on its tensile properties and the curing regime for different precursor compositions. The reported results data (with ultimate tensile strain exceeding 2%) from recent EGC studies are collected and reviewed. It concludes the systems and mix proportion ranges that are beneficial to tensile properties in current EGC research: blended system of fly ash and slag as the precursor; blended system of sodium hydroxide and water glass (with a modulus ranging from 1.2 to 1.4 and an alkali equivalent from 4% to 8%) as the activator; PE fiber (with a content of 2.0% and an aspect ratio of 500–750) or PVA fiber (with a content of 1.8–2.0% and an aspect ratio of approximately 300) as the reinforced fiber; silica sand (with a particle size of 100–300 μm) as the fine aggregate. Different curing regimes are selected according to different precursor types, and segmented curing and normal-temperature curing are widely adopted currently. This study reveals the relationship between compressive strength and tensile strain. When the EGC matrix strength is in the range of 25–45 MPa, it is easier to achieve excellent ductility. This study provides a theoretical basis and design reference for the material optimization and engineering application of EGC. Full article
(This article belongs to the Section Construction and Building Materials)
Show Figures

Figure 1

24 pages, 6720 KB  
Article
Frequency-Controlled AC-MAO Coatings with Ca, P, and Se on Magnesium: Toward Tailored Surfaces for Biodegradable Implants
by Balbina Makurat-Kasprolewicz and Endzhe Matykina
Materials 2025, 18(24), 5505; https://doi.org/10.3390/ma18245505 - 7 Dec 2025
Viewed by 273
Abstract
The present study investigates the influence of alternating current (AC) frequency on the formation and properties of calcium-, phosphorus-, and selenium-containing micro-arc oxidation (MAO) coatings on high-purity magnesium. Coatings were produced at 50–400 Hz in a phytic-acid-based electrolyte containing Ca, P, and Se [...] Read more.
The present study investigates the influence of alternating current (AC) frequency on the formation and properties of calcium-, phosphorus-, and selenium-containing micro-arc oxidation (MAO) coatings on high-purity magnesium. Coatings were produced at 50–400 Hz in a phytic-acid-based electrolyte containing Ca, P, and Se precursors, and their structure, chemistry, and functional performance were systematically evaluated. Surface morphology, analyzed by SEM and optical profilometry, revealed frequency-dependent features: lower frequencies (50 Hz) promoted thicker, rougher coatings with extensive cracking, whereas intermediate frequencies (100–200 Hz) yielded more uniform, porous surfaces. The CaPSe_100 specimen exhibited the most homogeneous topography (lowest S10z and SD) combined with the highest porosity (28.4%), strong hydrophilicity, and the greatest selenium incorporation (1.30 wt.%). Hydrogen evolution testing in Hanks’ solution demonstrated a drastic improvement in corrosion resistance following MAO treatment: the degradation rate of bare Mg (5.50 mm/year) was reduced to 0.012 mm/year for the CaPSe_100 coating—well below the clinical tolerance threshold for biodegradable implants. This outstanding performance is attributed to the synergistic effect of a uniform oxide barrier, optimized porosity, and homogeneous surface morphology. The results highlight the potential of frequency-controlled AC-MAO processing as a route to tailor magnesium surfaces for multifunctional, corrosion-resistant biomedical applications. Full article
(This article belongs to the Section Biomaterials)
Show Figures

Graphical abstract

17 pages, 3493 KB  
Article
Enhancement of Cutting Performance of Ceramic Tools by Addition of Exogenous Precursor Restorers
by Zhaoqiang Chen, Pengcheng Song, Chuanfa Shen, Xianglong Meng, Hui Chen, Jingjie Zhang, Mingdong Yi, Guangchun Xiao and Chonghai Xu
Materials 2025, 18(24), 5498; https://doi.org/10.3390/ma18245498 - 7 Dec 2025
Viewed by 219
Abstract
To address brittle cracks in ceramic tools, an exogenous precursor ceramic repair agent was developed and applied to Al2O3/TiC/NiMo composite ceramic tools, which were treated by a two-step heat treatment process (heating at 3 °C/min to 300 °C for [...] Read more.
To address brittle cracks in ceramic tools, an exogenous precursor ceramic repair agent was developed and applied to Al2O3/TiC/NiMo composite ceramic tools, which were treated by a two-step heat treatment process (heating at 3 °C/min to 300 °C for 60 min, heating the sample at 5 °C/min to 500, 600, 700, 800, and 900 °C, holding each for 60 min). The crack healing mechanism and temperature dependency of the repair agent were investigated. Cutting performance, including surface roughness, cutting force, and tool life, was optimized using an L9(34) orthogonal design. The results show that at 900 °C, the repair agent decomposed to form SiOC (Silicon Oxycarbide) amorphous phase and TiB2 reinforced phase, filling the cracks and achieving atomic-level diffusion bonding. The flexural strength of the repaired sample recovered to 79.9% of the initial value (456.5 MPa), a 196.4% increase compared to the unrepaired sample. Optimal cutting parameters were found to be a cutting speed of 200 m/min, back draft of 0.1 mm, and feed of 0.1 mm/r. Under these conditions, surface roughness was 0.845 μm, cutting temperature was 258 °C, and stable tangential force was 70 N. The effective cutting distance of the repaired tool was increased from 1300 m to 1700 m. Wear was primarily abrasive and adhesive wear, and the SiOC phase formed by the repair agent helped to fill and repair the flank, thus extending tool life. Full article
(This article belongs to the Section Advanced and Functional Ceramics and Glasses)
Show Figures

Graphical abstract

19 pages, 3429 KB  
Article
Structural and Compositional Evolution of Polymer-Derived SiHfCN and Ti3C2-SiHfCN Ceramics
by Mohammad Hassan Shirani Bidabadi, Manoj K. Mahapatra and Kathy Lu
Ceramics 2025, 8(4), 147; https://doi.org/10.3390/ceramics8040147 - 4 Dec 2025
Viewed by 294
Abstract
In this study, SiHfCN ceramics were synthesized from a single-source precursor obtained by reacting Durazane 1800 with tetrakis(dimethylamido)hafnium(IV) (TDMAH). In a separate preparation, Ti3C2 MXene was incorporated into this precursor to produce MXene-SiHfCN composite ceramics. The samples were pyrolyzed at [...] Read more.
In this study, SiHfCN ceramics were synthesized from a single-source precursor obtained by reacting Durazane 1800 with tetrakis(dimethylamido)hafnium(IV) (TDMAH). In a separate preparation, Ti3C2 MXene was incorporated into this precursor to produce MXene-SiHfCN composite ceramics. The samples were pyrolyzed at 1000 °C and heat-treated at 1600 °C in N2 to investigate amorphous-to-crystalline transformations. Both SiHfCN and MXene-SiHfCN formed a single-phase amorphous structure after pyrolysis at 1000 °C. At 1600 °C, SiHfCN partially crystallized into α/β-Si3N4 and HfCxN1−x phases within an amorphous/crystalline Si3N4 matrix. In contrast, the MXene–SiHfCN matrix remained largely amorphous, evolving into SiOCN with localized Si2ON2 crystallization. Additional phases, including HfCxN1−x, Hf oxide/oxycarbide, and a Ti carbonitride-rich phase (TiC0.63N1.06O0.18Si0.99Hf0.11), were identified within the amorphous SiOCN. No SiC was detected in either system, indicating suppression of carbothermal reduction of Si3N4 up to 1600 °C in N2. While SiHfCN exhibited pronounced macroscopic cracks, MXene-SiHfCN showed no such large cracks, though local microscopic cracking was observed. These results demonstrate that Ti3C2 MXene incorporation stabilizes the amorphous matrix, modifies phase evolution, and mitigates severe cracking, offering new insights into non-oxide PDC nanocomposites for ultra-high-temperature applications. Full article
(This article belongs to the Special Issue Nanoceramics and Two-Dimensional Ceramic Materials)
Show Figures

Graphical abstract

18 pages, 4665 KB  
Article
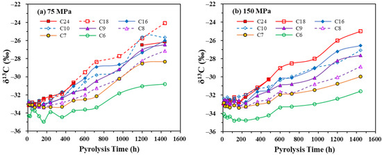
Geochemical and Spectroscopic Characteristics of Marine Crude Oil Cracking Under Overpressure: A Case Study of the Tarim Basin
by Xinyue Shi, Shangli Liu, Haifeng Gai, Peng Cheng and Hui Han
Processes 2025, 13(12), 3896; https://doi.org/10.3390/pr13123896 - 2 Dec 2025
Viewed by 266
Abstract
Deep and ultra-deep petroleum resources have become major contributors to petroleum reserves. The Tarim Basin has recently witnessed discoveries of several oil reservoirs at depths exceeding 8000 m, which extend the exploration depth limit for crude oil and light oil resources. To clarify [...] Read more.
Deep and ultra-deep petroleum resources have become major contributors to petroleum reserves. The Tarim Basin has recently witnessed discoveries of several oil reservoirs at depths exceeding 8000 m, which extend the exploration depth limit for crude oil and light oil resources. To clarify the role of overpressure during the critical stage of crude oil cracking (Easy Ro ≈ 1.0–2.0%), this study conducted low-temperature, long-duration, overpressure (150 MPa) gold tube pyrolysis experiments on marine crude oil from the Tarim Basin. Comprehensive analysis of the cracking products (C1–C30₊) revealed significant differences in the thermal stability and cracking behavior of hydrocarbon molecules with different chain lengths: long-chain hydrocarbons (C12₊) were continuously consumed as the primary reactants, whereas short-chain hydrocarbons (C6–C12) initially formed as products and subsequently underwent secondary cracking as reactants. During this process, overpressure played a critical role in delaying the yield peak of light hydrocarbons and suppressing their secondary cracking. This mechanism resulted in a slower increase in gaseous hydrocarbon yield under overpressure conditions, and the carbon isotopic composition clearly recorded a shift in the cracking precursors from heavy to light hydrocarbons. Furthermore, fluorescence lifetime, as a sensitive spectroscopic indicator, exhibited delayed decay under overpressure, confirming the inhibition of aromatization and polymerization reactions by overpressure. By illuminating the sequential nature of hydrocarbon cracking and the moderating influence of overpressure at molecular and spectroscopic levels, this work offers crucial evidence for understanding multi-phase hydrocarbon coexistence and forecasting the preservation depth of discrete-phase crude oil in the Shuntuoguole area. Full article
(This article belongs to the Section Energy Systems)
Show Figures

Figure 1

29 pages, 2138 KB  
Review
A Review of Theoretical, Experimental and Numerical Advances on Strain Localization in Geotechnical Materials
by Yonghui Li, Anyuan Sun and Feng Zhu
Appl. Sci. 2025, 15(22), 12154; https://doi.org/10.3390/app152212154 - 16 Nov 2025
Viewed by 422
Abstract
Strain localization is a critical phenomenon in geotechnical materials, serving as a precursor to the failure of engineering structures such as slopes, foundations, and tunnels. This paper presents a comprehensive review of the theoretical, experimental, and numerical advances in the study of strain [...] Read more.
Strain localization is a critical phenomenon in geotechnical materials, serving as a precursor to the failure of engineering structures such as slopes, foundations, and tunnels. This paper presents a comprehensive review of the theoretical, experimental, and numerical advances in the study of strain localization. Theoretically, the review spans from classical empirical criteria for shear band inclination to the more rigorous bifurcation theory, which mathematically defines the onset of localization as a loss of uniqueness in the governing equations. Experimentally, various laboratory techniques including direct shear, triaxial, plane strain, and true triaxial tests are discussed, highlighting how they have revealed the influences of microstructure, stress path, and boundary conditions on shear band development. The core of the review focuses on numerical simulations, critically analyzing the limitations of the classical Finite Element Method (FEM) due to mesh dependency. It then elaborates on advanced regularization strategies, encompassing weak discontinuity methods (e.g., Cosserat continuum theory) that introduce an internal length scale to model finite-width shear bands, and strong discontinuity methods (e.g., the Strong Discontinuity Approach, SDA) for simulating discrete cracks. Significant emphasis is placed on innovative coupled approaches, particularly the Cos-SDA model, which integrates the advantages of both weak and strong discontinuity methods to seamlessly simulate the entire progressive failure process from diffuse localization to discrete slip. Furthermore, the application of spectral analysis for evaluating the regularization performance of these numerical methods is examined. Finally, the review concludes by identifying persistent challenges and outlining promising future research directions, including 3D modeling, multi-field coupling, and the integration of data-driven techniques. This synthesis aims to provide a valuable reference for advancing the prediction and management of failure in geotechnical structures. Full article
Show Figures

Figure 1

13 pages, 2837 KB  
Article
Waste Quartz Crucible Crystallization-Induced Purification to Prepare High-Purity Cristobalite Sand
by Tanlu Zhang, Yehao Huang, Hongjuan Sun, Yu Tang and Tongjiang Peng
Minerals 2025, 15(11), 1184; https://doi.org/10.3390/min15111184 - 10 Nov 2025
Viewed by 529
Abstract
Waste quartz crucibles (WQCs), produced as by-products in the fabrication of monocrystalline silicon rods, have become a significant recycling target due to the rapid growth of the photovoltaic industry. WQCs serve as an excellent precursor for synthesizing high-purity cristobalite sand, with an SiO [...] Read more.
Waste quartz crucibles (WQCs), produced as by-products in the fabrication of monocrystalline silicon rods, have become a significant recycling target due to the rapid growth of the photovoltaic industry. WQCs serve as an excellent precursor for synthesizing high-purity cristobalite sand, with an SiO2 content exceeding 99.995%. This study introduces a novel approach that integrates high-temperature crystallization-induced purification with acid leaching to convert WQCs into cristobalite. We systematically investigated the effects of calcination parameters (temperature and time) on cristobalite formation and characterized the distribution of aluminum and titanium (Al/Ti) in pre- and post-crystallization samples using depth profiling techniques. The results indicate that WQCs can be completely transformed into cristobalite after calcination at 1600 °C for 6 h. Employing these optimized conditions (1600 °C for 6 h) not only achieves a rapid crystallization rate but also effectively drives the migration of Al and Ti impurities to the surface and crack regions of the cristobalite matrix. The crystallization process enhances the purification of WQCs by redistributing impurities during the phase transformation. Consequently, the resulting cristobalite sand achieves an SiO2 content exceeding 99.998% after acid leaching. Therefore, this work offers a dual solution to both enhancing the value of WQCs and mitigating the scarcity of high-purity quartz sand raw materials. Full article
(This article belongs to the Special Issue Mineralogical Characteristics and Purification Process of Quartz)
Show Figures

Figure 1

33 pages, 4314 KB  
Review
Shrinkage Characteristics of Geopolymer Concrete: A Comprehensive Review
by Rukayat Olayinka, Reza Jafari and Mathieu Fiset
Materials 2025, 18(19), 4528; https://doi.org/10.3390/ma18194528 - 29 Sep 2025
Cited by 1 | Viewed by 1965
Abstract
Geopolymer concrete (GC) has become apparent as a promising and sustainable alternative to ordinary portland cement (OPC) concrete, presenting notable advantages in both environmental impact and mechanical performance. Despite these benefits, shrinkage remains a critical issue, influencing cracking susceptibility, long-term durability, and structural [...] Read more.
Geopolymer concrete (GC) has become apparent as a promising and sustainable alternative to ordinary portland cement (OPC) concrete, presenting notable advantages in both environmental impact and mechanical performance. Despite these benefits, shrinkage remains a critical issue, influencing cracking susceptibility, long-term durability, and structural reliability. While previous investigations have focused on isolated parameters, such as activator concentration or curing techniques, this review provides a comprehensive analysis of the shrinkage behaviour of geopolymer concrete by exploring a broader range of influential factors. Key contributors—including precursor composition, alkali activator concentration, sodium silicate-to-sodium hydroxide ratio, liquid-to-solid ratio, pore structure, and curing conditions—are evaluated and mitigation strategies are discussed. Comparative evaluation of experimental studies reveals key patterns and mechanisms: heat curing around 60 °C consistently limits shrinkage, low-calcium binders outperform high-calcium systems, and chemical additives can reduce shrinkage by as much as 80%. The analysis also highlights emerging, bio-based additives that show promise for simultaneously controlling shrinkage and preserving mechanical performance. By integrating these diverse insights into a single framework, this paper provides a comprehensive reference for designing low-shrinkage GC mixtures. Full article
Show Figures

Graphical abstract

23 pages, 12524 KB  
Article
Development of Xanthan Gum-Modified Coal-Fly-Ash-Based Cementitious Firefighting Materials with Improved High-Temperature Resistance for Coal Mines
by Guolan Dou, Peng Chen, Menghan Wang, Jingyu Wang, Xiaoxing Zhong and Shuangming Wei
Materials 2025, 18(18), 4246; https://doi.org/10.3390/ma18184246 - 10 Sep 2025
Viewed by 525
Abstract
In this study, xanthan gum (XG)-modified coal-fly-ash-based cementitious materials were synthesized to realize the resource utilization of coal fly ash and to develop a low-carbon emission cementitious sealing material that can substitute cement-based sealing material to prevent coal fires. The optimal formulation for [...] Read more.
In this study, xanthan gum (XG)-modified coal-fly-ash-based cementitious materials were synthesized to realize the resource utilization of coal fly ash and to develop a low-carbon emission cementitious sealing material that can substitute cement-based sealing material to prevent coal fires. The optimal formulation for coal-fly-ash-based mining cementitious sealing material was developed using response surface methodology based on Box–Behnken Design. The optimized formulation was obtained with a coal fly ash-to-precursor ratio of 0.65, alkali-activator modulus of 1.4, and alkali-activator dosage of 7.5%. Under the optimal conditions, the initial and final setting time were 26 min and 31 min, respectively, fluidity was 245 mm, and the 7-day compressive strength approached 36.60 MPa, but there were still thermal shrinkage and cracking phenomena after heating. XG was then introduced to improve the thermal shrinkage and cracking of coal-fly-ash-based cementitious materials. Incorporating 1 wt.‰ XG was found to decrease the fluidity while maintaining the setting time and increasing the 1-day and 7-day compressive strength by 15.44% and 1.97%, respectively. The results demonstrated that the gels generated by XG cross-linking and coordinating with Al3+/Ca2+ were interspersed in the original C(N)-A-S-H gel network, which not only made the 1 wt.‰ XG modified coal-fly-ash-based cementitious material show minor expansion at ambient temperatures, but also improved the residual compressive strength, thermal shrinkage resistance and cracking resistance in comparison to unmodified cementitious material. However, due to the viscosity of XG and the coordination of Al3+ and non-terminal carboxyl groups in XG breaking the gel network, XG incorporation should not exceed 1 wt.‰ as the compressive strength and fluidity are decreased. Full article
(This article belongs to the Section Construction and Building Materials)
Show Figures

Graphical abstract

28 pages, 731 KB  
Perspective
Prospects of Novel Technologies for PFAS Destruction in Water and Wastewater
by Andrea G. Capodaglio
Appl. Sci. 2025, 15(17), 9311; https://doi.org/10.3390/app15179311 - 25 Aug 2025
Cited by 1 | Viewed by 4162
Abstract
PFASs, compounds to which the C-F bond—the strongest known in nature—bestows high resistance to degradation, have been detected in surface and groundwater worldwide, including drinking water supplies. Current regulations on long-chain PFASs resulted in the shift to short-chain PFASs in industrial uses, with [...] Read more.
PFASs, compounds to which the C-F bond—the strongest known in nature—bestows high resistance to degradation, have been detected in surface and groundwater worldwide, including drinking water supplies. Current regulations on long-chain PFASs resulted in the shift to short-chain PFASs in industrial uses, with their increasing environmental detection. Currently, suggested BATs for PFAS removal from aqueous solutions include mainly adsorption or membrane filtration; however, different response behavior to even simple treatment was observed concerning long- and short-chain PFAS molecules. In order to permanently destroy (mineralize) PFASs and their precursors, treatment technologies that can deliver sufficiently high energy to crack the C-F bond are needed. This paper discusses current PFAS removal technologies and state of the art advanced methods for PFAS removal and destruction, critically discussing their efficiency, applicability, emerging issues, and future prospects. Full article
(This article belongs to the Special Issue Promising Sustainable Technologies in Wastewater Treatment)
Show Figures

Figure 1

18 pages, 1216 KB  
Article
Predictive Modeling and Experimental Optimization of the Electrodeposition–Sintering Process for Functional Ceramic Coatings
by Jesús M. Rodríguez-Rego, Antonio Macías-García, Laura Mendoza-Cerezo, Juan Pablo Carrasco-Amador and Antonio Díaz-Parralejo
Materials 2025, 18(16), 3893; https://doi.org/10.3390/ma18163893 - 20 Aug 2025
Viewed by 733
Abstract
This study focuses on optimizing a sol–gel based electrodeposition–sintering process for producing yttria-stabilized zirconia (YSZ) ceramic coatings on stainless steel substrates. Four key process variables—precursor concentration, current density, sintering time, and temperature—were evaluated in terms of two response variables: R (electrodeposition yield) and [...] Read more.
This study focuses on optimizing a sol–gel based electrodeposition–sintering process for producing yttria-stabilized zirconia (YSZ) ceramic coatings on stainless steel substrates. Four key process variables—precursor concentration, current density, sintering time, and temperature—were evaluated in terms of two response variables: R (electrodeposition yield) and S (sintering yield). A fractional factorial design was used to reduce the number of experiments while enabling robust statistical modeling. Multiple linear regression analysis revealed that precursor concentration and current density were the most influential factors for both R and S, whereas sintering time and temperature had a lesser effect. Under central conditions (42.9 g·L−1, 1.5 A·cm2, 500 °C, 20 min), coatings exhibited yields of ~3.9 mg·cm2 and superior morphological uniformity. Higher current density (3 A·cm2) increased R to 6.9 mg·cm2 but induced porosity and cracking. Compared to conventional sol–gel derived coatings, the proposed methodology enables a more controlled microstructure with a trade-off between mass deposition and structural integrity. This predictive, statistically validated approach facilitates the optimization of electrodeposition parameters to obtain defect-minimized ceramic coatings, particularly suited for protective and thermal barrier applications in demanding environments. Full article
(This article belongs to the Section Advanced Materials Characterization)
Show Figures

Graphical abstract

13 pages, 3716 KB  
Article
Mineralogy and Preparation of High-Purity Quartz: A Case Study from Pegmatite in the Eastern Sector of the North Qinling Orogenic Belt
by Deshui Yu, Yameng Ma, Shoujing Wang, Chi Ma and Fushuai Wei
Minerals 2025, 15(8), 788; https://doi.org/10.3390/min15080788 - 27 Jul 2025
Viewed by 1388
Abstract
High-purity quartz (HPQ), an indispensable industrial mineral, serves as a critical raw material for advanced technology sectors. Derived from natural quartz precursors through processing, HPQ preparation efficiency fundamentally depends on raw material selection. Two pegmatite samples (muscovite pegmatite and two-mica pegmatite) sampled from [...] Read more.
High-purity quartz (HPQ), an indispensable industrial mineral, serves as a critical raw material for advanced technology sectors. Derived from natural quartz precursors through processing, HPQ preparation efficiency fundamentally depends on raw material selection. Two pegmatite samples (muscovite pegmatite and two-mica pegmatite) sampled from the eastern sector of the North Qinling Orogenic Belt were investigated through a suite of analytical techniques, as well as processing and purification, to evaluate their potential as raw materials for high-purity quartz. Muscovite pegmatite is predominantly composed of quartz, plagioclase, K-feldspar, muscovite, and garnet, with accessory phases including limonite and kaolinite. However, in addition to quartz, plagioclase, K-feldspar, muscovite, garnet, and limonite, two-mica pegmatite contains minerals such as biotite and calcite. The fluid inclusions in both muscovite and two-mica pegmatite quartz are small, but the former has fewer fluid inclusions. Compared with muscovite pegmatite, surface discontinuity (i.e., cracks, pits, cavities) development is more pronounced in two-mica pegmatite purified quartz, which may be related to its high content of fluid inclusions. Following purification, the total concentration of trace elements decreased significantly. However, the concentrations of Al and Ti appeared to remain the same. Titanium enrichment in purified two-mica pegmatite quartz likely derives from biotite, while Na and Ca concentrations may be related to fluid inclusions or microscopic mineral inclusions. The trace element content (27.69 ppm) in muscovite pegmatite is lower than that (45.28 ppm) of two-mica pegmatite, we thus suggest that muscovite pegmatite quartz is more likely to have the potential to produce high-purity quartz. Full article
(This article belongs to the Special Issue Physicochemical Properties and Purification of Quartz Minerals)
Show Figures

Figure 1

23 pages, 8003 KB  
Article
Study on Meso-Mechanical Evolution Characteristics and Numerical Simulation of Deep Soft Rock
by Anying Yuan, Hao Huang and Tang Li
Processes 2025, 13(8), 2358; https://doi.org/10.3390/pr13082358 - 24 Jul 2025
Viewed by 623
Abstract
To reveal the meso-mechanical essence of deep rock mass failure and capture precursor information, this study focuses on soft rock failure mechanisms. Based on the discontinuous medium discrete element method (DEM), we employed digital image correlation (DIC) technology, acoustic emission (AE) monitoring, and [...] Read more.
To reveal the meso-mechanical essence of deep rock mass failure and capture precursor information, this study focuses on soft rock failure mechanisms. Based on the discontinuous medium discrete element method (DEM), we employed digital image correlation (DIC) technology, acoustic emission (AE) monitoring, and particle flow code (PFC) numerical simulation to investigate the failure evolution characteristics and AE quantitative representation of soft rocks. Key findings include the following: Localized high-strain zones emerge on specimen surfaces before macroscopic crack visualization, with crack tip positions guiding both high-strain zones and crack propagation directions. Strong force chain evolution exhibits high consistency with the macroscopic stress response—as stress increases and damage progresses, force chains concentrate near macroscopic fracture surfaces, aligning with crack propagation directions, while numerous short force chains coalesce into longer chains. The spatial and temporal distribution characteristics of acoustic emissions were explored, and the damage types were quantitatively characterized, with ring-down counts demonstrating four distinct stages: sporadic, gradual increase, stepwise growth, and surge. Shear failures predominantly occurred along macroscopic fracture surfaces. At the same time, there is a phenomenon of acoustic emission silence in front of the stress peak in the surrounding rock of deep soft rock roadway, as a potential precursor indicator for engineering disaster early warning. These findings provide critical theoretical support for deep engineering disaster prediction. Full article
Show Figures

Figure 1

16 pages, 1382 KB  
Article
The Catalytic Consequence of Isolated Ni Single-Atoms in BEA Zeolite for Hydrogen Production and Olefin Conversion
by Yitong Zhao, Meng Liu, Yao Ning, Ying Zhang and Zhijie Wu
Catalysts 2025, 15(8), 703; https://doi.org/10.3390/catal15080703 - 24 Jul 2025
Viewed by 1086
Abstract
In our previous work, we fabricated Ni single-atoms within Beta zeolite (Ni1@Beta-NO3) using NiNO3·6H2O as a metal precursor without any chelating agents, which exhibited exceptional performance in the selective hydrogenation of furfural. Owing to [...] Read more.
In our previous work, we fabricated Ni single-atoms within Beta zeolite (Ni1@Beta-NO3) using NiNO3·6H2O as a metal precursor without any chelating agents, which exhibited exceptional performance in the selective hydrogenation of furfural. Owing to the confinement effect, the as-encapsulated nickel species appears in the form of Ni0 and Niδ+, which implies its feasibility in metal catalysis and coordination catalysis. In the study reported herein, we further explored the hydrogen production and olefin oligomerization performance of Ni1@Beta-NO3. It was found that Ni1@Beta-NO3 demonstrated a high H2 generation turnover frequency (TOF) and low activation energy (Ea) in a sodium borohydride (NaBH4) hydrolysis reaction, with values of 331 min−1 and 30.1 kJ/mol, respectively. In ethylene dimerization, it exhibited a high butylene selectivity of 99.4% and a TOF as high as 5804 h−1. In propylene oligomerization, Ni1@Beta-NO3 demonstrated high selectivity (75.21%) of long-chain olefins (≥C6+), overcoming the problem of cracking reactions that occur during oligomerization using H-Beta. Additionally, as a comparison, the influence of the metal precursor (NiCl2) on the performance of the encapsulated Ni catalyst was also examined. This research expands the application scenarios of non-noble metal single-atom catalysts and provides significant assistance and potential for the production of H2 from hydrogen storage materials and the production of valuable chemicals. Full article
(This article belongs to the Special Issue State of the Art and Future Challenges in Zeolite Catalysts)
Show Figures

Graphical abstract

22 pages, 10555 KB  
Article
Mechanical Properties and Cutting Performance of Si3N4/Sc2W3O12 Composite Ceramic Tools Materials
by Zhiyuan Zhang, Xiaolan Bai, Jingjie Zhang, Mingdong Yi, Guangchun Xiao, Tingting Zhou, Hui Chen, Zhaoqiang Chen and Chonghai Xu
Materials 2025, 18(15), 3440; https://doi.org/10.3390/ma18153440 - 22 Jul 2025
Viewed by 854
Abstract
To address the poor thermal shock resistance and high brittleness of traditional ceramic tools, a novel Si3N4/Sc2W3O12 (SNS) composite ceramic material was developed via in situ synthesis using WO3 and Sc2O [...] Read more.
To address the poor thermal shock resistance and high brittleness of traditional ceramic tools, a novel Si3N4/Sc2W3O12 (SNS) composite ceramic material was developed via in situ synthesis using WO3 and Sc2O3 as precursors and consolidated by spark plasma sintering. Sc2W3O12 with negative thermal expansion was introduced to compensate for matrix shrinkage and modulate interfacial stress. The effects of varying Sc2W3O12 content on thermal expansion, residual stress, microstructure, and mechanical properties were systematically investigated. Among the compositions, SNS3 (12 wt.% Sc2W3O12) exhibited the best overall performance: relative density of 98.8 ± 0.2%, flexural strength of 712.4 ± 30 MPa, fracture toughness of 7.5 ± 0.3 MPa·m1/2, Vickers hardness of 16.3 ± 0.3 GPa, and an average thermal expansion coefficient of 2.81 × 10−6·K−1. The formation of a spherical chain-like Sc-W-O phase at the grain boundaries created a “hard core–soft shell” interface that enhanced crack resistance and stress buffering. Cutting tests showed that the SNS3 tool reduced workpiece surface roughness by 32.91% and achieved a cutting distance of 9500 m. These results validate the potential of this novel multiphase ceramic system as a promising candidate for high-performance and thermally stable ceramic cutting tools. Full article
Show Figures

Figure 1

Back to TopTop