Frequency-Controlled AC-MAO Coatings with Ca, P, and Se on Magnesium: Toward Tailored Surfaces for Biodegradable Implants
Highlights
- AC frequency significantly affected MAO coating morphology and thickness.
- CaPSe_100 coating showed the most uniform structure and highest porosity (28.4%).
- All coatings were strongly hydrophilic (contact angles 8–18°).
- CaPSe_100 achieved a degradation rate of ~0.012 mm/year vs. ~5.50 mm/year for bare Mg.
- Frequency tuning enables control of MgO growth and coating uniformity.
- The MAO coating effectively suppresses hydrogen evolution on pure Mg.
- Porous and hydrophilic surfaces may enhance osseointegration potential.
- Findings support the design of durable, multifunctional coatings for Mg implants.
Abstract
1. Introduction
2. Materials and Methods
2.1. Materials and Reagents
2.2. Experimental Conditions of the AC-MAO Treatment
2.3. Characterization
2.4. Statistical Analysis
3. Results and Discussion
3.1. Voltage–Current Behavior in AC-MAO Coatings Treatments
3.2. Morphology and Chemical Composition
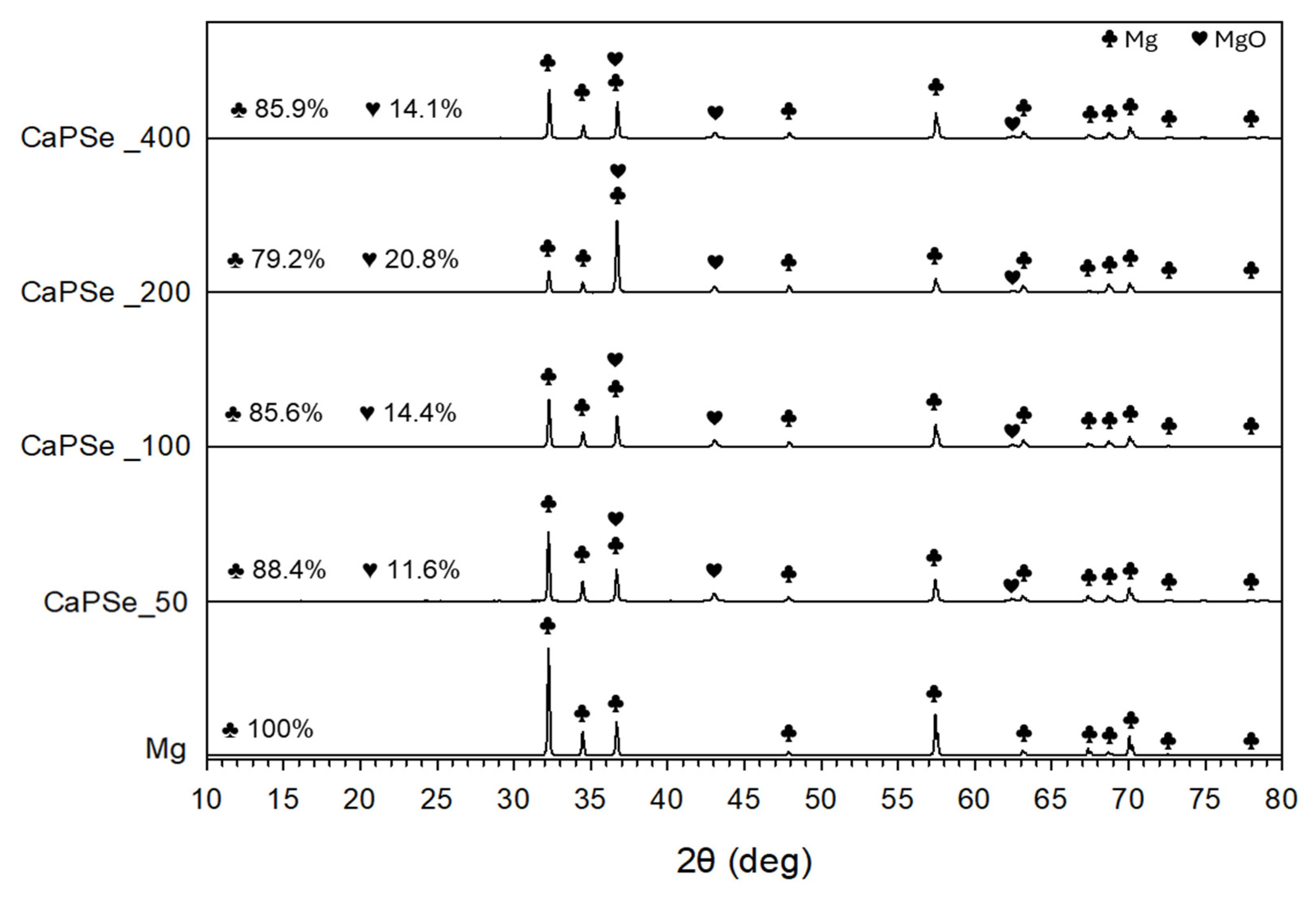
3.3. Phase Composition
3.4. Thickness and Topography
3.5. Wettability
3.6. Hydrogen Evolution
Proposed Corrosion Mechanism
4. Conclusions
Author Contributions
Funding
Data Availability Statement
Acknowledgments
Conflicts of Interest
References
- Xia, B.; Liu, Y.; Xing, Y.; Shi, Z.; Pang, X. Biodegradable Medical Implants: Reshaping Future Medical Practice. Adv. Sci. 2025, 12, e08014. [Google Scholar] [CrossRef]
- Jayasathyakawin, S.; Ravichandran, M.; Naveenkumar, R.; Radhika, N.; Ismail, S.; Mohanavel, V. Recent advances in magnesium alloys for biomedical applications: A review. Mater. Today Commun. 2025, 42, 111239. [Google Scholar] [CrossRef]
- Zhang, T.; Wang, W.; Liu, J.; Wang, L.; Tang, Y.; Wang, K. A review on magnesium alloys for biomedical applications. Front. Bioeng. Biotechnol. 2022, 10, 953344. [Google Scholar] [CrossRef]
- Niranjan, C.; Raghavendra, T.; Rao, M.; Siddaraju, C.; Gupta, M.; Jain, V.; Aishwarya, R. Magnesium alloys as extremely promising alternatives for temporary orthopedic implants—A review. J. Magnes. Alloy 2023, 11, 2688–2718. [Google Scholar] [CrossRef]
- Aikin, M.; Shalomeev, V.; Kukhar, V.; Kostryzhev, A.; Kuziev, I.; Kulynych, V.; Dykha, O.; Dytyniuk, V.; Shapoval, O.; Zagorskis, A.; et al. Recent Advances in Biodegradable Magnesium Alloys for Medical Implants: Evolution, Innovations, and Clinical Translation. Crystals 2025, 15, 671. [Google Scholar] [CrossRef]
- Husak, Y.; Mac, J.; Wala-Kapica, M.; Lesniak, K.; Babilas, D.; Blacha-Grzechnik, A.; Dulski, M.; Gawecki, R.; Matula, I.; Dercz, G.; et al. Antibacterial coatings on magnesium formed via plasma electrolytic oxidation in CuO suspension. Mater. Chem. Phys. 2024, 323, 129627. [Google Scholar] [CrossRef]
- Moreno, L.; Mohedano, M.; Arrabal, R.; Matykina, E. Development and screening of (Ca-P-Si-F)-PEO coatings for biodegradability control of Mg-Zn-Ca alloys. J. Magnes. Alloys 2022, 10, 2220–2237. [Google Scholar] [CrossRef]
- Pesode, P.; Barve, S. A review-recent advances on antibacterial coating on magnesium alloys by micro arc oxidation for biomedical applications. Adv. Mater. Process. Technol. 2024, 11, 1475–1517. [Google Scholar] [CrossRef]
- Hwang, I.; Hwang, D.; Ko, Y.; Shin, D. Correlation between current frequency and electrochemical properties of Mg alloy coated by micro arc oxidation. Surf. Coat. Technol. 2012, 206, 3360–3365. [Google Scholar] [CrossRef]
- Zhang, X.; Zhang, Y.; Chang, L.; Jiang, Z.; Yao, Z.; Liu, X. Effects of frequency on growth process of plasma electrolytic oxidation coating. Mater. Chem. Phys. 2012, 132, 909–915. [Google Scholar] [CrossRef]
- Pavarini, M.; Moscatelli, M.; Chiesa, R. Plasma Electrolytic Oxidation: A Versatile Tool to Modulate the Degradation of Biodegradable Metals in Medical Applications. JOM 2025, 77, 4456–4472. [Google Scholar] [CrossRef]
- Makurat-Kasprolewicz, B.; Ossowska, A. Recent advances in electrochemically surface treated titanium and its alloys for biomedical applications: A review of anodic and plasma electrolytic oxidation methods. Mater. Today Commun. 2023, 34, 105425. [Google Scholar] [CrossRef]
- Moreno, L.; Mohedano, M.; Arrabal, R.; Matykina, E. Screening of fluoride-free PEO coatings on cast Mg3Zn0.4Ca alloy for orthopaedic implants. Surf. Coat. Technol. 2024, 476, 130184. [Google Scholar] [CrossRef]
- Rynkus, B.; Sowa, M.; Orlowska, A.; Samotus, A.; Godzierz, M.; Wilk, K.; Szewczenko, J.; Simka, W. Bioactive Ca-P coatings on WE43 alloy via soft sparking PEO: Structure, electrochemical performance and cytotoxicity studies. J. Magnes. Alloys 2025, 13, 3398–3417. [Google Scholar] [CrossRef]
- Muñoz, M.; Fernández, J.; Torres, B.; Pulido, N.; Zhang, G.; Shanov, V.; Moreno, L.; Matykina, E.; Rams, J. Plasma electrolytic oxidation of AZ31 magnesium stents for degradation rate control. Surf. Coat. Technol. 2024, 479, 130539. [Google Scholar] [CrossRef]
- Zhou, J.H.; Wang, X.L. The osteogenic, anti-oncogenic and antibacterial activities of selenium-doped titanium dioxide coatings on titanium. Surf. Coat. Technol. 2020, 403, 126408. [Google Scholar] [CrossRef]
- Shi, X.T.; Zhu, Y.Y.; Zhang, S.F.; Zhao, R.F.; Zhang, R.F.; Chen, L.; Zhang, Y.J. Characteristics of selenium-containing coatings on WE43 magnesium alloy by micro-arc oxidation. Mater. Lett. 2020, 261, 126944. [Google Scholar] [CrossRef]
- Zhang, D.; Zheng, R.; Chen, X.; Zhang, G. Effect of SeO2 on corrosion resistance of micro-arc oxidation. Surf. Eng. 2023, 39, 797–806. [Google Scholar] [CrossRef]
- Genchi, G.; Lauria, G.; Catalano, A.; Sinicropi, M.; Carocci, A. Biological Activity of Selenium and Its Impact on Human Health. Int. J. Mol. Sci. 2023, 24, 2633. [Google Scholar] [CrossRef]
- Zhu, M.; Song, Y.; Liu, Z.; Xu, D.; Dong, K.; Han, E. Optimization of thermal control and corrosion resistance of PEO coatings on 7075 aluminum alloy by frequency alteration. Surf. Coat. Technol. 2022, 446, 128797. [Google Scholar] [CrossRef]
- Zhao, X.; Liu, D.; Lu, J.; Wei, G. Micro-arc Oxidation Coating Formed on Anodized Aluminum Surface under Different Pulse Frequencies. Int. J. Electrochem. Sci. 2017, 12, 7922–7930. [Google Scholar] [CrossRef]
- Sobolev, A.; Kossenko, A.; Borodianskiy, K. Study of the effect of current pulse frequency on Ti-6Al-4V alloy coating formation by micro arc oxidation. Materials 2019, 12, 3983. [Google Scholar] [CrossRef] [PubMed]
- Matykina, E.; Arrabal, R.; Valiev, R.; Molina-Aldareguia, J.; Belov, P.; Sabirov, I. Electrochemical Anisotropy of Nanostructured Titanium for Biomedical Implants. Electrochim. Acta 2015, 176, 1221–1232. [Google Scholar] [CrossRef]
- Moreno, L.; Matykina, E.; Yasakau, K.; Blawert, C.; Arrabal, R.; Mohedano, M. As-cast and extruded Mg-Zn-Ca systems for biodegradable implants: Characterization and corrosion behavior. J. Magnes. Alloys 2023, 11, 1102–1120. [Google Scholar] [CrossRef]
- ASTM G31-72; Standard Practice for Laboratory Immersion Corrosion Testing of Metals. American Society for Testing and Materials (ASTM): West Conshohocken, PA, USA, 2004.
- Echeverry-Rendón, M.; Berrio, L.; Robledo, S.; Calderón, J.; Castaño, J.; Echeverría, F. Corrosion Resistance and Biological Properties of Pure Magnesium Modified by PEO in Alkaline Phosphate Solutions. Corros. Mater. Degrad. 2023, 4, 196–211. [Google Scholar] [CrossRef]
- ISO 10993-15:2019; Biological Evaluation of Medical Devices—Part 15: Identification and Quantification of Degradation Products from Metals and Alloys. International Organization for Standardization (ISO): Geneva, Switzerland, 2019.
- Santos-Coquillat, A.; Mohedano, M.; Martinez-Campos, E.; Arrabal, R.; Pardo, A.; Matykina, E. Bioactive multi-elemental PEO-coatings on titanium for dental implant applications. Mater. Sci. Eng. C-Mater. Biol. Appl. 2019, 97, 738–752. [Google Scholar] [CrossRef]
- Rogov, A.; Matthews, A.; Yerokhin, A. Relaxation Kinetics of Plasma Electrolytic Oxidation Coated Al Electrode: Insight into the Role of Negative Current. J. Phys. Chem. C 2020, 124, 23784–23797. [Google Scholar] [CrossRef]
- Nominé, A.; Martin, J.; Noël, C.; Henrion, G.; Belmonte, T.; Bardin, I.; Kovalev, V.; Rakoch, A. The evidence of cathodic micro-discharges during plasma electrolytic oxidation process. Appl. Phys. Lett. 2014, 104, 081603. [Google Scholar] [CrossRef]
- Moreno, L.; Belarra-Rodriguez, A.; Mohedano, M.; Castro, L.; Chevalier, M.; Arrabal, R.; Matykina, E. Corrosion-Modulating Effect of Pharmaceutical Agents in a Hybrid Coating System on Pure Magnesium. J. Funct. Biomater. 2025, 16, 406. [Google Scholar] [CrossRef]
- Dong, H.; Li, Q.; Xie, D.; Jiang, W.; Ding, H.; Wang, S.; An, L. Forming characteristics and mechanisms of micro-arc oxidation coatings on magnesium alloys based on different types of single electrolyte solutions. Ceram. Int. 2023, 49, 32271–32281. [Google Scholar] [CrossRef]
- Gembus, J.; Bracht, V.; Grimm, F.; Bibinov, N.; Schücke, L.; Awakowicz, P.; Gibson, A. Characterisation of single microdischarges during plasma electrolytic oxidation of aluminium and titanium. J. Phys. D Appl. Phys. 2025, 58, 335203. [Google Scholar] [CrossRef]
- Martin, J.; Nominé, A.; Broçhard, F.; Briancon, J.; Noël, C.; Belmonte, T.; Czerwiec, T.; Henrion, G. Delay in micro-discharges appearance during PEO of Al: Evidence of a mechanism of charge accumulation at the electrolyte/oxide interface. Appl. Surf. Sci. 2017, 410, 29–41. [Google Scholar] [CrossRef]
- López-Gómez, J.P.; Pérez-Rivero, C. 2.02–Cellular Systems. In Comprehensive Biotechnology, 3rd ed.; Moo-Young, M., Ed.; Pergamon: Oxford, UK, 2019; pp. 9–21. [Google Scholar]
- Foster, T. Staphylococcus. In BTI–Medical Microbiology; University of Texas Medical Branch at Galveston: Galveston, TX, USA, 1996. [Google Scholar]
- Qiu, Z.; Cui, Y.; Wang, X. Natural Bone Tissue and Its Biomimetic. In Mineralized Collagen Bone Graft; Woodhead Publishing: London, UK, 2019; pp. 1–22. [Google Scholar] [CrossRef]
- Bello, D.; Fouillen, A.; Badia, A.; Nanci, A. A nanoporous titanium surface promotes the maturation of focal adhesions and formation of filopodia with distinctive nanoscale protrusions by osteogenic cells. Acta Biomater. 2017, 60, 339–349. [Google Scholar] [CrossRef]
- Rosciszewska, M.; Shimabukuro, M.; Ronowska, A.; Mielewczyk-Gryn, A.; Hanawa, T. Enhanced bioactivity and mechanical properties of silicon-infused titanium oxide coatings formed by micro-arc oxidation on selective laser melted Ti13Nb13Zr alloy. Ceram. Int. 2024, 50, 43979–43993. [Google Scholar] [CrossRef]
- Rogov, A.; Lyu, H.; Matthews, A.; Yerokhin, A. AC plasma electrolytic oxidation of additively manufactured and cast AlSi12 alloys. Surf. Coat. Technol. 2020, 399, 126116. [Google Scholar] [CrossRef]
- Dogadkin, D.; Sagidugumar, A.; Kaliyev, D.; Dmitriev, N.; Kozhakhmetov, Y. The Role of Signal Waveforms in Plasma Electrolytic Oxidation. Coatings 2025, 15, 36. [Google Scholar] [CrossRef]
- Zhang, C.; Bai, Y.; Li, T.; Li, J.; Gao, Y.; Ma, W. Fabrication, characterization, and in vitro studies of Selenium-substituted hydroxyapatite coatings. Mater. Res. Express 2024, 11, 105401. [Google Scholar] [CrossRef]
- Saranya, K.; Kalaiyarasan, M.; Rajendran, N. Selenium conversion coating on AZ31 Mg alloy: A solution for improved corrosion rate and enhanced bio-adaptability. Surf. Coat. Technol. 2019, 378, 124902. [Google Scholar] [CrossRef]
- Santos-Coquillat, A.; Martínez-Campos, E.; Sánchez, H.; Moreno, L.; Arrabal, R.; Mohedano, M.; Gallardo, A.; Rodríguez-Hernández, J.; Matykina, E. Hybrid functionalized coatings on Metallic Biomaterials for Tissue Engineering. Surf. Coat. Technol. 2021, 422, 127508. [Google Scholar] [CrossRef]
- Ostapiuk, M. Corrosion resistance of PEO and primer coatings on magnesium alloy. J. Asian Ceram. Soc. 2021, 9, 17–29. [Google Scholar] [CrossRef]
- Yang, C.; Chen, P.; Wu, W.; Sheng, L.; Zheng, Y.; Chu, P. A Review of Corrosion-Resistant PEO Coating on Mg Alloy. Coatings 2024, 14, 451. [Google Scholar] [CrossRef]
- Liu, C.; Yuan, J.; Li, H.; Jiang, B. Role of Substrates in the Corrosion Behaviors of Micro-Arc Oxidation Coatings on Magnesium Alloys. Metals 2019, 9, 1100. [Google Scholar] [CrossRef]
- Moreau, L.; Ha, D.; Zhang, H.; Hoyden, R.; Muller, D.; Robinson, R. Defining Crystalline/Amorphous Phases of Nanoparticles through X-ray Absorption Spectroscopy and X-ray Diffraction: The Case of Nickel Phosphide. Chem. Mater. 2013, 25, 2394–2403. [Google Scholar] [CrossRef]
- Holder, C.; Schaak, R. Tutorial on Powder X-ray Diffraction for Characterizing Nanoscale Materials. Acs Nano 2019, 13, 7359–7365. [Google Scholar] [CrossRef]
- Santos-Coquillat, A.; Esteban-Lucia, M.; Martinez-Campos, E.; Mohedano, M.; Arrabal, R.; Blawert, C.; Zheludkevich, M.; Matykina, E. PEO coatings design for Mg-Ca alloy for cardiovascular stent and bone regeneration applications. Mater. Sci. Eng. C-Mater. Biol. Appl. 2019, 105, 110026. [Google Scholar] [CrossRef] [PubMed]
- López-alvarez, M.; Souto-Montero, P.; Durán, S.; Pérez-Davila, S.; Vázquez, J.; González, P.; Serra, J. Valuable Ca/P Sources Obtained from Tuna Species’ By-Products Derived from Industrial Processing: Physicochemical and Features of Skeleton Fractions. Recycling 2024, 9, 109. [Google Scholar] [CrossRef]
- Bisht, N.; Phalswal, P.; Khanna, P. Selenium nanoparticles: A review on synthesis and biomedical applications. Mater. Adv. 2022, 3, 1415–1431. [Google Scholar] [CrossRef]
- Pokharel, D.; Wu, L.; Dong, J.; Wei, X.; Etim, I.; Subedi, D.; Umoh, A.; Ke, W. Effect of D-fructose on the in-vitro corrosion behavior of AZ31 magnesium alloy in simulated body fluid. J. Mater. Sci. Technol. 2021, 66, 202–212. [Google Scholar] [CrossRef]
- Zamudio-Ortega, C.; Contreras-Bulnes, R.; Scougall-Vilchis, R.; Morales-Luckie, R.; Olea-Mejía, O.; Rodríguez-Vilchis, L. Morphological, chemical and structural characterisation of deciduous enamel: SEM, EDS, XRD, FTIR and XPS analysis. Eur. J. Paediatr. Dent. 2014, 15, 275–280. [Google Scholar]
- Grebnevs, V.; Lesniak-Ziolkowska, K.; Wala, M.; Dulski, M.; Altundal, S.; Dutovs, A.; Avotina, L.; Erts, D.; Viter, R.; Viksna, A.; et al. Modification of physicochemical properties and bioactivity of oxide coatings formed on Ti substrates via plasma electrolytic oxidation in crystalline and amorphous calcium phosphate particle suspensions. Appl. Surf. Sci. 2022, 598, 153793. [Google Scholar] [CrossRef]
- Makurat-Kasprolewicz, B.; Wekwejt, M.; Pezzato, L.; Ronowska, A.; Krupa, J.; Zimowski, S.; Dzionk, S.; Ossowska, A. Effect of ultrasound on the physicochemical, mechanical and adhesive properties of micro-arc oxidized coatings on Ti13Nb13Zr bio-alloy. Sci. Rep. 2024, 14, 25421. [Google Scholar] [CrossRef] [PubMed]
- Nashrah, N.; Baek, S.; Ko, Y. Nucleation and growth behavior of coating film on Mg-Al-Zn alloy with different surface topographies via plasma electrolytic oxidation. J. Magnes. Alloys 2022, 10, 2185–2192. [Google Scholar] [CrossRef]
- Makurat-Kasprolewicz, B.; Wekwejt, M.; Ronowska, A.; Gajowiec, G.; Grodzicka, M.; Dzionk, S.; Ossowska, A. Influence of Ultrasound on the Characteristics of CaP Coatings Generated Via the Micro-arc Oxidation Process in Relation to Biomedical Engineering. ACS Biomater. Sci. Eng. 2024, 10, 2100–2115. [Google Scholar] [CrossRef] [PubMed]
- Beblein, S.; Breidenstein, B.; Denkena, B.; Pusch, C.; Hoche, H.; Oechsner, M. Thermomechanical coating load in dependence of fundamental coating properties. In Proceedings of the 16th CIRP Conference on Modelling of Machining Operations (16th CIRP CMMO), Cluny, France, 15–16 June 2017; pp. 25–30. [Google Scholar]
- Molnar, V. Experimental Investigation of Tribology-Related Topography Parameters of Hard-Turned and Ground 16MnCr5 Surfaces. Lubricants 2023, 11, 263. [Google Scholar] [CrossRef]
- Yamada, K.; Ikeda, Y.; Masuko, M.; Tamura, Y.; Tanaka, S. Effect of Surface Morphological Changes in the Substrate Induced by Coating Manganese Phosphate on Surface Fatigue Crack Formation in Case-Carburized Steel. Tribol. Online 2025, 20, 110–123. [Google Scholar] [CrossRef]
- Lou, M.; Alpas, A. Characterization of Lubricated Friction Behavior of Thermal Spray Steel Coatings in Comparison with Grey Cast Iron. Lubricants 2020, 8, 9. [Google Scholar] [CrossRef]
- Yang, Y.; Knust, S.; Schwiderek, S.; Qin, Q.; Yun, Q.; Grundmeier, G.; Keller, A. Protein Adsorption at Nanorough Titanium Oxide Surfaces: The Importance of Surface Statistical Parameters beyond Surface Roughness. Nanomaterials 2021, 11, 357. [Google Scholar] [CrossRef] [PubMed]
- ASTM D7334-08; Standard Practice for Surface Wettability of Coatings, Substrates and Pigments by Advancing Contact Angle Measurement. American Society for Testing and Materials (ASTM): West Conshohocken, PA, USA, 2022; Reapproved 2022.
- Gittens, R.; Scheideler, L.; Rupp, F.; Hyzy, S.; Geis-Gerstorfer, J.; Schwartz, Z.; Boyan, B. A review on the wettability of dental implant surfaces II: Biological and clinical aspects. Acta Biomater. 2014, 10, 2907–2918. [Google Scholar] [CrossRef]
- Boyan, B.; Lotz, E.; Schwartz, Z. Roughness and Hydrophilicity as Osteogenic Biomimetic Surface Properties. Tissue Eng. Part A 2017, 23, 1479–1489. [Google Scholar] [CrossRef]
- Bruinsma, G.; van der Mei, H.; Busscher, H. Bacterial adhesion to surface hydrophilic and hydrophobic contact lenses. Biomaterials 2001, 22, 3217–3224. [Google Scholar] [CrossRef] [PubMed]
- Kreve, S.; Dos Reis, A. Bacterial adhesion to biomaterials: What regulates this attachment? A review. Jpn. Dent. Sci. Rev. 2021, 57, 85–96. [Google Scholar] [CrossRef] [PubMed]
- Guerra-Mutis, M.; Vega, J.; Barrena, M.; Matykina, E.; Arrabal, R. Flash-PEO of magnesium: Phosphate precursor driven functionalization. J. Magnes. Alloys 2025, 13, 592–612. [Google Scholar] [CrossRef]
- Sikdar, S.; Menezes, P.V.; Maccione, R.; Jacob, T.; Menezes, P.L. Plasma Electrolytic Oxidation (PEO) Process—Processing, Properties, and Applications. Nanomaterials 2021, 11, 1375. [Google Scholar] [CrossRef] [PubMed]
- Noviana, D.; Paramitha, D.; Ulum, M.; Hermawan, H. The effect of hydrogen gas evolution of magnesium implant on the postimplantation mortality of rats. J. Orthop. Transl. 2016, 5, 9–15. [Google Scholar] [CrossRef]
- Gonzalez, J.; Hou, R.; Nidadavolu, E.; Willumeit-Römer, R.; Feyerabend, F. Magnesium degradation under physiological conditions—Best practice. Bioact. Mater. 2018, 3, 174–185. [Google Scholar] [CrossRef]
- Lu, W.; Zhang, Y.; Wang, T. Microstructure, Mechanical Properties, In Vitro Biodegradability, and Biocompatibility of Mg-Zn/HA Composites for Biomedical Implant Applications. Materials 2023, 16, 5669. [Google Scholar] [CrossRef] [PubMed]
- Kirkland, N.; Birbilis, N.; Staiger, M. Assessing the corrosion of biodegradable magnesium implants: A critical review of current methodologies and their limitations. Acta Biomater. 2012, 8, 925–936. [Google Scholar] [CrossRef] [PubMed]









| Specimen | AC MAO Frequency (Hz) | Electrolyte | |||||
|---|---|---|---|---|---|---|---|
| Concentration in Aqueous Solution (g/L) | pH | σ (mS/cm) | |||||
| NaOH | Ca(H2PO4)2·H2O | C6H18O24P6 | Na2SeO3 | ||||
| Mg | – | – | – | – | – | – | – |
| CaPSe_50 | 50 | 8 | 6 | 4 | 4 | ~13.0 ± 0.01 * | ~23.9 ± 0.12 ** |
| CaPSe_100 | 100 | ||||||
| CaPSe_200 | 200 | ||||||
| CaPSe_400 | 400 | ||||||
| Specimen | Average Pore Size (μm2) | Porosity (%) | Thickness (μm) |
|---|---|---|---|
| CaPSe_50 | ~1.05 | ~24.4 | 8.59 ± 0.71 |
| CaPSe_100 | ~1.32 | ~28.4 | 7.75 ± 0.73 |
| CaPSe_200 | ~1.00 | ~23.3 | 7.57 ± 0.81 |
| CaPSe_400 | ~1.08 | ~23.7 | 6.48 ± 0.66 & |
| Specimen | Chemical Composition | Ratio | ||||||||
|---|---|---|---|---|---|---|---|---|---|---|
| O | P | Ca | Mg | Se | Na | Ca/P | Ca/Mg | P/Mg | Se/Na | |
| Mg | - | - | - | 100 | - | - | - | - | - | - |
| CaPSe_50 | 44.52 | 13.29 | 1.48 | 35.71 | 0.94 | 4.07 | ~0.11 | ~0.04 | ~0.37 | ~0.23 |
| CaPSe_00 | 44.75 | 13.10 | 1.10 | 35.80 | 1.30 | 3.95 | ~0.08 | ~0.03 | ~0.37 | ~0.33 |
| CaPSe_200 | 45.43 | 13.78 | 1.09 | 35.52 | 0.86 | 3.33 | ~0.08 | ~0.03 | ~0.39 | ~0.26 |
| CaPSe_400 | 44.57 | 13.40 | 1.07 | 35.76 | 1.23 | 3.96 | ~0.08 | ~0.03 | ~0.37 | ~0.31 |
Disclaimer/Publisher’s Note: The statements, opinions and data contained in all publications are solely those of the individual author(s) and contributor(s) and not of MDPI and/or the editor(s). MDPI and/or the editor(s) disclaim responsibility for any injury to people or property resulting from any ideas, methods, instructions or products referred to in the content. |
© 2025 by the authors. Licensee MDPI, Basel, Switzerland. This article is an open access article distributed under the terms and conditions of the Creative Commons Attribution (CC BY) license (https://creativecommons.org/licenses/by/4.0/).
Share and Cite
Makurat-Kasprolewicz, B.; Matykina, E. Frequency-Controlled AC-MAO Coatings with Ca, P, and Se on Magnesium: Toward Tailored Surfaces for Biodegradable Implants. Materials 2025, 18, 5505. https://doi.org/10.3390/ma18245505
Makurat-Kasprolewicz B, Matykina E. Frequency-Controlled AC-MAO Coatings with Ca, P, and Se on Magnesium: Toward Tailored Surfaces for Biodegradable Implants. Materials. 2025; 18(24):5505. https://doi.org/10.3390/ma18245505
Chicago/Turabian StyleMakurat-Kasprolewicz, Balbina, and Endzhe Matykina. 2025. "Frequency-Controlled AC-MAO Coatings with Ca, P, and Se on Magnesium: Toward Tailored Surfaces for Biodegradable Implants" Materials 18, no. 24: 5505. https://doi.org/10.3390/ma18245505
APA StyleMakurat-Kasprolewicz, B., & Matykina, E. (2025). Frequency-Controlled AC-MAO Coatings with Ca, P, and Se on Magnesium: Toward Tailored Surfaces for Biodegradable Implants. Materials, 18(24), 5505. https://doi.org/10.3390/ma18245505

