Sign in to use this feature.

Years

Between: -

Subjects

remove_circle_outline
remove_circle_outline
remove_circle_outline
remove_circle_outline
remove_circle_outline
remove_circle_outline
remove_circle_outline
remove_circle_outline
remove_circle_outline

Journals

remove_circle_outline
remove_circle_outline
remove_circle_outline
remove_circle_outline
remove_circle_outline
remove_circle_outline
remove_circle_outline

Article Types

Countries / Regions

remove_circle_outline
remove_circle_outline
remove_circle_outline
remove_circle_outline
remove_circle_outline

Search Results (399)

Search Parameters:
Keywords = conjugate gradient

Order results
Result details
Results per page
Select all
Export citation of selected articles as:
18 pages, 2633 KB  
Article
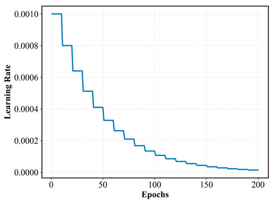
Prediction of Ammonia Mitigation Efficiency in Sodium Bisulfate-Treated Broiler Litter Using Artificial Neural Networks
by Busra Yayli and Ilker Kilic
Animals 2026, 16(2), 210; https://doi.org/10.3390/ani16020210 - 10 Jan 2026
Viewed by 50
Abstract
The increasing demand for poultry meat, driven by its favorable nutritional profile, including low cholesterol and high protein content, has resulted in intensified production volumes and, consequently, elevated ammonia (NH3) emissions. Artificial intelligence-based predictive approaches offer an effective alternative to conventional [...] Read more.
The increasing demand for poultry meat, driven by its favorable nutritional profile, including low cholesterol and high protein content, has resulted in intensified production volumes and, consequently, elevated ammonia (NH3) emissions. Artificial intelligence-based predictive approaches offer an effective alternative to conventional treatment-oriented methods by enabling faster and more accurate estimation of NH3 removal performance. This study aimed to predict the ammonia removal efficiency of broiler litter generated during a production cycle under controlled laboratory-scale conditions using artificial neural networks (ANNs) trained with different learning algorithms. Four ANN models were developed based on the Levenberg–Marquardt (LM), Fletcher–Reeves (FR), Scaled Conjugate Gradient (SCG), and Bayesian Regularization (BR) algorithms. The results showed that the LM-based model with 12 hidden neurons achieved the highest predictive performance (R2 = 0.9777; MSE = 0.0033; RMSE = 0.0574; MAPE = 0.0833), while the BR-based model with 10 neurons showed comparable accuracy. In comparison with the FR and SCG models, the LM algorithm demonstrated superior predictive accuracy and generalization capability. Overall, the findings suggest that ANN-based modeling is a reliable, data-informed approach for estimating NH3 removal efficiency, providing a potential decision-support framework for ammonia mitigation strategies in poultry production systems. Full article
(This article belongs to the Section Poultry)
Show Figures

Figure 1

23 pages, 16511 KB  
Article
Res-FormerNet: A Residual–Transformer Fusion Network for 2-D Magnetotelluric Inversion
by Junhu Yu, Xingong Tang and Zhitao Xiong
Appl. Sci. 2026, 16(1), 270; https://doi.org/10.3390/app16010270 - 26 Dec 2025
Viewed by 140
Abstract
We propose Res-FormerNet, an improved inversion network that integrates a lightweight Transformer encoder into a ResNet50 backbone to enhance two-dimensional magnetotelluric (MT) inversion. The model is designed to jointly leverage residual convolutional structures for local feature extraction and global attention mechanisms for capturing [...] Read more.
We propose Res-FormerNet, an improved inversion network that integrates a lightweight Transformer encoder into a ResNet50 backbone to enhance two-dimensional magnetotelluric (MT) inversion. The model is designed to jointly leverage residual convolutional structures for local feature extraction and global attention mechanisms for capturing long-range spatial dependencies in geoelectrical resistivity models. To evaluate the effectiveness of the proposed architecture, more than 100,000 synthetic models generated by a two-dimensional staggered-grid finite-difference forward solver are used to construct training and validation datasets for TE and TM apparent resistivity responses, with realistic noise levels applied to simulate field acquisition conditions. A smoothness-aware loss function is further introduced to improve inversion stability and structural continuity. Results from synthetic tests demonstrate that incorporating the Transformer encoder substantially enhances the recovery of large-scale anomalies, structural boundaries, and resistivity contrasts compared with the original ResNet50. The proposed method also exhibits strong generalization capability when applied to real MT field data from southern Africa, producing inversion results highly consistent with those obtained using the nonlinear conjugate gradient (NLCG) method. These findings confirm that the Res-FormerNet architecture provides an effective and robust framework for MT inversion and illustrate the potential of hybrid convolution–attention networks for advancing data-driven electromagnetic inversion. Full article
(This article belongs to the Special Issue Applied Geophysical Imaging and Data Processing)
Show Figures

Figure 1

34 pages, 3122 KB  
Article
Comparative Battery State of Charge (SoC) Estimation Using Shallow and Deep Machine Learning Models
by Mohammed Almubarak, Md Ismail Hossain and Md Shafiullah
Sustainability 2026, 18(1), 209; https://doi.org/10.3390/su18010209 - 24 Dec 2025
Viewed by 284
Abstract
This paper evaluates neural-network approaches for lithium-ion battery state-of-charge (SoC) estimation under a unified pipeline, fixed data partitions, and identical preprocessing. We study FNNs trained with Levenberg–Marquardt (LM), Bayesian Regularization (BR), and Scaled Conjugate Gradient (SCG) across three hidden sizes (10, 20, 30) [...] Read more.
This paper evaluates neural-network approaches for lithium-ion battery state-of-charge (SoC) estimation under a unified pipeline, fixed data partitions, and identical preprocessing. We study FNNs trained with Levenberg–Marquardt (LM), Bayesian Regularization (BR), and Scaled Conjugate Gradient (SCG) across three hidden sizes (10, 20, 30) and three topologies: Fitting, Nonlinear Input–Output (Nonlinear I/O), and time-series NAR/NARX. Models are assessed using test MSE and RMSE, correlation (R), generalization gap, convergence indicators (final gradient, damping factor), wall time per epoch, and a relative compute-cost index. On the Fitting task, BR-Fitting-FNN with 20 neurons provides the best accuracy-efficiency balance, while LM-Fitting-FNN with 30 neurons reaches slightly lower error at a higher cost. For Nonlinear I/O, BR-Nonlinear I/O-FNN with 30 neurons achieves the lowest test MSE with clear evidence of effective weight shrinkage; LM-Nonlinear I/O-FNN with 20 neurons is a close alternative. In time-series settings, LM-NAR-FNN with 10 neurons attains the lowest test error and fastest epochs but shows a very negative gap that suggests test-split favorability; BR-NAR-FNN with 30 neurons is more costly yet consistently strong. For NARX, LM-NARX-FNN with 20 neurons yields the best test accuracy and robust convergence. Overall, BR delivers the most reliable accuracy–robustness trade-off as networks widen, LM often achieves the best raw accuracy with careful split validation, and SCG offers the lowest training cost when resources are limited. These results provide practical guidance for selecting SoC estimators to match accuracy targets, computing budgets, and deployment constraints in battery management systems. Full article
Show Figures

Figure 1

22 pages, 335 KB  
Article
Properties and Application of Incomplete Orthogonalization in the Directions of Gradient Difference in Optimization Methods
by Vladimir Krutikov, Elena Tovbis, Svetlana Gutova, Ivan Rozhnov and Lev Kazakovtsev
Mathematics 2025, 13(24), 4036; https://doi.org/10.3390/math13244036 - 18 Dec 2025
Viewed by 219
Abstract
This paper considers the problem of unconstrained minimization of smooth functions. Despite the high efficiency of quasi-Newton methods such as BFGS, their performance degrades in ill-conditioned problems with unstable or rapidly varying Hessians—for example, in functions with curved ravine structures. This necessitates alternative [...] Read more.
This paper considers the problem of unconstrained minimization of smooth functions. Despite the high efficiency of quasi-Newton methods such as BFGS, their performance degrades in ill-conditioned problems with unstable or rapidly varying Hessians—for example, in functions with curved ravine structures. This necessitates alternative approaches that rely not on second-derivative approximations but on the topological properties of level surfaces. As a new methodological framework, we propose using a procedure of incomplete orthogonalization in the directions of gradient differences, implemented through the iterative least-squares method (ILSM). Two new methods are constructed based on this approach: a gradient method with the ILSM metric (HY_g) and a modification of the Hestenes–Stiefel conjugate gradient method with the same metric (HY_XS). Both methods are shown to have linear convergence on strongly convex functions and finite convergence on quadratic functions. A numerical experiment was conducted on a set of test functions. The results show that the proposed methods significantly outperform BFGS (2 times for HY_g and 3.5 times for HY_XS in terms of iterations number) when solving ill-posed problems with varying Hessians or complex level topologies, while providing comparable or better performance even in high-dimensional problems. This confirms the potential of using topology-based metrics alongside classical quasi-Newton strategies. Full article
36 pages, 3847 KB  
Review
Lysosome as a Chemical Reactor
by Mahendiran Dharmasivam and Busra Kaya
Int. J. Mol. Sci. 2025, 26(23), 11581; https://doi.org/10.3390/ijms262311581 - 29 Nov 2025
Viewed by 1073
Abstract
The lysosome is no longer viewed as a simple degradative “trash can” of the cell. The lysosome is not only degradative; its acidic, redox-active lumen also serves as a chemical “microreactor” that can modulate anticancer drug disposition and activation. This review examines how [...] Read more.
The lysosome is no longer viewed as a simple degradative “trash can” of the cell. The lysosome is not only degradative; its acidic, redox-active lumen also serves as a chemical “microreactor” that can modulate anticancer drug disposition and activation. This review examines how the distinctive chemical features of the lysosome, including its acidic pH (~4.5–5), strong redox gradients, limited thiol-reducing capacity, generation of reactive oxygen (ROS), diverse acid hydrolases, and reservoirs of metal ions, converge to influence the fate and activity of anticancer drugs. The acidic lumen promotes sequestration of weak-base drugs, which can reduce efficacy by trapping agents within a protective “safe house,” yet can also be harnessed for pH-responsive drug release. Lysosomal redox chemistry, driven by intralysosomal iron and copper, catalyzes Fenton-type ROS generation that contributes to oxidative damage and ferroptosis. The lysosome’s broad enzyme repertoire enables selective prodrug activation, such as through protease-cleavable linkers in antibody–drug conjugates, while its membrane transporters, particularly P-glycoprotein (Pgp), can sequester chemotherapies and promote multidrug resistance. Emerging therapeutic strategies exploit these processes by designing lysosomotropic drug conjugates, pH- and redox-sensitive delivery systems, and combinations that trigger lysosomal membrane permeabilization (LMP) to release trapped drugs. Acridine–thiosemicarbazone hybrids exemplify this approach by combining lysosomal accumulation with metal-based redox activity to overcome Pgp-mediated resistance. Advances in chemical biology, including fluorescent probes for pH, redox state, metals, and enzymes, are providing new insights into lysosomal function. Reframing the lysosome as a chemical reactor rather than a passive recycling compartment opens new opportunities to manipulate subcellular pharmacokinetics, improve drug targeting, and overcome therapeutic resistance in cancer. Overall, this review translates the chemical principles of the lysosome into design rules for next-generation, more selective anticancer strategies. Full article
(This article belongs to the Section Molecular Pharmacology)
Show Figures

Graphical abstract

21 pages, 3462 KB  
Article
Evaluating Airborne Thermal Infrared Hyperspectral Data for Leaf Area Index Retrieval in Temperate Forests
by Elnaz Neinavaz, Roshanak Darvishzadeh, Andrew K. Skidmore, Marco Heurich and Xi Zhu
Remote Sens. 2025, 17(23), 3820; https://doi.org/10.3390/rs17233820 - 26 Nov 2025
Viewed by 526
Abstract
The Leaf Area Index (LAI) is a key vegetation biophysical variable extensively studied using various remote sensing platforms and applications. Most studies focused on retrieving LAI using remote sensing data have primarily applied visible to shortwave infrared (0.3–2.5 µm) data. While we have [...] Read more.
The Leaf Area Index (LAI) is a key vegetation biophysical variable extensively studied using various remote sensing platforms and applications. Most studies focused on retrieving LAI using remote sensing data have primarily applied visible to shortwave infrared (0.3–2.5 µm) data. While we have previously retrieved LAI using thermal infrared (TIR 2.5–14 µm) hyperspectral data under controlled laboratory conditions, this study aims to evaluate the reliability of our earlier findings using in situ and airborne TIR hyperspectral data. In this study, 36 plots, each 30 × 30 m in size, were randomly selected in the Bavarian Forest National Park in southeastern Germany. The EUFAR-TIR flight campaign, conducted on 6 July 2017, aligned with field data collection using an AISA Owl TIR hyperspectral sensor at 3 m spatial resolution. Statistical univariate and multivariate approaches have been applied to predict LAI using emissivity data. The LAI was derived using six narrowband indices, computed from all possible combinations of wavebands between 8 µm and 12.3 µm, via partial least squares regression (PLSR) and artificial neural network (ANN) models, applying the Levenberg–Marquardt and Scaled Conjugate Gradient algorithms. The results indicated that compared to LAI estimation under controlled conditions, TIR narrowband indices demonstrated poor performance in estimating in situ LAI (R2 = 0.28 and RMSECV = 0.02). Instead, it was observed that the PLSR model unexpectedly achieved higher prediction accuracy (R2 = 0.86 and RMSECV = 0.36) in retrieving LAI compared to the ANN approach using the Levenberg–Marquardt algorithm (R2 = 0.56, RMSECV = 0.71); however, it was outperformed by the Scaled Conjugate Gradient algorithm (R2 = 0.83, RMSECV = 0.18). The results revealed that wavebands located at 8.1 µm, 9.1 µm, 9.85–9.95 µm, and 9.99–10.27 µm are equally effective in predicting LAI, regardless of sensor or measurement/environmental conditions. Our findings have important implications for upscaling LAI predictions, as the identified wavebands are effective across varying conditions and align with the capabilities of upcoming thermal satellite missions such as Landsat Next and Copernicus LSTM. Full article
(This article belongs to the Special Issue Recent Advances in Quantitative Thermal Imaging Using Remote Sensing)
Show Figures

Figure 1

24 pages, 905 KB  
Article
Comparative Analysis of Parametric and Neural Network Models for Rural Highway Traffic Volume Prediction
by Mohammed Al-Turki
Sustainability 2025, 17(23), 10526; https://doi.org/10.3390/su172310526 - 24 Nov 2025
Viewed by 425
Abstract
The information and communication technology revolution has provided researchers with new opportunities to enhance traffic prediction methods. Accurate long-term traffic forecasts are essential for sustainable infrastructure planning, supporting proactive maintenance and efficient resource allocation. They also enable environmental impact assessments and help reduce [...] Read more.
The information and communication technology revolution has provided researchers with new opportunities to enhance traffic prediction methods. Accurate long-term traffic forecasts are essential for sustainable infrastructure planning, supporting proactive maintenance and efficient resource allocation. They also enable environmental impact assessments and help reduce carbon footprints through optimized traffic flow, minimized idling, and better planning for low-emission infrastructure. Most traffic prediction studies focus on short-term urban traffic, but there remains a gap in methods for long-term planning of rural highways, which pose significant challenges for intelligent transportation systems. This paper assesses and compares six prediction models for long-term daily traffic volume prediction, including two traditional time series methods (ARIMA and SARIMA) and four artificial neural networks (ANNs): three feedforward networks trained with Bayesian Regularization (BR), Scaled Conjugate Gradient (SCG), and Levenberg–Marquardt (LM), along with a nonlinear autoregressive (NAR) network. Applying mean absolute percentage error (MAPE) as the performance metric, the results showed that all models effectively captured the data’s nonlinearity, though their accuracy varied significantly. The NAR model proved to be the most accurate, with a minimum average MAPE of 2%. The Bayesian Regularization (BR) algorithm achieved superior performance (average MAPE: 4.50%) among the feedforward ANNs. Notably, the ARIMA, SARIMA, and ANN-LM models exhibited similar performance. Accordingly, the NAR model is recommended as the optimal choice for long-term traffic prediction. Implementing these models with optimal design will enhance long-term traffic volume forecasting, supporting sustainable transportation and improving intelligent highway operation systems. Full article
Show Figures

Figure 1

30 pages, 16086 KB  
Article
Conjugate Study on Thermal–Hydraulic Performance of Topology-Optimized Lattice-Filled Cooling Channel for Thermal Management of Solid-Oxide Fuel Cells
by Kirttayoth Yeranee, Yuli Cheng and Yu Rao
Energies 2025, 18(22), 6001; https://doi.org/10.3390/en18226001 - 15 Nov 2025
Viewed by 606
Abstract
Integrated additional cooling channels offer precise thermal management for solid-oxide fuel cells (SOFCs), mitigating temperature gradients. This research studies the thermal–hydraulic performance of cooling channels integrated between SOFC interconnectors, including a Diamond-type triply periodic minimal surface (TPMS), a conventional topology-optimized structure, and a [...] Read more.
Integrated additional cooling channels offer precise thermal management for solid-oxide fuel cells (SOFCs), mitigating temperature gradients. This research studies the thermal–hydraulic performance of cooling channels integrated between SOFC interconnectors, including a Diamond-type triply periodic minimal surface (TPMS), a conventional topology-optimized structure, and a topology-optimized lattice-filled structure. A conjugate heat transfer analysis is employed to investigate the influences of flow rate within the range of Reynolds numbers from 300 to 5000, and the effects of coolant type, including air and liquid metals, as well as the impacts of structural material. The results demonstrate that the topology-optimized lattice-filled structure, generating high turbulence mixing, achieves superior temperature uniformity, especially at high flow rates, despite having higher thermal resistance and pressure loss than the conventional topology-optimized design. The coolant types show the largest influence on thermal–hydraulic performance, and the use of liquid gallium in the conventional optimized design obtains the best temperature uniformity, yielding differences between the maximum and minimum temperatures of less than 5 K. Moreover, the higher-thermal-conductivity material improves temperature uniformity, even at low flow rates. Overall, the optimized-baffle designs in the conventional topology-optimized model, utilizing high-conductivity coolant and structural materials, could be the most suitable for thermal management of the SOFC. Full article
Show Figures

Figure 1

23 pages, 545 KB  
Article
Reconstruction of an Unknown Input Function in a Multi-Term Time-Fractional Diffusion Model Governed by the Fractional Laplacian
by Eman Alruwaili, Mustapha Benoudi, Abdeldjalil Chattouh and Hamed Ould Sidi
Fractal Fract. 2025, 9(11), 713; https://doi.org/10.3390/fractalfract9110713 - 5 Nov 2025
Viewed by 523
Abstract
In the present work, we aim to study the inverse problem of recovering an unknown spatial source term in a multi-term time-fractional diffusion equation involving the fractional Laplacian. The forward problem is first analyzed in appropriate fractional Sobolev spaces, establishing the existence, uniqueness, [...] Read more.
In the present work, we aim to study the inverse problem of recovering an unknown spatial source term in a multi-term time-fractional diffusion equation involving the fractional Laplacian. The forward problem is first analyzed in appropriate fractional Sobolev spaces, establishing the existence, uniqueness, and regularity of solutions. Exploiting the spectral representation of the solution and properties of multinomial Mittag–Leffler functions, we prove uniqueness and derive a stability estimate for the spatial source term from finaltime observations. The inverse problem is then formulated as a Tikhonov regularized optimization problem, for which existence, uniqueness, and strong convergence of the regularized minimizer are rigorously established. On the computational side, we propose an efficient reconstruction algorithm based on the conjugate gradient method, with temporal discretization via an L1-type scheme for Caputo derivatives and spatial discretization using a Galerkin approach adapted to the nonlocal fractional Laplacian. Numerical experiments confirm the accuracy and robustness of the proposed method in reconstructing the unknown source term. Full article
Show Figures

Figure 1

11 pages, 1046 KB  
Article
Neural Network-Based Prediction of Post-Operative Visual Outcomes Following Secondary Pediatric Intraocular Lens Implantation
by Andrew Farah, Raheem Remtulla and Robert K. Koenekoop
Children 2025, 12(10), 1413; https://doi.org/10.3390/children12101413 - 20 Oct 2025
Viewed by 623
Abstract
Objectives: To develop a proof-of-concept machine learning (ML) neural network model to predict post-operative visual outcomes in children with congenital cataracts undergoing intraocular lens (IOL) implantation, thereby guiding the optimal timing for IOL insertion. Determining the ideal timing and predicting outcomes for IOL [...] Read more.
Objectives: To develop a proof-of-concept machine learning (ML) neural network model to predict post-operative visual outcomes in children with congenital cataracts undergoing intraocular lens (IOL) implantation, thereby guiding the optimal timing for IOL insertion. Determining the ideal timing and predicting outcomes for IOL implantation in children remains clinically complex due to variability in eye development and measurement accuracy. Methods: Retrospective analysis using a publicly available dataset from 110 children diagnosed with congenital cataracts, who underwent IOL implantation at the Eye and ENT Hospital of Fudan University. A neural network model with a hidden layer of 10 nodes was developed in MATLAB 2024a using the scaled conjugate gradient algorithm. Input variables included demographic and clinical features; the target was achieving visual acuity greater than 20/40. Performance metrics were evaluated using cross-entropy loss, sensitivity, specificity, and accuracy. Results: Training completed after 14 epochs with the test set reaching the highest performance metrics: 88.2% accuracy, 88.9% sensitivity, and 87.5% specificity. ROC curve analysis showed AUC values of 0.942 (training), 0.920 (validation), 0.885 (test), and 0.917 (overall). Conclusions: The neural network effectively predicted post-operative visual outcomes, offering potential clinical utility in guiding IOL implantation decisions. Despite limitations in dataset diversity, this study lays the foundation for future development of personalized strategies in pediatric cataract care. Full article
(This article belongs to the Section Pediatric Ophthalmology)
Show Figures

Figure 1

21 pages, 7039 KB  
Article
Optimizing Film Cooling Hole Arrangement Along Conjugate Isotherms on Turbine Vanes: A Combined Numerical and Experimental Investigation
by Zhengyu Shi, Changxin Liu, Yuhao Jia, Xing He, Ge Xia and Yongbao Liu
Processes 2025, 13(10), 3344; https://doi.org/10.3390/pr13103344 - 18 Oct 2025
Viewed by 573
Abstract
This study introduces a method for positioning film holes guided by conjugate isotherms. The aerodynamic performance exhibited by the turbine blade was evaluated, and the cooling effectiveness of various film hole configurations were systematically compared through combined numerical simulations and cascade wind tunnel [...] Read more.
This study introduces a method for positioning film holes guided by conjugate isotherms. The aerodynamic performance exhibited by the turbine blade was evaluated, and the cooling effectiveness of various film hole configurations were systematically compared through combined numerical simulations and cascade wind tunnel experiments. Key influencing factors were investigated, and the underlying flow field structures and optimization mechanisms were elucidated. Numerical models reliably captured the aerodynamic and heat transfer characteristics, including pressure distribution and overall cooling effectiveness trends. Elevating the mass flow rate ratio was shown to enhance the overall cooling effectiveness across the blade surface. Modifications in film hole layout altered the cooling effectiveness along the blade region downstream of the holes and influenced cooling behavior in non-perforated areas near the endwall. While mid-blade cooling effectiveness showed minimal variation between Hole pattern #1 and #2, the latter exhibited superior overall cooling effectiveness at both the leading and trailing edges. Moreover, Hole pattern #2 diminished the temperature gradient between the suction and pressure sides, thereby augmenting blade structural integrity. Furthermore, Hole pattern #2 promoted a more even distribution of cooling effectiveness over the blade surface, leading to improved thermal protection. Therefore, strategic arrangement of film holes along conjugate isotherms serves as a vital approach for increasing gas turbine efficiency. Full article
(This article belongs to the Section Materials Processes)
Show Figures

Figure 1

19 pages, 839 KB  
Article
RIS-Assisted Backscatter V2I Communication System: Spectral-Energy Efficient Trade-Off
by Yi Dong, Peng Xu, Xiaoyu Lan, Yupeng Wang and Yufeng Li
Electronics 2025, 14(19), 3800; https://doi.org/10.3390/electronics14193800 - 25 Sep 2025
Viewed by 491
Abstract
In this paper, an energy efficiency (EE)–spectral efficiency (SE) trade-off scheme is investigated for the distributed reconfigurable intelligent surface (RIS)-assisted backscatter vehicle-to-infrastructure (V2I) communication system. Firstly, a multi-objective optimization framework balancing EE and SE is established using the linear weighting method, and the [...] Read more.
In this paper, an energy efficiency (EE)–spectral efficiency (SE) trade-off scheme is investigated for the distributed reconfigurable intelligent surface (RIS)-assisted backscatter vehicle-to-infrastructure (V2I) communication system. Firstly, a multi-objective optimization framework balancing EE and SE is established using the linear weighting method, and the quadratic transformation is utilized to recast the optimization problem as a strictly convex problem. Secondly, an alternating optimization (AO) approach is applied to partition the original problem into two independent subproblems of the BS and RIS beamforming, which are, respectively, designed by the weighted minimization mean-square error (WMMSE) and the Riemannian conjugate gradient (RCG) algorithms. Finally, according to the trade-off factor, the power reflection coefficients of backscatter devices (BDs) are dynamically optimized with the BS beamforming vectors and RIS phase shift matrices, considering their activation requirements and the vehicle minimum quality of service (QoS). The simulation results verify the effectiveness of the proposed algorithm in simultaneously improving SE and the EE in practical V2I applications through rational optimization of the BD power reflection coefficient. Full article
Show Figures

Figure 1

15 pages, 2933 KB  
Article
Development of Liposomal Formulations for 1,4-bis-L/L Methionine-Conjugated Mitoxantrone–Amino Acid Conjugates to Improve Pharmacokinetics and Therapeutic Efficacy
by Ting-Lun Yang, Tsai-Kun Li and Chin-Tin Chen
Pharmaceutics 2025, 17(9), 1226; https://doi.org/10.3390/pharmaceutics17091226 - 21 Sep 2025
Viewed by 700
Abstract
Background: 1,4-bis-L/L methionine–conjugated mitoxantrone–amino acid conjugate (L/LMet-MAC) inhibits topoisomerase IIα and enhances tumor cytotoxicity, but its short half-life limits therapeutic application. Objective: To improve the pharmacokinetics and antitumor efficacy of L/LMet-MAC through liposomal encapsulation. Methods: PEGylated DSPC liposomes containing EPG or prepared via [...] Read more.
Background: 1,4-bis-L/L methionine–conjugated mitoxantrone–amino acid conjugate (L/LMet-MAC) inhibits topoisomerase IIα and enhances tumor cytotoxicity, but its short half-life limits therapeutic application. Objective: To improve the pharmacokinetics and antitumor efficacy of L/LMet-MAC through liposomal encapsulation. Methods: PEGylated DSPC liposomes containing EPG or prepared via the ammonium sulfate gradient method were employed to encapsulate L/LMet-MAC. Encapsulation efficiency, drug-to-lipid ratio, and serum stability were assessed. Pharmacokinetics, antitumor efficacy, and systemic safety were further evaluated in vivo. Results: L/LMet-MAC encapsulated in PEGylated DSPC liposomes containing EPG or prepared using the ammonium sulfate gradient method has high encapsulation efficiency. Further studies show that PEGylated DSPC liposomes prepared with the ammonium sulfate gradient approach display an efficient D/L ratio and serum stability as well as improved pharmacokinetics and enhanced antitumor efficacy while mitigating the side effects of L/LMet-MAC. Conclusions: PEGylated DSPC liposomes prepared using an ammonium sulfate gradient showed favorable performance for delivering L/LMet-MAC. Full article
Show Figures

Graphical abstract

16 pages, 991 KB  
Article
A Variational Optimization Method for Solving Two Dimensional Magnetotelluric Inverse Problems
by Aigerim M. Tleulesova, Nurlan M. Temirbekov, Moldir N. Dauletbay, Almas N. Temirbekov, Zhaniya G. Turlybek, Zhansaya S. Tugenbayeva and Syrym E. Kasenov
Mathematics 2025, 13(18), 2989; https://doi.org/10.3390/math13182989 - 16 Sep 2025
Viewed by 596
Abstract
This article addresses a two-dimensional inverse problem of magnetotelluric sounding under the assumption of E-polarized electromagnetic fields. The main focus is on the construction of a forward numerical model based on the Helmholtz equation with a complex coefficient, and the recovery of electrical [...] Read more.
This article addresses a two-dimensional inverse problem of magnetotelluric sounding under the assumption of E-polarized electromagnetic fields. The main focus is on the construction of a forward numerical model based on the Helmholtz equation with a complex coefficient, and the recovery of electrical conductivity from boundary measurements. The second-order finite difference method is employed for numerical simulation, providing stable approximations of both the direct and the conjugate problems. The inverse problem is formulated as a minimization of a data misfit functional, and solved using Nesterov’s accelerated gradient descent method, which ensures fast convergence and robustness to noise. Numerical experiments are presented for a synthetic model featuring a smooth background conductivity and a localized anomaly. Comparison between the exact and reconstructed solutions demonstrates the high accuracy and efficiency of the proposed algorithm. The developed approach can serve as a foundation for constructing practical inversion schemes in geophysical exploration problems. Full article
Show Figures

Figure 1

25 pages, 11849 KB  
Article
A Numerical Investigation on the Influence of Film-Cooling Hole Inclination Angle on the Stress Field of Surrounding Thermal Barrier Coating
by Zhengyu Shi, Yuhao Jia, Xing He, Zegang Tian and Yongbao Liu
Materials 2025, 18(17), 4079; https://doi.org/10.3390/ma18174079 - 31 Aug 2025
Cited by 1 | Viewed by 725
Abstract
Thermal barrier coating (TBC) around film-cooling holes is a key failure location for turbine blade TBC. This study built a numerical model. The model used conjugate heat transfer (CHT) and sequential thermal-stress calculation methods. It analyzed the temperature and stress fields in the [...] Read more.
Thermal barrier coating (TBC) around film-cooling holes is a key failure location for turbine blade TBC. This study built a numerical model. The model used conjugate heat transfer (CHT) and sequential thermal-stress calculation methods. It analyzed the temperature and stress fields in the TBC around film-cooling holes. The holes had different inclination angles (30°, 45°, and 60°). It also explored the balance between cooling effectiveness and stress at these angles. Results show that increasing the film-cooling hole angle reduces the cooling film coverage area significantly. Cooling effectiveness becomes worse. The temperature field near the holes is complex. Sharp temperature gradients exist there. An inverse temperature gradient appeared in the top coat (TC) layer at the hole exit. Stress in the TBC was analyzed next. Analysis was conducted under rated operating conditions. Analysis was also completed after 500 h of creep under these conditions. Stress concentration around the holes is obvious. At room temperature, Mode I cracks easily form upstream of the holes. Mode II cracks easily form downstream. Under rated conditions, mixed-mode cracks (I + II) easily form downstream. The coating experiences larger stress at room temperature. This means that the coating is more likely to spall during cooling. Increasing the hole angle can reduce stress concentration. It can also lower the chance of crack formation. However, a larger angle increases the normal momentum of the cooling jet. This reduces film coverage. Therefore, after considering both cooling effectiveness and TBC failure, the 45° film-cooling hole is optimal. Full article
(This article belongs to the Section Manufacturing Processes and Systems)
Show Figures

Figure 1

Back to TopTop