Next Article in Journal
Application of Fractional Fourier Transform to Hologram Formation of a Moving Acoustic Source
Next Article in Special Issue
Dynamic Analysis of a Family of Iterative Methods with Fifth-Order Convergence
Previous Article in Journal
A Physics-Informed Neural Network Based on the Separation of Variables for Solving the Distributed-Order Time-Fractional Advection–Diffusion Equation
Previous Article in Special Issue
A High-Order Fractional Parallel Scheme for Efficient Eigenvalue Computation
 
 
Font Type:
Arial Georgia Verdana
Font Size:
Aa Aa Aa
Line Spacing:
Column Width:
Background:
Article

Reconstruction of an Unknown Input Function in a Multi-Term Time-Fractional Diffusion Model Governed by the Fractional Laplacian

by
Eman Alruwaili
1,*,
Mustapha Benoudi
2,
Abdeldjalil Chattouh
3,4 and
Hamed Ould Sidi
5
1
Department of Mathematics, College of Science, Northern Border University, Arar 91431, Saudi Arabia
2
MACS Laboratory, Department of Mathematics, Moulay Ismail University, Meknes 50000, Morocco
3
Department of Mathematics, Abbes Laghrour University of Khenchela, Khencheka 40004, Algeria
4
Laboratoire de Mathématiques et d’Intelligence Artificielle, Abbes Laghrour University of Khenchela, Khencheka 40004, Algeria
5
Département des Méthodes Quantitatives et Informatiques, Institut Supérieur de Comptabilité et d’Administration des Entreprises—ISCAE, Nouakchott 6093, Mauritania
*
Author to whom correspondence should be addressed.
Fractal Fract. 2025, 9(11), 713; https://doi.org/10.3390/fractalfract9110713
Submission received: 25 September 2025 / Revised: 26 October 2025 / Accepted: 30 October 2025 / Published: 5 November 2025

Abstract

In the present work, we aim to study the inverse problem of recovering an unknown spatial source term in a multi-term time-fractional diffusion equation involving the fractional Laplacian. The forward problem is first analyzed in appropriate fractional Sobolev spaces, establishing the existence, uniqueness, and regularity of solutions. Exploiting the spectral representation of the solution and properties of multinomial Mittag–Leffler functions, we prove uniqueness and derive a stability estimate for the spatial source term from finaltime observations. The inverse problem is then formulated as a Tikhonov regularized optimization problem, for which existence, uniqueness, and strong convergence of the regularized minimizer are rigorously established. On the computational side, we propose an efficient reconstruction algorithm based on the conjugate gradient method, with temporal discretization via an L1-type scheme for Caputo derivatives and spatial discretization using a Galerkin approach adapted to the nonlocal fractional Laplacian. Numerical experiments confirm the accuracy and robustness of the proposed method in reconstructing the unknown source term.

1. Introduction

In mathematical modeling of physical phenomena, the objective of a direct problem is to predict the future behavior of a system or the evolution of a process by knowing both its present state (initial data, boundary conditions, coefficients describe physical properties, etc.) and the physicochemical laws behind the model. Conversely, an inverse problem aims to determine the present state of the system by identifying unknown physical parameters from partial knowledge of the direct problem. Thus, one might define the inverse problem as the problem of determining causes of a desired or observed effect (see [1,2]) for an overview of this topic).
Over the past decade, inverse problems for models with fractional features have attracted considerable attention, particularly those concerned with the identification of unknown source terms. The rapidly expanding literature on inverse problems for fractional models has been driven by the dual motivation that arises from both theoretical considerations and practical needs. The present work is concerned with the analysis of a diffusion equation that involves multi-term fractional time derivatives in combination with the fractional Laplacian, with particular emphasis on the associated inverse source problem.
Let Ω R m be a bounded domain with sufficiently smooth boundary Ω , and let T > 0 denote a fixed final time. In this work, we consider the following problem
j = 1 n b j C D t α j Φ ( x , t ) = ( Δ ) s Φ ( x , t ) + p ( x ) q ( t ) , ( x , t ) Ω × ( 0 , T ) , Φ ( ξ , t ) = 0 , Ω × ( 0 , T ) , Φ ( x , 0 ) = Φ 0 ( x ) , x Ω .
where 0 < α 1 α n < 1 are the orders of the fractional derivatives, and b j > 0 , j = 1 , 2 , , n . The left-sided Caputo fractional derivative D t α j C is defined
D t α j C Φ ( x , t ) : = 1 Γ ( 1 α j ) 0 t Φ ( x , s ) s ( t s ) α j d s , 0 < t < T ,
where Γ ( · ) denotes the Gamma function. Furthermore, the fractional Laplacian operator of order s ( 0 , 1 ) is defined as follows:
( Δ ) s Φ ( x , t ) = C m , s P . V R m Φ ( x , t ) Φ ( y , t ) | x y | 2 s + m d y ,
where C m , s is a normalization constant, given as follows:
C m , s = 4 s s Γ ( s + m 2 ) π m 2 Γ ( 1 s ) ,
and “P.V.” is the principal value of the integral, defined as follows:
P . V R m Φ ( x , t ) Φ ( y , t ) | x y | 2 s + m d y = lim ε 0 { y R m , | y x | > ε } Φ ( x , t ) Φ ( y , t ) | x y | 2 s + m d y ,
here, Φ 0 denotes the initial state of the system, while p ( x ) and q ( t ) are source terms depending only on the spatial and temporal variables, respectively. We assume that Φ 0 and q ( t ) are known and sufficiently regular, in a sense to be specified later. The main objective is to address the inverse problem of identifying the unknown space-dependent source term p ( x ) from additional information on solution Φ in the form of a final-time observation, namely
Z ( x ) = Φ ( x , T ) , x Ω ,
where Z L 2 ( Ω ) is a given function, typically obtained through experimental measurements.
Classical Brownian diffusion is typically associated with a variance that increases linearly in time and with a Gaussian law for the displacement distribution. In contrast, numerous physical and biological processes display diffusion behaviors where the variance evolves in a non-linear growth time of the variance and/or non-Gaussian profile of the displacement law. Such behaviors are generally referred to as anomalous diffusion. This phenomenon has been widely observed across complex systems, ranging from turbulent flows [3] and plasma transport [4] to the dynamics of soft matter, such as the cytoplasm [5], cell membranes, nuclei [6], and neurophysiological processes [7].
To accurately describe these processes, several mathematical frameworks have been developed, most of which generalize the standard diffusion equation by replacing local derivatives in time and/or space with non-local operators, particularly those involving fractional derivatives. In this way, the resulting models typically lead to evolution equations governed by fractional differential operators, most notably of the form
D t α j C u ( x , t ) + ( Δ ) s u ( x , t ) = f ( x , t ) , ( x , t ) Ω × ( 0 , T ] ,
which is the single-term counterpart of (1) obtained by taking n = 1 and b 1 = 1 . This fractional diffusion model has been widely recognized as a valuable model for describing dynamics governed by anomalous diffusion, where the fractional Laplacian ( Δ ) s of order 0 < s < 1 characterizes non-local spatial interactions and Lévy-type jump processes [8], while the fractional-time derivative D t α C reflects memory effects and subdiffusive particle trapping [9].
Motivated by the effectiveness of fractional models in describing diverse physical processes, research over the last twenty years has attracted considerable attention in the areas of numerical approximation, algorithmic design, and rigorous analysis of subdiffusion equations. More recently, this interest has expanded to include related topics such as optimal control and inverse problems. With this in mind, the literature on inverse fractional problems is vast. Here, we limit our discussion to a short survey of the works that are closely connected to the present investigation. Some previous studies have used and developed regularization methods to address the inverse problems of the source identification problem for different kinds of fractional evolution systems [10,11,12,13,14,15]. Murio et al. [16] proposed a regularization method to estimate unknown sources from discrete data. Nakagawa et al. [17] demonstrated that such problems could be uniquely solved from partial space-time measurements. In another context, Anderle et al. [18] applied inverse techniques to trace pollution sources using the heat equation, while El Badia et al. [19] devised a method to detect electrostatic dipoles in the brain. Other studies conducted by Tuan [20] demonstrated that in order to uniquely recover the diffusion coefficient of a one-dimensional fractional diffusion equation, it is essential to choose an appropriate initial distribution based solely on finite boundary measurements. Furthermore, Jin et al. [21] investigated an inverse problem aimed at reconstructing a spatially varying potential term in a one-dimensional time-fractional diffusion equation using flux data.
More recent work by Bensalah et al. [22] tackled inverse source identification for space-time fractional diffusion equations, aiming to reconstruct the spatial component of the source using incomplete data. Similarly, Sidi et al. [14] addressed this problem using final-time observations, applying a hybrid regularization strategy that combines iterative nonstationary and classical Tikhonov techniques. Ali et al. [23] examined two distinct inverse problems related to fractional diffusion: identifying a space-dependent and a time-dependent source term. Their analysis leverages a biorthogonal system based on Mittag–Leffler functions derived from the spectral properties of the fractional system and its adjoint. They establish key results on existence, uniqueness, and stability for the space-dependent case while proving existence and uniqueness for the time-dependent case, along with various special scenarios. Recently, Li et al. [24] investigated an inverse problem related to diffusion equations involving multiple fractional time derivatives. They established the uniqueness of recovering the number of fractional derivative terms, their corresponding orders, and the spatially dependent coefficients. Recent contributions to the theory of inverse fractional differential equations include the development of regularization techniques for inverse pseudo-parabolic models with perturbations [25] and uniqueness results for diffusion equations with unknown source terms [26]. In particular, inverse problems aimed at determining time-dependent parameters or source terms in integer-order parabolic systems have been the subject of extensive research. Several works have applied a completely different approach using the Rothe method to tackle inverse identification problems of time-dependent source terms (see e.g., [27]).
The introduction of the multi-term model (1) is primarily motivated by the need for greater efficiency and higher accuracy in capturing anomalous diffusion for complex systems with multiple relaxation mechanisms acting at different temporal scales. Each fractional order α j corresponds to a distinct memory kernel, and the associated coefficient b j quantifies its relative contribution. From a physical and engineering perspective, such operators capture the superposition of heterogeneous dissipative processes, reflecting the presence of multiple relaxation pathways in complex materials or layered media. Consequently, multi-term time-fractional models offer a more accurate description of multi-scale dynamics compared to its single-term counterparts. For instance, in [28], a two-term fractional diffusion equation was suggested to represent solute transport, where the inclusion of two distinct fractional orders allows one to distinguish between mobile and immobile phases of the solute. Similarly, kinetic equations involving two fractional derivatives of different orders emerge naturally in the study of subdiffusive dynamics within velocity fields [29]. Moreover, such multi-term structures are also relevant in modeling wave-like behaviors [30].
Existing work in the literature on inverse problems for single-term time-fractional diffusion equations, whether involving the fractional Laplacian or not, has explored this problem from multiple perspectives, ranging from uniqueness and stability analysis to numerical. However, to the best knowledge of the authors, rigorous works devoted to inverse identification problems for multi-terms space-time fractional problems are still rather limited.
On this basis, and motivated by the lack of studies in this direction, the present work is devoted to a systematic investigation of the inverse reconstruction problem for the unknown source term p ( x ) in the boundary value problem (1) given a priori information on the solution in the form of a final-time measurement (4). This study makes two key contributions.
First, on the theoretical side, this work gives complete well-posedness by proving the well-posedness of the forward problem in some suitable functional framework. Furthermore, we establish the uniqueness of the spatial source term by exploiting the spectral representation of the solution together with the properties of the multi-nomial Mittag–Leffler kernels, and we also derive a stability result for the inverse reconstruction. In addition, the inverse problem is rigorously reformulated as a Tikhonov regularized minimization problem for whic, we prove existence and uniqueness of the regularized minimizer and show strong convergence of minimizer as the data perturbation vanishes. Secondly, for numerical reconstruction, we design and implement an efficient reconstruction algorithm based on the conjugate-gradient method for the Tikhonov functional. The forward and adjoint problems are discretized with an L 1 -type finite difference scheme in time and a Galerkin spatial discretization that accommodates the nonlocal bilinear form associated with ( Δ ) s .
The remainder of this paper is structured as follows. In Section 2, we present the necessary preliminaries and establish the existence and uniqueness of a weak solution to the direct problem. Section 3 addresses the inverse source problem: we prove its uniqueness, derive a stability estimate, and reformulate it within the Tikhonov regularization framework. In Section 4, we describe the conjugate gradient method for solving the regularized problem. Section 5 provides numerical results for five representative examples, illustrating the performance of the proposed approach. This paper concludes with remarks and perspectives in the final section.

2. Preliminary

In this section, we give some necessary Definitions that will be used in the next part of the paper.
Definition 1 
([26]). The Riemann–Liouville fractional integral of order α is defined as follows:
I 0 α Ψ ( t ) = 1 Γ ( α ) 0 t ( t ν ) α 1 Ψ ( ν ) d ν .
Definition 2 
([26]). For all n 1 α < n , the Caputo fractional derivative of order α is expressed as follows:
D t α C Ψ ( t ) = I 0 n α Ψ ( n ) ( t ) = 1 Γ ( n α ) 0 t ( t ν ) n 1 α Ψ ( n ) ( ν ) d ν .
Definition 3 
([26]). For any m 1 β < m , the Riemann–Liouville fractional derivative of order β is defined as follows:
D t β RL Ψ ( t ) = d d t I 0 m β Ψ ( t ) = 1 Γ ( m β ) d m d t m 0 t ( t q ) m 1 β Ψ ( q ) d q .
We introduce some basic notations and recall key definitions. Let L 2 ( Ω ) denote the usual Lebesgue space with inner product ( · , · ) , and let H 0 1 ( Ω ) , H 1 ( Ω ) denote the standard Sobolev spaces. For s ( 0 , 1 ) , H s ( 0 , T ) denotes the fractional Sobolev space in time (see [31]).
The fractional Sobolev space H 0 s ( Ω ¯ ) is defined by
H 0 s ( Ω ¯ ) : = Φ W s , 2 ( R m ) : Φ = 0 a . e . in R m Ω ,
with norm
Φ H 0 s ( Ω ) : = R m R m | Φ ( x ) Φ ( y ) | 2 | x y | m + 2 s d x d y 1 / 2 .
The Sobolev space W s , 2 ( R m ) can equivalently be defined via Fourier transform as
W s , 2 ( R m ) : = Φ L 2 ( R m ) : ( 1 + | ξ | 2 ) s / 2 F Φ ( ξ ) L 2 ( R m ) ,
where F denotes the Fourier transform.
On a bounded domain Ω , the fractional Sobolev space H s ( Ω ) is
H s ( Ω ) : = Φ L 2 ( Ω ) : | Φ | H s ( Ω ) < , | Φ | H s ( Ω ) : = Ω Ω | Φ ( x ) Φ ( y ) | 2 | x y | m + 2 s d x d y 1 / 2 ,
with norm · H s ( Ω ) : = ( · L 2 ( Ω ) 2 + | · | H s ( Ω ) 2 ) 1 / 2 .
We also consider the subspace
H ˜ s ( Ω ) : = Φ H s ( R m ) : supp Φ Ω ¯ .
The bilinear form associated with H s ( Ω ) is
B s ( Φ , Ψ ) : = C m , s ( R m × R m ) ( Ω c × Ω c ) ( Φ ( x ) Φ ( y ) ) ( Ψ ( x ) Ψ ( y ) ) | x y | m + 2 s d x d y .
Proposition 1 
([22]). Let Φ , Ψ : R m R be smooth. Then,
Ω Ψ ( x ) ( Δ ) s Φ ( x ) d x = 1 2 B s ( Φ , Ψ ) Ω c Ψ ( x ) N s Φ ( x ) d x ,
where N s denotes the nonlocal Neumann operator associated with ( Δ ) s :
N s Φ ( x ) : = C m , s Ω Φ ( x ) Φ ( y ) | x y | m + 2 s d y , x Ω c .
The fractional integration by parts identity serves as a link between the two fractional derivatives, Caputo and Riemann–Liouville. This relation not only highlights the deep interconnection between these two central operators in fractional calculus but also clarifies the circumstances under which one formulation can be transformed into the other. In particular, the formula provides a rigorous framework for switching between initial condition-friendly models (often associated with the Caputo derivative) and more analytically tractable formulations (arising from the Riemann–Liouville definition).
Such an equivalence is of great importance in both theory and applications: it ensures consistency among different approaches, facilitates the derivation of weak formulations for fractional differential equations, and underpins the development of numerical methods that exploit either definition depending on stability and implementation needs. In this sense, the integration by parts formula is not merely a technical tool but a structural result that enriches the entire framework of fractional calculus.
Proposition 2 
([32]). Let α ( 0 , 1 ) . Let Φ 1 and Φ 2 be two absolutely integrable functions. Then, we have
0 T Φ 2 ( t ) D t α C Φ 1 ( t ) d t = 0 T Φ 1 ( t ) D t α RL Φ 2 ( t ) d t + Φ 1 ( t ) I t 1 α Φ 2 ( t ) t = 0 t = T .
The multinomial Mittag–Leffler function is a generalization of the classical Mittag–Leffler function to multiple variables, playing a central role in the analysis and solution of multi-term fractional differential equations (see [33]). Let us consider
γ R , θ = ( θ 1 , θ 2 , · , θ n ) R n , z = ( z 1 , z 2 , , z n ) R n ,
Then, we define multinomial Mittag–Leffler function as follows:
E θ , γ ( z ) : = l = 0 l 1 + + l n = l l ! l 1 ! l n ! j = 1 n z j l j Γ γ + j = 1 n θ j l j ,
where the non-negative integers γ R and { l j } j = 1 n denote the multinomial coefficient. For the case of n = 1 , the multinomial Mittag–Leffler function reduces to the classical two-parameter Mittag–Leffler function:
E θ , γ ( z ) = l = 0 z l Γ ( γ + l θ ) , z C .
For convenience in subsequent use, we introduce the following shorthand notation:
E α , β ( m ) ( t ) : = E ( α 1 , α 1 α 2 , , α 1 α n ) , β λ 1 t α 1 , t α 1 α 2 , , t α 1 α n , t > 0 .
Next, the following lemmas provide some essential properties of E θ , γ ( z ) (for detailed proofs, the reader is referred to [34], pages 394–396).
Lemma 1. 
Let α 1 > α 2 > > α n > 0 . Then,
d d t t α 1 E α , 1 + α 1 ( m ) ( t ) = t α 1 1 E α , α 1 ( m ) ( t ) , t > 0 .
Lemma 2. 
Let β > 0 and 1 > α 1 > > α n > 0 . Suppose that the angular condition
α 1 π 2 < μ < α 1 π , μ | arg ( z 1 ) | π ,
holds, and that there exists a constant K > 0 such that Re ( z j ) K for all j = 2 , , n . Then, the following inequality holds:
E α , β ( z ) C 1 + | z 1 | ,
where C > 0 is a positive constant depending only on μ , K , α j ( j = 1 , , n ) and β.
Definition 4. 
A function Φ C ( ( 0 , T ) ; H 0 s ( Ω ) ) C 1 ( [ 0 , T ] ; L 2 ( Ω ) ) is said to be a mild solution of Equation (1) if Φ ( 0 ) = Φ 0 such that
Φ ( x , t ) = j = 1 n S α j ( t ) Φ 0 ( x ) + p ( x ) j = 1 n 0 t ( t r ) α j 1 K α j ( t r ) q ( r ) d r ,
where
S α j ( t ) = 0 M α j ( θ ) C ( t α j θ ) d θ , a n d K α j ( t ) = 0 α j θ M α j ( θ ) S ( t α j θ ) d θ .
The M α j ( θ ) function is given by:
M α j ( θ ) = 1 α j θ α j 1 Ψ α j θ 1 α j , Ψ α j ( θ ) = 1 π n = 1 ( 1 ) n 1 θ n α j 1 Γ ( n α j + 1 ) n ! sin ( n π α j ) ,
for θ ( 0 , ) , and M α j ( · ) is the Mainardi’s Wright-type function defined on ( 0 , ) such that:
M α j ( θ ) 0 for all θ ( 0 , ) and 0 M α j ( θ ) d θ = 1 .
Theorem 1 
([22]). Let 0 < α j , s < 1 , p L 2 ( Ω ) and q L 2 ( 0 , T ) be given. Then, Problem (1) admits a unique solution Φ L 2 ( 0 , T ; H s ( Ω ) H s + γ ( Ω ) ) such that D t α j C Φ L 2 ( Ω × ( 0 , T ) ) . Furthermore, there exists a constant C > 0 such that
D t α j C Φ L 2 ( Ω × ( 0 , T ) ) + Φ L 2 ( 0 , T ; H s + γ ( Ω ) ) C p L 2 ( Ω ) ,
where γ : = min { s , 1 / 2 ε } with ε > 0 arbitrarily small.
Remark 1. 
The operator ( Δ ) s has a complete set of eigenfunctions ( φ n ) associated with the eigenvalues ( λ n ) . Then, the mild solution of System (1) is given by
Φ ( x , t ) = n = 0 1 λ n t α 1 E α , 1 + α 1 ( n ) ( t ) ϕ n φ n ( x ) + n = 0 R n ( t ) p n φ n ( x ) ,
where
R n ( t ) = 0 t q ( s ) ( t s ) α 1 1 E α , α 1 ( n ) ( t s ) d s ,
and the coefficients are defined as follows:
ϕ n = ( ϕ , φ n ) , p n = ( p , φ n ) .

3. Stability Study and Regularization

This section is dedicated to addressing the second objective of this study, which involves developing an efficient numerical approach for reconstructing the source term p ( x ) in Problem (1), which is carried out using data from the final observations (4).
A commonly adopted method in the literature involves transforming the inverse ST problem into a minimization problem, such as a least squares formulation. To implement this approach, we consider an initial estimate p L 2 ( Ω ) and denote by Φ [ p ] the solution of the following problem:
j = 1 n D t α j C Φ [ p ] ( x , t ) = ( Δ ) s Φ [ p ] ( x , t ) + p ( x ) q ( t ) , ( x , t ) Ω × ( 0 , T ) , Φ [ p ] ( ξ , t ) = 0 ( ξ , t ) Ω × ( 0 , T ) , Φ [ p ] ( x , 0 ) = 0 , x Ω .
Assume that the final measured data Z ( x ) = Φ ( x , T ) is known. The inverse problem to solve is then to determine p L 2 ( Ω ) such that the corresponding potential Φ [ h ] ( x , T ) closely approximates the final measured data Z within the domain Ω .
By utilizing the available final-time data Z, an estimation of the true space-dependent function p can be achieved. However, in real-world applications, the collected data Z is typically imprecise due to the presence of measurement noise. To account for this uncertainty, we define Z ε as the observed data at the final time, which is assumed to fulfill the following condition:
Z ( x ) Z ε ( x ) L 2 ( Ω ) ε ,
where ε > 0 is the amplitude of noise in the data.
Let us define the forward operator A : L 2 ( Ω ) L 2 ( Ω ) by
A ( p ) = Φ [ p ] ( · , T ) ,
where Φ [ p ] ( · , T ) denotes the solution of (1) at the final time T corresponding to a spatial source p ( x ) . In this notation, the inverse problem can be equivalently formulated as the operator equation
Find : p L 2 ( Ω ) , satisfying A ( p ) = Z ,
It is worth noting that the linear operator A is self-adjoint compact. Therefore, the inverse problem under consideration is ill-posed in the sense of Hadamard, since equations with compact operators are ill-posed (for more details, we refer the readers to [35]). In particular, the compactness of A implies that small perturbations or noise in data Z can produce large deviations in the reconstructed source p, and the solution does not depend continuously on the data. To address this instability, a regularized solution must be considered.
In this work, we use the least squares approach in conjunction with Tikhonov regularization to tackle this numerical instability problem in the following ways: Reduce the functional
( I P ) Find p * L 2 ( Ω ) such that Q η ( p * ) = min p L 2 ( Ω ) Q η ( p ) ,
with
Q η ( p ) = 1 2 Ω Φ [ p ] ( x , T ) Z ε ( x ) 2 d x + η 2 Ω p 2 ( x ) d x
where η is the Tikhonov regularization parameter. Under this consideration, a regularized solution for the inverse problem is obtained as the minimizer of the variational problem (16).
For the minimizer of the problem (16) we have the following result.
Theorem 2. 
For any η > 0 , the optimization problem (16) has a unique regularized solution.
Proof. 
It is obvious that Q η ( p ) 0 for any p L 2 ( Ω ) ; therefore, it has the greatest lower bound p * . The definition of infimum affirms the existence of minimizing sequence ( p k ) k N from L 2 ( Ω ) such that
inf p L 2 ( Ω ) Q η ( p ) < Q η ( p k ) inf p L 2 ( Ω ) Q η ( p ) + 1 k k N .
From the structure of Q η , it follows that ( p k ) k N is uniformly bounded; that is,
p k L 2 ( Ω ) C , k N .
As a result, there exists an element p * L 2 ( Ω ) and a subsequence of ( p k ) k N , still denoted by the same symbol, such that
p k p * in L 2 ( Ω ) as k .
The semi-continuity of L 2 and the weak convergence of p k p * in L 2 ( Ω ) and
Φ [ p k ] ( . , T ) Φ [ p * ] ( . , T ) in L 2 ( Ω ) as k ,
give us
Φ [ p * ] ( · , T ) Z ε L 2 ( Ω ) 2 lim inf k Φ [ p k ] ( · , T ) Z ε L 2 ( Ω ) 2 ,
and
p * L 2 ( Ω ) 2 lim inf k p k L 2 ( Ω ) 2 .
Thus,
Q η ( p * ) lim inf k Φ [ p k ] ( · , T ) Z ε L 2 ( Ω ) 2 + η lim inf k p k L 2 ( Ω ) 2 .
Consequently, the existence of the minimizer for Problem (16) is obtained from (17) by letting k , namely,
Q η ( p * ) lim inf k Q η ( p k ) = inf p L 2 ( Ω ) Q η ( p ) Q η ( p * ) ,
and the uniqueness of p * is guaranteed by the convexity of Q η .    □
The primary goal of this paragraph is to examine the uniqueness of the solution to our inverse problem. Specifically, we demonstrate that the space-dependent source p * can be uniquely identified using the final time measurement Φ ( x , T ) .
Theorem 3. 
Let q C ( 0 , T ) be a non-zero non-negative function. We consider Φ with = 1 , 2 to be the solutions of the following system:
j = 1 n D t α j C Φ [ p ] ( x , t ) = ( Δ ) s Φ [ p ] ( x , t ) + p ( x ) q ( t ) , ( x , t ) Ω × ( 0 , T ) , Φ [ p ] ( ξ , t ) = 0 ( ξ , t ) Ω × ( 0 , T ) , Φ [ p ] ( x , 0 ) = 0 , x Ω .
where p * L 2 ( Ω ) such that
Φ 1 ( x , T ) = Φ 2 ( x , T ) on Ω .
Then, we have
p 1 * = p 2 * in L 2 ( Ω ) .
Proof. 
For Φ 1 ( x , t ) and Φ 2 ( x , t ) , the representation becomes:
Φ 1 [ p 1 * ] ( x , t ) = p 1 * ( x ) j = 1 n 0 t ( t r ) α j 1 K α j ( t r ) q ( r ) d r ,
and
Φ 2 [ p 2 * ] ( x , t ) = p 2 * ( x ) j = 1 n 0 t ( t r ) α j 1 K α j ( t r ) q ( r ) d r ,
From Equation (19), it follows that:
p 1 * ( x ) j = 1 n 0 t ( t r ) α j 1 K α j ( t r ) q ( r ) d r = p 2 * ( x ) j = 1 n 0 t ( t r ) α j 1 K α j ( t r ) q ( r ) d r .
This gives:
p 1 * ( x ) p 2 * ( x ) j = 1 n 0 t ( t r ) α j 1 K α j ( t r ) q ( r ) d r , = 0 ,
The family of functions { ( t ) α j 1 K α j ( t ) } t 0 is not equal to zero on L 2 ( 0 , T ) . Then, we conclude that
p 1 * p 2 * = 0 .
   □
The second part of this section addresses the issue of stability. We analyze how the minimization problem I P responds to small perturbations in the observation data. To start, let { Z k ε } k 1 be a sequence such that
{ Z k ε } k 1 Z ε , in L 2 ( Ω ) as k ,
and we denote by { p k } the sequence of minimizers for the following problems:
min p L 2 ( Ω ) Q k ( p ) , Q k ( p ) : = Φ [ p ] ( x , T ) Z k ε L 2 ( Ω ) 2 + η p L 2 ( Ω ) 2 , k = 1 , 2 ,
Theorem 4. 
The sequence { p k } k 1 converges strongly in L 2 ( Ω ) to p * , i.e.,
p k p * L 2 ( Ω ) 0 as k ,
with p * being the unique solution of the minimization problem ( I P ) .
Proof. 
Lemma 3.1 (see [22]) ensures that a sequence { p k } k 1 exists, and for any k 1 , we have:
Q k ( p k ) Q k ( p ) , p L 2 ( Ω ) .
Thus, { p k } k 1 is uniformly bounded. Accordingly to Proposition 3.2 (see [22]), there exists a subsequence of { p k } k 1 , still indicated by { p k } , such that:
p k p # in L 2 ( Ω ) as k .
The following can be obtained by applying the same method as in the proof of Theorem 3.5 (see [22]):
Φ [ p k ] ( x , T ) Φ [ p # ] ( x , T ) in L 2 ( Ω ) as k .
Using condition (22), one can obtain:
Φ [ p k ] Z k ε Φ [ p # ] Z ε in L 2 ( Ω ) as k .
Therefore, we have the following result:
Φ [ P # ] Z ε L 2 ( Ω ) 2 lim inf k + Φ [ p k ] Z k ε L 2 ( Ω ) 2 .
Employing Proposition 3.4 (see [22]), we get
Q ( p # ) = Φ [ p # ] Z ε L 2 ( Ω ) 2 + η p # L 2 ( Ω ) 2 Q ( p ) , p L 2 ( Ω ) .
This suggests that the unique solution p * found in the preceding Theorem coincides with p # .
We use contradiction to demonstrate the strong convergence of { p k } k 1 . Assuming that is true, we know that { p k L 2 ( Ω ) } k 1 does not converge to p * L 2 ( Ω ) . Since p k p * in L 2 ( Ω ) , based on the weak lower semi-continuity of the norm, we have
p * L 2 ( Ω ) lim inf k p k L 2 ( Ω ) < lim sup k p k L 2 ( Ω ) ,
and there exists a subsequence { p k } k 1 such that
lim sup k p k L 2 ( Ω ) = lim k p k L 2 ( Ω ) .
Making use of the minimizing sequence’s characterization { p k } k 1 and Equation (26), one may obtain the following:
Φ [ p * ] Z ε L 2 ( Ω ) 2 + η p * L 2 ( Ω ) 2 = lim inf k Φ [ p k ] Z k ε L 2 ( Ω ) 2 + η p k L 2 ( Ω ) 2 = lim inf k Φ [ p k ] Z k ε L 2 ( Ω ) 2 + η lim sup k p k L 2 ( Ω ) 2 .
Based on Inequality (27), one can deduce
Φ [ p * ] Z ε L 2 ( Ω ) 2 = lim inf k Φ [ p k ] Z k ε L 2 ( Ω ) 2 + η ( lim sup k p k L 2 ( Ω ) ) 2 p * L 2 ( Ω ) 2 > lim inf k Φ [ p k ] Z k ε L 2 ( Ω ) 2 ,
which is in contradiction with Relation (25).    □
The Fréchet differentiability of the functional p Q ( p ) is analyzed, as it plays a key role in developing the method for determining the minimizer of the optimization problem (16). It is worth mentioning that the associated optimality system, which consists of the state, adjoint, and gradient equations, can be derived using the Lagrangian approach (see, e.g., [36,37]) by considering the following Lagrangian functional:
L ( Φ , ψ , p ) = 1 2 Ω | Φ ( x , T ) Z ε ( x ) | 2 d x + η 2 p 2 d x + 0 T Ω ψ ( x , t ) j = 1 n b j D t α j C Φ + ( Δ ) s Φ p q ( t ) d x d t .
First, we derive the adjoint system corresponding to (1) from (28) by taking the variation of the Lagrangian functional with respect to the state variable Φ and applying the fractional integration-by-parts formula in time, which results in a backward fractional parabolic equation.
j = 1 n D t α j RL J ( x , t ) = ( Δ ) s J ( x , t ) , ( x , t ) Ω × ( 0 , T ] , J = 0 , ( x , t ) Ω × ( 0 , T ) , lim t T j = 1 n I t 1 α j J ( x , t ) = Φ [ p ] ( x , T ) Z ε ( x ) , x Ω .
In the following Theorem, we establish the Fréchet differentiability of Q and derive an explicit expression for its gradient.
Theorem 5. 
The objective function Q to be minimized is Fréchet differentiable, and its gradient is
Q ( p ) = 0 T q ( t ) J [ p ] ( x , t ) d t + η p ( x ) ,
where J [ p ] is the solution to Adjoint Problem (29).
Proof. 
Taking a small variation δ p L ( Ω ) of p, we have
Q ( p + δ p ) Q ( p ) = Φ [ p + δ h ] ( x , T ) Z ε ( . ) L 2 ( Ω ) 2 Φ [ p ] ( x , T ) Z ε ( . ) L 2 ( Ω ) 2 + η p + δ p L 2 ( Ω ) 2 η p L 2 ( Ω ) 2 + o δ p L 2 ( Ω ) = 2 Ω Φ [ p ] ( x , T ) Z ε ( . ) Φ [ δ p ] ( x , T ) d x + 2 η Ω p δ p d x + o δ p L 2 ( Ω ) .
where Φ [ δ p ] is the solution to the following problem:
j = 0 n D t α j C Φ [ δ p ] + ( Δ ) s Φ [ δ p ] = δ p ( x ) q ( t ) in Ω × [ 0 , T ] , Φ [ δ p ] = 0 in Ω × [ 0 , T ] , Φ [ δ p ] ( x , 0 ) = 0 in Ω .
The variational formulation of Equations (29) and (32) gives the following:
0 T Ω j = 1 n D t α j C Φ [ δ p ] ψ d x d t + 0 T B s ( Φ [ δ p ] , ψ ) d t = 0 T Ω δ p ( x ) q ( t ) ψ ( x , t ) d x d t , ψ L 2 ( 0 , T ) ; H 0 s ( Ω ) .
Similarly,
0 T Ω j = 1 n D t α j RL J [ p ] ψ d x d t + 0 T B s ( J [ p ] , ψ ) d t = Ω Φ [ p ] ( x , t ) Z ε ( x ) ψ ( x , T ) d x , ψ L 2 ( 0 , T ) ; H 0 s ( Ω ) .
By taking ψ = J [ p ] in Equation (33) and integrating by parts with respect to t, we obtain the following:
0 T Ω j = 1 n D t α j RL Φ [ δ p ] J [ p ] d x d t + 0 T B s ( Φ [ δ p ] , J [ p ] ) d t = 0 T Ω δ p ( x ) q ( t ) J [ p ] ( x , t ) d x d t .
By integrating by parts with respect to t and replacing ψ = Φ [ δ p ] in Equation (34), we get
0 T Ω j = 1 n D t α j RL J [ p ] Φ [ δ p ] d x d t + 0 T B s ( J [ p ] , Φ [ δ p ] ) d t = Ω Φ [ p ] ( x , t ) Z ε ( x ) Φ [ δ p ] ( x , T ) d x .
Hence,
Ω Φ [ p ] ( x , T ) Z ε ( . ) Φ [ δ p ] ( x , T ) d x = 0 T Ω δ p ( x ) q ( t ) J ( x , t ) d x d t .
Therefore,
Q ( p + δ p ) Q ( p ) = 0 T Ω δ p ( x ) q ( t ) J [ p ] ( x , t ) d x d t + Ω p ( x ) δ p ( x ) d x + o δ p L 2 ( 0 , T ) = 0 T Ω q ( t ) J [ p ] ( x , t ) d x d t + η Ω p ( x ) δ p ( x ) d x + o δ p L 2 ( Ω ) .
As a result, the functional Q is Fréchet differentiable, and its gradient can be expressed in the following form:
Q ( p ) = 0 T q ( t ) J [ p ] ( x , t ) d t + η p ( x ) .
   □

4. Numerical Approach: Conjugate Gradient Method (CGM)

This section is dedicated to the numerical reconstruction strategy designed to solve the underlying minimization problem. The method relies on deriving the associated optimality conditions, which naturally lead to the use of the conjugate gradient method (CGM) in Algorithm 1 as an efficient iterative solver.
In practice, the minimization of Q is carried out by means of CGM. The algorithm generates a sequence { p k } that progressively approaches the true minimizer. Specifically, starting from an initial guess p 0 , each iteration combines gradient information with previously computed search directions, thereby accelerating convergence compared to a simple steepest descent scheme. At the k-th step, given the current approximation p k , the next iterate is computed according to the standard CGM update rules, which balance descent efficiency and numerical stability.
To minimize Q , we apply the conjugate gradient method (CGM). The procedure is as follows: suppose at the k-th iteration, we have the current approximation p k . The next iterate is then obtained through the following iterative scheme:
p k + 1 = p k + β k d k
with
d k = Q ( p k ) if k = 0 , Q ( p k ) + μ k d k 1 if k > 0 ,
where
μ k = Q ( p k ) L 2 ( Ω ) 2 Q ( p k 1 ) L 2 ( Ω ) 2 ,
and
β k = arg min β 0 Q ( p k + β d k ) .
The functional Q ( p ) is given as follows:
Q η ( p ) = 1 2 Ω Φ [ p ] ( x , T ) Z ε ( x ) 2 d x + η 2 Ω p 2 ( x ) d x .
Replacing p with p k + β d k , we get:
Q ( p k + β d k ) = 1 2 Ω Φ [ p k + β d k ] ( x , T ) Z ε ( x ) 2 d x + η 2 Ω ( p k + β d k ) 2 d x .
Differentiating both terms with respect to β , we obtain:
d Q d β = Ω Φ [ p k ] ( x , T ) Z ε ( x ) Φ [ p k ] ( d k ) d x + η Ω p k d k d x + β η Ω d k 2 d x .
Setting d Q d β = 0 to find the optimal step size β k , we solve for β
β k = Ω Φ [ p k ] ( x , T ) Z ε ( x ) Φ [ p k ] ( d k ) d x + η Ω p k d k d x η Ω d k 2 d x .
Therefore, we have the following CGM:
Algorithm 1: Conjugate Gradient Method.
1:
Set k = 0 , initiate p 0 .
2:
Compute the residual r 0 = Q ( p 0 ) and set the direction d 0 = r 0 .
3:
Evaluate the step size
β 0 = Ω Φ [ p 0 ] ( x , T ) Z ε ( x ) Φ [ p 0 ] ( d 0 ) d x + η Ω p 0 d 0 d x η Ω d 0 2 d x .
4:
Update the iterate
p 1 = p 0 + β 0 d 0 .
k = 1 , 2 ,
5:
Compute the residual and direction:
r k = Q ( p k ) , d k = r k + μ k d k 1 ,
where
μ k = r k L 2 ( Ω ) 2 r k 1 L 2 ( Ω ) 2 .
6:
Evaluate the step size
β k = Ω Φ [ p k ] ( x , T ) Z ε ( x ) Φ [ p k ] ( d k ) d x + η Ω p k d k d x η Ω d k 2 d x .
7:
Update the iterate
p k + 1 = p k + β k d k .

5. Numerical Experiment

In this section, we present numerical results for a set of representative examples to demonstrate the effectiveness of the Algorithm 1. Without loss of generality, the study is restricted to the one-dimensional case, while the extension to multidimensional settings remains an open direction for future numerical investigations. The convergence and stability of the method are also examined to assess its robustness and reliability in solving the inverse problem.

5.1. Numerical Resolution of the Direct Problem

Without the loss of generality, we consider the following one-dimensional problem. In doing so, we assume Ω = ( x L , x R ) , and the final time is fixed at T = 1 .
Let M N be a fixed positive integer, and define a uniform temporal partition of the time frame [ 0 , T ] by setting t i = i τ for i = 0 , 1 , , M , where τ : = T M denotes the time step size. The Caputo fractional derivative in Equation (2) is then approximated at t = t i using the classical L 1 -finite difference scheme:
D t α j Φ ( x , t i + 1 ) D τ α Φ i + 1 ( x ) = 1 Γ ( 2 α ) τ α l = 0 i ω l α Φ i + 1 l ( x ) Φ i l ( x )
where Φ i ( x ) is an approximation of Φ ( x , t i ) . The coefficients ω i α j satisfy for all 1 j m ) that ω 0 α j = 1 and ω i α j = ( i + 1 ) 1 α j i 1 α j with i 1 . By performing some rearrangements of terms, one may obtain
D τ α Φ i + 1 ( x ) = 1 Γ ( 2 α j ) τ α j = d α j Φ i + 1 ( x ) + H i , j ( x ) .
where d α j = ( Γ ( 2 α j ) τ α j ) 1 , and H i , j is given explicitly by the following formula:
H i , j ( x ) : = ( ω 1 α j 1 ) Φ i ( x ) + l = 1 i 1 ( ω l α j ω l 1 α j ) Φ i l ( x ) + ω i α j Φ 0 ( x ) .
Let us replace D t α j C Φ ( x , t i ) by its approximation D t α j C Φ i ( x ) . Therefore, we obtain
j = 1 n D τ α j C Φ i + ( Δ ) s Φ i = q i p , i 1
Substituting (43) into the above equation yields the following:
j = 1 n d α j Φ i + ( Δ ) s Φ i = q i p j = 1 m d α j H i 1 , j ( x ) , i 1 .
Now, we pass to the space discretization and define for N N , a fixed positive integer, a uniform spatial discretization of the domain Ω = ( x L , x R ) by defining the grid points x i = x L + i h for 0 i N , where the mesh size is given by h : = x R x L N . Let V h be the space of continuous piecewise linear functions over Ω . Let ϕ n ( x ) denote the interior nodal basis function associated with the node x n for 1 n N .
Now, we consider the Galerkin- L 1 discretization of the problem (1) as follows: Find Φ h V h ( 0 i N ) satisfying for all ψ V h ,
j = 1 m d α j ( Φ h i , ψ h ) + B s ( Φ h i , ψ h ) = q i ( p , ψ h ) j = 1 m d α j ( H i 1 , j , ψ h ) , i 1 ( Φ 0 , ψ h ) = ( Φ 0 , ψ )
It is well known that any function ψ h V h is uniquely defined by its value at the grid-mesh ( x n ) 0 n N ; therefore, we obtain
ψ h i ( x ) = n = 0 N ψ h ( x n ) φ n ( x ) .
In this way, if Φ n i denotes the approximation of Φ ( x n , t i ) , then one may rewrite (46) by choosing as a function test ψ h = φ k for 1 m N 1 , as follows
A + B U i = C i 1 ,
where:
A = [ a n , k ] 1 n , k N 1 , a n , k = j = 1 m d α j ( φ n , φ k ) , B = [ b n , k ] 1 n , k N 1 , b n , k = B s ( φ n , φ k ) , C = [ c n , k ] 1 n , k N 1 , c n , k i 1 = j = 1 m d α j ( H i 1 , j , φ k ) + q i ( p , φ ) , U i = ( Φ 1 i , Φ 2 i , , Φ N 1 i ) t .
The entries of the matrix A can be efficiently computed by exploiting the properties of the basis functions φ k . Regarding the matrix B , it is a full matrix whose elements depends only on n , k , s , and h and can determined explicitly without numerical integration (see [38]). Concerning the elements of the matrix C i , they can be efficiently evaluated using the following formula:
C n , k i = ( ω 1 α j 1 ) Φ n i + l = 1 i 1 ( ω l α j ω l 1 α j ) Φ n i l + ω i α j Φ n 0 ( φ n , φ k ) .
It is noteworthy that, at each iteration, solving the adjoint problem is required, which involves a backward time-fractional derivative. In a similar manner, one can determine the discrete backward-in-time Caputo fractional derivative as follows:
D T α v ( t n ) = 1 Γ ( 2 α ) t n T ( s t n ) 1 α v ( s ) d s = 1 Γ ( 2 α ) j = n + 1 N ( j 1 ) k j k ( s t n ) 1 α v ( s ) d s 1 Γ ( 2 α ) j = n + 1 N v j + v j 2 2 v j 1 k 2 ( j 1 ) k j k ( s t n ) 1 α d s = 1 Γ ( 2 α ) j = n + 1 N v j + v j 2 2 v j 1 k 2 ( s t n ) 2 α 2 α ( j 1 ) k j k = 1 Γ ( 2 α ) ( 2 α ) j = n + 1 N v j + v j 2 2 v j 1 k 2 ( j k t n ) 2 α ( ( j 1 ) k t n ) 2 α = k α Γ ( 2 α ) ( 2 α ) j = n + 1 N v j + v j 2 2 v j 1 ( j n ) 2 α ( j 1 n ) 2 α
Let us set l = j n so j = l + n . Now, we plug this into the expression and obtain the following:
D T α v ( t n ) = k α Γ ( 2 α ) ( 2 α ) = 1 N n v + n + v + n 2 2 v + n 1 × 2 α ( 1 ) 2 α

5.2. Numerical Inversions

The noisy data are obtained by introducing a random perturbation to the exact data, that is,
Z ε = Z + ε · Z × 2 · rand ( size ( Z ) ) 1 ,
and the corresponding noise level is evaluated as follows:
ε = Z ε Z L 2 ( Ω ) .
To examine the accuracy of the numerical solution, we compute the approximate L 2 -error,
E 2 k = p p k L 2 ( Ω ) ,
and R k , the residual error at the k-th iteration,
R k = Φ [ p k ] ( · , T ) Z L 2 ( Ω ) ,
where p k and p are, respectively, the reconstructed source term at k iteration and the exact source term.
One of the widely used methods in this context is Morozov’s discrepancy principle, which consists of selecting the iteration index k such that the following inequality holds:
R k τ ε R k 1 ,
here, τ > 1 is a constant that serves as a tolerance factor in the stopping criterion, and it is typically set to τ = 1.01 , following the recommendation in [39]. In the case of a zero noise level (i.e., when ε = 0 ), our iterative process is terminated after k = 100 iterations.
Example 1. 
In this first synthetic example, we reconstruct a source term given as follows:
p ( x ) = sin ( π x ) + 1 ,
In this example, the exact solution is not known in closed form. Consequently, the final measurement data is obtained by solving the forward problem numerically via the method described previously.
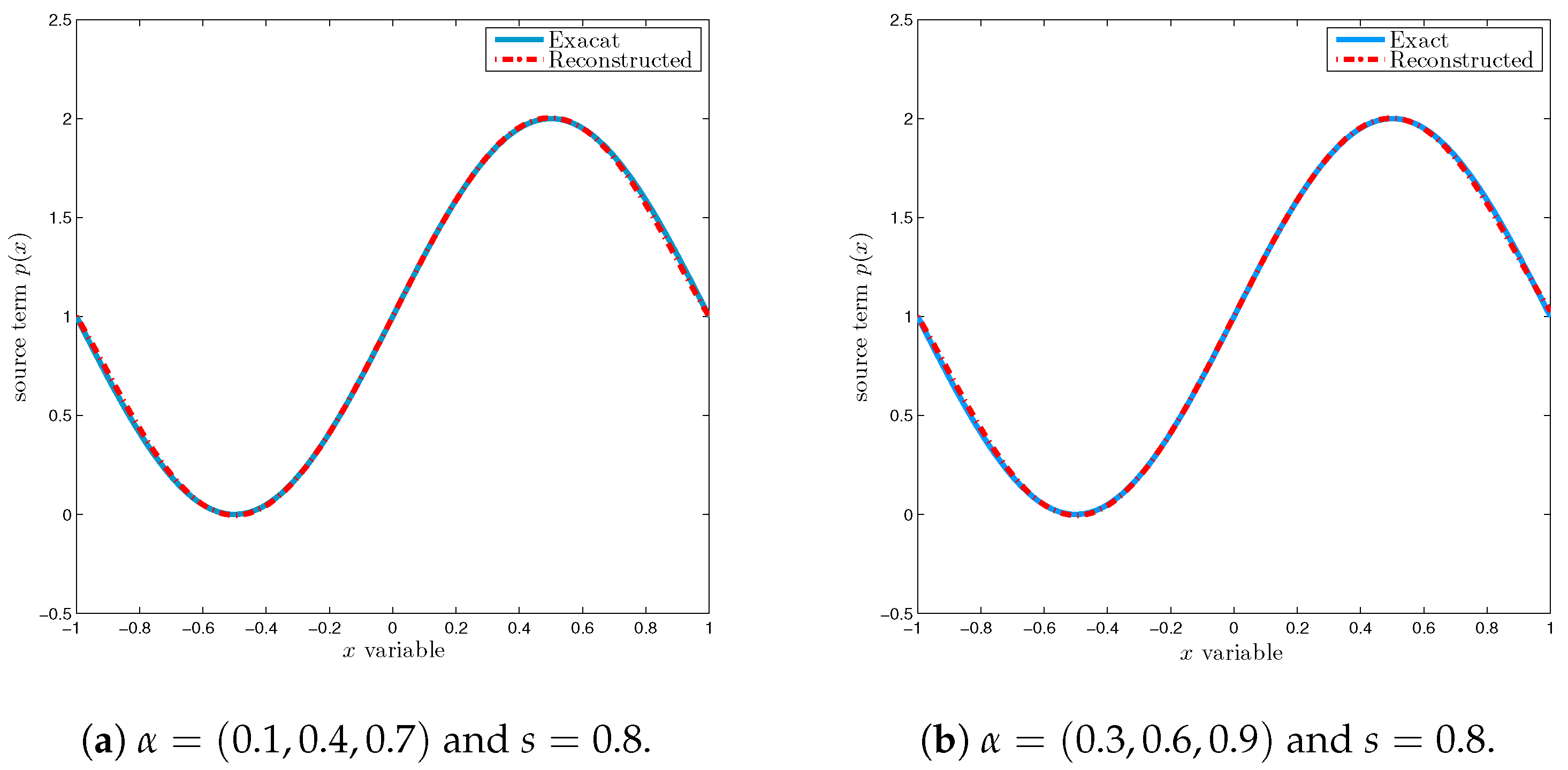
Our first numerical test aims to evaluate the performance of the proposed algorithm under varying fractional order. The order α and s used in this test, along with the obtained reconstruction errors, are reported in Table 1, where the values of the relative error E k across different choices of fractional order α , s and noise level ϵ are evaluated. Furthermore, the profile of recovered source term for different fractional order are plotted in Figure 1.
Based on the results presented in (Table 1), it can be observed that the numerical reconstructions closely approximate the exact solution for all tested combinations of ( α , s ) . This indicates that inversion method is robust with respect to changes in the fractional order. This observation is consistent with theoretical results in the literature, where the fractional order mainly affects the forward operator but has limited impact on the stability of the inverse problem.
Figure 2a illustrates the convergence behavior of the proposed iterative algorithm, while Figure 2b presents the decay of the residual R k for various noise levels ϵ 0 , 0.001 , 0.005 , 0.01 and fixed order α = ( 0.1 , 0.4 , 0.7 ) and s = 0.8 .
As expected, increasing the noise level ϵ results in a monotonic growth in the reconstruction error E k , as demonstrated in Figure 2. Nevertheless, the numerical results remain reasonably accurate.
Example 2. 
p ( x ) = 4 x + 5 , if 1 x 1 2 4 x + 1 , if 1 2 < x 0 4 x + 1 , if 0 < x 1 2 4 x + 5 , if 1 2 < x 1 0 , otherwise
Since an analytical solution to the problem is not available, as in the previous example, we compute a numerical approximation of the final measurement data Z ( x ) by solving the direct problem.
As in the previous example, we begin by investigating the effect of fractional order α and s on the reconstruction quality. To this end, the source term p ( x ) is recovered for several combinations of these parameters. The numerical results are reported in Table 2. As observed earlier, the values of α and s do not exhibit a significant influence on the accuracy of the method. The slight discrepancies in the results are mainly attributed to the discretization errors of solving direct and adjoint problems.
Figure 3 and Figure 4 provide a clear illustration of the convergence behavior and robustness of the proposed conjugate gradient method (CGM) in the case of a non-smooth source term. The reconstruction results remain stable and exhibit satisfactory accuracy for noise levels up to ϵ = 0.01 , as evidenced by the evolution of the relative error E k and the residuals R k . Specifically, Figure 4a shows that E k decreases steadily during the early iterations and stabilizes afterward, while Figure 4b demonstrates the controlled decay of R k for increasing noise levels.
It is worth noting that, as in the first example, the fractional orders α and the parameter s appear to have a negligible impact on the reconstruction accuracy. However, the effect of noise is more pronounced in this nonsmooth setting. When the noise level exceeds ϵ = 0.001 , the reconstructed solution starts to exhibit artificial oscillations, particularly around the points of singularity, which affects the fidelity of the reconstruction. This behavior is typical in inverse problems with low regularity, where noise amplification is more severe due to the limited smoothing effect of the forward operator.
Overall, the results confirm that the proposed method maintains good stability under moderate noise while highlighting the need for appropriate regularization strategies when dealing with higher noise levels and nonsmooth sources.

6. Conclusions

In this paper, we have studied an inverse problem for a multi-term time-fractional diffusion equation involving the fractional Laplacian. Specifically, the goal was to recover an unknown spatial source term from final-time observations. The well-posedness of the forward problem relies on the representation of the solution in terms of the multinomial Mittag–Leffler function E α , β ( m ) ( t ) . The uniqueness of the inverse problem follows from the asymptotic decay properties of these functions, which guarantee that the spectral coefficients p n are uniquely determined by the final-time data. A significant theoretical insight is that the presence of multiple fractional time derivatives, although it complicates the analysis, does not compromise the uniqueness property of the inverse problem.
To handle the ill-posedness of the the studied inverse problem, we reformulated it as a Tikhonov regularized optimization problem. By using the adjoint method, a first-order optimality condition has been derived, leading to a coupled system of the forward problem, a backward adjoint problem, and a gradient equation. Based on this condition, the unknown source term has been characterized as the solution of the regularized variational problem. An efficient and accurate iterative reconstruction procedure has been developed and implemented to solve the regularized variational problem, that is, the conjugate gradient method (CGM), where the requisite gradient is computed efficiently via the adjoint formulation. The efficiency, accuracy, and robustness of the proposed numerical procedure have been justified by several numerical simulations for both smooth and non-smooth sources. It is noticeable that the parameters α i and s have no significant influence on the overall reconstruction accuracy. However, for smaller values of the fractional orders α i , the results become slightly less accurate, which can be attributed to the stronger memory effect inherent in fractional diffusion processes.
While the present study establishes several noteworthy theoretical and numerical results, certain aspects merit further investigation to achieve a more comprehensive understanding of the proposed framework. From an analytical standpoint, it remains essential to rigorously examine the convergence properties of the numerical scheme and to clarify its dependence on the regularization parameter and on the choice of the initial guess. From the computational perspective, extending the current algorithm to multi-dimensional configurations constitutes a natural and challenging continuation of this work. In addition, tailoring the proposed approach to more intricate settings, such as nonlinear models and coupled systems of fractional partial differential equations, appears to be a promising and stimulating direction for future research.

Author Contributions

Conceptualization, E.A., M.B. and H.O.S.; Methodology, E.A., A.C. and H.O.S.; Software, A.C. and H.O.S.; Formal analysis, E.A. and M.B.; Investigation, A.C. and H.O.S.; Writing—original draft, E.A., M.B. and H.O.S.; Writing—review & editing, A.C. and H.O.S.; Project administration, E.A. and H.O.S.; Funding acquisition, E.A. All authors have read and agreed to the published version of the manuscript.

Funding

The authors extend their appreciation to the Deanship of Scientific Research at Northern Border University, Arar, KSA for funding this research work through project number “NBU-FFR-2025-2768-02”.

Data Availability Statement

The original contributions presented in this study are included in the article. Further inquiries can be directed to the corresponding author.

Conflicts of Interest

The authors declare no conflicts of interest.

References

  1. Groetsch, C.W. Inverse Problems in the Mathematical Sciences; Vieweg: Braunschweig, Germany, 1993; Volume 52. [Google Scholar]
  2. La Torre, D.; Kunze, H.; Mendivil, F.; Ruiz Galán, M.; Zaki, R. Inverse Problems: Theory and Application to Science and Engineering 2015. Math. Probl. Eng. 2015, 2015, 1–2. [Google Scholar] [CrossRef]
  3. Suzuki, J.L.; Gulian, M.; Zayernouri, M.; D’Elia, M. Fractional modeling in action: A survey of nonlocal models for subsurface transport, turbulent flows, and anomalous materials. J. Peridyn. Nonlocal Model. 2023, 5, 392–459. [Google Scholar] [CrossRef]
  4. Di Tullio, F.; Paradisi, P.; Spigler, R.; Pagnini, G. Gaussian processes in complex media: New vistas on anomalous diffusion. Front. Phys. 2019, 7, 123. [Google Scholar] [CrossRef]
  5. Regner, B.M.; Vučinić, D.; Domnisoru, C.; Bartol, T.M.; Hetzer, M.W.; Tartakovsky, D.M.; Sejnowski, T.J. Anomalous diffusion of single particles in cytoplasm. Biophys. J. 2013, 104, 1652–1660. [Google Scholar] [CrossRef] [PubMed]
  6. Sadoon, A.A.; Wang, Y. Anomalous, non-Gaussian, viscoelastic, and age-dependent dynamics of histonelike nucleoid-structuring proteins in live Escherichia coli. Phys. Rev. E 2018, 98, 042411. [Google Scholar] [CrossRef]
  7. Karaman, M.M.; Wang, H.; Sui, Y.; Engelhard, H.H.; Li, Y.; Zhou, X.J. A fractional motion diffusion model for grading pediatric brain tumors. NeuroImage Clin. 2016, 12, 707–714. [Google Scholar] [CrossRef]
  8. Lischke, A.; Pang, G.; Gulian, M.; Song, F.; Glusa, C.; Zheng, X.; Karniadakis, G.E. What is the fractional Laplacian? A comparative review with new results. J. Comput. Phys. 2020, 404, 109009. [Google Scholar] [CrossRef]
  9. Metzler, R.; Klafter, J. The random walk’s guide to anomalous diffusion: A fractional dynamics approach. Phys. Rep. 2000, 339, 1–77. [Google Scholar] [CrossRef]
  10. Atifi, K.; Boutaayamou, I.; Ould Sidi, H.; Salhi, J. An inverse source problem for singular parabolic equations with interior degeneracy. Abstr. Appl. Anal. 2018, 2018, 1–16. [Google Scholar] [CrossRef]
  11. Atifi, K.; Essoufi, E.-H.; Ould Sidi, H. Identification of a diffusion coefficient in degenerate/singular parabolic equations from final observation by hybrid method. Open J. Math. Anal. 2018, 2, 142–155. [Google Scholar] [CrossRef]
  12. Ould Ahmed Mahmoud, S.A.; Ould Sidi, H.; Ould Sidi, M. Determination of an energy source term for fractional diffusion equation. J. Sens. 2022, 2022, 7984688. [Google Scholar] [CrossRef]
  13. Sidi, H.O.; Huntul, M.J.; Ould Sidi, M.; Emadifar, H. Identifying an unknown coefficient in the fractional parabolic differential equation. Results Appl. Math. 2023, 19, 100386. [Google Scholar] [CrossRef]
  14. Sidi, H.O.; Zaky, M.A.; De Staelen, R.H.; Hendy, A.S. Numerical reconstruction of a space-dependent reaction coefficient and initial condition for a multidimensional wave equation with interior degeneracy. Mathematics 2023, 11, 3186. [Google Scholar] [CrossRef]
  15. Sidi, H.O.; Zaky, M.A.; Qiu, W.; Hendy, A.S. Identification of an unknown spatial source function in a multidimensional hyperbolic partial differential equation with interior degeneracy. Appl. Numer. Math. 2023, 192, 1–18. [Google Scholar] [CrossRef]
  16. Murio, D.A. Implicit finite difference approximation for time fractional diffusion equations. Comput. Math. Appl. 2008, 56, 1138–1145. [Google Scholar] [CrossRef]
  17. Nakagawa, J.; Sakamoto, K.; Yamamoto, M. Overview to Mathematical Analysis for Fractional Diffusion Equations: New Mathematical Aspects Motivated by Industrial Collaboration; Technical Report; Faculty of Mathematics, Kyushu University: Fukuoka, Japan, 2010. [Google Scholar]
  18. Andrle, M.; El Badia, A. On an inverse source problem for the heat equation. Application to a pollution detection problem, II. Inverse Probl. Sci. Eng. 2015, 23, 389–412. [Google Scholar] [CrossRef]
  19. El Badia, A.; Ha-Duong, T. An inverse source problem in potential analysis. Inverse Probl. 2000, 16, 651. [Google Scholar] [CrossRef]
  20. Tuan, V. Inverse problem for fractional diffusion equation. Fract. Calc. Appl. Anal. 2011, 14, 31–55. [Google Scholar] [CrossRef]
  21. Jin, B.; Rundell, W. An inverse problem for a one-dimensional time-fractional diffusion problem. Inverse Probl. 2012, 28, 075010. [Google Scholar] [CrossRef]
  22. BenSaleh, M.; Maatoug, H. Inverse source problem for a space–time fractional diffusion equation. Ric. Mat. 2024, 73, 681–713. [Google Scholar] [CrossRef]
  23. Ali, M.; Aziz, S.; Malik, S.A. Inverse source problems for a space–time fractional differential equation. Inverse Probl. Sci. Eng. 2020, 28, 47–68. [Google Scholar] [CrossRef]
  24. Li, Z.; Imanuvilov, O.Y.; Yamamoto, M. Uniqueness in inverse boundary value problems for fractional diffusion equations. Inverse Probl. 2015, 32, 015004. [Google Scholar] [CrossRef]
  25. Benabbes, F.; Boussetila, N.; Lakhdari, A. Two regularization methods for a class of inverse fractional pseudo-parabolic equations with involution perturbation. Fract. Differ. Integral Calc. 2024, 14, 39–59. [Google Scholar] [CrossRef]
  26. Durdiev, D.K.; Sultanov, M.A.; Rahmonov, A.A.; Nurlanuly, Y. Inverse problems for a time-fractional diffusion equation with unknown right-hand side. Prog. Fract. Differ. Appl. 2023, 9, 639–653. [Google Scholar]
  27. Nouar, M.; Abdeledjalil, C.; Alsalhi, O.M.; Sidi, H.O. Inverse Problem of Identifying a Time-Dependent Source Term in a Fractional Degenerate Semi-Linear Parabolic Equation. Mathematics 2025, 13, 1486. [Google Scholar] [CrossRef]
  28. Schumer, R.; Benson, D.A.; Meerschaert, M.M.; Baeumer, B. Fractal Mobile/Immobile Solute Transport. Water Resour. Res. 2003, 39, 1296. [Google Scholar] [CrossRef]
  29. Sokolov, I.M.; Klafter, J.; Blumen, A. Fractional Kinetics. Phys. Today 2002, 55, 48–54. [Google Scholar] [CrossRef]
  30. Jaradat, I.; Alquran, M.; Abdel-Muhsen, R. An Analytical Framework of 2D Diffusion, Wave-Like, Telegraph, and Burgers’ Models with Twofold Caputo Derivatives Ordering. Nonlinear Dyn. 2018, 93, 1911–1922. [Google Scholar] [CrossRef]
  31. Adams, R.A. Sobolev Spaces; Academic Press: New York, NY, USA, 1975. [Google Scholar]
  32. Almeida, R. A Caputo fractional derivative of a function with respect to another function. Commun. Nonlinear Sci. Numer. Simul. 2017, 44, 460–481. [Google Scholar] [CrossRef]
  33. He, J.W.; Liang, Y.; Ahmad, B.; Zhou, Y. Nonlocal fractional evolution inclusions of order α∈(1,2). Mathematics 2019, 7, 209. [Google Scholar] [CrossRef]
  34. Li, Z.-Z.; Liu, Y.; Yamamoto, M. Initial-boundary value problems for multi-term time-fractional diffusion equations with positive constant coefficients. Appl. Math. Comput. 2015, 257, 381–397. [Google Scholar] [CrossRef]
  35. Wang, J.G.; Wei, T.; Zhou, Y.B. Tikhonov regularization method for a backward problem for the time–fractional diffusion equation. Appl. Math. Model. 2013, 37, 8518–8532. [Google Scholar] [CrossRef]
  36. Johansson, T.; Lesnic, D. Determination of a spacewise dependent heat source. J. Comput. Appl. Math. 2007, 209, 66–80. [Google Scholar] [CrossRef]
  37. Cao, K.; Lesnic, D. Reconstruction of the space-dependent perfusion coefficient from final time or time-average temperature measurements. J. Comput. Appl. Math. 2018, 337, 150–165. [Google Scholar] [CrossRef]
  38. Biccari, U.; Hernández-Santamaría, V. Controllability of a one-dimensional fractional heat equation: Theoretical and numerical aspects. IMA J. Math. Control Inf. 2019, 36, 1199–1235. [Google Scholar] [CrossRef]
  39. Hanke, M. On Lanczos based methods for the regularization of discrete ill-posed problems. BIT Numer. Math. 2001, 41, 1008–1018. [Google Scholar] [CrossRef]
Figure 1. Exactand reconstructed source terms for Example 1 with zero noise level ϵ = 0 for different fractional orders.
Figure 1. Exactand reconstructed source terms for Example 1 with zero noise level ϵ = 0 for different fractional orders.
Fractalfract 09 00713 g001
Figure 2. Convergence behavior with α = ( 0.1 , 0.4 , 0.7 ) and s = 0.8 for various noise levels ϵ .
Figure 2. Convergence behavior with α = ( 0.1 , 0.4 , 0.7 ) and s = 0.8 for various noise levels ϵ .
Fractalfract 09 00713 g002
Figure 3. Exact and reconstructed source term for Example 2 with fixed parameters α = ( 0.1 , 0.4 , 0.7 ) and s = 0.8 .
Figure 3. Exact and reconstructed source term for Example 2 with fixed parameters α = ( 0.1 , 0.4 , 0.7 ) and s = 0.8 .
Fractalfract 09 00713 g003
Figure 4. Convergence behavior with α = ( 0.1 , 0.4 , 0.7 ) and s = 0.8 for various noise levels ϵ .
Figure 4. Convergence behavior with α = ( 0.1 , 0.4 , 0.7 ) and s = 0.8 for various noise levels ϵ .
Fractalfract 09 00713 g004
Table 1. Relative error E 2 ( k ) for various noise levels ϵ , fractional time orders α , and spatial orders s.
Table 1. Relative error E 2 ( k ) for various noise levels ϵ , fractional time orders α , and spatial orders s.
α = ( 0.1 , 0.4 , 0.7 ) α = ( 0.4 , 0.6 , 0.9 )
s = 0 . 4 s = 0 . 8 s = 0 . 4 s = 0 . 8
ϵ = 0.00 0.008420.009420.009580.01151
ϵ = 0.001 0.009660.010660.011140.01307
ϵ = 0.005 0.015060.016060.017270.01920
ϵ = 0.01 0.021910.022910.025940.02787
Table 2. Relative error E 2 ( k ) for various noise levels ϵ , fractional time orders α , and spatial orders s.
Table 2. Relative error E 2 ( k ) for various noise levels ϵ , fractional time orders α , and spatial orders s.
α = ( 0.1 , 0.4 , 0.7 ) α = ( 0.4 , 0.6 , 0.9 )
s = 0.4 s = 0.8 s = 0.4 s = 0.8
0.01520.01700.01890.0210
Disclaimer/Publisher’s Note: The statements, opinions and data contained in all publications are solely those of the individual author(s) and contributor(s) and not of MDPI and/or the editor(s). MDPI and/or the editor(s) disclaim responsibility for any injury to people or property resulting from any ideas, methods, instructions or products referred to in the content.

Share and Cite

MDPI and ACS Style

Alruwaili, E.; Benoudi, M.; Chattouh, A.; Sidi, H.O. Reconstruction of an Unknown Input Function in a Multi-Term Time-Fractional Diffusion Model Governed by the Fractional Laplacian. Fractal Fract. 2025, 9, 713. https://doi.org/10.3390/fractalfract9110713

AMA Style

Alruwaili E, Benoudi M, Chattouh A, Sidi HO. Reconstruction of an Unknown Input Function in a Multi-Term Time-Fractional Diffusion Model Governed by the Fractional Laplacian. Fractal and Fractional. 2025; 9(11):713. https://doi.org/10.3390/fractalfract9110713

Chicago/Turabian Style

Alruwaili, Eman, Mustapha Benoudi, Abdeldjalil Chattouh, and Hamed Ould Sidi. 2025. "Reconstruction of an Unknown Input Function in a Multi-Term Time-Fractional Diffusion Model Governed by the Fractional Laplacian" Fractal and Fractional 9, no. 11: 713. https://doi.org/10.3390/fractalfract9110713

APA Style

Alruwaili, E., Benoudi, M., Chattouh, A., & Sidi, H. O. (2025). Reconstruction of an Unknown Input Function in a Multi-Term Time-Fractional Diffusion Model Governed by the Fractional Laplacian. Fractal and Fractional, 9(11), 713. https://doi.org/10.3390/fractalfract9110713

Article Metrics

Back to TopTop