Res-FormerNet: A Residual–Transformer Fusion Network for 2-D Magnetotelluric Inversion
Abstract
1. Introduction
2. Deep Learning Inversion Using ResNet
2.1. Generating Large Data Sets
2.1.1. Smooth Boundary Model Design
2.1.2. Forward Calculation
2.1.3. Prepare Training Set
- (1)
- Gaussian noise with a standard normal distribution was added at 5% intensity to 80% of the sample data. The resulting noisy data can be expressed as:
- (2)
- Due to the wide range of resistivity changes in the model (1–10,000 ), in this article, a base-10 logarithmic transformation is applied to the sample data and sample labels, mapping all data to the same order of magnitude as the network input. This logarithmic processing effectively reduces the weight difference between strong and weak signals during network training and reduces the influence of noise on model training as follows:
2.2. Building and Training the Res-FormerNet
2.2.1. Architecture of a Neural Network
2.2.2. Loss Function
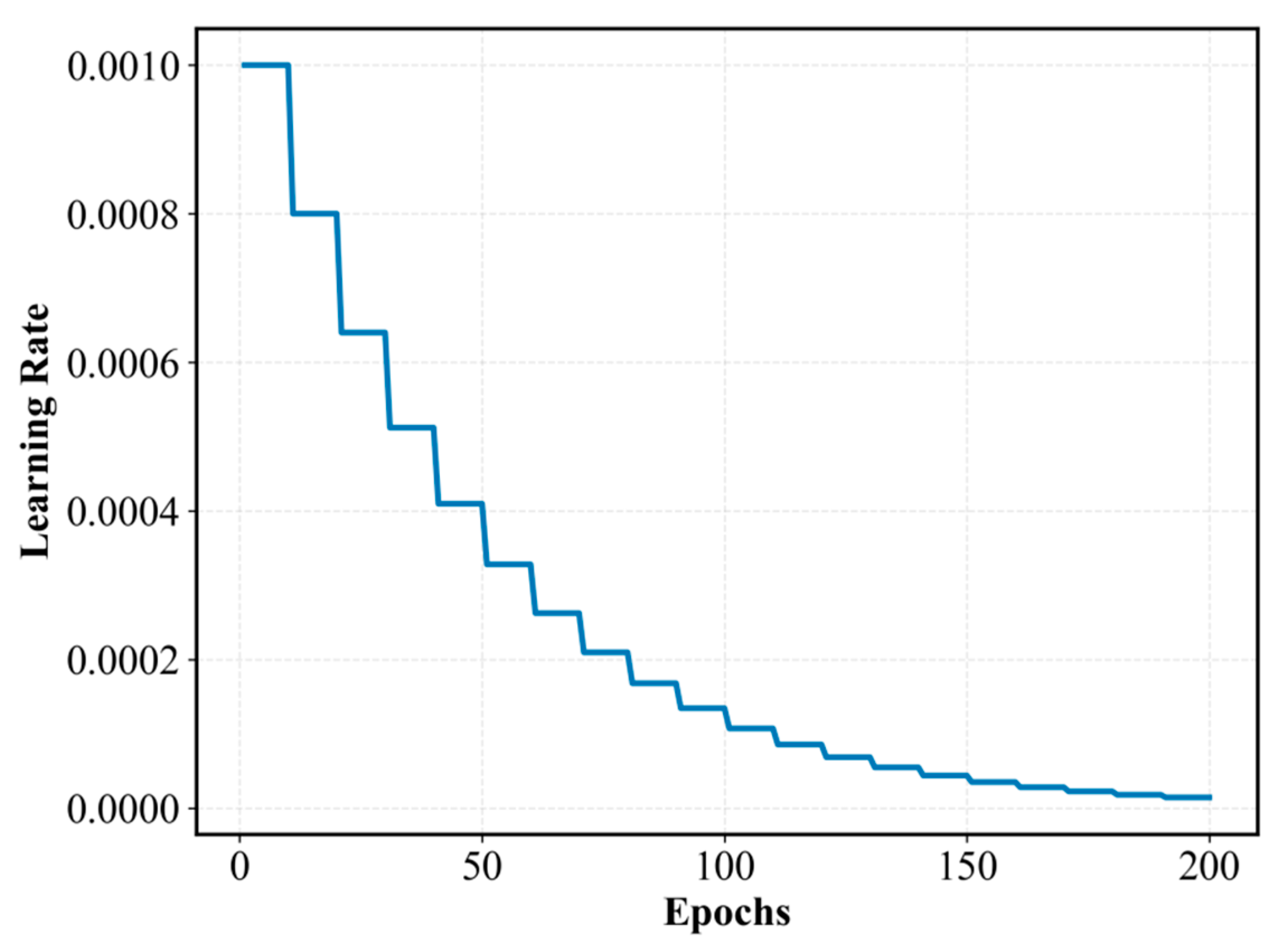
2.2.3. Learning Rate
2.2.4. Train Neural Network
3. Comparative Evaluation of Res-FormerNet and Baseline Networks
3.1. Testing Inversion Models Trained on 50,000 Samples
3.2. Testing Inversion Models Trained on 100,000 Samples
4. Inversion of Field Measurements Data in Southern Africa
5. Conclusions
Author Contributions
Funding
Institutional Review Board Statement
Informed Consent Statement
Data Availability Statement
Conflicts of Interest
References
- Tikhonov, A.N. On determination of electrical characteristics of the deep layers of the Earth’s crust. Dokl. Akad. Nauk SSSR 1950, 73, 295–297. [Google Scholar]
- Cagniard, L. Basic theory of the magneto-telluric method of geophysical prospecting. Geophysics 1953, 18, 605–635. [Google Scholar] [CrossRef]
- Grayver, A.V.; Streich, R.; Ritter, O. Three-dimensional parallel distributed inversion of CSEM data using a direct forward solver. Geophys. J. Int. 2013, 193, 1432–1446. [Google Scholar] [CrossRef]
- De La Kethulle De Ryhove, S.; Mittet, R. Full-Jacobian Gauss-Newton 3D marine magnetotelluric inversion. In SEG Technical Program Expanded Abstracts, Proceedings of the SEG International Exposition and 86th Annual Meeting, Dallas, TX, USA, 16–21 October 2016; Society of Exploration Geophysicists: Tulsa, OK, USA; pp. 992–997.
- Loke, M.H.; Dahlin, T. A comparison of the Gauss–Newton and quasi-Newton methods in resistivity imaging inversion. J. Appl. Geophys. 2002, 49, 149–162. [Google Scholar] [CrossRef]
- Avdeeva, A.; Avdeev, D. A limited-memory quasi-Newton inversion for 1D magnetotellurics. Geophysics 2006, 71, G191–G196. [Google Scholar] [CrossRef]
- Avdeev, D.; Avdeeva, A. 3D magnetotelluric inversion using a limited-memory quasi-Newton optimization. Geophysics 2009, 74, F45–F57. [Google Scholar] [CrossRef]
- Mojabi, P.; LoVetri, J. Comparison of TE and TM inversions in the framework of the Gauss-Newton method. IEEE Trans. Antennas Propag. 2010, 58, 1336–1348. [Google Scholar] [CrossRef]
- Mackie, R.L.; Madden, T.R. Three-dimensional magnetotelluric inversion using conjugate gradients. Geophys. J. Int. 1993, 115, 215–229. [Google Scholar] [CrossRef]
- Rodi, W.; Mackie, R.L. Nonlinear conjugate gradients algorithm for 2-D magnetotelluric inversion. Geophysics 2001, 66, 174–187. [Google Scholar] [CrossRef]
- Newman, G.A.; Alumbaugh, D.L. Three-dimensional magnetotelluric inversion using non-linear conjugate gradients. Geophys. J. Int. 2000, 140, 410–424. [Google Scholar] [CrossRef]
- Kelbert, A.; Meqbel, N.; Egbert, G.D.; Tandon, K. ModEM: A modular system for inversion of electromagnetic geophysical data. Comput. Geosci. 2014, 66, 40–53. [Google Scholar] [CrossRef]
- Siripunvaraporn, W.; Egbert, G. An efficient data-subspace inversion method for 2-D magnetotelluric data. Geophysics 2000, 65, 791–803. [Google Scholar] [CrossRef]
- Siripunvaraporn, W.; Egbert, G. Data space conjugate gradient inversion for 2-D magnetotelluric data. Geophys. J. Int. 2007, 170, 986–994. [Google Scholar] [CrossRef]
- Zhou, Y.T.; Chellappa, R.; Vaid, A.; Jenkins, B.K. Image restoration using a neural network. IEEE Trans. Acoust. Speech Signal Process. 1988, 36, 1141–1151. [Google Scholar] [CrossRef]
- Jin, K.H.; McCann, M.T.; Froustey, E.; Unser, M. Deep convolutional neural network for inverse problems in imaging. IEEE Trans. Image Process. 2017, 26, 4509–4522. [Google Scholar] [CrossRef]
- McCann, M.T.; Jin, K.H.; Unser, M. Convolutional neural networks for inverse problems in imaging: A review. IEEE Signal Process. Mag. 2017, 34, 85–95. [Google Scholar] [CrossRef]
- Lucas, A.; Iliadis, M.; Molina, R.; Katsaggelos, A.K. Using deep neural networks for inverse problems in imaging: Beyond analytical methods. IEEE Signal Process. Mag. 2018, 35, 20–36. [Google Scholar] [CrossRef]
- Ongie, G.; Jalal, A.; Metzler, C.A.; Baraniuk, R.G.; Dimakis, A.G.; Willett, R. Deep learning techniques for inverse problems in imaging. IEEE J. Sel. Areas Inf. Theory 2020, 1, 39–56. [Google Scholar] [CrossRef]
- Xiong, W.; Ji, X.; Ma, Y.; Wang, Y.; Yang, N.; Peng, J.; Zhu, Y.; Zhang, T. Seismic fault detection with convolutional neural network. Geophysics 2018, 83, O97–O103. [Google Scholar] [CrossRef]
- Waldeland, A.U.; Jensen, A.C.; Gelius, L.-J.; Solberg, A.H.S. Convolutional neural networks for automated seismic interpretation. Lead. Edge 2018, 37, 529–537. [Google Scholar] [CrossRef]
- Wu, X.M.; Geng, Z.C.; Shi, Y.; Pham, N.; Fomel, S.; Caumon, G. Building realistic structure models to train convolutional neural networks for seismic structural interpretation. Geophysics 2020, 85, WA27–WA39. [Google Scholar] [CrossRef]
- Di, H.B.; Li, Z.; Maniar, H.; Abubakar, A. Seismic stratigraphy interpretation by deep convolutional neural networks: A semisupervised workflow. Geophysics 2020, 85, WA77–WA86. [Google Scholar] [CrossRef]
- Wang, T.Q.; Wang, Y.F. High-resolution seismic faults interpretation based on adversarial neural networks with a regularization technique. Geophysics 2022, 87, IM207–IM219. [Google Scholar] [CrossRef]
- Di, H.B.; Li, Z.; Maniar, H. Using relative geologic time to constrain convolutional neural network-based seismic interpretation and property estimation. Geophysics 2022, 87, IM25–IM35. [Google Scholar] [CrossRef]
- Das, V.; Pollack, A.; Wollner, U.; Mukerji, T. Convolutional neural network for seismic impedance inversion. Geophysics 2019, 84, R869–R880. [Google Scholar] [CrossRef]
- Sun, Y.H.; Liu, H.; Wang, X.; Li, Z. Inversion of low-to-medium-frequency velocities and densities from AVO data using invertible neural networks. Geophysics 2022, 87, A37–A42. [Google Scholar] [CrossRef]
- Wu, X.; Xue, G.Q.; Chen, W.Y.; Zhong, H.S.; Li, H. Removal of multisource noise in airborne electromagnetic data based on deep learning. Geophysics 2020, 85, B207–B222. [Google Scholar] [CrossRef]
- Wu, S.H.; Huang, Q.H.; Zhao, L. Denoising of transient electromagnetic data based on the long short-term memory-autoencoder. Geophys. J. Int. 2021, 224, 669–681. [Google Scholar] [CrossRef]
- Han, Y.; An, Z.G.; Di, Q.Y.; Wang, Z.X.; Zhang, W.; Guo, Z.Q. Research on noise suppression of magnetotelluric signal based on recurrent neural network. Chin. J. Geophys. 2023, 66, 4317–4331. [Google Scholar]
- Li, G.; Wu, S.L.; Fang, H.; Xue, G.Q.; Xiao, J.; Zhong, H.S. IncepTCN: A new deep temporal convolutional network combined with dictionary learning for strong cultural noise elimination of controlled-source electromagnetic data. Geophysics 2023, 88, E107–E122. [Google Scholar] [CrossRef]
- Jiang, E.H.; Chen, R.J.; Tang, J.T.; Ren, Z.Y.; Huang, Q.H.; Wang, M.Y. Deep-learning-based sferics recognition for audio magnetotelluric data processing in the dead band. Geophysics 2023, 88, B233–B250. [Google Scholar] [CrossRef]
- Li, J.; Liu, Y.C.; Tang, J.T.; Ren, Z.Y.; Huang, Q.H.; Wang, M.Y. Magnetotelluric noise suppression via convolutional neural network. Geophysics 2023, 88, WA361–WA375. [Google Scholar] [CrossRef]
- Li, J.; Liu, Y.C.; Tang, J.T.; Ren, Z.Y.; Huang, Q.H.; Wang, M.Y. Magnetotelluric data denoising method combining two deep-learning-based models. Geophysics 2023, 88, E13–E28. [Google Scholar] [CrossRef]
- Alyousuf, T.; Li, Y. Inversion using adaptive physics-based neural network: Application to magnetotelluric inversion. Geophys. Prospect. 2022, 70, 1252–1272. [Google Scholar] [CrossRef]
- Pan, K.J.; Ling, W.W.; Ren, Z.Y.; Long, Q.; Zhang, Y.W.; Xi, Y. MT2DInv-Unet: A 2D magnetotelluric inversion method based on deep-learning technology. Geophysics 2024, 89, G13–G27. [Google Scholar] [CrossRef]
- Zhou, H.Y.; Guo, R.; Fang, H.; Hu, X.Y.; Li, J.H. Feature-based magnetotelluric inversion by variational autoencoder using a subdomain encoding scheme. Geophysics 2024, 89, WA67–WA83. [Google Scholar] [CrossRef]
- Puzyrev, V. Deep learning electromagnetic inversion with convolutional neural networks. Geophys. J. Int. 2019, 218, 817–832. [Google Scholar] [CrossRef]
- Liu, W.; Xi, Z.; Wang, H.; Zhang, R. Two-dimensional deep learning inversion of magnetotelluric sounding data. J. Geophys. Eng. 2021, 18, 627–641. [Google Scholar] [CrossRef]
- Liu, Z.; Chen, H.; Ren, Z.; Cai, J.; Xiong, B.; Kalscheuer, T. Deep learning audio magnetotellurics inversion using residual-based deep convolution neural network. J. Appl. Geophys. 2021, 188, 104309. [Google Scholar] [CrossRef]
- Liu, W.; Wang, H.; Xi, Z.; Zhang, R. Smooth deep learning magnetotelluric inversion based on physics-informed Swin transformer and multiwindow Savitzky–Golay filter. IEEE Trans. Geosci. Remote Sens. 2023, 61, 4505214. [Google Scholar] [CrossRef]
- Wang, H.; Liu, Y.; Yin, C.; Su, Y.; Zhang, B.; Ren, X. Flexible and accurate prior model construction based on deep learning for 2-D magnetotelluric data inversion. IEEE Trans. Geosci. Remote Sens. 2023, 61, 5902511. [Google Scholar] [CrossRef]
- Liu, W.; Wang, H.; Xi, Z.; Wang, L. Physics-informed deep learning inversion with application to noisy magnetotelluric measurements. Remote Sens. 2024, 16, 62. [Google Scholar] [CrossRef]
- Yu, J.H.; Tang, X.G.; Xiong, Z.T. Two-dimensional magnetotelluric inversion based on residual neural networks. Chin. J. Geophys. 2025, 68, 269–281. [Google Scholar]
- He, K.; Zhang, X.; Ren, S.; Sun, J. Deep residual learning for image recognition. In Proceedings of the IEEE Conference on Computer Vision and Pattern Recognition (CVPR), Las Vegas, NV, USA, 27–30 June 2016; pp. 770–778. [Google Scholar]
- Chave, A.D.; Jones, A.G. The Magnetotelluric Method: Theory and Practice; Cambridge University Press: Cambridge, UK, 2012. [Google Scholar]
- Hawkins, D.M. The problem of overfitting. J. Chem. Inf. Comput. Sci. 2004, 44, 1–12. [Google Scholar] [CrossRef]
- Khoza, T.D.; Jones, A.G.; Muller, M.R.; Evans, R.L.; Miensopust, M.P.; Webb, S.J. Lithospheric structure of an Archean craton and adjacent mobile belt revealed from 2-D and 3-D inversion of magnetotelluric data: Example from southern Congo craton in northern Namibia. J. Geophys. Res. Solid Earth 2013, 118, 4378–4397. [Google Scholar] [CrossRef]


















| Parallel Type | (Number of Samples, Number of Frequencies) | Serial/Single-Task Time Consumption (h) | Parallel/Multi-Task (h) | Speedup Ratio |
|---|---|---|---|---|
| Frequency point parallelism | (50,000, 40) | 156 | 46.2 | 3.37 |
| (100,000, 40) | 395 | 98 | 4.03 | |
| Multi-task concurrency | (50,000, 40) | 156 | 64.3 | 2.43 |
| (100,000, 40) | 395 | 148 | 2.66 |
| Hyper Parameters | Parameters |
|---|---|
| Training Iterations | 200 |
| Batch Size | 40 |
| Activation Function | ReLU |
| Learning Rate | The initial learning rate is 0.001, reduced by 20% every 10 iterations |
| Optimizer | Adam |
| Gradient Clipping Threshold | 1 |
| Inversion Methods | NLCG | ResNet50 | Res-FormerNet |
|---|---|---|---|
| model 1 | 0.323875 | 0.617603 | 0.841333 |
| model 2 | 0.632071 | 0.618229 | 0.792049 |
| model 3 | 0.446639 | 0.664578 | 0.725878 |
| Inversion Methods | NLCG | ResNet50 | Res-FormerNet |
|---|---|---|---|
| model 1 | 0.323875 | 0.841333 | 0.871267 |
| model 2 | 0.632071 | 0.731520 | 0.822049 |
| model 3 | 0.446639 | 0.844724 | 0.969973 |
Disclaimer/Publisher’s Note: The statements, opinions and data contained in all publications are solely those of the individual author(s) and contributor(s) and not of MDPI and/or the editor(s). MDPI and/or the editor(s) disclaim responsibility for any injury to people or property resulting from any ideas, methods, instructions or products referred to in the content. |
© 2025 by the authors. Licensee MDPI, Basel, Switzerland. This article is an open access article distributed under the terms and conditions of the Creative Commons Attribution (CC BY) license.
Share and Cite
Yu, J.; Tang, X.; Xiong, Z. Res-FormerNet: A Residual–Transformer Fusion Network for 2-D Magnetotelluric Inversion. Appl. Sci. 2026, 16, 270. https://doi.org/10.3390/app16010270
Yu J, Tang X, Xiong Z. Res-FormerNet: A Residual–Transformer Fusion Network for 2-D Magnetotelluric Inversion. Applied Sciences. 2026; 16(1):270. https://doi.org/10.3390/app16010270
Chicago/Turabian StyleYu, Junhu, Xingong Tang, and Zhitao Xiong. 2026. "Res-FormerNet: A Residual–Transformer Fusion Network for 2-D Magnetotelluric Inversion" Applied Sciences 16, no. 1: 270. https://doi.org/10.3390/app16010270
APA StyleYu, J., Tang, X., & Xiong, Z. (2026). Res-FormerNet: A Residual–Transformer Fusion Network for 2-D Magnetotelluric Inversion. Applied Sciences, 16(1), 270. https://doi.org/10.3390/app16010270

