Sign in to use this feature.

Years

Between: -

Subjects

remove_circle_outline
remove_circle_outline
remove_circle_outline
remove_circle_outline
remove_circle_outline
remove_circle_outline
remove_circle_outline
remove_circle_outline
remove_circle_outline

Journals

remove_circle_outline
remove_circle_outline
remove_circle_outline
remove_circle_outline
remove_circle_outline
remove_circle_outline
remove_circle_outline
remove_circle_outline
remove_circle_outline
remove_circle_outline

Article Types

Countries / Regions

remove_circle_outline
remove_circle_outline
remove_circle_outline
remove_circle_outline
remove_circle_outline

Search Results (1,229)

Search Parameters:
Keywords = combined actuation

Order results
Result details
Results per page
Select all
Export citation of selected articles as:
17 pages, 2964 KB  
Article
In Silico Polymerisation and Characterisation of Auxetic Liquid Crystalline Elastomers Using Atomistic Molecular Dynamics Simulations
by Richard Mandle, Thomas Raistrick, Devesh Mistry and Helen Gleeson
Polymers 2025, 17(22), 3011; https://doi.org/10.3390/polym17223011 (registering DOI) - 12 Nov 2025
Abstract
Using reactive atomistic molecular dynamics, we simulate the network formation and bulk properties of chemically identical liquid crystal elastomers (LCEs) and isotropic elastomers. The nematic elastomer is from a family of materials that have been shown to be auxetic at a molecular level. [...] Read more.
Using reactive atomistic molecular dynamics, we simulate the network formation and bulk properties of chemically identical liquid crystal elastomers (LCEs) and isotropic elastomers. The nematic elastomer is from a family of materials that have been shown to be auxetic at a molecular level. The network orientational order parameters and glass transition temperatures measured from our simulations are in strong agreement with experimental data. We reproduce, in silico, the magnitude and onset of strain-induced nematic order in isotropic simulations. Application of uniaxial strain to nematic LCE simulations causes biaxial order to emerge, as has been seen experimentally for these auxetic LCEs. At strains of ~1.0, the director reorients to be parallel to the applied strain, again as seen experimentally. The simulations shed light on the strain-induced order at a molecular level and allow insight into the individual contributions of the side-groups and crosslinker. Further, the agreement between our simulations and experimental data opens new possibilities in the computational design of high-molecular-weight liquid crystals, especially where an understanding of the properties under mechanical actuation is desired. Moreover, the simulation methodology we describe will be applicable to other combinations of orientational and/or positional order (e.g., smectics, cubics). Full article
(This article belongs to the Section Polymer Chemistry)
Show Figures

Graphical abstract

38 pages, 1479 KB  
Review
A Unified Map of Airway Interactions: Secretome and Mechanotransduction Loops from Development to Disease
by Crizaldy Tugade and Jopeth Ramis
Adv. Respir. Med. 2025, 93(6), 51; https://doi.org/10.3390/arm93060051 (registering DOI) - 12 Nov 2025
Abstract
Human airways maintain homeostasis through intricate cellular interactomes combining secretome-mediated signalling and mechanotransduction feedback loops. This review presents the first unified map of bidirectional mechanobiology–secretome interactions between airway epithelial cells (AECs), smooth muscle cells (ASMCs), and chondrocytes. We unify a novel three-component regulatory [...] Read more.
Human airways maintain homeostasis through intricate cellular interactomes combining secretome-mediated signalling and mechanotransduction feedback loops. This review presents the first unified map of bidirectional mechanobiology–secretome interactions between airway epithelial cells (AECs), smooth muscle cells (ASMCs), and chondrocytes. We unify a novel three-component regulatory architecture: epithelium functioning as environmental activators, smooth muscle as mechanical actuators, and cartilage as calcium-dependent regulators. Critical mechanotransduction pathways, particularly YAP/TAZ signalling and TRPV4 channels, directly couple matrix stiffness to cytokine release, creating a closed-loop feedback system. During development, ASM-driven FGF-10 signalling and peristaltic contractions orchestrate cartilage formation and epithelial differentiation through mechanically guided morphogenesis. In disease states, these homeostatic circuits become pathologically dysregulated; asthma and COPD exhibit feed-forward stiffness traps where increased matrix rigidity triggers YAP/TAZ-mediated hypercontractility, perpetuating further remodelling. Aberrant mechanotransduction drives smooth muscle hyperplasia, cartilage degradation, and epithelial dysfunction through sustained inflammatory cascades. This system-level understanding of airway cellular networks provides mechanistic frameworks for targeted therapeutic interventions and tissue engineering strategies that incorporate essential mechanobiological signalling requirements. Full article
Show Figures

Figure 1

36 pages, 3031 KB  
Systematic Review
Exploring Smart Furniture: A Systematic Review of Integrated Technologies, Functionalities, and Applications
by Inês Mimoso, Marcelo Brites-Pereira, Leovaldo Alcântara, Maria Inês Morgado, Gualter Morgado, Inês Saavedra, Francisco José Melero Muñoz, Juliana Louceiro and Elísio Costa
Sensors 2025, 25(22), 6900; https://doi.org/10.3390/s25226900 - 12 Nov 2025
Abstract
Smart furniture represents a growing field that integrates Internet of Things (IoT), embedded systems and assistive technologies, yet lacks a comprehensive synthesis of its components and applications. This PRISMA-guided systematic review analysed 35 studies published between 2014 and 2024, sourced from PubMed, Web [...] Read more.
Smart furniture represents a growing field that integrates Internet of Things (IoT), embedded systems and assistive technologies, yet lacks a comprehensive synthesis of its components and applications. This PRISMA-guided systematic review analysed 35 studies published between 2014 and 2024, sourced from PubMed, Web of Science and Scopus. The included studies presented prototypes of smart furniture that used IoT, sensors or automation. The focus was on extracting data related to technological configurations, functional uses, validation methods, maturity levels and commercialisation. Three technological pillars emerged, data collection (n = 31 studies), transmission/processing (n = 30), and actuation (n = 22), often combined into multifunctional systems (n = 14). Health monitoring was the dominant application (n = 15), followed by environmental control (n = 8) and assistive functions for older adults (n = 8). Validation methods varied; 37% relied solely on laboratory testing, while 20% only involved end-users. Only one solution surpassed Technology Readiness Level (TRL) 7 and is currently on the market. Current research remains pre-commercial, with gaps in AI integration, long-term validation, and participatory design. Smart furniture shows promise for healthcare and independent living, but requires standardised evaluation, ethical data practices, and co-creation to achieve market readiness. Full article
(This article belongs to the Section Intelligent Sensors)
Show Figures

Figure 1

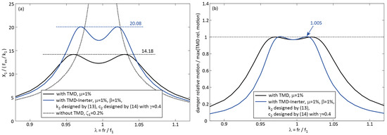
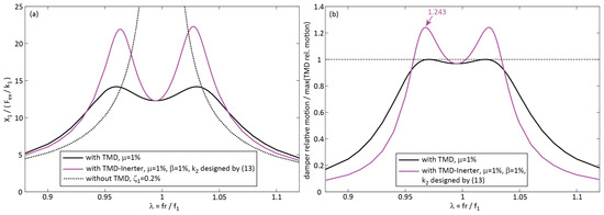
10 pages, 1540 KB  
Article
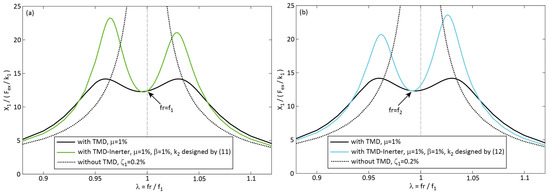
Physics, Tuning, and Performance of the TMD-Inerter for Harmonic Vibrations
by Felix Weber
CivilEng 2025, 6(4), 61; https://doi.org/10.3390/civileng6040061 - 11 Nov 2025
Abstract
This paper analyzes the physics of the TMD-Inerter for harmonic vibrations. The basic TMD-Inerter layout is assumed, where the inerter is installed between the TMD mass and the structural mass. For harmonic vibrations, the inerter force can be formulated as a function of [...] Read more.
This paper analyzes the physics of the TMD-Inerter for harmonic vibrations. The basic TMD-Inerter layout is assumed, where the inerter is installed between the TMD mass and the structural mass. For harmonic vibrations, the inerter force can be formulated as a function of terminal displacements. This formulation demonstrates that the inerter force is, in fact, a negative stiffness force with frequency-dependent negative stiffness coefficient. Based on this finding, the optimal stiffness tuning of the TMD-Inerter is derived. As this stiffness tuning can only be realized by a controlled actuator, the tuning of the spring of the TMD-Inerter is presented. As this spring is a passive element, its optimum tuning must be made at a selected frequency of vibration. It is shown that the average of the TMD natural frequency and structural eigenfrequency leads to a close to optimal spring tuning. This approach needs to be combined with increased damping of the TMD-Inerter to minimize the structural displacement response. Despite the close to optimal tunings of stiffness and damping, the resulting primary structure displacement response is approximately 41.6% greater than that due to the classical TMD. The reason for this lies in the fact that the passive spring of the TMD-Inerter cannot compensate for the frequency-dependent negative stiffness of the inerter within the entire frequency range. Full article
(This article belongs to the Section Mathematical Models for Civil Engineering)
Show Figures

Figure 1

16 pages, 4287 KB  
Article
A Woven Soft Wrist-Gripper Composite End-Effector with Variable Stiffness: Design, Modeling, and Characterization
by Pan Zhou, Yangzuo Liu, Junxi Chen, Haoyuan Chen, Haili Li and Jiantao Yao
Machines 2025, 13(11), 1042; https://doi.org/10.3390/machines13111042 - 11 Nov 2025
Abstract
Soft robots often suffer from insufficient load capacity due to the softness of their materials. Existing variable stiffness technologies usually introduce rigid components, resulting in decreased flexibility and complex structures of soft robots. To address these challenges, this work proposes a novel wrist-gripper [...] Read more.
Soft robots often suffer from insufficient load capacity due to the softness of their materials. Existing variable stiffness technologies usually introduce rigid components, resulting in decreased flexibility and complex structures of soft robots. To address these challenges, this work proposes a novel wrist-gripper composite soft end-effector based on the weaving jamming principle, which features a highly integrated design combining structure, actuation, and stiffness. This end-effector is directly woven from pneumatic artificial muscles through weaving technology, which has notable advantages such as high integration, strong performance designability, lightweight construction, and high power density, effectively reconciling the technical trade-off between compliance and load capacity. Experimental results demonstrate that the proposed end-effector exhibits excellent flexibility and multi-degree-of-freedom grasping capabilities. Its variable stiffness function enhances its ability to resist external interference by 4.77 times, and its grasping force has increased by 1.7 times, with a maximum grasping force of 102 N. Further, a grasping force model for this fiber-reinforced woven structure is established, providing a solution to the modeling challenge of highly coupled structures. A comparison between theoretical and experimental data indicates that the modeling error does not exceed 7.8 N. This work offers a new approach for the design and analysis of high-performance, highly integrated soft end-effectors, with broad application prospects in unstructured environment operations, non-cooperative target grasping, and human–robot collaboration. Full article
(This article belongs to the Section Robotics, Mechatronics and Intelligent Machines)
Show Figures

Figure 1

19 pages, 3019 KB  
Article
Design and Testing of a Biomechanical Device for Pediatric Spastic Hand Rehabilitation
by Paulina Sofía Valle-Oñate, José Luis Jínez-Tapia, Luis Gonzalo Santillán-Valdiviezo, Carlos Ramiro Peñafiel-Ojeda, Deysi Vilma Inca Balseca and Juan Carlos Tixi Pintag
Biomechanics 2025, 5(4), 96; https://doi.org/10.3390/biomechanics5040096 - 11 Nov 2025
Abstract
Background: Children with spastic hand impairments resulting from cerebral palsy or neuromuscular disorders often exhibit a restricted range of motion and diminished functional use. Rehabilitation devices that assist joint mobilization can enhance therapeutic outcomes, yet few solutions target pediatric populations. Methods: [...] Read more.
Background: Children with spastic hand impairments resulting from cerebral palsy or neuromuscular disorders often exhibit a restricted range of motion and diminished functional use. Rehabilitation devices that assist joint mobilization can enhance therapeutic outcomes, yet few solutions target pediatric populations. Methods: This study aimed to design, implement, and preliminarily evaluate a biomechanical device tailored to promote flexo-extension, radial–ulnar deviation, and supination movements in spastic hands of school-aged children. A prototype combining a motor-driven actuation system, adjustable wrist and finger supports, and a MATLAB-based graphical user interface was developed. Two participants (aged 8 and 10) with clinically diagnosed spastic hemiparesis underwent 25-minute sessions over 15 consecutive days. Joint angles were recorded before and after each session using an electro-goniometer. Data normality was assessed via the Shapiro–Wilk test, and pre–post differences were analyzed with the Wilcoxon signed-rank test (α = 0.05). Results: Both participants demonstrated consistent increases in their active range of motion across all measured planes. Median flexo-extension improved by 12.5° (p = 0.001), ulnar–radial deviation by 7.3° (p = 0.002), and supination by 9.1° (p = 0.001). No adverse events occurred, and device tolerance remained high throughout the intervention. Conclusions: The device facilitated statistically significant enhancements in joint mobility in a small pediatric cohort, supporting its feasibility and safety in spastic hand rehabilitation. These preliminary findings warrant larger controlled trials to confirm the device’s efficacy, optimize treatment protocols, and assess its long-term functional benefits. Full article
Show Figures

Figure 1

30 pages, 8447 KB  
Article
Detection Algorithm of Thrombolytic Solution Concentration with an Optimized Conical Thrombolytic Actuator for Interventional Therapy
by Jingjing Yang, Yingken Shen, Yifan Jiang, Biyuan Rui, Pengqi Yang, Guifang Deng, Hao Qin and Junjie Lei
Actuators 2025, 14(11), 549; https://doi.org/10.3390/act14110549 - 10 Nov 2025
Abstract
Fragmented thrombolytic actuators address the limited time window of thrombolysis agents and the risk of intimal injury from mechanical thrombectomy, emerging as a crucial method for rapid vascular recanalization. However, occluded vessels are often tortuous and narrow, imposing strict size constraints on the [...] Read more.
Fragmented thrombolytic actuators address the limited time window of thrombolysis agents and the risk of intimal injury from mechanical thrombectomy, emerging as a crucial method for rapid vascular recanalization. However, occluded vessels are often tortuous and narrow, imposing strict size constraints on the actuator. Moreover, the inability to assess thrombolysis efficacy in real-time during procedures impedes timely adjustments to control strategies for the actuator. To address these challenges, this study designs a conical piezoelectric actuator that employs high-frequency vibration in conjunction with a small dose of thrombolytics to fragment and accelerate thrombus dissolution. Firstly, structural parameters of the actuator are optimized using grey relational analysis combined with an improved entropy-weighting method, and the optimal design is prototyped and tested. Next, a real-time thrombolytic solution concentration detection algorithm based on an Improved Grey Wolf Optimizer–Support Vector Regression (IGWO-SVR) model is proposed. Finally, an experimental platform is constructed for validation and analysis. The results show that compared to the initial design, the optimized actuator has significantly improved kinematic and force performance, with the tip amplitude increasing by 42% and the output energy density reaching 3.3726 × 10−2 W/mm3. The IGWO-SVR model yields highly accurate, stable concentration estimates, with a coefficient of determination (R2) of 0.9987 and a root-mean-square error (RMSE) of 0.8118. This work provides a pathway toward actuator miniaturization and real-time thrombolysis monitoring, with positive implications for future clinical applications. Full article
(This article belongs to the Special Issue Actuation and Sensing of Intelligent Soft Robots)
Show Figures

Figure 1

14 pages, 14275 KB  
Article
Novel Design and Control of Ultrasonic Transducers for a Media-Free Contactless Micro-Positioning System
by Zijian Chen, Jens Twiefel, Chenglong Ding, Henning Buhl, Berend Denkena and Jörg Wallaschek
Actuators 2025, 14(11), 547; https://doi.org/10.3390/act14110547 - 8 Nov 2025
Viewed by 179
Abstract
Microelectromechanical systems (MEMSs) are increasingly used for both industrial and consumer applications. To improve the accuracy and efficiency of MEMS fabrication and to overcome the limitations of conventional contactless positioning systems, this study introduces a novel positioning concept that combines ultrasonic levitation with [...] Read more.
Microelectromechanical systems (MEMSs) are increasingly used for both industrial and consumer applications. To improve the accuracy and efficiency of MEMS fabrication and to overcome the limitations of conventional contactless positioning systems, this study introduces a novel positioning concept that combines ultrasonic levitation with electromagnetic actuation. Squeeze-film effects generated by high-frequency ultrasonic transducers enable levitation, while fast-response reluctance forces from electromagnets govern the positioning dynamics without requiring bulky mounting frames. The focus of this paper is on proposing a novel double-acting ultrasonic transducer with a Gaussian profile horn, ensuring an approximately uniform vibration distribution and increased levitation force. The double-acting design enables levitation on both surfaces, simplifying the mounting and thermal compensation of the transducer’s expansion while reducing interactions among transducers. A model-based control strategy ensures resonant operation and constant vibration amplitude. Experiments demonstrate levitation forces up to 343 N, with a total levitation height of 25 µm, resulting from two levitation air gaps. Comprehensive performance characterization validates the feasibility of this transducer design for integration into the proposed positioning system. Full article
(This article belongs to the Special Issue Advances in Piezoelectric Actuators and Materials)
Show Figures

Figure 1

22 pages, 2002 KB  
Article
Prescribed Performance Adaptive Fault-Tolerant Control for Nonlinear System with Actuator Faults and Dead Zones
by Zhenlin Wang, Seiji Hashimoto, Nobuyuki Kurita, Pengqiang Nie, Song Xu and Takahiro Kawaguchi
Symmetry 2025, 17(11), 1915; https://doi.org/10.3390/sym17111915 - 8 Nov 2025
Viewed by 93
Abstract
This study proposes an adaptive fault-tolerant control strategy for parametric strict-feedback systems subject to actuator faults and unknown dead-zone nonlinearities, a combination that presents significant challenges for controller design. First, a novel prescribed-performance fault-tolerant control framework is developed by incorporating a funnel function, [...] Read more.
This study proposes an adaptive fault-tolerant control strategy for parametric strict-feedback systems subject to actuator faults and unknown dead-zone nonlinearities, a combination that presents significant challenges for controller design. First, a novel prescribed-performance fault-tolerant control framework is developed by incorporating a funnel function, a barrier Lyapunov function, and a bounded estimation mechanism to address the issue of multiple constrained nonlinear disturbances. Second, the proposed strategy offers two key improvements: (1) adequate compensation for the coupled effects of actuator faults and dead-zone nonlinearities, and (2) guaranteed globally prescribed transient performance, making the settling time and tracking accuracy independent of initial conditions and design parameters. Lastly, simulation results verify the approach’s effectiveness, showing rapid convergence within 0.8 s and a tracking error bounded by ±0.05, thus surpassing traditional methods. Full article
(This article belongs to the Section Mathematics)
Show Figures

Figure 1

17 pages, 2681 KB  
Article
Development of Closed Symmetrical Robotic Arms Driven by Pneumatic Muscle Actuators
by Che-Wei Chang and Mao-Hsiung Chiang
Actuators 2025, 14(11), 545; https://doi.org/10.3390/act14110545 - 7 Nov 2025
Viewed by 129
Abstract
This research aims to investigate the practicality and feasibility of pneumatic muscle actuators (PMAs) applied in the pneumatic servo system. The mechanism consists of closed symmetrical planar robotic arms driven by two pairs of opposing PMAs, whose structure is similar to human arms. [...] Read more.
This research aims to investigate the practicality and feasibility of pneumatic muscle actuators (PMAs) applied in the pneumatic servo system. The mechanism consists of closed symmetrical planar robotic arms driven by two pairs of opposing PMAs, whose structure is similar to human arms. Importantly, the two distal links (or wrist parts) are combined into a collective end-effector, whose desired position is controlled only by the two shoulder angle joints. When two pairs of PMAs are attached to the upper arms, they actuate each shoulder and assist in the movement of the arms. However, the nonlinear behavior, high hysteresis, low damping, and time-varying characteristics of PMAs significantly limit their controllability. Therefore, to effectively address these challenges, a Fourier series-based adaptive sliding mode controller with H (FSB-ASMC + H) is employed to achieve accurate path tracking of the PMAs. This control approach not only compensates for approximation errors, disturbances, and unmodeled dynamics but also ensures the desired H positioning performance of the overall system. The controller method can not only effectively prevent approximation errors, disturbances, and un-modeled dynamics but can also ensure the required H positioning performance of the whole system. Thus, the results of the experiment showed that the control strategy for the system collocating the FSB-ASMC + H can attain excellent control performance. Full article
(This article belongs to the Special Issue Intelligent Control for Pneumatic Servo System)
Show Figures

Figure 1

15 pages, 5396 KB  
Article
An Adaptive Gripper for On-Orbit Grasping with Rapid Capture and Force Sensing Capabilities
by Qiong Wu, Yupeng Zhang, Wenfu Xu and Han Yuan
Actuators 2025, 14(11), 543; https://doi.org/10.3390/act14110543 - 7 Nov 2025
Viewed by 194
Abstract
End-effectors are becoming increasingly vital in orbital space missions, performing increasingly complex operational tasks. Current on-orbit missions primarily utilize net systems and rigid grippers as manipulators. However, the dynamic analysis of the net system is complicated, and its reliability is insufficient. Moreover, rigid [...] Read more.
End-effectors are becoming increasingly vital in orbital space missions, performing increasingly complex operational tasks. Current on-orbit missions primarily utilize net systems and rigid grippers as manipulators. However, the dynamic analysis of the net system is complicated, and its reliability is insufficient. Moreover, rigid grippers are not impact-resistant, which can lead to the target either rebounding or sustaining damage. This paper designs an adaptive gripper for rapid passive grasping. Adjusting the initial setup of the gripper by altering the cables allows for different degrees of trigger sensitivity to be achieved. The gripper presented in this paper integrates a bistable mechanism with a dual-mode actuation system, achieving performance metrics such as a 16.7ms activation time and a 5.42m/s capture speed. This combination of rapid passive and controllable active grasping demonstrates a novel and effective solution with significant potential for dynamic on-orbit service and debris removal missions. Full article
(This article belongs to the Special Issue Soft Robotics: Actuation, Control, and Application)
Show Figures

Figure 1

17 pages, 2000 KB  
Article
Mechanical Design and Kinematic Analysis of an Autonomous Wrist with DC Motor Actuators for Space Assembly
by Charles C. Nguyen, Ha T. T. Ngo, Tu T. C. Duong and Afshin Nabili
Actuators 2025, 14(11), 542; https://doi.org/10.3390/act14110542 - 7 Nov 2025
Viewed by 276
Abstract
This paper deals with the mechanical design and kinematic analysis of an autonomous wrist for space assembly (AWSA) whose actuators are activated by DC motors and ball screw drives. This robotic wrist was developed and built as a prototype to investigate in-space robotic [...] Read more.
This paper deals with the mechanical design and kinematic analysis of an autonomous wrist for space assembly (AWSA) whose actuators are activated by DC motors and ball screw drives. This robotic wrist was developed and built as a prototype to investigate in-space robotic operations, including maintaining and repairing spacecraft of the US National Aeronautics and Space Administration (NASA), such as the International Space Station (ISS) or satellites. Despite its disadvantages, such as a small workspace and low maneuverability, a parallel structure instead of a serial structure was selected for the design of the AWSA due to several advantages it has over a serial robot manipulator (SRM), including higher payload, greater stiffness, and better stability. The present paper also introduces a hybrid concept for robotic space operations, which combines an SRM performing gross motion and a parallel robot manipulator (PRM) performing fine motion. It then discusses the design and construction of the DC motor actuators and ball screw drives and presents the kinematic equations developed for the AWSA. This paper provides a closed-form solution to the inverse kinematics of the AWSA and a numerical solution using the Newton–Raphson method for its forward kinematics. Full article
(This article belongs to the Special Issue Actuators in Robotic Control—3rd Edition)
Show Figures

Figure 1

18 pages, 23476 KB  
Article
Stress Analysis and Operational Limits of an SLA-Printed Soft Antagonistic Actuator Using a Yeoh-Calibrated Finite Element Model
by Jim S. Palacios-Lazo, Rosalba Galván-Guerra, Paola A. Niño-Suarez and Juan E. Velázquez-Velázquez
Actuators 2025, 14(11), 540; https://doi.org/10.3390/act14110540 - 6 Nov 2025
Viewed by 183
Abstract
Soft robotics has emerged as a promising approach for safe human–machine interaction, adaptive manipulation, and bioinspired motion, yet its progress relies on accurate material characterization and structural analysis of actuators. This study presents the mechanical behavior and stress analysis of a stereolithography-printed pneumatic [...] Read more.
Soft robotics has emerged as a promising approach for safe human–machine interaction, adaptive manipulation, and bioinspired motion, yet its progress relies on accurate material characterization and structural analysis of actuators. This study presents the mechanical behavior and stress analysis of a stereolithography-printed pneumatic actuator with antagonistic architecture, fabricated using Elastic 50A resin V2. Uniaxial tensile tests were performed according to ASTM D412 to derive material parameters, which were fitted to hyperelastic constitutive models. The Yeoh model was identified as the most accurate and implemented in finite element simulations to predict actuator deformation under multiple pressurization modes. Results revealed critical stress zones and established operational pressure limits of 110–130 kPa, beyond which the material approaches its tensile strength. Experimental testing with a controlled pneumatic system validated the numerical predictions, confirming both bending and multidirectional actuation as well as structural failure thresholds. The integration of material characterization, numerical modeling, and experimental validation provides a robust workflow for the design of SLA-fabricated antagonistic actuators. These findings highlight the advantages of combining digital fabrication with antagonistic actuation and material modeling to expand the understanding of soft robots’ behavior. Full article
(This article belongs to the Special Issue Soft Robotics: Actuation, Control, and Application)
Show Figures

Figure 1

15 pages, 4351 KB  
Article
Design of Shape Memory Composites for Soft Actuation and Self-Deploying Systems
by Alice Proietti, Giorgio Patrizii, Leandro Iorio and Fabrizio Quadrini
J. Compos. Sci. 2025, 9(11), 591; https://doi.org/10.3390/jcs9110591 - 1 Nov 2025
Viewed by 345
Abstract
Shape memory polymer composites (SMPCs) are promising materials in aerospace thanks to their light weight and ability to provide an actuation load during shape recovery, the magnitude of which depends on the laminates design. In this work, SMPCs were manufactured by alternating carbon [...] Read more.
Shape memory polymer composites (SMPCs) are promising materials in aerospace thanks to their light weight and ability to provide an actuation load during shape recovery, the magnitude of which depends on the laminates design. In this work, SMPCs were manufactured by alternating carbon fiber prepregs with a SM interlayer of epoxy resin. The number of composite plies ranged from 2 to 8 and two interlayer thicknesses were selected (100 μm and 200 μm in the lamination stage). Compression molding was performed for consolidation, and the interlayer’s thickness was reduced by edge bleeding. A thermo-mechanical cycle was applied for memorization. The shape fixity and the shape recovery of the vast majority of the SMPCs were above 90%, with the 200 μm/six-ply laminate recording the highest combination of values (94.8% and 95.7%, respectively). A significant effect due to the presence of a thicker interlayer was not evident, underlying the need to determine specific manufacturing procedures. Starting from these results, a lab-scale procedure was implemented to manufacture a smart device by embedding a microheater in the 200 μm/two-ply architecture. The device was memorized into a L-shape (90° bending angle), and a voltage of 24 V allowed it to recover 86.2° in 90 s, with a maximum angular velocity of 1.55 deg/s. Full article
(This article belongs to the Section Composites Manufacturing and Processing)
Show Figures

Figure 1

22 pages, 3945 KB  
Article
A Semantic Digital Twin-Driven Framework for Multi-Source Data Integration in Forest Fire Prediction and Response
by Jicao Dao, Yijing Huang, Xiaoyu Ju, Lizhong Yang, Xinlin Yang, Xueyan Liao, Zhenjia Wang and Dapeng Ding
Forests 2025, 16(11), 1661; https://doi.org/10.3390/f16111661 - 30 Oct 2025
Viewed by 384
Abstract
Forest fires have become increasingly frequent and severe due to climate change and intensified human activities, posing critical challenges to ecological security and emergency management. Despite the availability of abundant environmental, spatial, and operational data, these resources remain fragmented and heterogeneous, limiting the [...] Read more.
Forest fires have become increasingly frequent and severe due to climate change and intensified human activities, posing critical challenges to ecological security and emergency management. Despite the availability of abundant environmental, spatial, and operational data, these resources remain fragmented and heterogeneous, limiting the efficiency and accuracy of fire prediction and response. To address this challenge, this study proposes a Semantic Digital Twin-Driven Framework for integrating multi-source data and supporting forest fire prediction and response. The framework constructs a multi-ontology network that combines the Semantic Sensor Network (SSN) and Sensor, Observation, Sample, and Actuator (SOSA) ontologies for sensor and observation data, the GeoSPARQL ontology for geospatial representation, and two domain-specific ontologies for fire prevention and emergency response. Through systematic data mapping, instantiation, and rule-based reasoning, heterogeneous information is transformed into an interconnected knowledge graph. The framework supports both semantic querying (SPARQL) and rule-based reasoning (SWRL) to enable early risk alerts, resource allocation suggestions, and knowledge-based decision support. A case study in Sichuan Province demonstrates the framework’s effectiveness in integrating historical and live data streams, achieving consistent reasoning outcomes aligned with expert assessments, and improving decision timeliness by enhancing data interoperability and inference efficiency. This research contributes a foundational step toward building intelligent, interoperable, and reasoning-enabled digital forest systems for sustainable fire management and ecological resilience. Full article
(This article belongs to the Section Natural Hazards and Risk Management)
Show Figures

Figure 1

Back to TopTop