Sign in to use this feature.

Years

Between: -

Subjects

remove_circle_outline
remove_circle_outline
remove_circle_outline
remove_circle_outline
remove_circle_outline
remove_circle_outline
remove_circle_outline

Journals

Article Types

Countries / Regions

Search Results (16)

Search Parameters:
Keywords = coherent density fluctuation model

Order results
Result details
Results per page
Select all
Export citation of selected articles as:
11 pages, 432 KB  
Article
Inclusive Neutrino and Antineutrino Scattering on the 12C Nucleus Within the Coherent Density Fluctuation Model
by Martin V. Ivanov and Anton N. Antonov
Universe 2025, 11(4), 119; https://doi.org/10.3390/universe11040119 - 4 Apr 2025
Cited by 1 | Viewed by 752
Abstract
We investigate quasielastic (anti)neutrino scattering on the 12C nucleus utilizing a novel scaling variable, ψ*. This variable is derived from the interacting relativistic Fermi gas model, which incorporates both scalar and vector interactions, leading to a relativistic effective mass for [...] Read more.
We investigate quasielastic (anti)neutrino scattering on the 12C nucleus utilizing a novel scaling variable, ψ*. This variable is derived from the interacting relativistic Fermi gas model, which incorporates both scalar and vector interactions, leading to a relativistic effective mass for the interacting nucleons. For inclusive lepton scattering from nuclei, we develop a new scaling function, denoted as fQE(ψ*), based on the coherent density fluctuation model (CDFM). This model serves as a natural extension of the relativistic Fermi gas (RFG) model applicable to finite nuclei. In this study, we compute theoretical predictions and compare them with experimental data from Minerνa and T2K for inclusive (anti)neutrino cross-sections. The scaling function is derived within the CDFM framework, employing a relativistic effective mass of mN*=0.8mN. The findings demonstrate a high degree of consistency with experimental data across all (anti)neutrino energy ranges. Full article
(This article belongs to the Special Issue Neutrino Insights: Peering into the Subatomic Universe)
Show Figures

Figure 1

28 pages, 4219 KB  
Article
Angle Expansion Estimation and Correction Based on the Lindeberg–Feller Central Limit Theorem Under Multi-Pulse Integration
by Jiong Cai, Rui Wang and Handong Yang
Remote Sens. 2024, 16(23), 4535; https://doi.org/10.3390/rs16234535 - 3 Dec 2024
Cited by 3 | Viewed by 1320
Abstract
The radar monopulse angle measurement can obtain a target’s angle information within a single pulse, meaning that factors such as target motion and amplitude fluctuations, which vary over time, do not affect the angle measurement accuracy. However, in practical applications, when a target’s [...] Read more.
The radar monopulse angle measurement can obtain a target’s angle information within a single pulse, meaning that factors such as target motion and amplitude fluctuations, which vary over time, do not affect the angle measurement accuracy. However, in practical applications, when a target’s signal-to-noise ratio (SNR) is low, the single pulse signal is severely affected by noise, leading to a significant deterioration in angle measurement accuracy. Therefore, it is usually necessary to coherently integrate multiple pulses before estimating the angle. This paper constructs an angle expansion model for a multi-pulse angle measurement under coherent integration. The analysis reveals that even under noise-free conditions, after coherently integrating multiple pulses, the coupling of target amplitude fluctuations and motion state can still cause significant errors in the angle measurement. Subsequently, this paper conducts a detailed analysis of the impact of the amplitude fluctuations and target maneuvers on the random angle measurement error. It also derives approximate probability density functions of angle measurement errors under various fluctuation and motion scenarios based on the Lindeberg–Feller central limit theorem. In addition, based on the angle expansion model and the random error distribution, this paper proposes an angle correction algorithm based on multi-pulse integration and long-term estimation. Numerical experiments and radar data in the field verify the impact of target characteristics on the angle measurement under multi-pulse integration and the effectiveness of the angle correction algorithm. Full article
Show Figures

Figure 1

18 pages, 763 KB  
Article
Critical Impact of Isospin Asymmetry in Elucidating Magicity Across Isotonic Chains of Different Mass Regions Using Relativistic Energy Density Functional
by Praveen K. Yadav, N. Biswal, R. N. Panda, S. Mishra, Raj Kumar and M. Bhuyan
Atoms 2024, 12(12), 62; https://doi.org/10.3390/atoms12120062 - 28 Nov 2024
Cited by 1 | Viewed by 904
Abstract
This study provides a comprehensive examination of the surface properties—particularly the symmetry energy and its contributing components—of isotonic chains across various mass ranges, including light, medium, heavy, and superheavy nuclei. We establish a correlation between nuclear symmetry energy and isospin asymmetry in different [...] Read more.
This study provides a comprehensive examination of the surface properties—particularly the symmetry energy and its contributing components—of isotonic chains across various mass ranges, including light, medium, heavy, and superheavy nuclei. We establish a correlation between nuclear symmetry energy and isospin asymmetry in different mass regions along isotonic chains with magic and semi-magic neutron numbers of N = 20, 40, 82, 126, and 172. Our approach integrates the coherent density fluctuation model within the relativistic mean-field (RMF) framework, utilizing both the non-linear NL3 and density-dependent DD-ME2 parameter sets. The methodology employs the Brueckner energy density functional in conjunction with our recently developed relativistic energy density functional (relativistic-EDF). The relativistic parameterization of the EDF at local density facilitates a consistent exploration of isospin-dependent surface properties across the nuclear landscape. In the present work, we successfully reproduce established shell closures and demonstrate that the relativistic approach yields significantly improved predictions for recognized magic numbers, particularly Z = 28 and 50. Additionally, we present compelling evidence for the presence of novel shell and sub-shell closures, specifically at Z = 34, 58, 92, and 118. These findings contribute to a nuanced understanding of nuclear surface properties while serving as a benchmark for future investigations and validations of nuclear models. Full article
(This article belongs to the Section Nuclear Theory and Experiments)
Show Figures

Figure 1

33 pages, 12141 KB  
Article
Experimental Study of Wind Characteristics at a Bridge Site in Mountain Valley Considering the Effect of Oncoming Wind Speed
by Weikang Li, Shengnan Cui, Jian Zhao, Luming An, Chao Yu, Yan Ding, Hongmiao Jing and Qingkuan Liu
Appl. Sci. 2024, 14(22), 10588; https://doi.org/10.3390/app142210588 - 17 Nov 2024
Cited by 6 | Viewed by 1962
Abstract
The topography of mountainous areas is characterized by large undulations, which lead to a very complex wind field at bridge sites in mountain valleys. The influence of oncoming wind speed on long-span bridges built in mountain valleys is quite pronounced. To investigate the [...] Read more.
The topography of mountainous areas is characterized by large undulations, which lead to a very complex wind field at bridge sites in mountain valleys. The influence of oncoming wind speed on long-span bridges built in mountain valleys is quite pronounced. To investigate the wind characteristics at a bridge site in a mountain valley under different oncoming wind speeds, a wind tunnel test of a terrain model with a scaling ratio of 1:1000, where a long-span bridge would be built in the V-shaped canyon, was conducted. Uniform and atmospheric boundary layer (ABL) inflows were both applied, and the effect of different oncoming wind speeds (basic wind speeds of 6 m/s, 8 m/s, 10 m/s, 12 m/s, and 14 m/s) under three wind directions (0°, 30°, and 180°) on the wind characteristics at the main beam and two bridge towers were studied. The results indicate that increasing oncoming wind speed leads to decreased wind profiles and wind speed amplification factors and increased wind attack angles, while wind yaw angles remain largely unchanged. In addition, compared to ABL inflow, the variation of fluctuating wind characteristics is more pronounced with the oncoming wind speed under uniform inflow. Under uniform inflow conditions, increasing the oncoming wind speed causes decreased turbulence intensity, reduces the peak frequency of the power spectrum, and slows down the high-frequency decay rate. Under ABL inflow conditions, turbulence intensity and the power spectrum remain unchanged with different oncoming wind speeds. Additionally, the turbulent integral scale derived from fitting with the von Kármán wind spectrum is sufficiently accurate, and the variation in the turbulent integral scale is greatly influenced by the terrain. Furthermore, higher wind speeds result in stronger coherence between two points. When two points are at different locations but with the same spacing, the coherence function remains roughly the same. Locations with higher kurtosis and skewness values exhibit steeper probability density functions, with larger kurtosis and skewness coefficients typically found on the leeward side. High wind speeds are more detrimental to bridge safety, and appropriate preventive measures should be implemented in advance to address extreme conditions that may arise at high wind speeds. Full article
Show Figures

Figure 1

8 pages, 648 KB  
Article
Molecular-Scale Liquid Density Fluctuations and Cavity Thermodynamics
by Attila Tortorella and Giuseppe Graziano
Entropy 2024, 26(8), 620; https://doi.org/10.3390/e26080620 - 24 Jul 2024
Cited by 1 | Viewed by 2022
Abstract
Equilibrium density fluctuations at the molecular level produce cavities in a liquid and can be analyzed to shed light on the statistics of the number of molecules occupying observation volumes of increasing radius. An information theory approach led to the conclusion that these [...] Read more.
Equilibrium density fluctuations at the molecular level produce cavities in a liquid and can be analyzed to shed light on the statistics of the number of molecules occupying observation volumes of increasing radius. An information theory approach led to the conclusion that these probabilities should follow a Gaussian distribution. Computer simulations confirmed this prediction across various liquid models if the size of the observation volume is not large. The reversible work required to create a cavity and the chance of finding no molecules in a fixed observation volume are directly correlated. The Gaussian formula for the latter probability is scrutinized to derive the changes in enthalpy and entropy, which arise from the cavity creation. The reversible work of cavity creation has a purely entropic origin as a consequence of the solvent-excluded volume effect produced by the inaccessibility of a region of the configurational space. The consequent structural reorganization leads to a perfect compensation of enthalpy and entropy changes. Such results are coherent with those obtained from Lee in his direct statistical mechanical study. Full article
(This article belongs to the Special Issue Thermodynamics and Anomalous Properties in Fluids)
Show Figures

Figure 1

19 pages, 8427 KB  
Article
A Persistent Scatterer Point Selection Method for Deformation Monitoring of Under-Construction Cross-Sea Bridges Using Statistical Theory and GMM-EM Algorithm
by Jianyong Li, Zidong Xu, Xuedong Zhang, Weiyu Ma and Shuguang He
Remote Sens. 2024, 16(12), 2197; https://doi.org/10.3390/rs16122197 - 17 Jun 2024
Cited by 5 | Viewed by 2077
Abstract
Using traditional algorithms to identify persistent scatterer (PS) points is challenging during bridge construction because of short-term changes at construction sites, such as earthworks, as well as the erection and dismantling of temporary structures. To address this issue, this study proposes a PS [...] Read more.
Using traditional algorithms to identify persistent scatterer (PS) points is challenging during bridge construction because of short-term changes at construction sites, such as earthworks, as well as the erection and dismantling of temporary structures. To address this issue, this study proposes a PS point selection method based on statistical theory and Gaussian Mixture Model-Expectation Maximization (GMM-EM) algorithm. This method adopts amplitude information as an incoherence evaluation indicator. Furthermore, the statistical median of the amplitude dispersion index and amplitude mean is screened twice to extract a set of candidate points, including PS points that exhibit stable backscattering over long durations. Temporal coherence is simultaneously used as the coherence evaluation indicator. Another candidate point set is obtained by extracting high-coherence PS points using the GMM-EM algorithm. These sets of candidate points are then combined to obtain a final PS points set. In the experiment, the deformation monitoring of the under-construction Shenzhen-Zhongshan Cross-Sea Bridge in China was selected as a case study, with 28 Sentinel-1A images used as the data source for PS selection and deformation information extraction. The results show that the proposed method enhanced the density and quality of PS points on the under-construction cross-sea bridge compared to existing PS selection methods, thus offering higher reliability. Deformation analysis further revealed fluctuating deformation trends at characteristic points of the Shenzhen-Zhongshan Cross-Sea Bridge, indicating the occurrence of elastic deformation during its construction. Full article
(This article belongs to the Special Issue Analysis of SAR/InSAR Data in Geoscience)
Show Figures

Figure 1

19 pages, 3356 KB  
Article
Excess Conductivity Analysis of an YBCO Foam Strut and Its Microstructure
by Yassine Slimani, Essia Hannachi, Anjela Koblischka-Veneva and Michael Rudolf Koblischka
Materials 2024, 17(7), 1649; https://doi.org/10.3390/ma17071649 - 3 Apr 2024
Cited by 3 | Viewed by 1775
Abstract
Struts of a superconducting YBa2Cu3Oy (YBCO) foam prepared by the infiltration growth method on the base of commercial polyurethane foams were extracted from the bulk, and thoroughly characterized concerning the microstructure and the magnetoresistance, measured by the four-point [...] Read more.
Struts of a superconducting YBa2Cu3Oy (YBCO) foam prepared by the infiltration growth method on the base of commercial polyurethane foams were extracted from the bulk, and thoroughly characterized concerning the microstructure and the magnetoresistance, measured by the four-point technique. Optical microscopy, electron microscopy, electron backscatter diffraction and atomic force microscopy observations indicate a unique microstructure of the foam struts which shows a large amount of tiny Y2BaCuO5 (Y-211) particles (with diameters between 50 and 100 nm) being enclosed in channel-like grain boundaries between the YBCO grains and a one-of-a-kind surface of the struts covered with Ba3Cu5Oy-particles. The resistance data obtained at temperatures in the range 4.2 K T 150 K (applied magnetic fields ranging from 0 to 7 T) were analyzed in the framework of the fluctuation-induced conductivity (FIC) approach using the models of Aslamazov–Larkin (AL) and Lawrence–Doniach (LD). The resulting FIC curves reveal the presence of five distinct fluctuation regimes, namely, the short-wave (SWF), one-dimensional (1D), two-dimensional (2D), three-dimensional (3D), and critical (CR) fluctuation domains. The analysis of the FIC data enable the coherence length in the direction of the c-axis at zero-temperature (ξc(0)), the irreversibility field (Birr), the upper critical magnetic field (Bc2), the critical current density at T= 0 K (Jc(0)) and several other parameters describing the the material’s superconducting properties to be determined. The present data reveal that the minuscule Y-211 particles found along the YBCO grain boundaries alter the excess conductivity and the fluctuation behavior as compared to conventional YBCO samples, leading to a quite high value for Jc(0) for a sample with a non-optimized pinning landscape. Full article
(This article belongs to the Special Issue Physics and Application of Superconductivity (2nd Edition))
Show Figures

Figure 1

19 pages, 6036 KB  
Article
Characterizing Ionospheric Effects on GNSS Reflectometry at Grazing Angles from Space
by Mario Moreno, Maximilian Semmling, Georges Stienne, Mainul Hoque and Jens Wickert
Remote Sens. 2023, 15(20), 5049; https://doi.org/10.3390/rs15205049 - 20 Oct 2023
Cited by 4 | Viewed by 3525
Abstract
Coherent observations in GNSS reflectometry are prominent in regions with smooth reflecting surfaces and at grazing elevation angles. However, within these lower elevation ranges, GNSS signals traverse a more extensive atmospheric path, and increased ionospheric effects (e.g., delay biases) are expected. These biases [...] Read more.
Coherent observations in GNSS reflectometry are prominent in regions with smooth reflecting surfaces and at grazing elevation angles. However, within these lower elevation ranges, GNSS signals traverse a more extensive atmospheric path, and increased ionospheric effects (e.g., delay biases) are expected. These biases can be mitigated by employing dual-frequency receivers or models tailored for single-frequency receivers. In preparation for the single-frequency GNSS-R ESA “PRETTY” mission, this study aims to characterize ionospheric effects under variable parameter conditions: elevation angles in the grazing range (5° to 30°), latitude-dependent regions (north, tropic, south) and diurnal changes (day and nighttime). The investigation employs simulations using orbit data from Spire Global Inc.’s Lemur-2 CubeSat constellation at the solar minimum (F10.7 index at 75) on March, 2021. Changes towards higher solar activity are accounted for with an additional scenario (F10.7 index at 180) on March, 2023. The electron density associated with each reflection event is determined using the Neustrelitz Electron Density Model (NEDM2020) and the NeQuick 2 model. The results from periods of low solar activity reveal fluctuations of up to approximately 300 TECUs in slant total electron content, 19 m in relative ionospheric delay for the GPS L1 frequency, 2 Hz in Doppler shifts, and variations in the peak electron density height ranging from 215 to 330 km. Sea surface height uncertainty associated with ionospheric model-based corrections in group delay altimetric inversion can reach a standard deviation at the meter level. Full article
(This article belongs to the Special Issue GNSS-R Earth Remote Sensing from SmallSats)
Show Figures

Graphical abstract

26 pages, 8612 KB  
Review
Tracking Defects of Electronic Crystals by Coherent X-ray Diffraction
by David Le Bolloc’h, Ewen Bellec, Natacha Kirova and Vincent L. R. Jacques
Symmetry 2023, 15(7), 1449; https://doi.org/10.3390/sym15071449 - 20 Jul 2023
Cited by 5 | Viewed by 2746
Abstract
In this article, we review different studies based on advanced X-ray diffraction techniques—especially coherent X-ray diffraction—that allowed us to reveal the behaviour of such symmetry-breaking systems as Charge Density Wave (CDW) and Spin density Wave (SDW), through their local phase. After a brief [...] Read more.
In this article, we review different studies based on advanced X-ray diffraction techniques—especially coherent X-ray diffraction—that allowed us to reveal the behaviour of such symmetry-breaking systems as Charge Density Wave (CDW) and Spin density Wave (SDW), through their local phase. After a brief introduction on the added value of using coherent X-rays, we show how the method can be applied to CDW and SDW systems, in both static and dynamical regimes. The approach allowed us to probe the particular sliding state of CDWs systems by observing them through their phase fluctuations, to which coherent X-rays are particularly sensitive. Several compounds stabilizing a CDW phase able to slide are presented, each with a different but clearly pronounced signature of the sliding state. Two main features emerge from this series of experiments which have been little treated until now, the influence of CDW pinning by the sample surfaces and the propagation of periodic phase defects such as charge solitons across the entire sample. Phase models describing the spatial and temporal properties of sliding CDWs are presented in the last part of this review. Full article
(This article belongs to the Special Issue Topological Objects in Correlated Electronic Systems)
Show Figures

Figure 1

13 pages, 416 KB  
Article
Isoscalar Giant Monopole Resonance in Spherical Nuclei as a Nuclear Matter Incompressibility Indicator
by Mitko K. Gaidarov, Martin V. Ivanov, Yordan I. Katsarov and Anton N. Antonov
Astronomy 2023, 2(1), 1-13; https://doi.org/10.3390/astronomy2010001 - 12 Jan 2023
Cited by 7 | Viewed by 3544
Abstract
The incompressibility of both nuclear matter and finite nuclei is estimated by the monopole compression modes in nuclei in the framework of a nonrelativistic Hartree–Fock–Bogoliyubov method and the coherent density fluctuation model. The monopole states originate from vibrations of the nuclear density. The [...] Read more.
The incompressibility of both nuclear matter and finite nuclei is estimated by the monopole compression modes in nuclei in the framework of a nonrelativistic Hartree–Fock–Bogoliyubov method and the coherent density fluctuation model. The monopole states originate from vibrations of the nuclear density. The calculations in the model for the incompressibility in finite nuclei are based on the Brueckner energy–density functional for nuclear matter. Results for the energies of the breathing vibrational states and finite nuclei incompressibilities are obtained for various nuclei and their values are compared with recent experimental data. The evolution of the isoscalar giant monopole resonance (ISGMR) along Ni, Sn, and Pb isotopic chains is discussed. This approach can be applied to analyses of neutron stars properties, such as incompressibility, symmetry energy, slope parameter, and other astrophysical quantities, as well as for modelling dynamical behaviors within stellar environments. Full article
Show Figures

Figure 1

14 pages, 493 KB  
Article
Isotopic Shift in Hg-Isotopes within Brückner versus Relativistic Energy Density Functional
by Jeet Amrit Pattnaik, Joshua T. Majekodunmi, Mrutunjaya Bhuyan and Suresh Kumar Patra
Foundations 2022, 2(4), 898-911; https://doi.org/10.3390/foundations2040061 - 12 Oct 2022
Cited by 1 | Viewed by 2603
Abstract
The present study is focused on revealing a characteristic kink of the neutron shell closure N = 126 across the Hg-isotopic chain within the relativistic mean-field (RMF) approach with the IOPB-I, DD-ME2, DD-PC1 and NL3 parameter sets. The RMF densities are converted to [...] Read more.
The present study is focused on revealing a characteristic kink of the neutron shell closure N = 126 across the Hg-isotopic chain within the relativistic mean-field (RMF) approach with the IOPB-I, DD-ME2, DD-PC1 and NL3 parameter sets. The RMF densities are converted to their spherical equivalence via the Wood–Saxon approximation and used as input within the parametrization procedure of the coherent density fluctuation model (CDFM). The nuclear matter symmetry energy is calculated using the Brückner energy density functional, and its surface, as well as volume components, are evaluated within Danielwicz’s liquid drop prescription. In addition, a comparison between Brückner and relativistic energy density functionals using the NL3 parameter set is shown as a representative case. The binding energy, charge distribution radius and symmetry energy are used as indicators of the isotopic shift in both ground and isomeric states. We have found the presence of a kink at the shell/sub-shell closure at N = 126 for neutron-rich 206Hg. The formation of the kink is traceable to the early filling of the 1i11/2 orbitals rather than 2g9/2, due to the large spin-orbit splitting. As such, the link between the occupational probability and the magicity of nuclei over the Hg-isotopic chain is established. Full article
(This article belongs to the Special Issue Advances in Fundamental Physics II)
Show Figures

Figure 1

19 pages, 5137 KB  
Article
Coherent Structures at the Interface between Water Masses of Confluent Rivers
by T. P. Lyubimova, A. P. Lepikhin, Ya N. Parshakova and A. V. Bogomolov
Water 2022, 14(8), 1308; https://doi.org/10.3390/w14081308 - 17 Apr 2022
Cited by 5 | Viewed by 2659
Abstract
The paper presents the results of field measurements and numerical modeling of the influence of various factors on the formation of coherent structures in the confluence zone of the Sylva and Chusovaya rivers, which are dammed by the Kamskaya Hydroelectric Power Station (HPS). [...] Read more.
The paper presents the results of field measurements and numerical modeling of the influence of various factors on the formation of coherent structures in the confluence zone of the Sylva and Chusovaya rivers, which are dammed by the Kamskaya Hydroelectric Power Station (HPS). A characteristic feature of the measured parameters in the zone under study is that they experience both seasonal fluctuations and fluctuations of much higher frequency associated with intraday regulation of the HPS operation. These intraday fluctuations give rise to coherent structures with periodicity T~2–10 min, which manifest themselves in the fluctuations of the specific electrical conductivity of water. The flow velocity also experiences significant fluctuations with a sufficiently wide frequency spectrum, although the characteristic period of its fluctuations is less than the period of electrical conductivity fluctuations and is equal to ~1 min. In order to study the features of the formation of such structures, numerical simulation was carried out within the framework of the three-dimensional approach. Calculations were performed for a 300-meter-long stretch of the Chusovaya River, which is located downstream of the confluence of Chusovaya and Sylva rivers and is the site of the Chusovskoy water intake of Perm city. It was found that the intraday irregularity of HPS operation gives rise to the occurrence of vortex structures in this layer, leading to the temporal variation of concentration at a given point of space and the formation of the wave structure of the concentration field at different moments of time. Time period and spatial scale of such vortex structures depend on the ratio of velocities of water masses and difference in their mineralization and, accordingly, in densities. Moreover, the period of fluctuations is proportional to the ratio of flow velocities. These estimations are of fundamental importance for the implementation of stable selective intake of water with required consumer properties under conditions of intraday irregularity of hydroelectric power station operation. Full article
(This article belongs to the Section Hydraulics and Hydrodynamics)
Show Figures

Figure 1

10 pages, 555 KB  
Article
Uniformly Frustrated XY Model: Strengthening of the Vortex Lattice by Intrinsic Disorder
by Ilaria Maccari, Lara Benfatto and Claudio Castellani
Condens. Matter 2021, 6(4), 42; https://doi.org/10.3390/condmat6040042 - 6 Nov 2021
Cited by 4 | Viewed by 3973
Abstract
In superconducting films, the role of intrinsic disorder is typically to compete with superconductivity by fragmenting the global phase coherence and lowering the superfluid density. Nonetheless, when a transverse magnetic field is applied to the system and an Abrikosov vortex lattice form, the [...] Read more.
In superconducting films, the role of intrinsic disorder is typically to compete with superconductivity by fragmenting the global phase coherence and lowering the superfluid density. Nonetheless, when a transverse magnetic field is applied to the system and an Abrikosov vortex lattice form, the presence of disorder can actually strengthen the superconducting state against thermal fluctuations. By means of Monte Carlo simulations on the uniformly frustrated XY model in two dimensions, we show that while for weak pinning the superconducting critical temperature Tc increases with the applied field H, for strong enough pinning, the experimental decreasing dependence between Tc and H is recovered with a resulting more robust vortex lattice. Full article
(This article belongs to the Special Issue SuperFluctuations, 5th Edition)
Show Figures

Figure 1

15 pages, 4196 KB  
Article
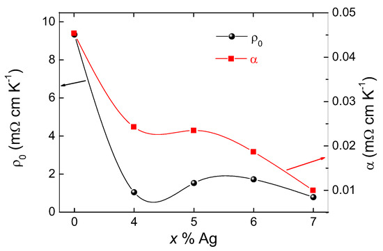
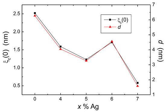
Excess Conductivity Analysis of Polycrystalline FeSe Samples with the Addition of Ag
by Michael Rudolf Koblischka, Yassine Slimani, Anjela Koblischka-Veneva, Thomas Karwoth, XianLin Zeng, Essia Hannachi and Masato Murakami
Materials 2020, 13(21), 5018; https://doi.org/10.3390/ma13215018 - 6 Nov 2020
Cited by 16 | Viewed by 3130
Abstract
Bulk FeSe superconductors of the iron-based (IBS) “11” family containing various additions of silver were thoroughly investigated concerning the microstructure using optical microscopy and electron microscopy (TEM and SEM). The measurements of electrical resistivity were performed through the four-point technique in the temperature [...] Read more.
Bulk FeSe superconductors of the iron-based (IBS) “11” family containing various additions of silver were thoroughly investigated concerning the microstructure using optical microscopy and electron microscopy (TEM and SEM). The measurements of electrical resistivity were performed through the four-point technique in the temperature interval T= 2–150 K. The Aslamazov–Larkin model was employed to analyze the fluctuation-induced conductivity (FIC) in all acquired measurements. In all studied products, we found that the FIC curves consist of five different regimes of fluctuation, viz. critical region (CR), three-dimensional (3D), two-dimensional (2D), one-dimensional (1D), and shortwave fluctuation (SWF) regimes. The critical current density (Jc), the lower and upper critical magnetic fields (Bc1 and Bc2), the coherence length along the c-axis at zero-temperature (ξc(0)), and further parameters were assessed with regards to the silver amount within the products. The analyses discloses a diminution in the resistivity and a great reduction in ξc(0) with Ag addition. The optimal silver doping amount is achieved for 7 wt.%, which yields the best superconducting transition and the greatest Jc value. Full article
(This article belongs to the Section Electronic Materials)
Show Figures

Figure 1

12 pages, 753 KB  
Article
Monitoring of Nonadiabatic Effects in Individual Chromophores by Femtosecond Double-Pump Single-Molecule Spectroscopy: A Model Study
by Maxim F. Gelin, Elisa Palacino-González, Lipeng Chen and Wolfgang Domcke
Molecules 2019, 24(2), 231; https://doi.org/10.3390/molecules24020231 - 9 Jan 2019
Cited by 7 | Viewed by 3494
Abstract
We explore, by theoretical modeling and computer simulations, how nonadiabatic couplings of excited electronic states of a polyatomic chromophore manifest themselves in single-molecule signals on femtosecond timescales. The chromophore is modeled as a system with three electronic states (the ground state and two [...] Read more.
We explore, by theoretical modeling and computer simulations, how nonadiabatic couplings of excited electronic states of a polyatomic chromophore manifest themselves in single-molecule signals on femtosecond timescales. The chromophore is modeled as a system with three electronic states (the ground state and two non-adiabatically coupled excited states) and a Condon-active vibrational mode which, in turn, is coupled to a harmonic oscillator heat bath. For this system, we simulate double-pump single-molecule signals with fluorescence detection for different system-field interaction strengths, from the weak-coupling regime to the strong-coupling regime. While the signals are determined by the coherence of the electronic density matrix in the weak-coupling regime, they are determined by the populations of the electronic density matrix in the strong-coupling regime. As a consequence, the signals in the strong coupling regime allow the monitoring of nonadiabatic electronic population dynamics and are robust with respect to temporal inhomogeneity of the optical gap, while signals in the weak-coupling regime are sensitive to fluctuations of the optical gap and do not contain information on the electronic population dynamics. Full article
(This article belongs to the Special Issue Single-Molecule Fluorescence Spectroscopy)
Show Figures

Figure 1

Back to TopTop