Excess Conductivity Analysis of an YBCO Foam Strut and Its Microstructure
Abstract
1. Introduction
2. Experimental Procedures
2.1. Sample Preparation
- (i)
- The base material employed is polyurethane foams, which are commercially available. These foams then set the porosity of the final superconducting foam. The base foam is then filled with a slurry of Y-211 powder, dissolved in a mixture of polyvinylalcohol (PVA) and demineralized H2O. A ceramic Y-211 foam is obtained by slow heating at 50 K/h to 600 °C and dwelling for 6 h. In this step, the organic materials, PVA and polyurethane, are fully burnt off. To further compact the Y-211 ceramic, the foam is heated to 1150 °C at 100 K/h and kept there for 10 h.
- (ii)
- In the second step, the “green” Y-211 foam is transformed into the YBCO superconductor adopting the infiltration growth process [9,10]. Here, an Nd-123 seed crystal placed on top induces an overall texture to the foam sample. As a liquid source, a pellet consisting of a 1:1 mixture of Ba- and Cu- oxides (nominal stoichiometry of Ba3Cu5Oy) and extra Y-123 powder is located below the Y-211 foam. A temperature above the eutectic temperature (1010 °C) is applied causing the liquid phase to infiltrate the 211 foam by capillary action [21]. Finally, in a slow-cooling process, the Y-211 foam is completely transformed into the Y-123 phase, which also accomplishes the necessary oxygen uptake.
2.2. Microstructure Analysis
2.3. Resistance Measurements
3. Results and Discussion
3.1. Microstructure
3.2. Resistance Measurements
3.3. Excess Conductivity
3.4. Discussion
- The microstructure of the YBCO foam struts is distinctly different from both polycrystalline and melt-textured bulks. An overall texture was introduced by means of a seed crystal, but the local microstructure of an individual foam strut depends on its orientation in the original foam sample. Furthermore, there is not a true single-grain configuration as GBs between YBCO grains prevail, which are filled up with nanometer-sized, tiny Y-211 particles.
- The YBCO foam struts exhibit the presence of Ba3Cu5Oy particles on the sample surface, left over from the capillary flow of the liquid phase during the IG processing.
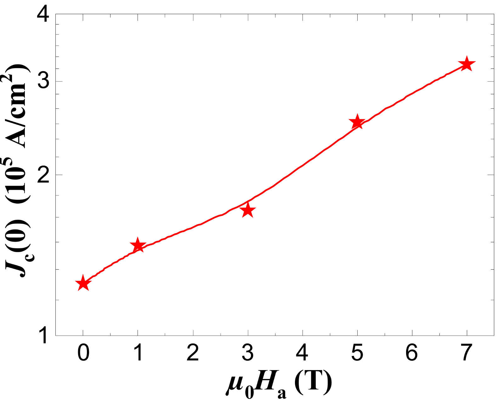
- The microstructure investigation performed on the foam struts reveals several possibilities to further improve the current flow and hence, the critical current density.
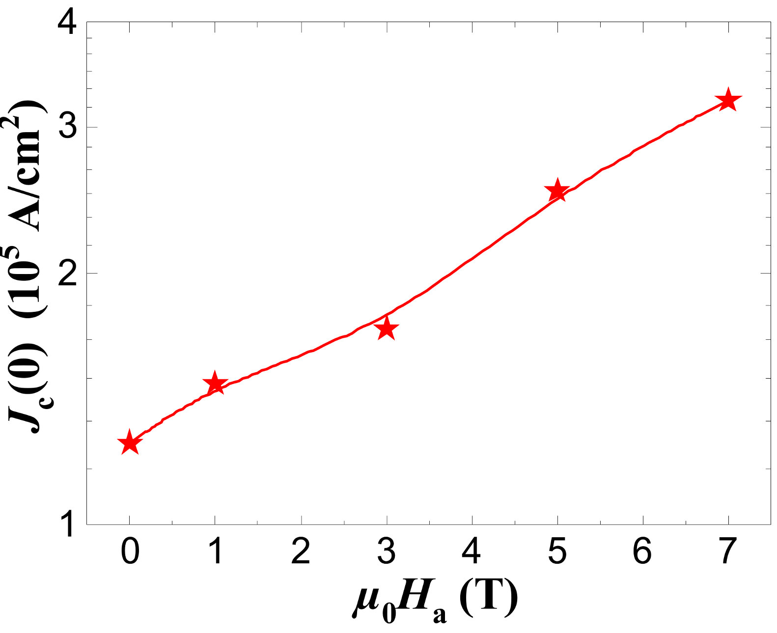
- The resistance measurements reveal a relatively high of 99.97 K at zero field, a quite sharp superconducting transition followed by a broad foot close to .
- In applied magnetic fields at 3 T and above, a clear kink appears in leading to a double-peak structure in the d/dT-plot. This double-peak structure ( and ) is due to the formation of a long-range superconducting state at lower temperatures involving zero resistivity achieved via a percolation-like process.
- The FIC analysis reveals the presence of three possible fluctuation regimes, namely CR, MFR, and SWF regimes, which can be clearly distinguished. The MFR consists of the three 1D, 2D, and 3D fluctuations.
- The width of the 1D regime is found to decrease on increasing the applied magnetic field, reflecting a destabilization of the conducting charge strips in the YBCO foam strut with magnetic field application [15].
- The width of the 2D fluctuation regime increases while the width of the 3D regime shrinks on increasing the applied magnetic field.
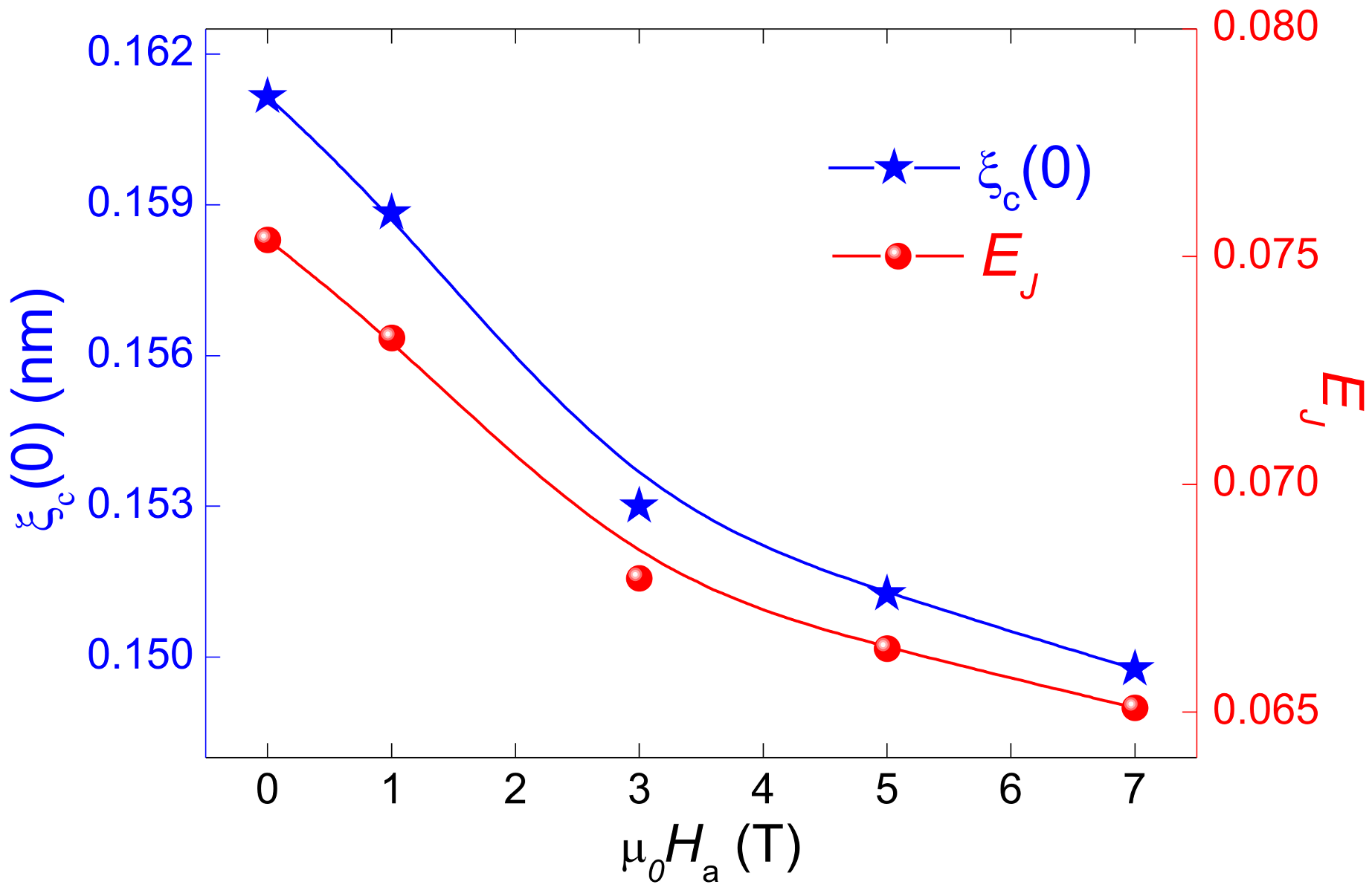
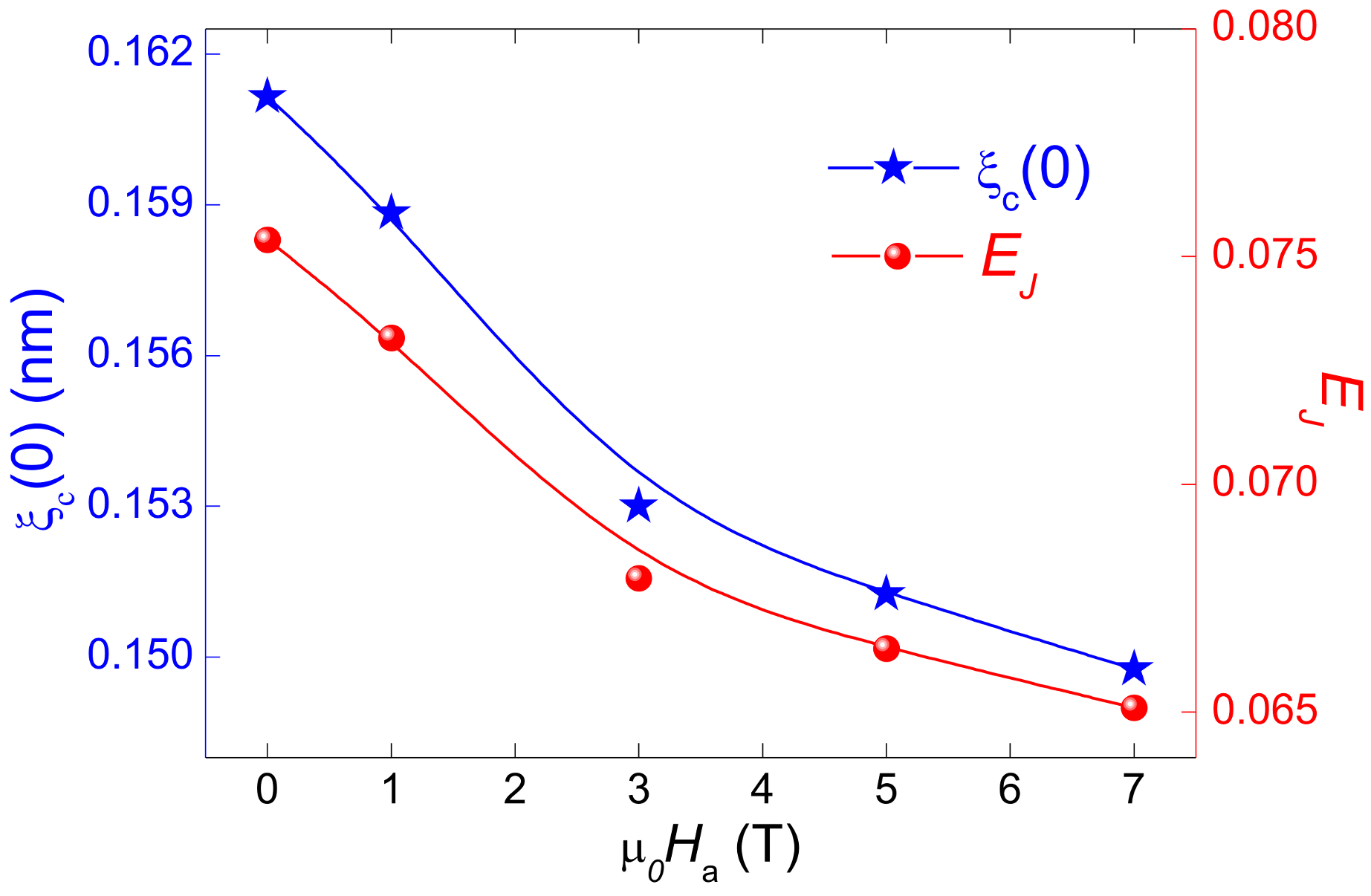
- The coupling strength, , between the CuO2 planes and the zero-temperature coherence length along the c-axis , diminishes with increasing the applied magnetic field.
4. Conclusions
Author Contributions
Funding
Institutional Review Board Statement
Informed Consent Statement
Data Availability Statement
Conflicts of Interest
References
- Noe, M.; Steurer, M. High-temperature superconductor fault current limiters: Concepts, applications, and development status. Supercond. Sci. Technol. 2007, 20, R15–R29. [Google Scholar] [CrossRef]
- Reddy, E.S.; Schmitz, G.J. Superconducting foams. Supercond. Sci. Technol. 2002, 15, L21–L24. [Google Scholar] [CrossRef]
- Noudem, J.G. Developing of shaping textured superconductors. J. Supercond. 2011, 24, 105–110. [Google Scholar] [CrossRef]
- Mitschang, G.W. Space applications and implications of high temperature superconductivity. IEEE Trans. Appl. Supercond. 1995, 5, 69–73. [Google Scholar] [CrossRef]
- Zhang, M.; Han, Y.; Guo, X.; Zhao, C.; Deng, F. The connection characteristics of flux pinned docking interface. J. Appl. Phys. 2017, 121, 113907. [Google Scholar] [CrossRef]
- Koblischka, M.R.; Koblischka-Veneva, A. Porous high-Tc superconductors and their applications. AIMS Material Sci. 2018, 5, 1199–1213. [Google Scholar] [CrossRef]
- Reddy, E.S.; Schmitz, G.J. Ceramic foams. Am. Ceram. Soc. Bull. 2003, 81, 35–37. [Google Scholar]
- Reddy, E.S.; Herweg, M.; Schmitz, G.J. Processing of Y2BaCuO5 foams. Supercond. Sci. Technol. 2003, 16, 608–612. [Google Scholar] [CrossRef]
- Iida, K.; Babu, N.H.; Shi, Y.; Cardwell, D.A. Seeded infiltration and growth of large, single domain Y-Ba-Cu-O bulk superconductors with very high critical current densities. Supercond. Sci. Technol. 2005, 18, 1421–1427. [Google Scholar] [CrossRef]
- Naik, S.P.K.; Bai, V.S. Role of nano and micron-sized inclusions on the oxygen controlled preform optimized infiltration growth processed YBCO superconductors. J. Phys. Chem. Solids 2017, 101, 65–73. [Google Scholar] [CrossRef]
- Kumar, N.D.; Shi, Y.; Cardwell, D.A. Chapter 1. In Fabrication of Bulk (RE)BCO Superconductors by the Infiltration and Growth Process: Past, Present and Future Superconductivity Applications Today and Tomorrow ed M Muralidhar; Nova Science Publishers: New York, NY, USA, 2016; pp. 1–35. [Google Scholar]
- Koblischka, M.R.; Koblischka-Veneva, A.; Reddy, E.S.; Schmitz, G.J. Analysis of the microstructure of superconducting YBCO foams by means of AFM and EBSD. J. Adv. Ceram. 2014, 3, 317–325. [Google Scholar] [CrossRef]
- Koblischka, M.R.; Koblischka-Veneva, A.; Nouailhetas, Q.; Hajiri, G.; Berger, K.; Douine, B.; Gokhfeld, D. Microstructural Parameters for Modelling of Superconducting Foams. Materials 2022, 15, 2303. [Google Scholar] [CrossRef] [PubMed]
- Koblischka, M.R.; Koblischka-Veneva, A.; Berger, K.; Nouailhetas, Q.; Douine, B.; Reddy, E.S.; Schmitz, G.J. Current flow and flux pinning properties of YBCO foam struts. IEEE Trans. Appl. Supercond. 2019, 29, 8001405. [Google Scholar] [CrossRef]
- Hannachi, E.; Slimani, Y.; Salem, M.K.B.; Hamrita, A.; Al-Otaibi, A.L.; Almessiere, M.A.; Salem, M.B.; Azzouz, F.B. Fluctuation induced conductivity studies in YBa2Cu3Oy compound embedded by superconducting nano-particles Y-deficient YBa2Cu3Oy: Effect of silver inclusion. Indian J. Phys. 2016, 90, 1009–1018. [Google Scholar] [CrossRef]
- Aslamazov, L.G.; Larkin, A.L. The influence of fluctuation pairing of electrons on the conductivity of normal metal. Phys. Lett. A 1968, 26, 238–252. [Google Scholar] [CrossRef]
- Lawrence, W.E.; Doniach, S. Theory of layer structure, superconductors. In Proceedings of the 12th International Conference on Low Temperature Physics, Kyoto, Japan, 4–10 September 1970. [Google Scholar]
- Maki, K.; Thompson, R.S. Fluctuation conductivity of high-Tc superconductors. Phys. Rev. B 1989, 39, 2767–2771. [Google Scholar] [CrossRef]
- Larkin, A.; Varlamov, A. Fluctuation Phenomena in Superconductors; Oxford University Press: Oxford, UK, 2005. [Google Scholar]
- Nayak, P.K.; Ravi, S. Excess conductivity and magneto-conductivity studies in pure and Ag-doped (La1-xYx)2Ba2CaCu5Oz superconductors. Supercond. Sci. Technol. 2006, 19, 1209. [Google Scholar] [CrossRef]
- Reddy, E.S.; Rajasekharan, T. Fabrication of textured REBa2Cu3O7/RE2BaCuO5 (RE=Y,Gd) composites by infiltration and growth of RE2BaCuO5 preforms by liquid phases. Supercond. Sci. Technol. 1998, 11, 523–534. [Google Scholar] [CrossRef]
- Koblischka, M.R.; Koblischka-Veneva, A. Applications of the electron backscatter diffraction technique to ceramic materials. Phase Trans. 2013, 86, 651–660. [Google Scholar] [CrossRef]
- TexSEM Laboratories (TSL). Orientation Imaging Microscopy Software V7.2, User Manual; TexSEM laboratories (TSL): Draper, UT, USA, 2015. [Google Scholar]
- Reimer, L. Scanning Electron Microscopy: Physics of Image Formation and Microanalysis; Springer Science: Berlin/Heidelberg, Germany, 1985. [Google Scholar]
- Keyence Corp. Optical Microscopes. Available online: https://www.keyence.com/products/microscope/digital-microscope/vhx-7000/ (accessed on 31 January 2022).
- Guilmeau, E.; Lambert, S.; Chateigner, D.; Ouladdiaf, B.; Noudem, J.G. Quantitative texture analysis of polyphased oxides by diffraction: Example of Bi2223 sinter-forged ceramic and Y123 foam superconductors. Mat. Sci. Eng. B 2003, 104, 107–112. [Google Scholar] [CrossRef][Green Version]
- Noudem, J.G.; Guilmeau, E.; Chateigner, D.; Lambert, S.; Reddy, E.S.; Ouladdiaf, B.; Schmitz, G.J. Properties of YBa2Cu3Oy-textured superconductor foams. Physica C 2004, 408–410, 655–656. [Google Scholar] [CrossRef]
- Naik, S.P.K.; Hagiwara, R.; Ishibashi, S.; Asano, N.; Ogino, H.; Ishida, S.; Koblischka, M.R.; Koblischka-Veneva, A.; Tsuchiya, Y.; Kawashima, K.; et al. Investigation of high-energy ultrasonication of RE2BaCuO5 (RE = Y, Gd) on the growth and superconducting properties of REBa2Cu3O7-δ top-seeded melt textured bulks. Supercond. Sci. Technol. 2022, 35, 074003. [Google Scholar]
- Petrenko, E.V.; Omelchenko, L.V.; Kolesnichenko, Y.A.; Shytov, N.V.; Rogacki, K.; Sergeyev, D.M.; Solovjov, A.L. Study of fluctuation conductivity in YBa2Cu3O7-δ films in strong magnetic fields. Low Temp. Phys. 2021, 47, 1050–1057. [Google Scholar] [CrossRef]
- Dogruer, M.; Zalaoglu, Y.; Varilci, A.; Terzioglu, C.; Yildirim, G.; Ozturk, O. A study on magnetoresistivity, activation energy, irreversibility and upper critical field of slightly Mn added Bi-2223 superconductor ceramics. J. Supercond. Nov. Magn. 2012, 25, 961–968. [Google Scholar] [CrossRef]
- Pradhan, A.K.; Muralidhar, M.; Koblischka, M.R.; Murakami, M.; Nakao, K.; Koshizuka, N. Evidence of strong flux pinning in melt-processed ternary (Nd–Eu–Gd)Ba2Cu3Oy superconductors. Appl. Phys. Lett. 1999, 75, 253–255. [Google Scholar] [CrossRef]
- Nazarova, E.; Balchev, N.; Nenkov, K.; Buchkov, K.; Kovacheva, D.; Zahariev, A.; Fuchs, G. Transport and pinning properties of Ag-doped FeSe0.94. Supercond. Sci. Technol. 2015, 28, 025013. [Google Scholar] [CrossRef]
- Yeshurun, Y.; Malozemoff, A.P.; Shaulov, A. Magnetic relaxation in high-temperature superconductors. Rev. Mod. Phys. 1996, 68, 911–949. [Google Scholar] [CrossRef]
- Woch, W.M.; Kowalik, M.; Giebułtowski, M.; Zalecki, R.; Szeliga, A.; Przewoźnik, J.; Kapusta, C. Magnetoresistance, irreversibility fields, and critical currents of superconducting 2G tape. J. Supercond. Nov. Magn. 2017, 30, 569–574. [Google Scholar] [CrossRef][Green Version]
- Rullier-Albenque, F.; Alloul, H.; Rikken, G.L.J.A. High-field studies of superconducting fluctuations in high-Tc cuprates: Evidence for a small gap distinct from the large pseudogap. Phys. Rev. B 2011, 84, 014522. [Google Scholar] [CrossRef]
- Aslamazov, L.G.; Larkin, A.I. Effect of fluctuations on the properties of a superconductor above the critical temperature. In 30 Years Of The Landau Institute—Selected Papers; World Scientific Publishing: Hackensack, NJ, USA, 1996; pp. 23–28. [Google Scholar]
- Rojas, J.R.; Jurelo, A.R.; Costa, R.M.; Ferreira, L.M.; Pureur, P.; Orlando, M.T.D.; Prieto, P.; Nieva, G. Fluctuation conductivity and the dynamical universality class of the superconducting transition in the high-Tc cuprates. Phys. Supercond. 2000, 341, 1911–1912. [Google Scholar] [CrossRef]
- Mayorga, P.A.; Téllez, D.A.; Madueno, Q.; Alfonso, J.E.; Roa-Rojas, J. Conductivity fluctuation of YBa2Cu3O7-δ/Sr2YSbO6/SrTiO3 thin films. Brazil. J. Phys. 2006, 36, 1084–1087. [Google Scholar] [CrossRef]
- Hannachi, E.; Slimani, Y.; Ekicibil, A.H.M.E.T.; Manikandan, A.; Azzouz, F.B. Excess conductivity and AC susceptibility studies of Y-123 superconductor added with TiO2 nano-wires. Mat. Chem. Phys. 2019, 235, 121721. [Google Scholar] [CrossRef]
- Hohenberg, P.C.; Halperin, B.I. Theory of dynamic critical phenomena. Rev. Mod. Phys. 1977, 49, 435–479. [Google Scholar] [CrossRef]
- Costa, R.M.; Pureur, P.; Gusmao, M.; Senoussi, S.; Behnia, K. Scaling beyond 3D- XY in the fluctuation conductivity of YBa2Cu3O7-δ. Solid State Commun. 2000, 113, 23–27. [Google Scholar] [CrossRef]
- Sahoo, M.; Behera, D. Inhomogeneity Induced Conductivity Fluctuation in YBa2Cu3O7-y/Cr2O3 Composite. J. Supercond. Nov. Magn. 2013, 26, 3017–3025. [Google Scholar] [CrossRef]
- Barros, F.M.; Pureur, P.; Schaf, J.; Fabris, F.W.; Vieira, V.N.; Jurelo, A.R.; Cantao, M.P. Unconventional superconducting granularity of the Y(1-x)PrxBa2Cu3O7-δ compound. Phys. Rev. B 2006, 73, 094515. [Google Scholar] [CrossRef]
- Opata, Y.A.; Kurelo, A.R.; Leite, L.B.D.; Pinheiro, G.; Rodrigues, P.; Jurelo, A.R.; Siqueira, E.C. Fluctuation-Induced Conductivity of Polycrystalline Er(1-x)CexBa2Cu3O7-δ Superconductor. Mod. Phys. Lett. B 2011, 25, 1671–1681. [Google Scholar] [CrossRef]
- Sahoo, B.; Routray, K.L.; Panda, B.; Samal, D.; Behera, D. Excess conductivity and magnetization of CoFe2O4 combined with YBa2Cu3O7-δ as a superconductor. J. Phys. Chem. Solids 2019, 132, 187–196. [Google Scholar] [CrossRef]
- Bianconi, A.; Valletta, A.; Perali, A.; Saini, N.L. Superconductivity of a striped phase at the atomic limit. Physica C 1998, 296, 269–280. [Google Scholar] [CrossRef]
- Wilson, J.A. Structural matters in HTSC: The origin and form of stripe organization and checkerboarding. J. Phys. Condens. Matter 2006, 18, R69–R99. [Google Scholar] [CrossRef]
- Zhao, H.; Ren, Z.; Rachmilowitz, B.; Schneeloch, J.; Zhong, R.; Gu, G.; Wang, Z.; Zeljkovic, I. Charge-stripe crystal phase in an insulating cuprate. Nat. Mater. 2019, 18, 103–107. [Google Scholar] [CrossRef] [PubMed]
- Jacobsen, H.; Holm, S.L.; Lăcătuşu, M.-E.; Rømer, A.T.; Bertelsen, M.; Boehm, M.; Toft-Petersen, R.; Grivel, J.-C.; Emery, S.B.; Udby, L.; et al. Distinct Nature of Static and Dynamic Magnetic Stripes in Cuprate Superconductors. Phys. Rev. Lett. 2018, 120, 037003. [Google Scholar] [CrossRef] [PubMed]
- Hikami, S.; Larkin, A. Magnetoresistance of high temperature superconductors. Mod. Phys. Lett. B 1988, 2, 693–698. [Google Scholar] [CrossRef]
- Narlikar, A.V. Superconductors; Oxford University Press: Oxford, UK, 2014. [Google Scholar]
- Hassan, A.A.E.; Labrag, A.; Taoufik, A.; Bghour, M.; Ouaddi, H.E.; Tirbiyine, A.; Lmouden, B.; Hafid, A.; Hamidi, H.E. Magnetic Penetration Depth and Coherence Length in a Single-Crystal YBa2Cu3O7-δ. Phys. Status Solidi (B) 2021, 258, 2100292. [Google Scholar]
- Subhasis, S.; Namburi, D.K.; Das, S.D.; Nath, T.K. Magnetic field-dependent study of excess conductivity and pseudogap state of single grain GdBa2Cu3O7-δ superconductor. Appl. Phys. A 2022, 128, 469. [Google Scholar]
- Solovjov, A.L.; Omelchenko, L.V.; Petrenko, E.V.; Vovk, R.V.; Khotkevych, V.V.; Chroneos, A. Peculiarities of pseudogap in Y0.95Pr0-06Ba2Cu3O7-δ single crystals under pressure up to 1.7 GPa. Sci. Rep. 2019, 9, 20424. [Google Scholar] [CrossRef] [PubMed]
- Sedky, A.; Nazarova, E.; Nenkov, K.; Buchkov, K. A comparative study between electro and magneto excess conductivities in FeTeSe superconductors. J. Supercond. Nov. Magn. 2017, 30, 2751–2762. [Google Scholar] [CrossRef]
- Ali, A.M.; Sedky, A.; Algarni, H.; Sayed, M.A. Argon annealing and oxygen purity affect structural and critical parameters of YBCO copper oxide system. J. Low Temp Phys. 2019, 197, 445–457. [Google Scholar] [CrossRef]
- Hannachi, E.; Slimani, Y.; Al-qwairi, F.O.; Almessiere, M.A.; Azzouz, F.B. Comparative study of thermal fluctuation induced conductivity in YBa2Cu3O7-δ containing Nano-Zn0.95Mn0.05O and Nano-Al2O3 particles. Solid State Sci. 2020, 105, 106264. [Google Scholar] [CrossRef]
- Sahoo, B.; Behera, D. Investigation of superconducting and elastic parameters of YBCO/LSMO thick films. J. Mater. Sci. Mater. Electron. 2019, 30, 12992–13004. [Google Scholar] [CrossRef]





) in (a). The in total five fluctuation regimes recognized here are indicated by
for the critical regime (CR), by
for 3D fluctuations,
for 2D fluctuations,
for 1D fluctuations and
for the SWF regime.
) in (a). The in total five fluctuation regimes recognized here are indicated by
for the critical regime (CR), by
for 3D fluctuations,
for 2D fluctuations,
for 1D fluctuations and
for the SWF regime.



| (T) | (K) | (K) | (m cm) | (K) | (K) | (K) | (K) | (K) | (K) |
|---|---|---|---|---|---|---|---|---|---|
| 0 | 89.97 | 99.97 | 0.409 | 96.26 | – | 96.9 | 103.10 | 108.79 | 119.67 |
| 1 | 87.75 | 97.54 | 0.403 | 92.86 | – | 95.02 | 100.65 | 107.51 | 117.38 |
| 3 | 85.77 | 96.66 | 0.398 | 91.85 | 90.60 | 93.66 | 98.09 | 106.95 | 117.27 |
| 5 | 84.1 | 96.45 | 0.396 | 91.82 | 89.29 | 93.27 | 97.29 | 107.48 | 116.31 |
| 7 | 81.41 | 94.49 | 0.378 | 90.64 | 87.66 | 92.21 | 96.54 | 106.82 | 115.35 |
| (T) | |||||
|---|---|---|---|---|---|
| 0 | 0.32 | 0.51 | 0.95 | 1.50 | 2.95 |
| 1 | 0.34 | 0.48 | 0.96 | 1.55 | 3.05 |
| 3 | 0.30 | 0.49 | 0.94 | 1.54 | 2.97 |
| 5 | 0.21 | 0.48 | 0.95 | 1.45 | 3.02 |
| 7 | 0.23 | 0.48 | 0.95 | 1.50 | 3.01 |
| Material | (A/cm2) | Reference |
|---|---|---|
| YBCO foam | 125,430 | present work |
| Oxygenated and argon annealed YBCO | 1390 | [56] |
| YBCO polycrystal (solid state reaction) | 89,340 | [39] |
| Ball milled YBCO | 130,380 | [15] |
| Polycrystalline YBCO/Zn0.95Mn0.05O | 170,000 | [57] |
| Polycrystalline YBCO/Al2O3 | 318,560 | [57] |
| YBCO thick film | 350,000 | [58] |
Disclaimer/Publisher’s Note: The statements, opinions and data contained in all publications are solely those of the individual author(s) and contributor(s) and not of MDPI and/or the editor(s). MDPI and/or the editor(s) disclaim responsibility for any injury to people or property resulting from any ideas, methods, instructions or products referred to in the content. |
© 2024 by the authors. Licensee MDPI, Basel, Switzerland. This article is an open access article distributed under the terms and conditions of the Creative Commons Attribution (CC BY) license (https://creativecommons.org/licenses/by/4.0/).
Share and Cite
Slimani, Y.; Hannachi, E.; Koblischka-Veneva, A.; Koblischka, M.R. Excess Conductivity Analysis of an YBCO Foam Strut and Its Microstructure. Materials 2024, 17, 1649. https://doi.org/10.3390/ma17071649
Slimani Y, Hannachi E, Koblischka-Veneva A, Koblischka MR. Excess Conductivity Analysis of an YBCO Foam Strut and Its Microstructure. Materials. 2024; 17(7):1649. https://doi.org/10.3390/ma17071649
Chicago/Turabian StyleSlimani, Yassine, Essia Hannachi, Anjela Koblischka-Veneva, and Michael Rudolf Koblischka. 2024. "Excess Conductivity Analysis of an YBCO Foam Strut and Its Microstructure" Materials 17, no. 7: 1649. https://doi.org/10.3390/ma17071649
APA StyleSlimani, Y., Hannachi, E., Koblischka-Veneva, A., & Koblischka, M. R. (2024). Excess Conductivity Analysis of an YBCO Foam Strut and Its Microstructure. Materials, 17(7), 1649. https://doi.org/10.3390/ma17071649

