Experimental Study of Wind Characteristics at a Bridge Site in Mountain Valley Considering the Effect of Oncoming Wind Speed
Abstract
1. Introduction
2. The Topography and Research Strategy
3. Wind Tunnel Test Setup
4. Results and Discussion
4.1. Mean Wind Characteristics
4.1.1. Wind Profiles and Wind Speed Amplification Factor
4.1.2. Wind Yaw Angle
4.1.3. Wind Attack Angle
4.2. Fluctuating Wind Characteristics
4.2.1. Turbulence Intensity
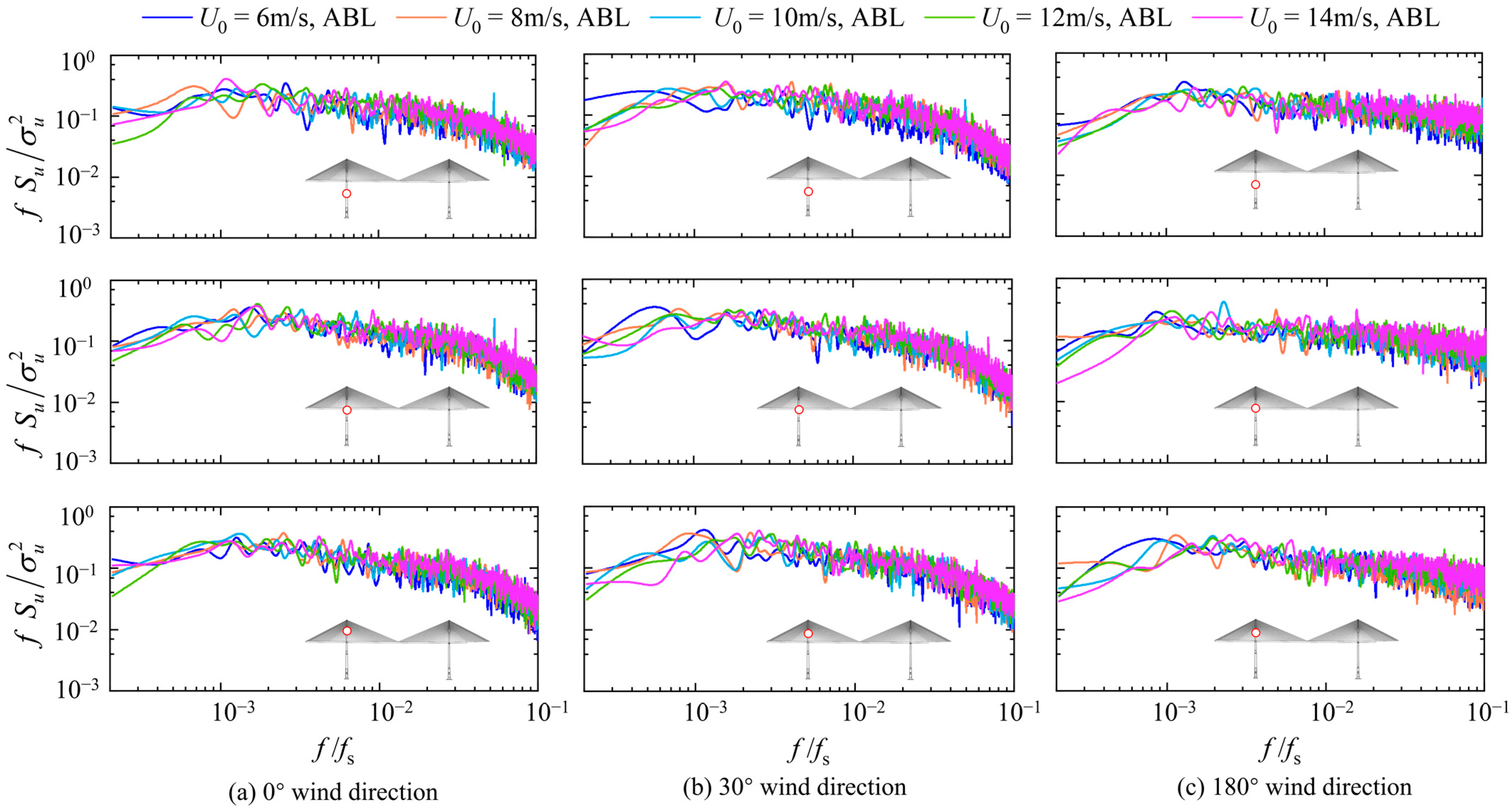
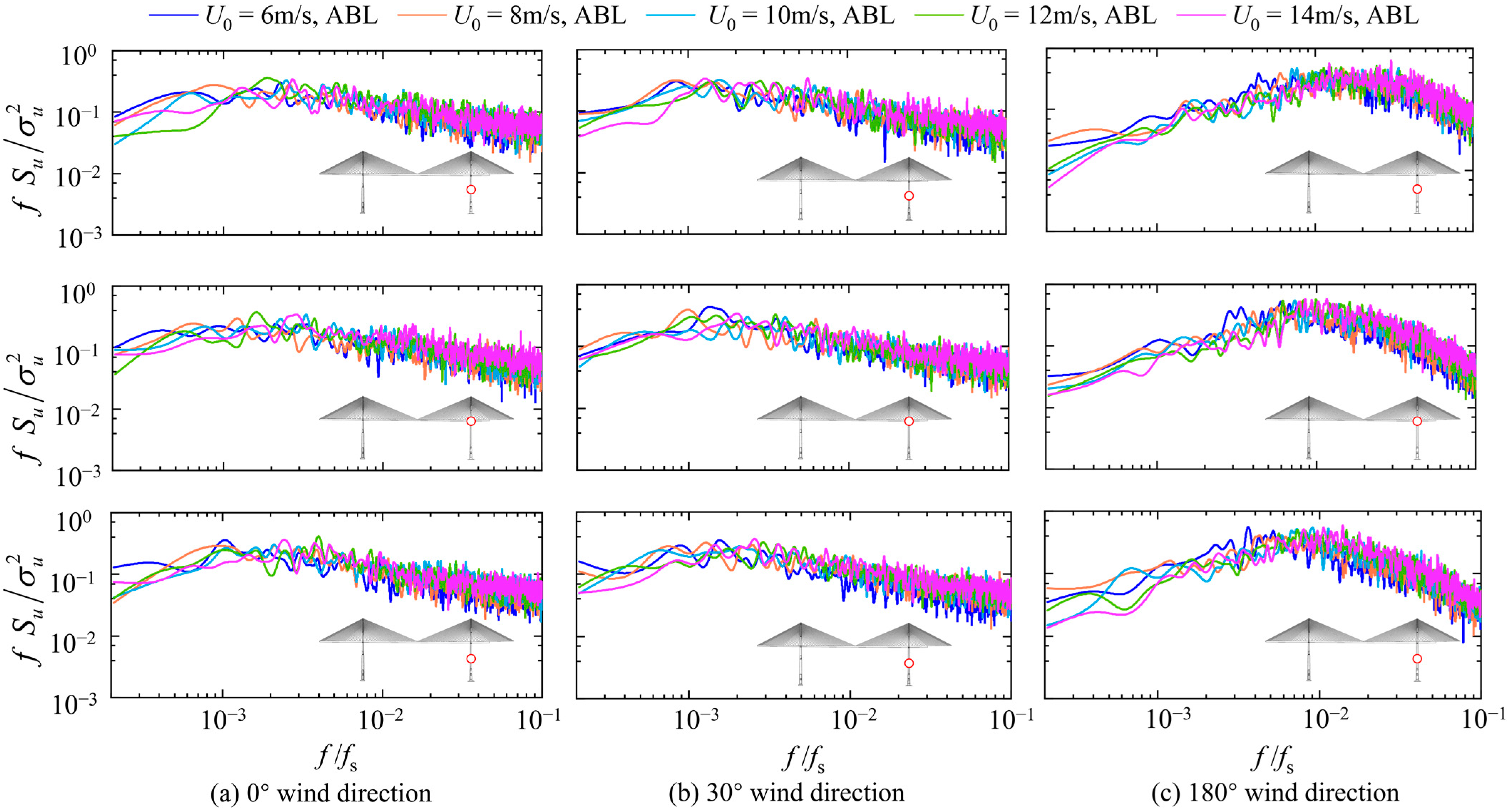
4.2.2. Fluctuating Wind Power Spectra
4.2.3. Turbulent Integral Scale
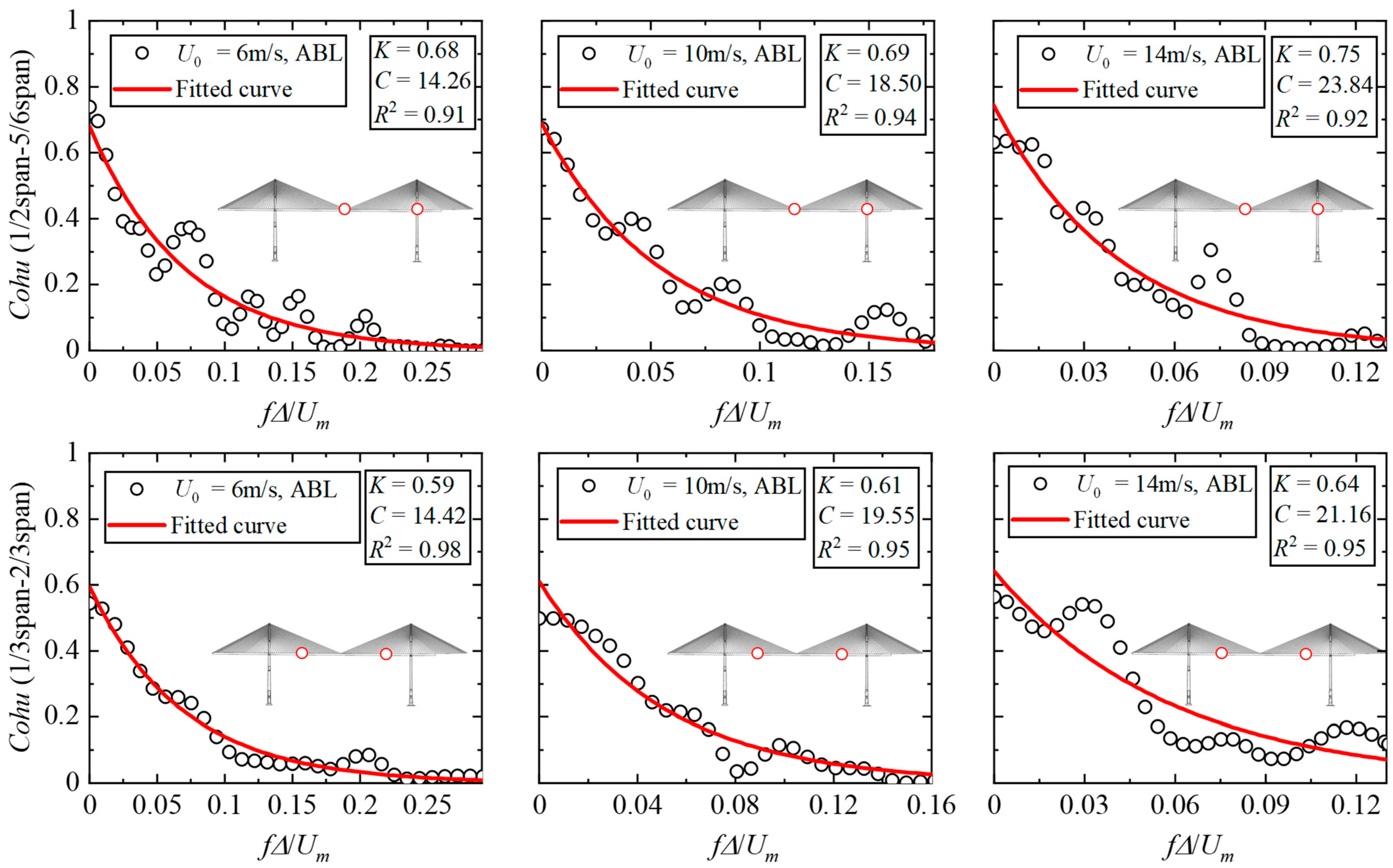
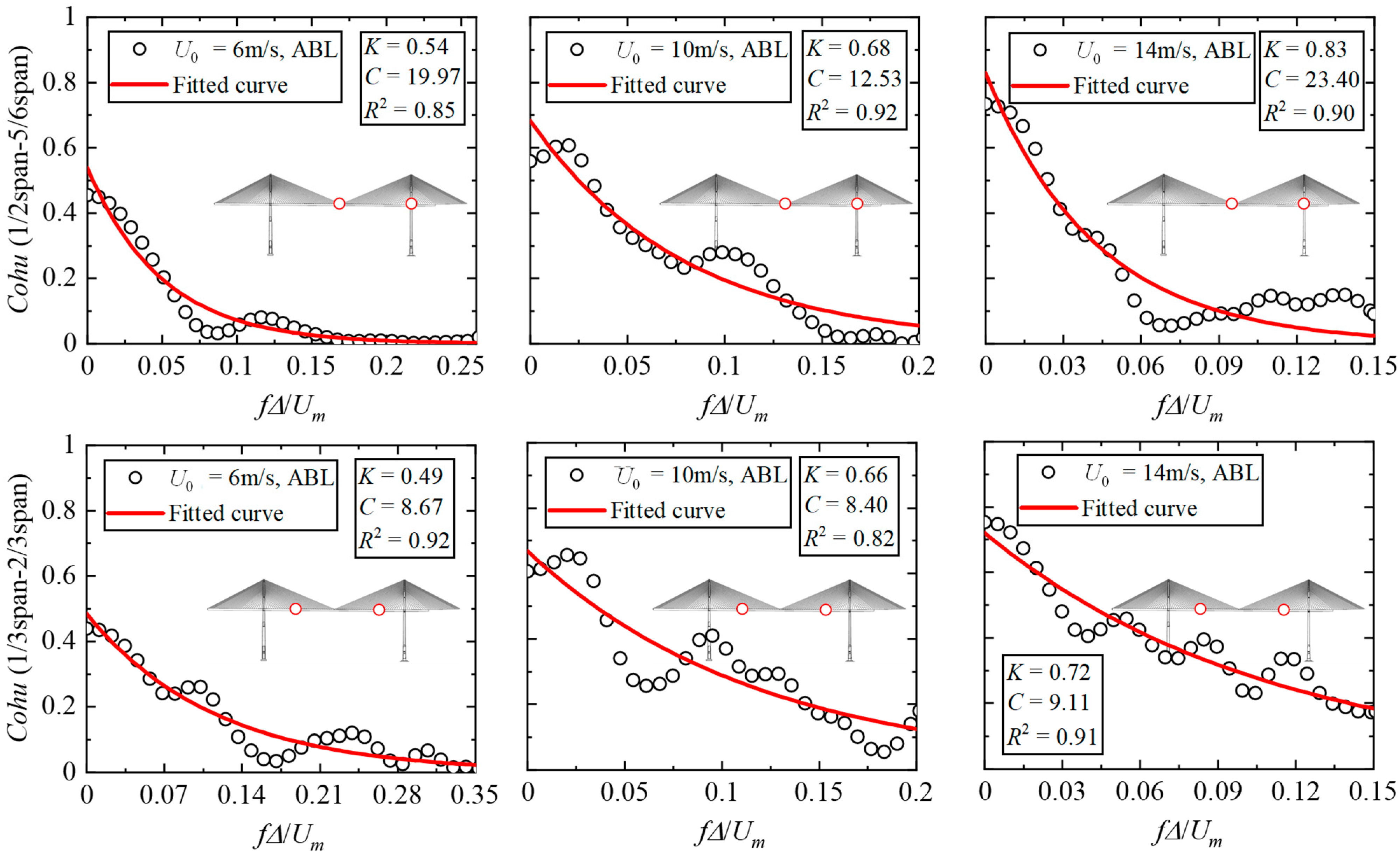
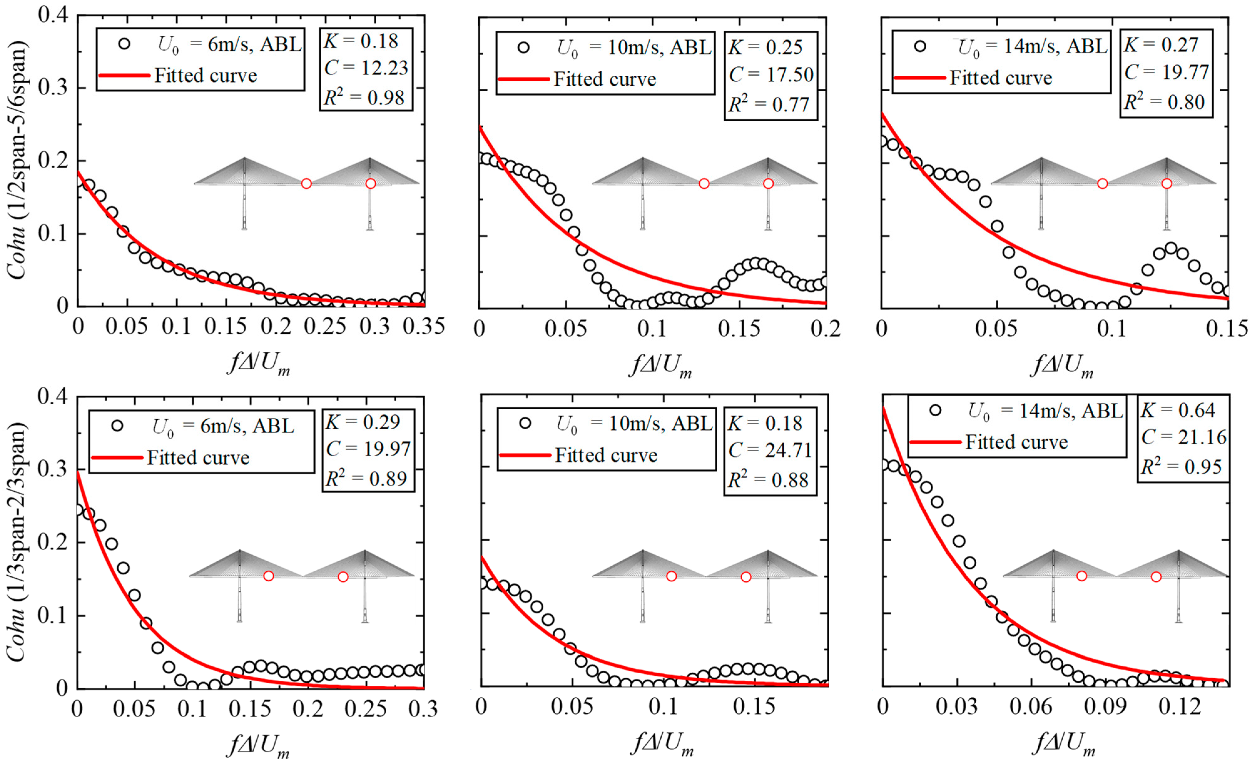
4.2.4. Coherence Function
4.2.5. Kurtosis, Skewness, and Probability Density Function
5. Conclusions
Author Contributions
Funding
Institutional Review Board Statement
Informed Consent Statement
Data Availability Statement
Conflicts of Interest
References
- Zhou, Z.; Xin, X.; Yu, J.; Liu, M. Analysis of wind field characteristics of ideal V-shaped and U-shaped canyons. Sustainability 2023, 15, 10011. [Google Scholar] [CrossRef]
- Jing, H.; Li, W.; Su, Y.; Zhao, W.; Zhang, J.; Qiao, M.; Liu, Q. Numerical study of wind characteristics at a long-span bridge site in mountain valley. Phys. Fluids 2024, 36, 035131. [Google Scholar] [CrossRef]
- Ma, C.; Duan, Q.; Li, Q.; Liao, H.; Tao, Q. Aerodynamic characteristics of a long-span cable-stayed bridge under construction. Eng. Struct. 2019, 184, 232–246. [Google Scholar] [CrossRef]
- JTG/T 3360–01; Wind-Resistant Design Specification for Highway Bridges. Ministry of Communications of the People’s Republic of China: Beijing, China, 2018.
- Cao, Y.; Tao, T.; Shi, Y.; Cao, S.; Zhou, D.; Chen, W.L. Large-eddy simulation of separated turbulent flows over a three-dimensional hill using WRF and OpenFOAM. J. Wind Eng. Ind. Aerodyn. 2023, 236, 105357. [Google Scholar] [CrossRef]
- Cao, S.; Tamura, T. Effects of roughness blocks on atmospheric boundary layer flow over a two-dimensional low hill with/without sudden roughness change. J. Wind Eng. Ind. Aerodyn. 2007, 95, 679–695. [Google Scholar] [CrossRef]
- Fang, P.; Zheng, D.; Li, L.; Ma, W.; Tang, S. Numerical and experimental study of the aerodynamic characteristics around two-dimensional terrain with different slope angles. Front. Earth Sci. 2019, 13, 705–720. [Google Scholar] [CrossRef]
- Ishihara, T.; Hibi, K.; Oikawa, S. A wind tunnel study of turbulent flow over a three-dimensional steep hill. J. Wind Eng. Ind. Aerodyn. 1999, 83, 95–107. [Google Scholar] [CrossRef]
- Yang, Q.; Zhou, T.; Yan, B.; Liu, M.; Van Phuc, P.; Shu, Z. LES study of topographical effects of simplified 3D hills with different slopes on ABL flows considering terrain exposure conditions. J. Wind Eng. Ind. Aerodyn. 2021, 210, 104513. [Google Scholar] [CrossRef]
- Yang, Q.; Zhou, T.; Yan, B.; Van Phuc, P.; Hu, W. LES study of turbulent flow fields over hilly terrains—Comparisons of inflow turbulence generation methods and SGS models. J. Wind Eng. Ind. Aerodyn. 2020, 204, 104230. [Google Scholar] [CrossRef]
- Liu, Z.; Wang, W.; Wang, Y.; Ishihara, T. Large eddy simulations of slope effects on flow fields over isolated hills and ridges. J. Wind Eng. Ind. Aerodyn. 2020, 201, 104178. [Google Scholar] [CrossRef]
- Liu, Z.; Cao, J.; Yan, B.; Wang, Y.; Wang, H. Study of wind-direction effects on flow fields over two-dimensional hills using large eddy simulations. J. Wind Eng. Ind. Aerodyn. 2020, 204, 104285. [Google Scholar] [CrossRef]
- Abdi, D.S.; Bitsuamlak, G.T. Wind flow simulations on idealized and real complex terrain using various turbulence models. Adv. Eng. Softw. 2014, 75, 30–41. [Google Scholar] [CrossRef]
- Ren, W.; Pei, C.; Ma, C.; Li, Z.; Wang, Q.; Chen, F. Field measurement study of wind characteristics at different measuring positions along a bridge in a mountain valley. J. Wind Eng. Ind. Aerodyn. 2021, 216, 104705. [Google Scholar] [CrossRef]
- Jiang, F.; Zhang, M.; Li, Y.; Zhang, J.; Qin, J.; Wu, L. Field measurement study of wind characteristics in mountain terrain: Focusing on sudden intense winds. J. Wind Eng. Ind. Aerodyn. 2021, 218, 104781. [Google Scholar] [CrossRef]
- Mingjin, Z.; Jisheng, Y.; Jingyu, Z.; Lianhuo, W.; Yongle, L. Study on the wind-field characteristics over a bridge site due to the shielding effects of mountains in a deep gorge via numerical simulation. Adv. Struct. Eng. 2019, 22, 3055–3065. [Google Scholar] [CrossRef]
- Liao, H.; Jing, H.; Ma, C.; Tao, Q.; Li, Z. Field measurement study on turbulence field by wind tower and Windcube Lidar in mountain valley. J. Wind Eng. Ind. Aerodyn. 2020, 197, 104090. [Google Scholar] [CrossRef]
- Boonterm, T.; Kittichaikarn, C. Analysis of airflow around Sapran Nak Airfield using meteorological balloon system and computational fluid dynamics program. J. Wind Eng. Ind. Aerodyn. 2019, 188, 365–374. [Google Scholar] [CrossRef]
- Ren, H.; Laima, S.; Chen, W.L.; Zhang, B.; Guo, A.; Li, H. Numerical simulation and prediction of spatial wind field under complex terrain. J. Wind Eng. Ind. Aerodyn. 2018, 180, 49–65. [Google Scholar] [CrossRef]
- Song, J.L.; Li, J.W.; Flay, R.G.J. Field measurements and wind tunnel investigation of wind characteristics at a bridge site in a Y-shaped valley. J. Wind Eng. Ind. Aerodyn. 2020, 202, 104199. [Google Scholar] [CrossRef]
- Li, Y.; Hu, P.; Xu, X.; Qiu, J. Wind characteristics at bridge site in a deep-cutting gorge by wind tunnel test. J. Wind Eng. Ind. Aerodyn. 2017, 160, 30–46. [Google Scholar] [CrossRef]
- Yamaguchi, A.; Ishihara, T.; Fujino, Y. Experimental study of the wind flow in a coastal region of Japan. J. Wind Eng. Ind. Aerodyn. 2003, 91, 247–264. [Google Scholar] [CrossRef]
- Zhao, Z.; Li, C.Y.; Chen, Z.; Wang, S.; Xu, Y.; Xue, X.; Huang, L. Parallel ribbon vortex: A phenomenological flow feature in an atmospheric boundary layer near sloped terrain. Phys. Fluids 2023, 35, 115121. [Google Scholar] [CrossRef]
- Huang, G.; Cheng, X.; Peng, L.; Li, M. Aerodynamic shape of transition curve for truncated mountainous terrain model in wind field simulation. J. Wind Eng. Ind. Aerodyn. 2018, 178, 80–90. [Google Scholar] [CrossRef]
- Tang, H.; Li, Y.; Shum, K.M.; Xu, X.; Tao, Q. Non-uniform wind characteristics in mountainous areas and effects on flutter performance of a long-span suspension bridge. J. Wind Eng. Ind. Aerodyn. 2020, 201, 104177. [Google Scholar] [CrossRef]
- Harstveit, K. Full scale measurements of gust factors and turbulence intensity, and their relations in hilly terrain. J. Wind Eng. Ind. Aerodyn. 1996, 61, 195–205. [Google Scholar] [CrossRef]
- Jing, H.; Liao, H.; Ma, C.; Tao, Q.; Jiang, J. Field measurement study of wind characteristics at different measuring positions in a mountainous valley. Exp. Therm. Fluid Sci. 2020, 112, 109991. [Google Scholar] [CrossRef]
- Fenerci, A.; Øiseth, O. Strong wind characteristics and dynamic response of a long-span suspension bridge during a storm. J. Wind Eng. Ind. Aerodyn. 2018, 172, 116–138. [Google Scholar] [CrossRef]
- Jing, H.; Zhang, J.; Han, M.; Li, W.; Zhao, W.; Liu, Q. Numerical study on the aerodynamic characteristics and flow field of two tandem tapered square cylinders with different spacing ratios. Ocean Eng. 2024, 295, 116875. [Google Scholar] [CrossRef]
- Zhang, J.; Jing, H.; Han, M.; Yu, C.; Liu, Q. Effects of taper ratio on the aerodynamic forces and flow field of two tandem square cylinders. Phys. Fluids 2023, 35, 105152. [Google Scholar] [CrossRef]
- Panofsky, H.A.; McCormick, R.A. The spectrum of vertical velocity near the surface. Q. J. R. Meteorol. Soc. 1960, 86, 495–503. [Google Scholar] [CrossRef]
- Yu, C.; Li, Y.; Zhang, M.; Zhang, Y.; Zhai, G. Wind characteristics along a bridge catwalk in a deep-cutting gorge from field measurements. J. Wind Eng. Ind. Aerodyn. 2019, 186, 94–104. [Google Scholar] [CrossRef]
- Hui MC, H.; Larsen, A.; Xiang, H.F. Wind turbulence characteristics study at the Stonecutters Bridge site: Part II: Wind power spectra, integral length scales and coherences. J. Wind Eng. Ind. Aerodyn. 2009, 97, 48–59. [Google Scholar]
- Jing, H.; Li, W.; Qiao, M.; Yang, X.; Zhou, X.; Cui, S.; Zhang, Y. Effects of oncoming wind speed and turbulence intensity on wind characteristics of a simplified hill and ridge. Phys. Fluids 2024, 36, 117124. [Google Scholar] [CrossRef]
- Lystad, T.M.; Fenerci, A.; Øiseth, O. Evaluation of mast measurements and wind tunnel terrain models to describe spatially variable wind field characteristics for long-span bridge design. J. Wind Eng. Ind. Aerodyn. 2018, 179, 558–573. [Google Scholar] [CrossRef]
- Fenerci, A.; Øiseth, O.; Rønnquist, A. Long-term monitoring of wind field characteristics and dynamic response of a long-span suspension bridge in complex terrain. Eng. Struct. 2017, 147, 269–284. [Google Scholar] [CrossRef]
- Zhou, X.; Zhang, Z.; Yang, W.; Liu, Q. Study on the Susceptibility of Drifting Snow in Ya’an–Qamdo Section of the Railway in Southwest China. Appl. Sci. 2024, 14, 475. [Google Scholar] [CrossRef]





















































Disclaimer/Publisher’s Note: The statements, opinions and data contained in all publications are solely those of the individual author(s) and contributor(s) and not of MDPI and/or the editor(s). MDPI and/or the editor(s) disclaim responsibility for any injury to people or property resulting from any ideas, methods, instructions or products referred to in the content. |
© 2024 by the authors. Licensee MDPI, Basel, Switzerland. This article is an open access article distributed under the terms and conditions of the Creative Commons Attribution (CC BY) license (https://creativecommons.org/licenses/by/4.0/).
Share and Cite
Li, W.; Cui, S.; Zhao, J.; An, L.; Yu, C.; Ding, Y.; Jing, H.; Liu, Q. Experimental Study of Wind Characteristics at a Bridge Site in Mountain Valley Considering the Effect of Oncoming Wind Speed. Appl. Sci. 2024, 14, 10588. https://doi.org/10.3390/app142210588
Li W, Cui S, Zhao J, An L, Yu C, Ding Y, Jing H, Liu Q. Experimental Study of Wind Characteristics at a Bridge Site in Mountain Valley Considering the Effect of Oncoming Wind Speed. Applied Sciences. 2024; 14(22):10588. https://doi.org/10.3390/app142210588
Chicago/Turabian StyleLi, Weikang, Shengnan Cui, Jian Zhao, Luming An, Chao Yu, Yan Ding, Hongmiao Jing, and Qingkuan Liu. 2024. "Experimental Study of Wind Characteristics at a Bridge Site in Mountain Valley Considering the Effect of Oncoming Wind Speed" Applied Sciences 14, no. 22: 10588. https://doi.org/10.3390/app142210588
APA StyleLi, W., Cui, S., Zhao, J., An, L., Yu, C., Ding, Y., Jing, H., & Liu, Q. (2024). Experimental Study of Wind Characteristics at a Bridge Site in Mountain Valley Considering the Effect of Oncoming Wind Speed. Applied Sciences, 14(22), 10588. https://doi.org/10.3390/app142210588

