Excess Conductivity Analysis of Polycrystalline FeSe Samples with the Addition of Ag
Abstract
1. Introduction
2. Experimental Procedures
2.1. Sample Preparation and Characterization
2.2. Resistance Measurements
3. Excess Conductivity
4. Results and Discussion
4.1. Microstructure
4.2. Resistivity Measurements
4.3. FIC Analysis
5. Conclusions
Author Contributions
Funding
Acknowledgments
Conflicts of Interest
References
- Hosono, H.; Yamamoto, A.; Hiramatsu, H.; Ma, Y. Recent advances in iron-based superconductors toward applications. Mater. Today 2018, 21, 278–302. [Google Scholar] [CrossRef]
- Ma, Y. Progress in wire fabrication of iron-based superconductors. Supercond. Sci. Technol. 2012, 25, 113001. [Google Scholar] [CrossRef]
- Yao, C.; Ma, Y. Recent breakthrough development in iron-based superconducting wires for practical applications. Supercond. Sci. Technol. 2019, 32, 023002. [Google Scholar] [CrossRef]
- Dou, S.X.; Wang, X.L.; Horvat, J.; Milliken, D.; Li, A.H.; Konstantinov, K.; Collings, E.W.; Sumption, M.D.; Liu, H.K. Flux jumping and a bulk-to-granular transition in the magnetization of a compacted and sintered MgB2 superconductor. Phys. C 2001, 361, 79–83. [Google Scholar] [CrossRef]
- Weiss, J.D.; Yamamoto, A.; Polyanskii, A.A.; Richardson, R.B.; Larabalestier, D.C.; Hellstrom, E.E. Demonstration of an iron-pnictide bulk superconducting magnet capable of trapping over 1 T. Supercond. Sci. Technol. 2015, 28, 112001. [Google Scholar] [CrossRef]
- Hsu, F.-C.; Luo, J.Y.; Yeh, K.W.; Chen, T.K.; Huang, T.W.; Wu, P.M.; Lee, Y.C.; Huang, Y.L.; Chu, Y.Y.; Yan, D.C.; et al. Superconductivity in the PbO-type structure alpha-FeSe. Proc. Natl. Acad. Sci. USA 2008, 105, 14262. [Google Scholar] [CrossRef] [PubMed]
- Liu, X.; Zhao, L.; He, S.; He, J.; Liu, D.; Mou, D.; Shen, B.; Hu, Y.; Huang, J.; Zhou, X.J. Electronic structure and superconductivity of FeSe-related superconductors. J. Phys. Condens. Matter 2015, 27, 183201. [Google Scholar] [CrossRef]
- Gurevich, A. Iron-based superconductors at high magnetic fields. Rep. Prog. Phys. 2011, 74, 124501. [Google Scholar] [CrossRef]
- Katase, T.; Ishimaru, Y.; Tsukamoto, A.; Hiramatsu, H.; Kamiya, T.; Tanabe, K.; Hosono, H. Advantageous grain boundaries in iron pnictide superconductors. Nat. Commun. 2011, 2, 409. [Google Scholar] [CrossRef]
- Iida, K.; Hänisch, J.; Tarantini, C. Fe-based superconducting thin films on metallic substrates: Growth, characteristics, and relevant properties. Appl. Phys. Rev. 2018, 5, 031304. [Google Scholar] [CrossRef]
- Hecher, J.; Baumgartner, T.; Weiss, J.D.; Tarantini, C.; Yamamoto, A.; Jiang, J.; Hellstrom, E.E.; Larbalestier, D.C.; Eisterer, M. Small grains: A key to high-field applications of granular Ba-122 superconductors? Supercond. Sci. Technol. 2016, 29, 025004. [Google Scholar] [CrossRef]
- Zhang, M. A new world record for a superconducting trapped field magnet. Supercond. Sci. Technol. 2019, 32, 070502. [Google Scholar] [CrossRef]
- Weiss, J.D.; Tarantini, C.; Jiang, J.; Kametani, F.; Polyanskii, A.A.; Larbalestier, D.C.; Hellstrom, E.E. High intergrain critical current density in fine-grain (Ba0.6K0.4)Fe2As2 wires and bulks. Nat. Mater. 2012, 11, 682–685. [Google Scholar] [CrossRef]
- Weiss, J.D.; Jiang, J.; Polyanskii, A.A.; Hellstrom, E.E. Mechanochemical synthesis of pnictide compounds and superconducting Ba0.6K0.4Fe2As2 bulks with high critical current density. Supercond. Sci. Technol. 2013, 26, 074003. [Google Scholar] [CrossRef]
- Koblischka-Veneva, A.; Koblischka, M.R.; Berger, K.; Nouailhetas, Q.; Douine, B.; Muralidhar, M.; Murakami, M. Comparison of Temperature and Field Dependencies of the Critical Current Densities of Bulk YBCO, MgB2, and Iron-Based Superconductors. IEEE Trans. Appl. Supercond. 2019, 29, 6801805. [Google Scholar] [CrossRef]
- Okamoto, H. The Fe-Se (Iron-Selenium) System. J. Phase Equilibria 1991, 12, 383–384. [Google Scholar] [CrossRef]
- Williams, A.J.; McQueen, T.M.; Cava, R.J. The stoichiometry of FeSe. Solid State Commun. 2009, 149, 1507–1509. [Google Scholar] [CrossRef]
- McQueen, T.M.; Huang, Q.; Ksenofontov, V.; Felser, C.; Xu, Q.; Zandbergen, H.; Hor, Y.S.; Allred, J.; Williams, A.J.; Qu, D.; et al. Extreme Sensitivity of Superconductivity to Stoichiometry in Fe1+δSe. Phys. Rev. B 2009, 79, 014522. [Google Scholar] [CrossRef]
- Diko, P.; Antal, V.; Kavecansky, V.; Yang, C.; Chen, I. Microstructure and phase transformations in FeSe superconductor. Phys. C 2012, 476, 29–31. [Google Scholar] [CrossRef]
- Muralidhar, M.; Furutani, K.; Kumar, D.; Koblischka, M.R.; Ramachandra Rao, M.S.; Murakami, M. Improved critical current densities in bulk FeSe superconductor using ball milled powders and high temperature sintering. Phys. Status Solidi A 2016, 213, 3214–3220. [Google Scholar] [CrossRef][Green Version]
- Nazarova, E.; Buchkov, K.; Terzieva, S.; Nenkov, K.; Zahariev, A.; Kovacheva, D.; Balchev, N.; Fuchs, G. The Effect of Ag Addition on the Superconducting Properties of FeSe0.94. J. Supercond. Nov. Magn. 2015, 28, 1135–1138. [Google Scholar] [CrossRef]
- Fabitha, K.; Ramachandra Rao, M.S.; Muralidhar, M.; Furutani, K.; Murakami, M. Effect of Ag addition on microstructure and Raman vibrational modes of bulk FeSe. J. Supercond. Nov. Magn. 2017, 30, 3117–3122. [Google Scholar] [CrossRef]
- Aslamazov, L.G.; Larkin, A.L. The influence of fluctuation pairing of electrons on the conductivity of normal metal. Phys. Lett. A 1968, 26, 238–252. [Google Scholar] [CrossRef]
- Lawrence, W.E.; Doniach, S. Proceedings of the 12th International Conference on Low Temperature Physics, Kyoto, Tokyo, Japan, 4–10 September 1971; Kanda, E., Ed.; Academic Press of Japan: Tokyo, Japan, 1971; p. 361. [Google Scholar]
- Maki, K.; Thompson, R.S. Fluctuation conductivity of high-Tc superconductors. Phys. Rev. B 1989, 39, 2767–2771. [Google Scholar] [CrossRef]
- Hannachi, E.; Slimani, Y.; Ben Salem, M.K.; Hamrita, A.; Al-Otaibi, A.L.; Almessiere, M.A.; Ben Salem, M.; Ben Azzouz, F. Fluctuation induced conductivity studies in YBa2Cu3Oy compound embedded by superconducting nano-particles Y-deficient YBa2Cu3Oy: Effect of silver inclusion. Indian J. Phys. 2016, 90, 1009–1018. [Google Scholar] [CrossRef]
- Almessiere, M.A.; Hannachi, E.; Slimani, Y.; Ghulam, Y.; Mumtaz, M.; Koblischka, M.R.; Koblischka-Veneva, A.; Manikandan, A.; Baykal, A. Dimensionality and superconducting parameters of YBa2Cu3O7-δ/(WO3 NPs)x composites deduced from excess conductivity analysis. Mater. Chem. Phys. 2020, 243, 122665. [Google Scholar] [CrossRef]
- Karwoth, T.; Furutani, K.; Koblischka, M.R.; Zeng, X.L.; Wiederhold, A.; Muralidhar, M.; Murakami, M.; Hartmann, U. Electrotransport and magnetic measurements on bulk FeSe superconductors. J. Phys. Conf. Ser. 2018, 1054, 012018. [Google Scholar] [CrossRef]
- Karwoth, T. Electronic Transport Measurements on Electrospun High-Tc Fibers. Master’s Thesis, Saarland University, Saarbrücken, Germany, 2016. [Google Scholar]
- Nouailhetas, Q.; Koblischka-Veneva, A.; Koblischka, M.R.; Pavan Kumar Naik, S.; Schäfer, F.; Ogino, H.; Motz, C.; Berger, K.; Douine, B.; Slimani, Y.; et al. Magnetic phases in superconducting, polycrystalline bulk FeSe samples. AIP Adv. submitted.
- Böhmer, A.E.; Taufour, V.; Straszheim, W.E.; Wolf, T.; Canfield, P.C. Variation of transition temperatures and residual resistivity ratio in vapor-grown FeSe. Phys. Rev. B 2016, 94, 024526. [Google Scholar] [CrossRef]
- Koblischka, M.R.; Roth, S.; Koblischka-Veneva, A.; Karwoth, T.; Wiederhold, A.; Zeng, X.L.; Fassoulas, S.; Murakami, M. Relation between Crystal Structure and Transition Temperature of Superconducting Metals and Alloys. Metals 2020, 10, 158. [Google Scholar] [CrossRef]
- Yamamoto, A.; Shimoyama, J.; Kishio, K.; Matsushita, T. Limiting factors of normal-state conductivity in superconducting MgB2: An application of mean-field theory for a site percolation problem. Supercond. Sci. Technol. 2007, 20, 658–666. [Google Scholar] [CrossRef]
- Sedky, A.; Nazarova, E.; Nenkov, K.; Buchkov, K. A Comparative Study Between Electro and Magneto Excess Conductivities in FeTeSe Superconductors. J. Supercond. Nov. Magn. 2017, 30, 2751–2762. [Google Scholar] [CrossRef]
- Talentsev, E.F.; Crump, W.P.; Island, J.O.; Xing, Y.; Sun, Y.; Wang, J.; Tallon, J.L. On the origin of critical temperature enhancement in atomically thin superconductors. 2D Mater. 2017, 4, 025072. [Google Scholar] [CrossRef]
- Slimani, Y. Excess conductivity investigations of WO3 nanowires added to YBa2Cu3O7-δ superconductor. J. Mater. Sci. Mater. Electron. 2020, 31, 3023–3034. [Google Scholar] [CrossRef]
- Ben Azzouz, F.; Zouaoui, M.; Annabi, M.; Ben Salem, M. Fluctuation conductivity analysis on the Bi-based superconductors processed under same conditions. Phys. Stat. Solidi C 2006, 3, 3048–3051. [Google Scholar] [CrossRef]
- Koblischka, M.R.; Koblischka-Veneva, A.; Zeng, X.L.; Hannachi, E.; Slimani, Y. Microstructure and fluctuation-induced conductivity analysis of Bi2Sr2CaCu2O8+δ (Bi-2212) nanowire fabrics. Crystals 2020, 10, 986. [Google Scholar] [CrossRef]
- Shams, G.; Ranjbar, M. Conductivity fluctuation and some parameters of high temperature superconductor polycrystalline YBa2Cu3O7-δ doped with silver nanoparticles. Braz. J. Phys. 2019, 49, 808–819. [Google Scholar] [CrossRef]
- Cao, R.X.; Dong, J.; Wang, Q.L.; Yang, Y.J.; Zhao, C.; Zeng, X.H.; Chareev, D.A.; Vasiliev, A.N.; Wu, B.; Wu, G. Measurements of the superconducting anisotropy in FeSe with a resonance frequency technique. AIP Adv. 2019, 9, 045220. [Google Scholar] [CrossRef]
- Sun, Y.; Ohnuma, H.; Ayukawa, S.; Noji, T.; Koike, Y.; Tamegai, T.; Kitano, H. Achieving the depairing limit along the c-axis in Fe1+γTe1-xSex single crystals. Phys. Rev. B 2020, 101, 134516. [Google Scholar] [CrossRef]
- Werthamer, N.R.; Helfand, E.; Hohenberg, P.C. Temperature and purity dependence of the superconducting critical field, Hc2. III. Electron spin and spin-orbit effects. Phys. Rev. 1966, 147, 295–302. [Google Scholar] [CrossRef]
- Guo, J.; Jin, S.; Wang, G.; Wang, S.; Zhu, K.; Zhou, T.; He, M.; Chen, X. Superconductivity in the iron selenide KxFe2Se2 (0 ≤ x ≤ 1). Phys. Rev. B 2010, 82, 180520. [Google Scholar] [CrossRef]
- Zhou, K.; Wang, J.; Song, Y.; Guo, L.; Guo, J.-G. Highly-tunable crystal structure and physical properties in FeSe-based superconductors. Crystals 2019, 9, 560. [Google Scholar] [CrossRef]
- Pavuna, D.; Berger, H.; Affronte, M.; Van der Maas, J.; Capponi, J.; Guillot, M.; Lejay, P.; Tholence, J.L. Electronic properties and critical current densities of superconducting (Y1Ba2Cu3O6.9)1-xAgx compounds. Solid State Commun. 1988, 68, 535–538. [Google Scholar] [CrossRef]
- Koblischka, M.R.; Schuster, T.; Kronmüller, H. Influence of additions and radiation damage on the superconducting properties of sintered YBa2Cu3O7-δ. Phys. C 1993, 211, 263–278. [Google Scholar] [CrossRef]





), 1D (
), 2D (
), 3D (
), and critical region (CR) (
) being present.
), 1D (
), 2D (
), 3D (
), and critical region (CR) (
) being present.
), 1D (
), 2D (
), 3D (
), and CR (
) being present.
), 1D (
), 2D (
), 3D (
), and CR (
) being present.


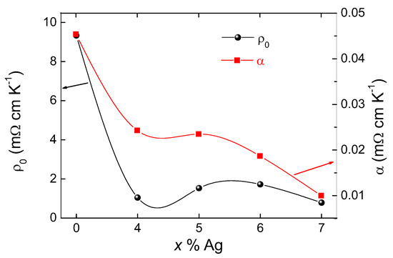
| Product | Ag-Content | R (300 K) | RRR | Grain Connectivity | |||
|---|---|---|---|---|---|---|---|
| (K) | (K) | (K) | () | (%) | |||
| 1 | pure | 8.35 | 2.35 | 8.33 | 0.03224 | 2.16 | 3.9 |
| 2 | 4 wt.% | 9.42 | 0.98 | 9.11 | 0.00930 | 4.49 | 6.52 |
| 3 | 5 wt.% | 9.28 | 1.18 | 8.64 | 0.00926 | 3.33 | 7.3 |
| 4 | 6 wt.% | 9.36 | 1.12 | 8.47 | 0.00718 | 2.41 | 11.3 |
| 5 | 7 wt.% | 9.18 | 0.94 | 8.57 | 0.00335 | 2.44 | 23.8 |
| Sample | 3D Width | 2D Width | 1D Width | |||||
|---|---|---|---|---|---|---|---|---|
| (K) | (K) | (K) | ||||||
| pure | 0.21 | 0.50 | 1.01 | 1.51 | 3.04 | 0.3 | 0.35 | 0.8 |
| 4 wt.% | 0.21 | 0.47 | 1.03 | 1.53 | 3.16 | 0.44 | 0.66 | 1.5 |
| 5 wt.% | 0.20 | 0.49 | 1.04 | 1.50 | 3.36 | 0.77 | 1.21 | 1.06 |
| 6 wt.% | 0.24 | 0.48 | 1.08 | 1.52 | 3.03 | 0.85 | 0.58 | 1 |
| 7 wt.% | 0.21 | 0.48 | 0.98 | 1.50 | 3.15 | 1.02 | 0.75 | 1.02 |
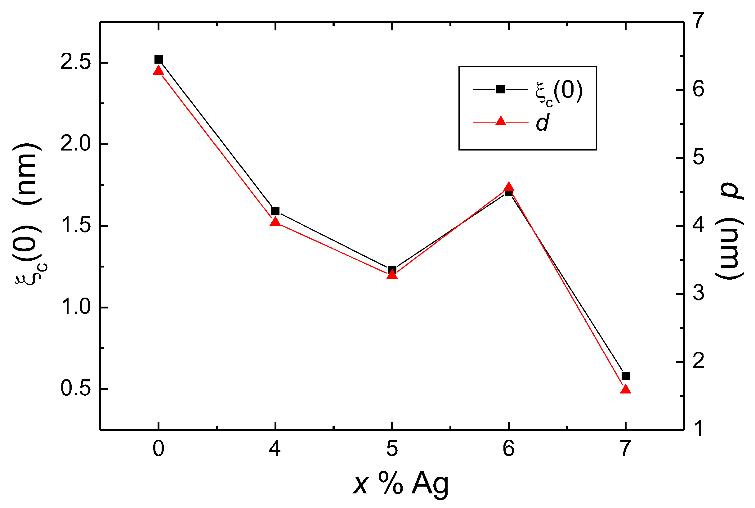
| Sample | d | ||||||||
|---|---|---|---|---|---|---|---|---|---|
| × 10 | (nm) | (nm) | (T) | (× 10 T) | (T) | (× 10 A/m) | |||
| pure | 1.20 | 6.27 | 0.64 | 128.83 | 2.52 | 0.28 | 7.57 | 51.73 | 4.76 |
| 4 wt.% | 2.65 | 4.05 | 0.62 | 203.38 | 1.59 | 0.45 | 8.28 | 128.94 | 7.51 |
| 5 wt.% | 5.00 | 3.27 | 0.56 | 263.97 | 1.23 | 0.58 | 8.69 | 217.21 | 9.74 |
| 6 wt.% | 4.06 | 4.56 | 0.57 | 189.25 | 1.71 | 0.41 | 8.17 | 111.65 | 6.98 |
| 7 wt.% | 4.73 | 1.58 | 0.54 | 553.29 | 0.58 | 1.22 | 9.87 | 954.33 | 20.43 |
Publisher’s Note: MDPI stays neutral with regard to jurisdictional claims in published maps and institutional affiliations. |
© 2020 by the authors. Licensee MDPI, Basel, Switzerland. This article is an open access article distributed under the terms and conditions of the Creative Commons Attribution (CC BY) license (http://creativecommons.org/licenses/by/4.0/).
Share and Cite
Koblischka, M.R.; Slimani, Y.; Koblischka-Veneva, A.; Karwoth, T.; Zeng, X.; Hannachi, E.; Murakami, M. Excess Conductivity Analysis of Polycrystalline FeSe Samples with the Addition of Ag. Materials 2020, 13, 5018. https://doi.org/10.3390/ma13215018
Koblischka MR, Slimani Y, Koblischka-Veneva A, Karwoth T, Zeng X, Hannachi E, Murakami M. Excess Conductivity Analysis of Polycrystalline FeSe Samples with the Addition of Ag. Materials. 2020; 13(21):5018. https://doi.org/10.3390/ma13215018
Chicago/Turabian StyleKoblischka, Michael Rudolf, Yassine Slimani, Anjela Koblischka-Veneva, Thomas Karwoth, XianLin Zeng, Essia Hannachi, and Masato Murakami. 2020. "Excess Conductivity Analysis of Polycrystalline FeSe Samples with the Addition of Ag" Materials 13, no. 21: 5018. https://doi.org/10.3390/ma13215018
APA StyleKoblischka, M. R., Slimani, Y., Koblischka-Veneva, A., Karwoth, T., Zeng, X., Hannachi, E., & Murakami, M. (2020). Excess Conductivity Analysis of Polycrystalline FeSe Samples with the Addition of Ag. Materials, 13(21), 5018. https://doi.org/10.3390/ma13215018

