Sign in to use this feature.

Years

Between: -

Subjects

remove_circle_outline
remove_circle_outline
remove_circle_outline
remove_circle_outline
remove_circle_outline
remove_circle_outline
remove_circle_outline
remove_circle_outline
remove_circle_outline

Journals

remove_circle_outline
remove_circle_outline
remove_circle_outline
remove_circle_outline
remove_circle_outline

Article Types

Countries / Regions

remove_circle_outline
remove_circle_outline
remove_circle_outline
remove_circle_outline

Search Results (449)

Search Parameters:
Keywords = chaotic mechanics

Order results
Result details
Results per page
Select all
Export citation of selected articles as:
18 pages, 3112 KB  
Article
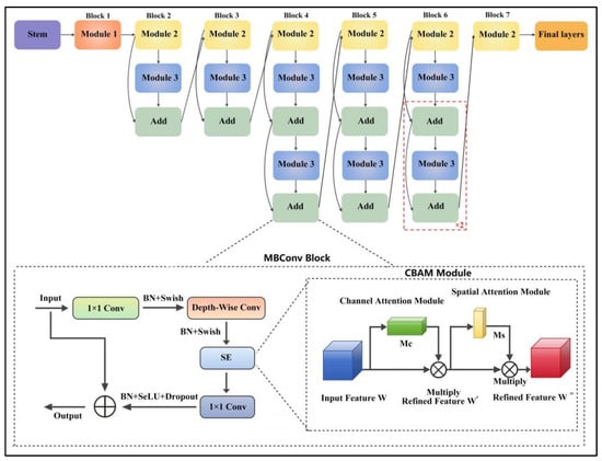
Denatured Recognition of Biological Tissue Using Ultrasonic Phase Space Reconstruction and CBAM-EfficientNet-B0 During HIFU Therapy
by Bei Liu, Haitao Zhu and Xian Zhang
Fractal Fract. 2025, 9(12), 819; https://doi.org/10.3390/fractalfract9120819 (registering DOI) - 15 Dec 2025
Abstract
This study proposes an automatic denatured recognition method of biological tissue during high-intensity focused ultrasound (HIFU) therapy. The technique integrates ultrasonic phase space reconstruction (PSR) with a convolutional block attention mechanism-enhanced EfficientNet-B0 model (CBAM-EfficientNet-B0). Ultrasonic echo signals are first transformed into high-dimensional phase [...] Read more.
This study proposes an automatic denatured recognition method of biological tissue during high-intensity focused ultrasound (HIFU) therapy. The technique integrates ultrasonic phase space reconstruction (PSR) with a convolutional block attention mechanism-enhanced EfficientNet-B0 model (CBAM-EfficientNet-B0). Ultrasonic echo signals are first transformed into high-dimensional phase space reconstruction trajectory diagrams using PSR, which reveal distinct fractal and chaotic characteristics to analyze tissue complexity. The CBAM module is incorporated into EfficientNet-B0 to enhance feature extraction from these nonlinear dynamic representations by focusing on critical channels and spatial regions. The network is further optimized with Dropout and Scaled Exponential Linear Units (SeLUs) to prevent overfitting, alongside a cosine annealing learning rate scheduler. Experimental results demonstrate the superior performance of the proposed CBAM-EfficientNet-B0 model, achieving a high recognition accuracy of 99.57% and outperforming five benchmark CNN models (EfficientNet-B0, ResNet101, DenseNet201, ResNet18, and VGG16). The method avoids the subjectivity and uncertainty inherent in traditional manual feature extraction, enabling effective identification of HIFU-induced tissue denaturation. This work confirms the significant potential of combining nonlinear dynamics, fractal analysis, and deep learning for accurate, real-time monitoring in HIFU therapy. Full article
Show Figures

Figure 1

41 pages, 7185 KB  
Article
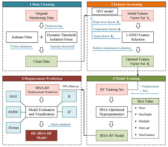
Two-Stage Dam Displacement Analysis Framework Based on Improved Isolation Forest and Metaheuristic-Optimized Random Forest
by Zhihang Deng, Qiang Wu and Minshui Huang
Buildings 2025, 15(24), 4467; https://doi.org/10.3390/buildings15244467 - 10 Dec 2025
Viewed by 170
Abstract
Dam displacement monitoring is crucial for assessing structural safety; however, conventional models often prioritize single-task prediction, leading to an inherent difficulty in balancing monitoring data quality with model performance. To bridge this gap, this study proposes a novel two-stage analytical framework that synergistically [...] Read more.
Dam displacement monitoring is crucial for assessing structural safety; however, conventional models often prioritize single-task prediction, leading to an inherent difficulty in balancing monitoring data quality with model performance. To bridge this gap, this study proposes a novel two-stage analytical framework that synergistically integrates an improved isolation forest (iForest) with a metaheuristic-optimized random forest (RF). The first stage focuses on data cleaning, where Kalman filtering is applied for denoising, and a newly developed Dynamic Threshold Isolation Forest (DTIF) algorithm is introduced to effectively isolate noise and outliers amidst complex environmental loads. In the second stage, the model’s predictive capability is enhanced by first employing the LASSO algorithm for feature importance analysis and optimal subset selection, followed by an Improved Reptile Search Algorithm (IRSA) for fine-tuning RF hyperparameters, thereby significantly boosting the model’s robustness. The IRSA incorporates several key improvements: Tent chaotic mapping during initialization to ensure population diversity, an adaptive parameter adjustment mechanism combined with a Lévy flight strategy in the encircling phase to dynamically balance global exploration and convergence, and the integration of elite opposition-based learning with Gaussian perturbation in the hunting phase to refine local exploitation. Validated against field data from a concrete hyperbolic arch dam, the proposed DTIF algorithm demonstrates superior anomaly detection accuracy across nine distinct outlier distribution scenarios. Moreover, for long-term displacement prediction tasks, the IRSA-RF model substantially outperforms traditional benchmark models in both predictive accuracy and generalization capability, providing a reliable early risk warning and decision-support tool for engineering practice. Full article
(This article belongs to the Special Issue Structural Health Monitoring Through Advanced Artificial Intelligence)
Show Figures

Figure 1

23 pages, 3364 KB  
Article
Control Crisis in Financial Systems with Dynamic Complex Network Approach
by Hugo G. Venegas, Alejandra Ibarra, Pedro M. Gomez, Eduardo Mendez-Palos, Jorge Galvez, Jesus G. Alvarez and Alma Y. Alanis
Mathematics 2025, 13(24), 3922; https://doi.org/10.3390/math13243922 - 8 Dec 2025
Viewed by 127
Abstract
Financial stability in interconnected markets is increasingly challenged by nonlinear interactions that amplify local disturbances into systemic crises. This study models a financial system as a complex network of coupled chaotic nodes, where each node represents a nonlinear macroeconomic subsystem governed by endogenous [...] Read more.
Financial stability in interconnected markets is increasingly challenged by nonlinear interactions that amplify local disturbances into systemic crises. This study models a financial system as a complex network of coupled chaotic nodes, where each node represents a nonlinear macroeconomic subsystem governed by endogenous feedback dynamics. In contrast to traditional centralized interventions, a pinning control strategy is proposed to stabilize a network through selective control of a small subset of influential nodes. Numerical simulations show how local crises propagate through coupling links, generating systemic instability, and how the proposed impulsive control scheme effectively suppresses chaos and restores synchronization across an entire network. Results highlight the efficiency of localized interventions for achieving global stability, offering new theoretical insights into mechanisms of financial correlation and design of control-based resilience strategies for complex economic systems. Full article
Show Figures

Figure 1

30 pages, 8767 KB  
Article
State-Dependent Variable Fractional-Order Hyperchaotic Dynamics in a Coupled Quadratic Map: A Novel System for High-Performance Image Protection
by Wei Feng, Zixian Tang, Xiangyu Zhao, Zhentao Qin, Yao Chen, Bo Cai, Zhengguo Zhu, Heping Wen and Conghuan Ye
Fractal Fract. 2025, 9(12), 792; https://doi.org/10.3390/fractalfract9120792 - 2 Dec 2025
Viewed by 259
Abstract
Amid growing threats of image data leakage and misuse, image encryption has become a critical safeguard for protecting visual information. However, many recent image encryption algorithms remain constrained by trade-offs between security, efficiency, and practicability. To address these challenges, this paper first proposes [...] Read more.
Amid growing threats of image data leakage and misuse, image encryption has become a critical safeguard for protecting visual information. However, many recent image encryption algorithms remain constrained by trade-offs between security, efficiency, and practicability. To address these challenges, this paper first proposes a novel two-dimensional variable fractional-order coupled quadratic hyperchaotic map (2D-VFCQHM), which incorporates a state-dependent dynamic memory effect, wherein the fractional-order is adaptively determined at each iteration by the mean of the system’s current state. This mechanism substantially enhances the complexity and unpredictability of the underlying chaotic dynamics. Building upon the superior hyperchaotic properties of the 2D-VFCQHM, we further develop a high-performance image encryption algorithm that integrates a novel fusion strategy within a dynamic vector-level diffusion-scrambling framework (IEA-VMFD). Comprehensive security analyses and experimental results demonstrate that the proposed algorithm achieves robust cryptographic performance, including a key space of 2298, inter-pixel correlation coefficients below 0.0018, ciphertext entropy greater than 7.999, and near-ideal plaintext sensitivity. Crucially, the algorithm attains an encryption speed of up to 126.2963 Mbps. The exceptional balance between security strength and computational efficiency underscores the practical viability of our algorithm, rendering it well-suited for modern applications such as telemedicine, instant messaging, and cloud computing. Full article
(This article belongs to the Special Issue Advances in Fractional-Order Chaotic and Complex Systems)
Show Figures

Figure 1

26 pages, 8576 KB  
Article
Bifurcations, Multistability, and Synchronization in the 7-DOF Electromechanical Stick–Slip System
by Filip Sarbinowski, Jan Awrejcewicz and Dariusz Grzelczyk
Machines 2025, 13(12), 1082; https://doi.org/10.3390/machines13121082 - 24 Nov 2025
Viewed by 206
Abstract
The article presents a numerical analysis of a nonlinear seven-degree-of-freedom mechanical system composed of stick–slip-driven masses and magnetically coupled pendulums, emphasizing the influence of friction and magnetic coupling on the system’s dynamics. The objective is to develop a dynamic model, analyze bifurcation structures [...] Read more.
The article presents a numerical analysis of a nonlinear seven-degree-of-freedom mechanical system composed of stick–slip-driven masses and magnetically coupled pendulums, emphasizing the influence of friction and magnetic coupling on the system’s dynamics. The objective is to develop a dynamic model, analyze bifurcation structures and synchronization, and examine multistability and sensitivity to initial conditions. The equations of motion are derived using the Lagrangian formalism and expressed in a dimensionless form. Bifurcation diagrams, phase portraits, spectral diagrams, and attraction basins are used to explore system behavior across parameter ranges. Saddle-node, Neimark–Sacker, and period-doubling bifurcations are observed, along with multiple coexisting attractors—periodic, quasiperiodic, and chaotic—indicating pronounced multistability. Small variations in initial conditions or system parameters lead to abrupt transitions between attractors. It has been shown that the mass of the pendulum strongly affects the system’s synchronization capability. Full article
(This article belongs to the Special Issue Advances in Dynamics and Vibration Control in Mechanical Engineering)
Show Figures

Figure 1

25 pages, 4624 KB  
Article
Enhancing Photovoltaic Power Forecasting via Dual Signal Decomposition and an Optimized Hybrid Deep Learning Framework
by Wenjie Wang, Min Zhang, Zhirong Zhang, Dongsheng Du and Zhongyi Tang
Energies 2025, 18(23), 6159; https://doi.org/10.3390/en18236159 - 24 Nov 2025
Viewed by 335
Abstract
Accurate prediction of photovoltaic power generation is a pivotal factor for enhancing the operational efficiency of electrical grids and facilitating the stable integration of solar energy. This study introduces a holistic forecasting framework that achieves seamless integration of dual-stage decomposition, deep learning architectures, [...] Read more.
Accurate prediction of photovoltaic power generation is a pivotal factor for enhancing the operational efficiency of electrical grids and facilitating the stable integration of solar energy. This study introduces a holistic forecasting framework that achieves seamless integration of dual-stage decomposition, deep learning architectures, and an advanced metaheuristic algorithm, thereby significantly improving the prediction precision of PV power generation. Initially, the raw PV power sequences are processed using Improved Complete Ensemble Empirical Mode Decomposition with Adaptive Noise (ICEEMDAN) to capture multi-scale temporal characteristics. The derived components are subsequently categorized into high-, medium-, and low-frequency groups through K-means clustering to manage complexity. To address residual noise and non-stationary behaviors, the high-frequency constituents are further decomposed via Variational Mode Decomposition (VMD). The refined subsequences are then input into a TCN_BiGRU_Attention network, which employs temporal convolutional operations for hierarchical feature extraction, bidirectional gated recurrent units to model temporal correlations, and a multi-head attention mechanism to prioritize influential time steps. For hyperparameter optimization of the forecasting model, an Improved Crested Porcupine Optimizer (ICPO) is developed, integrating Chebyshev chaotic mapping for initialization, a triangular wandering strategy for local search, and Lévy flight to strengthen global exploration and accelerate convergence. Validation on real-world PV datasets indicates that the proposed model attains a Mean Squared Error (MSE) of 0.3456, Root Mean Squared Error (RMSE) of 0.5879, Mean Absolute Error (MAE) of 0.3396, and a determination coefficient (R2) of 99.59%, surpassing all benchmark models by a significant margin. This research empirically demonstrates the efficacy of the dual decomposition methodology coupled with the optimized hybrid deep learning network in elevating both the accuracy and stability of predictions, thereby offering a reliable and stable forecasting framework for PV power systems. Full article
Show Figures

Figure 1

49 pages, 20846 KB  
Article
An Improved Red-Billed Blue Magpie Algorithm and Its Application to Constrained Optimization Problems
by Ying Qiao, Zhixin Han, Hongxin Fu and Yuelin Gao
Biomimetics 2025, 10(11), 788; https://doi.org/10.3390/biomimetics10110788 - 20 Nov 2025
Viewed by 670
Abstract
The Red-Billed Blue Magpie Optimization (RBMO) algorithm is a metaheuristic method inspired by the foraging behavior of red-billed blue magpies. However, the conventional RBMO often suffers from premature convergence and performance degradation when solving high-dimensional constrained optimization problems due to its over-reliance on [...] Read more.
The Red-Billed Blue Magpie Optimization (RBMO) algorithm is a metaheuristic method inspired by the foraging behavior of red-billed blue magpies. However, the conventional RBMO often suffers from premature convergence and performance degradation when solving high-dimensional constrained optimization problems due to its over-reliance on population mean vectors. To address these limitations, this study proposes an Improved Red-Billed Blue Magpie Optimization (IRBMO) algorithm through a multi-strategy fusion framework. IRBMO enhances population diversity through Logistic-Tent chaotic mapping, coordinates global and local search capabilities via a dynamic balance factor, and integrates a dual-mode perturbation mechanism that synergizes Jacobi curve strategies with Lévy flight strategies to balance exploration and exploitation. To validate IRBMO’s efficacy, comprehensive comparisons with 16 algorithms were conducted on the CEC-2017 (30D, 50D, 100D) and CEC-2022 (10D, 20D) benchmark suites. Subsequently, IRBMO was rigorously evaluated against ten additional competing algorithms across four constrained engineering design problems to validate its practical effectiveness and robustness in real-world optimization scenarios. Finally, IRBMO was applied to 3D UAV path planning, successfully avoiding hazardous zones while outperforming 15 alternative algorithms. Experimental results confirm that IRBMO exhibits statistically significant improvements in robustness, convergence accuracy, and speed compared to classical RBMO and other peers, offering an efficient solution for complex optimization challenges. Full article
(This article belongs to the Section Biological Optimisation and Management)
Show Figures

Figure 1

26 pages, 3487 KB  
Article
Intelligent Tool Wear Prediction Using CNN-BiLSTM-AM Based on Chaotic Particle Swarm Optimization (CPSO) Hyperparameter Optimization
by Fei Ma, Zhengze Yang, Hepeng Zhang and Weiwei Sun
Lubricants 2025, 13(11), 500; https://doi.org/10.3390/lubricants13110500 - 16 Nov 2025
Viewed by 417
Abstract
Against the backdrop of the rapid development of the manufacturing industry, online monitoring of tool wear status is of great significance for enhancing the reliability and intelligence of CNC machine tools. This paper presents an intelligent tool wear condition monitoring model (CPSO-CNN-BiLSTM-AM) that [...] Read more.
Against the backdrop of the rapid development of the manufacturing industry, online monitoring of tool wear status is of great significance for enhancing the reliability and intelligence of CNC machine tools. This paper presents an intelligent tool wear condition monitoring model (CPSO-CNN-BiLSTM-AM) that integrates the improved Chaotic Particle Swarm Optimization (CPSO) algorithm with the CNN-BiLSTM network incorporating an attention mechanism. The aim is to extract the global features of long-sequence monitoring data and the local features of multi-spatial data. Chaos theory and the mutation mechanism are introduced into the CPSO algorithm, which enhances the algorithm’s global search ability and its capacity to escape local optimal solutions, enabling more efficient optimization of the hyperparameters of the CNN-BiLSTM network. The CNN-BiLSTM network with the introduced attention mechanism can more accurately extract the spatial features of wear signals and the dependencies of time-series signals, and focus on the key features in wear signals. The study utilized the IEEE PHM2010 Challenge dataset, extracted wear features through time-domain, frequency-domain, and time-frequency domain methods, and divided the training set and validation set using cross-validation. The results show that in the public PHM2010 dataset, the average MAE of the model for tools C1, C4, and C6 is 0.83 μm, 1.01 μm, and 1.34 μm, respectively; the RMSE is 0.99 μm, 1.79 μm, and 0.88 μm, respectively; and the MAPE is 0.95%, 1.41%, and 1.01%, respectively. In the self-built dataset, the average MAE for tools A1, A2, and A3 is 1.35 μm, 1.19 μm, and 1.83 μm, respectively; the RMSE is 1.41 μm, 1.98 μm, and 1.90 μm, respectively; and the MAPE is 1.67%, 1.55%, and 1.81%, respectively. All indicators are superior to those of comparative models such as LSTM and PSO-CNN. The proposed model can effectively capture changes in different stages of tool wear, providing a more accurate solution for tool wear condition monitoring. Full article
(This article belongs to the Special Issue Advances in Tool Wear Monitoring 2025)
Show Figures

Figure 1

22 pages, 2710 KB  
Article
An Inverse Kinematics Solution for Mobile Manipulators in Textile Workshops Based on an Improved Particle Swarm Optimization
by Wei Xie, Zhongxu Wang, Jiachen Ma, Jun Chen and Xingjian Xie
Symmetry 2025, 17(11), 1980; https://doi.org/10.3390/sym17111980 - 16 Nov 2025
Viewed by 251
Abstract
To enhance the operational performance of mobile manipulators in textile workshops and address the difficulty of inverse kinematics (IK) for this class of redundant manipulators, this paper leverages the robot’s structural symmetries and proposes a chaotic-mutation particle swarm optimization (CMPSO)-based IK algorithm for [...] Read more.
To enhance the operational performance of mobile manipulators in textile workshops and address the difficulty of inverse kinematics (IK) for this class of redundant manipulators, this paper leverages the robot’s structural symmetries and proposes a chaotic-mutation particle swarm optimization (CMPSO)-based IK algorithm for mobile manipulators, thus simplifying the solution process and ensuring balanced exploration of the search space. First, the coordinate–transformation relationships of the mobile manipulator are analyzed to establish its forward kinematic model. Then, a multi-objective constrained IK model is formulated according to the manipulator’s operating characteristics. The model incorporates a pose-error function, the ‘compliance’ principle, and joint-limit avoidance. To solve this model accurately, we refine the population initialization and boundary-violation handling of the particle swarm algorithm and introduce an asymmetric mechanism via an adaptive mutation strategy, culminating in a CMPSO-based IK solver. On this basis, single-pose IK tests and trajectory-planning experiments are conducted, and simulation results verify the effectiveness and stability of the proposed algorithm. Full article
Show Figures

Figure 1

19 pages, 9463 KB  
Article
A High-Precision Numerical Method for the Fractional-in-Time Complex Ginzburg–Landau Equation with Periodic Boundary Condition
by Wei Zhang and Yulan Wang
Fractal Fract. 2025, 9(11), 738; https://doi.org/10.3390/fractalfract9110738 - 14 Nov 2025
Viewed by 464
Abstract
This paper investigates the chaotic and pattern dynamics of the time-fractional Ginzburg–Landau equation. First, we propose a high-precision numerical method that combines finite difference schemes with an improved Grünwald–Letnikov fractional derivative approximation. Subsequently, the effectiveness of the proposed method is validated through systematic [...] Read more.
This paper investigates the chaotic and pattern dynamics of the time-fractional Ginzburg–Landau equation. First, we propose a high-precision numerical method that combines finite difference schemes with an improved Grünwald–Letnikov fractional derivative approximation. Subsequently, the effectiveness of the proposed method is validated through systematic comparisons with classical numerical approaches. Finally, numerical simulations based on this method reveal rich dynamical phenomena in the fractional Ginzburg–Landau equation: the system exhibits complex behaviors including chaotic oscillations and novel two- and three-dimensional pattern structures. This study not only advances the theoretical development of numerical solutions for fractional GLE but also provides a reliable computational tool for deeper understanding of its complex dynamical mechanisms. Full article
Show Figures

Figure 1

22 pages, 13441 KB  
Article
Nonlinear Combined Resonance of Thermo-Magneto-Electro-Elastic Cylindrical Shells
by Gui-Lin She and Lei-Lei Gan
Dynamics 2025, 5(4), 48; https://doi.org/10.3390/dynamics5040048 - 14 Nov 2025
Viewed by 374
Abstract
This study investigates the combined resonance phenomenon in magneto-electro-elastic (MEE) cylindrical shells under longitudinal and lateral excitations with thermal factors, addressing the complex interaction between mechanical, electrical, and magnetic fields in smart structures. The research aims to establish a theoretical framework for predicting [...] Read more.
This study investigates the combined resonance phenomenon in magneto-electro-elastic (MEE) cylindrical shells under longitudinal and lateral excitations with thermal factors, addressing the complex interaction between mechanical, electrical, and magnetic fields in smart structures. The research aims to establish a theoretical framework for predicting resonance behaviors in energy harvesting and sensing applications. Using Maxwell’s equations and Hamilton’s principle, the governing equations for combined resonance are derived. The method of varying amplitude (MVA) is employed to acquire the combined resonance response across varying parameters. Furthermore, the Runge–Kutta method is applied to investigate the bifurcation and chaotic motion characteristics under different longitudinal and lateral excitation conditions. Key findings reveal the coupling effects of multi-physical fields on resonance frequencies, demonstrating quantitative agreement with prior studies. The results provide fundamental insights into the dynamic characteristics of MEE materials, offering theoretical support for optimizing their performance in adaptive engineering systems. Full article
(This article belongs to the Special Issue Recent Advances in Dynamic Phenomena—3rd Edition)
Show Figures

Figure 1

26 pages, 5928 KB  
Article
A Chaos-Initiated and Adaptive Multi-Guide Control-Based Crayfish Optimization Algorithm for Image Analysis
by Ziyang Shen, Zhe Sun, Yunrui Bi and Zhixin Sun
Symmetry 2025, 17(11), 1940; https://doi.org/10.3390/sym17111940 - 12 Nov 2025
Viewed by 313
Abstract
Image clustering analysis faces the curse of dimensionality, distance concentration, multimodal landscapes, and rapid diversity loss that challenge meta-heuristics. Meanwhile, the standard Crayfish Optimization Algorithm (COA) has shown notable potential but often suffers from poor convergence speed and premature convergence. To address these [...] Read more.
Image clustering analysis faces the curse of dimensionality, distance concentration, multimodal landscapes, and rapid diversity loss that challenge meta-heuristics. Meanwhile, the standard Crayfish Optimization Algorithm (COA) has shown notable potential but often suffers from poor convergence speed and premature convergence. To address these issues, this paper introduces a Chaos-initiated and Adaptive Multi-guide Control-based COA (CMCOA). First, a chaotic initialization strategy is employed by explicitly exploiting the reflection symmetry of logistic-map chaotic sequences together with opposition-based learning, which enhances population diversity and facilitates early exploration of promising regions. Second, a fitness-feedback adaptive parameter control mechanism, motivated by the general idea of the MIT rule, is integrated to dynamically balance exploration and exploitation, thereby accelerating convergence while mitigating premature stagnation. Furthermore, a multi-guide stage-switching strategy is designed to avoid being trapped in local optima by promoting adaptive transitions between exploration phases and exploitation phases. CMCOA is benchmarked against competing algorithms on ten challenging test functions drawn from CEC2017, CEC2019, CEC2020, and CEC2022 suites. We also conducted multispectral clustering, where class differences often lie in reflectance magnitude; we adopt Euclidean distance for its efficiency and suitability in capturing such variations. Compared with other algorithms, CMCOA shows faster convergence, higher accuracy, and improved robustness, revealing its broader potential for image analysis tasks. Full article
(This article belongs to the Special Issue Symmetry in Mathematical Optimization Algorithm and Its Applications)
Show Figures

Figure 1

17 pages, 4947 KB  
Article
On Variable-Order Fractional Discrete Macroeconomic Model: Stability, Chaos, and Complexity
by Ali Aloui, Louiza Diabi, Omar Kahouli, Adel Ouannas, Lilia El Amraoui and Mohamed Ayari
Fractal Fract. 2025, 9(11), 723; https://doi.org/10.3390/fractalfract9110723 - 8 Nov 2025
Viewed by 475
Abstract
Macroeconomic mathematical models are practical instruments structured to carry out theoretical analyses of macroeconomic developments. In this manuscript, the Caputo-like fractional operator of variable order is used to introduce and investigate the mechanism of the discrete macroeconomic model. The nature of the dynamics [...] Read more.
Macroeconomic mathematical models are practical instruments structured to carry out theoretical analyses of macroeconomic developments. In this manuscript, the Caputo-like fractional operator of variable order is used to introduce and investigate the mechanism of the discrete macroeconomic model. The nature of the dynamics was established, and the emergence of chaos using a distinct variable fractional order, especially the stability of the trivial solution, is examined. The findings reveal that the variable-order discrete macroeconomic model displays chaotic dynamics employing bifurcation, the Largest Lyapunov exponent (LEmax), the phase portraits, and the 0–1 test. Furthermore, a complexity analysis is performed to demonstrate the existence of chaos and quantify its complexity using C0 complexity and spectral entropy (SE). These studies show that the suggested variable-order fractional discrete macroeconomic model has more complex features than integer and constant fractional orders. Finally, MATLAB R2024b simulations are run to exemplify the outcomes of this study. Full article
(This article belongs to the Special Issue Nonlinear Dynamics, Chaos and Control of Fractional Systems)
Show Figures

Figure 1

26 pages, 2356 KB  
Article
DFC-LSTM: A Novel LSTM Architecture Integrating Dynamic Fractal Gating and Chaotic Activation for Value-at-Risk Forecasting
by Yilong Zeng, Boyan Tang, Zhefang Zhou and Raymond S. T. Lee
Mathematics 2025, 13(22), 3587; https://doi.org/10.3390/math13223587 - 8 Nov 2025
Viewed by 625
Abstract
Accurate Value-at-Risk (VaR) forecasting is challenged by the non-stationary, fractal, and chaotic dynamics of financial markets. Standard deep learning models like LSTMs often rely on static internal mechanisms that fail to adapt to shifting market complexities. To address these limitations, we propose a [...] Read more.
Accurate Value-at-Risk (VaR) forecasting is challenged by the non-stationary, fractal, and chaotic dynamics of financial markets. Standard deep learning models like LSTMs often rely on static internal mechanisms that fail to adapt to shifting market complexities. To address these limitations, we propose a novel architecture: the Dynamic Fractal–Chaotic LSTM (DFC-LSTM). This model incorporates two synergistic innovations: a multifractal-driven dynamic forget gate that utilizes the multifractal spectrum width (Δα) to adaptively regulate memory retention, and a chaotic oscillator-based dynamic activation that replaces the standard tanh function with the peak response of a Lee Oscillator’s trajectory. We evaluate the DFC-LSTM for one-day-ahead 95% VaR forecasting on S&P 500 and AAPL stock data, comparing it against a suite of state-of-the-art benchmarks. The DFC-LSTM consistently demonstrates superior statistical calibration, passing coverage tests with significantly higher p-values—particularly on the volatile AAPL dataset, where several benchmarks fail—while maintaining competitive economic loss scores. These results validate that embedding the intrinsic dynamical principles of financial markets into neural architectures leads to more accurate and reliable risk forecasts. Full article
(This article belongs to the Section E5: Financial Mathematics)
Show Figures

Figure 1

37 pages, 25662 KB  
Article
A Hyperspectral Remote Sensing Image Encryption Algorithm Based on a Novel Two-Dimensional Hyperchaotic Map
by Zongyue Bai, Qingzhan Zhao, Wenzhong Tian, Xuewen Wang, Jingyang Li and Yuzhen Wu
Entropy 2025, 27(11), 1117; https://doi.org/10.3390/e27111117 - 30 Oct 2025
Viewed by 399
Abstract
With the rapid advancement of hyperspectral remote sensing technology, the security of hyperspectral images (HSIs) has become a critical concern. However, traditional image encryption methods—designed primarily for grayscale or RGB images—fail to address the high dimensionality, large data volume, and spectral-domain characteristics inherent [...] Read more.
With the rapid advancement of hyperspectral remote sensing technology, the security of hyperspectral images (HSIs) has become a critical concern. However, traditional image encryption methods—designed primarily for grayscale or RGB images—fail to address the high dimensionality, large data volume, and spectral-domain characteristics inherent to HSIs. Existing chaotic encryption schemes often suffer from limited chaotic performance, narrow parameter ranges, and inadequate spectral protection, leaving HSIs vulnerable to spectral feature extraction and statistical attacks. To overcome these limitations, this paper proposes a novel hyperspectral image encryption algorithm based on a newly designed two-dimensional cross-coupled hyperchaotic map (2D-CSCM), which synergistically integrates Cubic, Sinusoidal, and Chebyshev maps. The 2D-CSCM exhibits superior hyperchaotic behavior, including a wider hyperchaotic parameter range, enhanced randomness, and higher complexity, as validated by Lyapunov exponents, sample entropy, and NIST tests. Building on this, a layered encryption framework is introduced: spectral-band scrambling to conceal spectral curves while preserving spatial structure, spatial pixel permutation to disrupt correlation, and a bit-level diffusion mechanism based on dynamic DNA encoding, specifically designed to secure high bit-depth digital number (DN) values (typically >8 bits). Experimental results on multiple HSI datasets demonstrate that the proposed algorithm achieves near-ideal information entropy (up to 15.8107 for 16-bit data), negligible adjacent-pixel correlation (below 0.01), and strong resistance to statistical, cropping, and differential attacks (NPCR ≈ 99.998%, UACI ≈ 33.30%). The algorithm not only ensures comprehensive encryption of both spectral and spatial information but also supports lossless decryption, offering a robust and practical solution for secure storage and transmission of hyperspectral remote sensing imagery. Full article
(This article belongs to the Section Signal and Data Analysis)
Show Figures

Figure 1

Back to TopTop