On Variable-Order Fractional Discrete Macroeconomic Model: Stability, Chaos, and Complexity
Abstract
1. Introduction
2. Background and Model Description
2.1. Fractional Tools
2.2. The Model and Its Stability
3. Dynamic Analysis
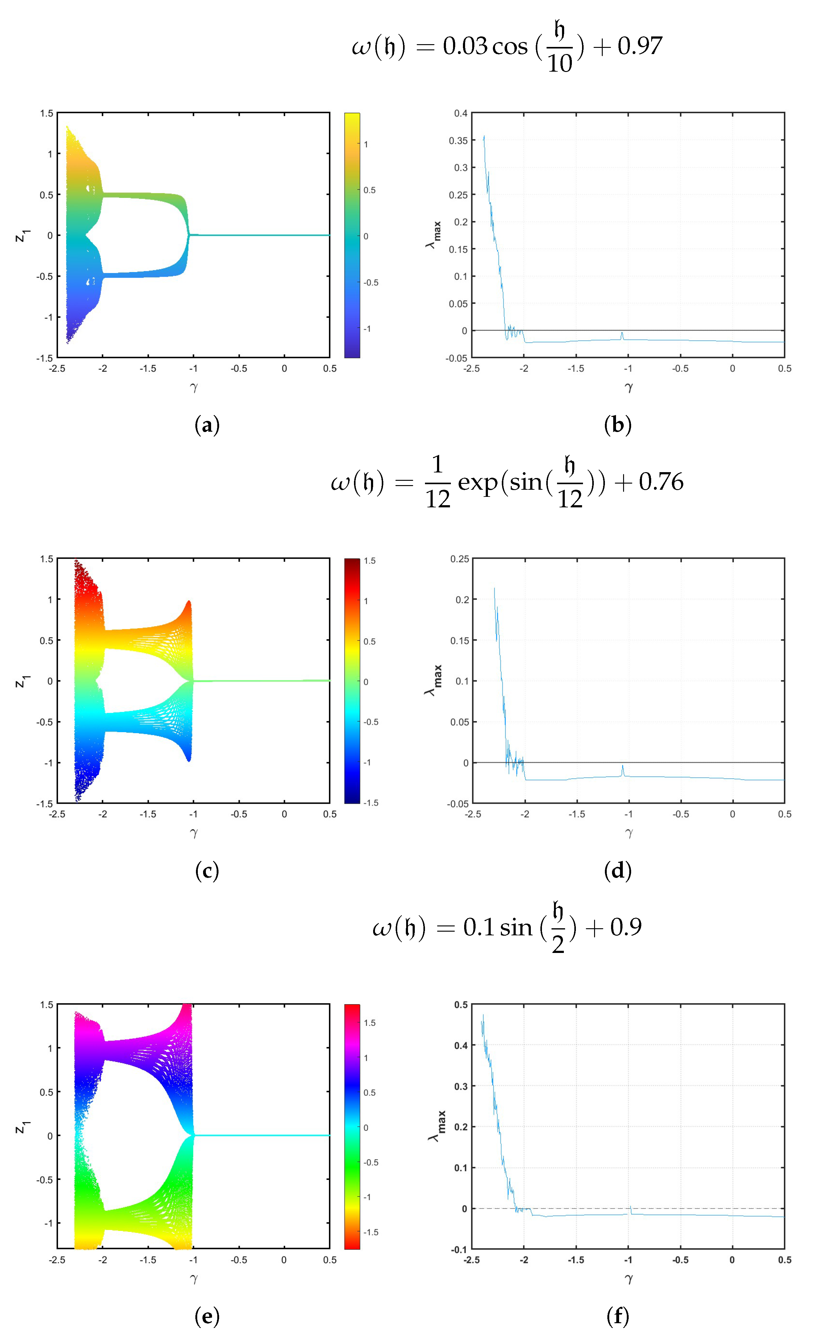
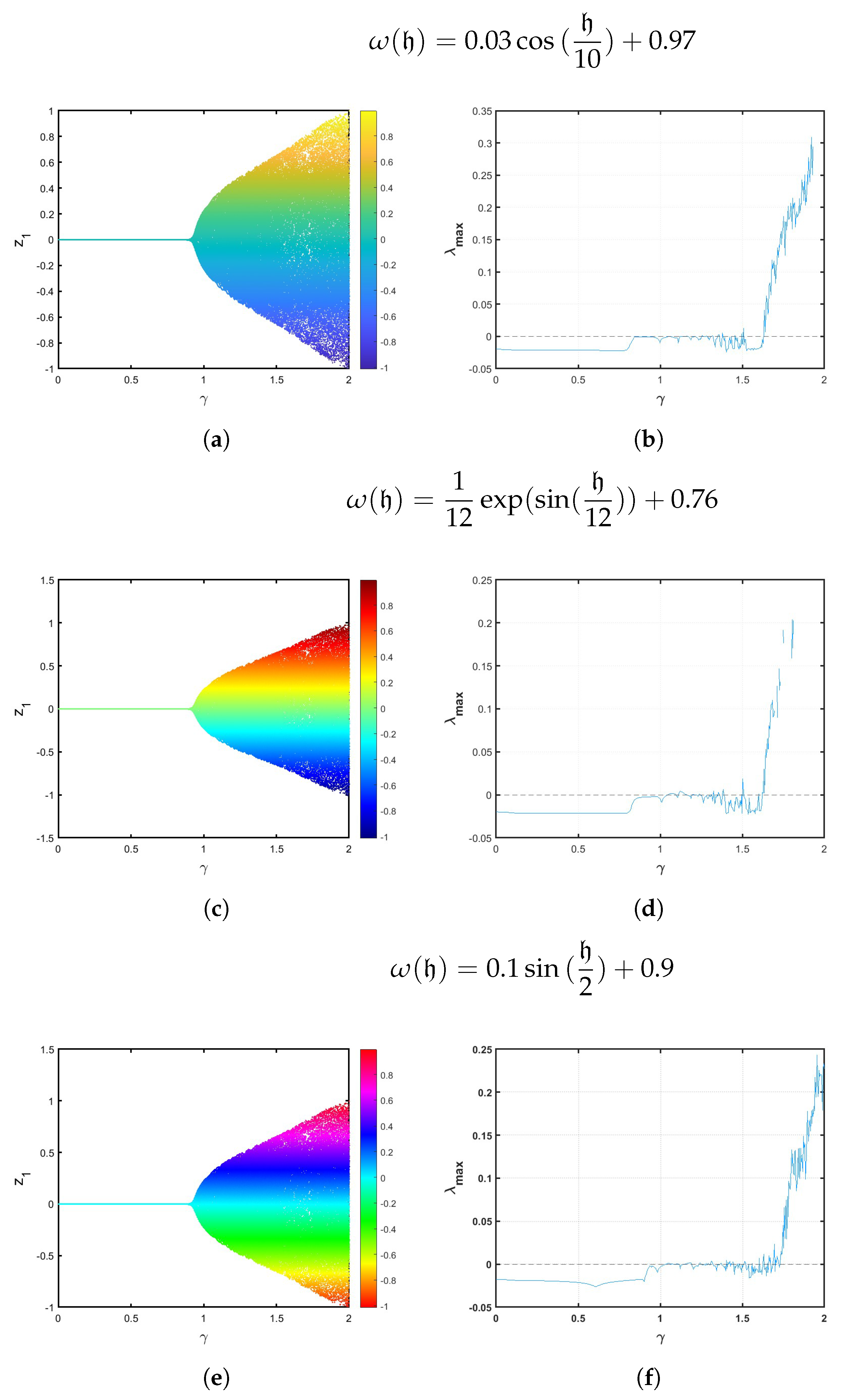
3.1. Bifurcation and Largest
3.2. 0–1 Test
4. Complexity Analysis
4.1. Spectral Entropy
4.2. Complexity
- The Fourier transform of can be found by expressing
- The mean square of is explained as and set as
- The following formula is used to determine the inverse Fourier transform:
- By applying the previous formula, the complexity was found to be
5. Conclusions and Future Works
Author Contributions
Funding
Data Availability Statement
Acknowledgments
Conflicts of Interest
References
- Mokhov, V.; Aliukov, S.; Alabugin, A.; Osintsev, K. A review of mathematical models of macroeconomics, microeconomics, and government regulation of the economy. Mathematics 2023, 11, 3246. [Google Scholar] [CrossRef]
- Josephsen, L.W. Use of mathematics in macroeconomic analysis. In Routledge Handbook of Macroeconomic Methodology; Routledge: London, UK, 2023; pp. 251–265. [Google Scholar]
- Tarasov, V.E. Non-linear macroeconomic models of growth with memory. Mathematics 2020, 8, 2078. [Google Scholar] [CrossRef]
- Anagnostopoulos, A.; Giannitsarou, C. Modelling Time and Macroeconomic Dynamics. 2010. Available online: https://www.researchgate.net/publication/228222663_Modelling_Time_and_Macroeconomic_Dynamics (accessed on 10 June 2025).
- David, S.A.; Machado, J.A.T.; Quintino, D.D.; Balthazar, J.M. Partial chaos suppression in a fractional order macroeconomic model. Math. Comput. Simul. 2016, 122, 55–68. [Google Scholar] [CrossRef]
- Zhang, B.; Liu, L. Chaos-based image encryption: Review, application, and challenges. Mathematics 2023, 11, 2585. [Google Scholar] [CrossRef]
- Chua, L.O. Memristors on ‘edge of chaos’. Nat. Rev. Electr. Eng. 2024, 1, 614–627. [Google Scholar] [CrossRef]
- Attaullah; Mahdi, K.; Yavuz, M.; Boulaaras, S.; Haiour, M.; Pham, V.T. Computational approaches on integrating vaccination and treatment strategies in the SIR model using Galerkin time discretization scheme. Math. Comput. Model. Dyn. Syst. 2024, 30, 758–791. [Google Scholar] [CrossRef]
- Yan, W.; Dong, W.; Wang, P.; Wang, Y.; Xing, Y.; Ding, Q. Discrete-time memristor model for enhancing chaotic complexity and application in secure communication. Entropy 2022, 24, 864. [Google Scholar] [CrossRef]
- Diabi, L.; Ouannas, A.; Grassi, G.; Momani, S. Symmetry Breaking in Fractional Difference Chaotic Equations and Their Control. Symmetry 2025, 17, 352. [Google Scholar] [CrossRef]
- Wu, G.C.; Baleanu, D. Discrete fractional logistic map and its chaos. Nonlinear Dyn. 2014, 75, 283–287. [Google Scholar] [CrossRef]
- Dhakshinamoorthy, V.; Wu, G.C.; Banerjee, S. Chaotic Dynamics of Fractional Discrete Time Systems; CRC Press: Boca Raton, FL, USA, 2024. [Google Scholar]
- Choucha, A.; Boulaaras, S.; Haiour, M.; Shahrouzi, M.; Jan, R.; Abdalla, M. Growth and blow-up of solutions for a viscoelastic wave equation with logarithmic source, fractional conditions, and non-linear boundary feedback. J.-Pseudo-Differ. Oper. Appl. 2025, 16, 29. [Google Scholar] [CrossRef]
- Barros, L.C.D.; Lopes, M.M.; Pedro, F.S.; Esmi, E.; Santos, J.P.C.D.; Sánchez, D.E. The memory effect on fractional calculus: An application in the spread of COVID-19. Comput. Appl. Math. 2021, 40, 72. [Google Scholar] [CrossRef]
- Diabi, L.; Ouannas, A.; Hioual, A.; Momani, S.; Abbes, A. On fractional discrete financial system: Bifurcation, chaos, and control. Chin. Phys. B 2024, 33, 100201. [Google Scholar] [CrossRef]
- Ouannas, A.; Batiha, I.M.; Pham, V.T. Fractional Discrete Chaos: Theories, Methods and Applications; World Scientific: Singapore, 2023; Volume 3. [Google Scholar]
- Al-Taani, H.; Abu Hammad, M.M.; Abudayah, M.; Diabi, L.; Ouannas, A. On Fractional Discrete Memristive Model with Incommensurate Orders: Symmetry, Asymmetry, Hidden Chaos and Control Approaches. Symmetry 2025, 17, 143. [Google Scholar] [CrossRef]
- Iqbal, S.; Wang, J. A novel fractional-order 3-D chaotic system and its application to secure communication based on chaos synchronization. Phys. Scr. 2025, 100, 025243. [Google Scholar] [CrossRef]
- Wang, H.; Xin, Z.; He, S.; Sun, K. Design of a discrete memristive chaotic map: Fractional-order memory, dynamics and application. Phys. Scr. 2024, 99, 095218. [Google Scholar] [CrossRef]
- Calgan, H. Variable Fractional-Order Dynamics in Dark Matter–Dark Energy Chaotic System: Discretization, Analysis, Hidden Dynamics, and Image Encryption. Symmetry 2025, 17, 1655. [Google Scholar] [CrossRef]
- Zheng, X.; Wang, H. A hidden-memory variable-order time-fractional optimal control model: Analysis and approximation. SIAM J. Control Optim. 2021, 59, 1851–1880. [Google Scholar] [CrossRef]
- Tang, Z.; He, S.; Wang, H.; Sun, K.; Yao, Z.; Wu, X. A novel variable-order fractional chaotic map and its dynamics. Chin. Phys. B 2024, 33, 030503. [Google Scholar] [CrossRef]
- Hammouch, Z.; Yavuz, M.; Özdemir, N. Numerical solutions and synchronization of a variable-order fractional chaotic system. Math. Model. Numer. Simul. Appl. 2021, 1, 11–23. [Google Scholar] [CrossRef]
- Abdeljawad, T. On Riemann and Caputo fractional differences. Comput. Math. Appl. 2011, 62, 1602–1611. [Google Scholar] [CrossRef]
- Atici, F.M.; Eloe, P. Discrete fractional calculus with the nabla operator. Electron. J. Qual. Theory Differ. Equ. 2009, 2009, 1–12. [Google Scholar] [CrossRef]
- Momani, S.; Batiha, I.M.; Djenina, N.; Ouannas, A. Analyzing the Stability of Caputo Fractional Difference Equations with Variable Orders. Progress in Fractional Differentiation and Applications. Prog. Fract. Differ. Appl. 2024, 11, 139–151. [Google Scholar]
- Hu, Z.; Chen, W. Modeling of macroeconomics by a novel discrete nonlinear fractional dynamical system. Discret. Dyn. Nat. Soc. 2013, 2013, 275134. [Google Scholar] [CrossRef]
- Chu, Y.M.; Bekiros, S.; Zambrano-Serrano, E.; Orozco-López, O.; Lahmiri, S.; Jahanshahi, H.; Aly, A.A. Artificial macro-economics: A chaotic discrete-time fractional-order laboratory model. Chaos Solitons Fractals 2021, 145, 110776. [Google Scholar] [CrossRef]
- Abbes, A.; Ouannas, A.; Shawagfeh, N. An incommensurate fractional discrete macroeconomic system: Bifurcation, chaos, and complexity. Chin. Phys. B 2023, 32, 030203. [Google Scholar] [CrossRef]
- Anastassiou, G.A. Principles of delta fractional calculus on time scales and inequalities. Math. Comput. Model. 2010, 52, 556–566. [Google Scholar] [CrossRef]
- Wu, G.C.; Baleanu, D. Jacobian matrix algorithm for Lyapunov exponents of the discrete fractional maps. Commun. Nonlinear Sci. Numer. Simul. 2015, 22, 95–100. [Google Scholar] [CrossRef]
- Gottwald, G.A.; Melbourne, I. The 0-1 test for chaos: A review. In Chaos Detection and Predictability; Springer: Berlin/Heidelberg, Germany, 2016; pp. 221–247. [Google Scholar]
- Nunes, R.R.; Almeida, M.P.D.; Sleigh, J.W. Spectral entropy: A new method for anesthetic adequacy. Rev. Bras. Anestesiol. 2004, 54, 404–422. [Google Scholar]










Disclaimer/Publisher’s Note: The statements, opinions and data contained in all publications are solely those of the individual author(s) and contributor(s) and not of MDPI and/or the editor(s). MDPI and/or the editor(s) disclaim responsibility for any injury to people or property resulting from any ideas, methods, instructions or products referred to in the content. |
© 2025 by the authors. Licensee MDPI, Basel, Switzerland. This article is an open access article distributed under the terms and conditions of the Creative Commons Attribution (CC BY) license (https://creativecommons.org/licenses/by/4.0/).
Share and Cite
Aloui, A.; Diabi, L.; Kahouli, O.; Ouannas, A.; El Amraoui, L.; Ayari, M. On Variable-Order Fractional Discrete Macroeconomic Model: Stability, Chaos, and Complexity. Fractal Fract. 2025, 9, 723. https://doi.org/10.3390/fractalfract9110723
Aloui A, Diabi L, Kahouli O, Ouannas A, El Amraoui L, Ayari M. On Variable-Order Fractional Discrete Macroeconomic Model: Stability, Chaos, and Complexity. Fractal and Fractional. 2025; 9(11):723. https://doi.org/10.3390/fractalfract9110723
Chicago/Turabian StyleAloui, Ali, Louiza Diabi, Omar Kahouli, Adel Ouannas, Lilia El Amraoui, and Mohamed Ayari. 2025. "On Variable-Order Fractional Discrete Macroeconomic Model: Stability, Chaos, and Complexity" Fractal and Fractional 9, no. 11: 723. https://doi.org/10.3390/fractalfract9110723
APA StyleAloui, A., Diabi, L., Kahouli, O., Ouannas, A., El Amraoui, L., & Ayari, M. (2025). On Variable-Order Fractional Discrete Macroeconomic Model: Stability, Chaos, and Complexity. Fractal and Fractional, 9(11), 723. https://doi.org/10.3390/fractalfract9110723

