A High-Precision Numerical Method for the Fractional-in-Time Complex Ginzburg–Landau Equation with Periodic Boundary Condition
Abstract
1. Introduction
2. Numerical Scheme
3. Convergence Analysis
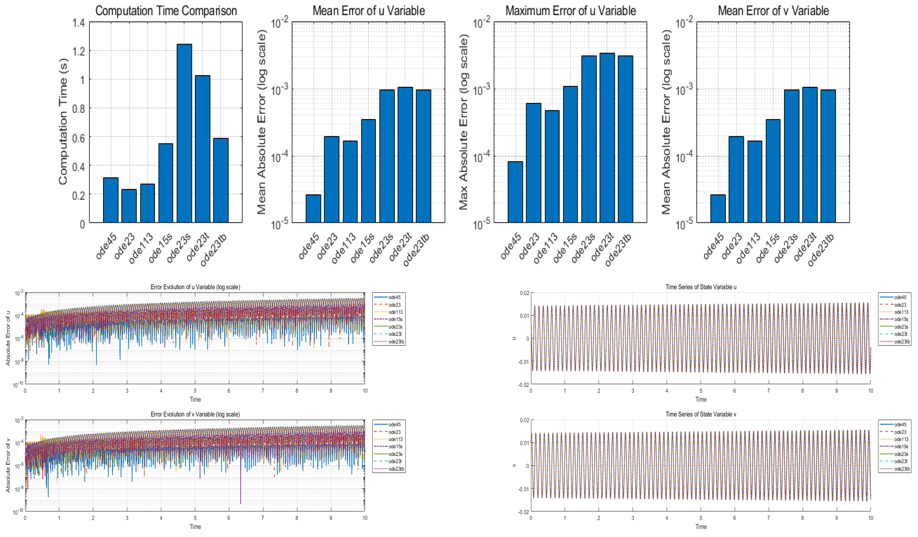
4. Numerical Simulation
5. Conclusions
Author Contributions
Funding
Data Availability Statement
Conflicts of Interest
References
- Samko, S.G.; Kilbas, A.A.; Marichev, O.I. Fractional Integrals and Derivatives: Theory and Applications; Gordon and Breach Science Publishers: Yverdon, Switzerland, 1993. [Google Scholar]
- Oldham, K.B.; Spanier, J. The Fractional Calculus: Theory and Applications of Differentiation and Integration to Arbitrary Order; Academic Press: New York, NY, USA, 1974. [Google Scholar]
- Miller, K.S.; Ross, B. An introduction to the Fractional Calculus and Fractional Differential Equations; John Wiley & Sons: New York, NY, USA, 1993. [Google Scholar]
- Kilbas, A.A.; Srivastava, H.M.; Trujillo, J.J. Theory and Applications of Fractional Differential Equations; Elsevier: Amsterdam, The Netherlands, 2006. [Google Scholar]
- Petráš, I. Fractional-Order Nonlinear Systems, Modeling, Analysis and Simulation; Springer: Heidelberg, Germany; Dordrecht, The Netherlands; London, UK; New York, NY, USA, 2011. [Google Scholar]
- Zhou, Y. Basic Theory of Fractional Differential Equations; World Scientific: Singapore, 2014. [Google Scholar]
- Baleanu, D.; Diethelm, K.; Scalas, E.; Trujillo, J.J. Fractional Calculus: Models and Numerical Methods; World Scientific: Singapore, 2012. [Google Scholar]
- Podlubny, I. Fractional Differential Equations; Academic Press: San Diego, CA, USA, 1999. [Google Scholar]
- Podlubny, I. Matrix Approach to Discrete Fractional Calculus. Fract. Calc. Appl. Anal. 2000, 3, 359–386. [Google Scholar]
- Podlubny, I.; Chechkin, A.; Skovranek, T.; Chen, Y.Q.; Vinagre, J.M. Matrix approach to discrete fractional calculus II: Partial fractional differential equations. J. Comput. Phys. 2009, 228, 3137–3153. [Google Scholar] [CrossRef]
- Ford, N.J.; Simpson, J.R. The Numerical Solution of Fractional Differential Equations: Speed versus Accuracy. J. Comput. Appl. Anal. 2001, 136, 367–381. [Google Scholar] [CrossRef]
- Ford, N.J.; Simpson, J.R. A New Look at the Numerical Solution of Fractional Differential Equations. In Proceedings of the 15th IMACS World Congress on Scientific Computation, Modelling and Applied Mathematics, Berlin, Germany, 24–29 August 1997. [Google Scholar]
- Ford, N.J.; Simpson, J.R. The Numerical Solution of Fractional Differential Equations: A Survey of Software and Applications. In Proceedings of the 2003 International Conference on Scientific and Engineering Computation, Melbourne, Australia, 2–4 June 2003. [Google Scholar]
- Ford, N.J.; Xiao, J.Y.; Yan, Y.B. A Finite Element Method for Time-Fractional Partial Differential Equations. Fract. Calc. Appl. Anal. 2011, 14, 454–474. [Google Scholar] [CrossRef]
- Meerschaert, M.M.; Tadjeran, C. Finite difference approximations for fractional advection-dispersion flow equations. J. Comput. Appl. Math. 2004, 172, 65–77. [Google Scholar] [CrossRef]
- Meerschaert, M.M.; Tadjeran, C. Finite difference approximations for two-sided space-fractional partial differential equations. Appl. Numer. Math. 2006, 56, 80–90. [Google Scholar] [CrossRef]
- Tadjeran, C.; Meerschaert, M.M.; Scheffler, H.P. A second-order accurate numerical approximation for the fractional diffusion equation. J. Comput. Phys. 2006, 213, 205–213. [Google Scholar] [CrossRef]
- Yang, J.Y.; Wang, Y.L.; Li, Z.Y. Exploring dynamics and pattern formation of a fractional-order three-variable Oregonator model. Netw. Heterog. Media 2025, 20, 1201–1229. [Google Scholar] [CrossRef]
- Meerschaert, M.M.; Scheffler, H.P.; Tadjeran, C. Finite difference methods for two-dimensional fractional dispersion equation. J. Comput. Phys. 2006, 211, 249–261. [Google Scholar] [CrossRef]
- Li, C.P.; Zeng, F.H. Numerical Methods for Fractional Calculus; Chapman and Hall/CRC: Boca Raton, FL, USA, 2015. [Google Scholar]
- Li, C.P.; Cai, M. Theory and Numerical Approximations of Fractional Integrals and Derivatives; Society for Industrial and Applied Mathematics: Philadelphia, PA, USA, 2020. [Google Scholar]
- Li, C.P.; Chen, A.J.; Ye, J.J. Numerical approaches to fractional calculus and fractional ordinary differential equation. J. Comput. Phys. 2011, 230, 3352–3368. [Google Scholar] [CrossRef]
- Diethelm, K.; Ford, N.J.; Freed, A.D. A predictor-corrector approach for the numerical solution of fractional differential equations. Nonlinear Dyn. 2004, 29, 3–22. [Google Scholar] [CrossRef]
- Wang, Y.L.; Jia, L.N.; Zhang, H.L. Numerical solution for a class of space-time fractional equation by the piecewise reproducing kernel method. Int. J. Comput. Math. 2019, 96, 2100–2111. [Google Scholar] [CrossRef]
- Wang, Y.L.; Liu, Y.; Li, Z.Y.; Zhang, H.L. Numerical solution of integro-differential equations of high-order Fredholm by the simplified reproducing kernel method. Int. J. Comput. Math. 2019, 96, 585–593. [Google Scholar] [CrossRef]
- Li, Z.Y.; Wang, Y.L.; Tan, F.G.; Wan, X.H.; Yu, H.; Duan, J.S. Solving a class of linear nonlocal boundary value problems using the reproducing kernel. Appl. Math. Comput. 2015, 265, 1098–1105. [Google Scholar] [CrossRef]
- Li, Z.Y.; Wang, M.C.; Wang, Y.L. Solving a class of variable order nonlinear fractional integral differential equations by using reproducing kernel function. AIMS Math. 2022, 7, 12935–12951. [Google Scholar] [CrossRef]
- Diethelm, K. The Analysis of Fractional Differential Equations: An Application-Oriented Exposition Using Differential Operators of Caputo Type; Springer: Berlin/Heidelberg, Germany, 2010. [Google Scholar]
- Diethelm, K.; Ford, N.J. Analysis of fractional differential equations. J. Math. Anal. Appl. 2002, 265, 229–248. [Google Scholar] [CrossRef]
- Li, C.P.; Qian, D.; Chen, Y.Q. On Riemann-Liouville and Caputo derivatives. Discret. Dyn. Nat. Soc. 2011, 2011, 562494. [Google Scholar] [CrossRef]
- Li, C.P.; Li, Z.Q. Stability and logarithmic decay of the solution to Hadamard-type fractional differential equation. J. Nonlinear Sci. 2021, 31, 31. [Google Scholar] [CrossRef]
- Li, C.P.; Li, Z.Q. The blow-up and global existence of solution to Hadamard-type fractional differential equations. Fract. Calc. Appl. Anal. 2020, 23, 1303–1337. [Google Scholar]
- Podlubny, I.; Petras, I.; Vinagre, B.M.; O’Leary, P.; Dorcak, L. Analogue realizations of fractional-order controllers. Non-Linear Dyn. 2002, 29, 281–296. [Google Scholar] [CrossRef]
- Xue, D.Y.; Chen, Y.Q. A unified framework for fractional-order system modeling, analysis and simulation. J. Syst. Simul. 2009, 21, 4973–4978. [Google Scholar]
- Xue, D.Y. Numerical implementation of fractional-order controllers. IET Control Theory Appl. 2017, 11, 1675–1681. [Google Scholar]
- Xue, D.Y. Analysis and design of fractional-order proportional-integral-derivative controllers. Acta Autom. Sin. 2018, 44, 1–13. [Google Scholar]
- Benson, D.A.; Wheatcraft, S.W.; Meerschaert, M.M. Application of a fractional advection-dispersion equation. Water Resour. Res. 2000, 36, 1403–1412. [Google Scholar] [CrossRef]
- Benson, D.A.; Wheatcraft, S.W.; Meerschaert, M.M. The fractional-order governing equation of Lévy motion. Water Resour. Res. 2000, 36, 1413–1423. [Google Scholar] [CrossRef]
- Meerschaert, M.M.; Benson, D.A.; Bäumer, B. Multidimensional advection and fractional dispersion. Phys. Rev. E 1999, 59, 5026–5028. [Google Scholar] [CrossRef]
- Han, C.; Wang, Y.L. Numerical Solutions of Variable-Coefficient Fractional-in-Space KdV Equation with the Caputo Fractional Derivative. Fractal Fract. 2022, 6, 207. [Google Scholar] [CrossRef]
- Zhang, H.L.; Wang, Y.L.; Bi, J.X.; Bao, S.H. Novel pattern dynamics in a vegetation-water reaction-diffusion model. Math. Comput. Simul. 2026, 241, 97–116. [Google Scholar] [CrossRef]
- Zhang, S.; Zhang, H.L.; Wang, Y.L.; Li, Z.Y. Dynamic properties and numerical simulations of a fractional phytoplank-ton-zooplankton ecological model. Netw. Heterog. Media 2025, 20, 648–669. [Google Scholar] [CrossRef]
- Gao, X.L.; Zhang, H.L.; Wang, Y.L.; Li, Z.Y. Research on Pattern Dynamics Behavior of a Fractional Vegetation-Water Model in Arid Flat Environment. Fractal Fract. 2024, 8, 264. [Google Scholar] [CrossRef]
- Wang, X.H.; Zhang, H.L.; Wang, Y.L.; Li, Z.Y. Dynamic properties and numerical simulations of the fractional Hastings-Powell model with the Grünwald-Letnikov differential derivative. Int. J. Bifurc. Chaos 2025, 35, 2550145. [Google Scholar] [CrossRef]
- Gao, X.L.; Zhang, H.L.; Li, X.Y. Research on pattern dynamics of a class of predator-prey model with interval biological coefficients for capture. AIMS Math. 2024, 9, 18506–18527. [Google Scholar] [CrossRef]
- Che, H.; Yu-Lan, W.; Zhi-Yuan, L. Novel patterns in a class of fractional reaction-diffusion models with the Riesz fractional derivative. Math. Comput. Simul. 2022, 202, 149–163. [Google Scholar] [CrossRef]
- Gao, X.L.; Li, Z.Y.; Wang, Y.L. Chaotic Dynamic Behavior of a Fractional-Order Financial System with Constant Inelastic Demand. Int. J. Bifurc. Chaos 2024, 34, 2450111. [Google Scholar] [CrossRef]
- Meerschaert, M.M.; Sikorskii, A. Stochastic Models for Fractional Calculus; De Gruyter: Berlin, Germany, 2019. [Google Scholar]
- Sabzikar, F.; Meerschaert, M.M.; Chen, J. Tempered fractional calculus. J. Comput. Phys. 2015, 293, 14–28. [Google Scholar] [CrossRef]
- Meerschaert, M.M.; Benson, D.A.; Scheffler, H.P.; Baeumer, B. Stochastic solution of space-time fractional diffusion equations. Phys. Rev. E 2002, 65, 041103. [Google Scholar] [CrossRef]
- Aranson, I.S.; Kramer, L. The world of the complex Ginzburg-Landau equation. Rev. Mod. Phys. 2002, 74, 99–143. [Google Scholar] [CrossRef]
- Kuramoto, Y. Chemical Oscillations, Waves and Turbulence; Springer: New York, NY, USA, 1984. [Google Scholar]
- Ginzburg, V.L.; Landau, L.D. On the Theory of Superconductivity. In On Superconductivity and Superfluidity; Springer: Berlin/Heidelberg, Germany, 2009. [Google Scholar]
- Tarasov, V.; Zaslavsky, G. Fractional Ginzburg-Landau equation for fractal media. Phys. A 2005, 354, 249–261. [Google Scholar] [CrossRef]
- Tarasov, V.; Zaslavsky, G. Fractional dynamics of coupled oscillators with long-range interaction. Chaos 2006, 16, 023110. [Google Scholar] [CrossRef]
- Milovanov, A.; Rasmussen, J. Fractional generalization of the Ginzburg-Landau equation: An unconventional approach to critical phenomena in complex media. Phys. Lett. A 2007, 337, 75–80. [Google Scholar] [CrossRef]
- Fei, M.; Huang, C.; Wang, N.; Zhang, G. Galerkin-Legendre spectral method for the nonlinear Ginzburg-Landau equation with the Riesz fractional derivative. Math. Methods Appl. Sci. 2021, 15, 2711–2730. [Google Scholar] [CrossRef]
- Ding, H.F.; Li, C.P. Numerical analysis of the high-order scheme of the damped nonlinear space fraction Schrödinger equation. Appl. Math. Lett. 2023, 141, 108621. [Google Scholar] [CrossRef]
- Wang, N.; Huang, C. An efficient split-step quasi-compact finite difference method for the nonlinear fractional Ginzburg–Landau equations. Comput. Math. Appl. 2018, 75, 2223–2242. [Google Scholar] [CrossRef]
- Zhang, Z.; Li, M.; Wang, Z. A linearized Crank–Nicolson Galerkin FEMs for the nonlinear fractional Ginzburg–Landau equation. Appl. Anal. 2019, 98, 2648–2667. [Google Scholar] [CrossRef]
- Mohebbi, A. Fast and high-order numerical algorithms for the solution of multidimensional nonlinear fractional Ginzburg–Landau equation. Eur. Phys. J. Plus 2018, 133, 67. [Google Scholar] [CrossRef]
- Mvogo, A.; Tambue, A.; Ben-Bolie, G.; Kofane, T. Localized numerical impulse solutions in diffuse neural networks modeled by the complex fractional Ginzburg-Landau equation. Commun. Nonlinear Sci. Numer. Simul. 2016, 39, 396–410. [Google Scholar] [CrossRef]
- Gao, H.; Sun, W. An efficient fully linearized semi-implicit Galerkin-mixed FEM for the dynamical Ginzburg-Landau equations of superconductivity. J. Comput. Phys. 2015, 294, 329–345. [Google Scholar] [CrossRef]
- Li, M.; Huang, C.; Wang, N. Galerkin finite element method for the nonlinear fractional Ginzburg-Landau equation. Appl. Numer. Math. 2017, 118, 131–149. [Google Scholar] [CrossRef]
- Du, R.; Wang, Y.Y.; Hao, Z.P. High-dimensional nonlinear Ginzburg-Landau equation with fractional Laplacian: Dis-cretization and simulations. Commun. Nonlinear Sci. Numer. Simul. 2021, 102, 105920. [Google Scholar] [CrossRef]
- He, D.; Pan, K. An unconditionally stable linearized difference scheme for the fractional Ginzburg-Landau equation. Numer. Algorithms 2018, 79, 899–925. [Google Scholar] [CrossRef]
- Li, M.; Huang, C.M. An efficient difference scheme for the coupled nonlinear fractional Ginzburg-Landau equations with the fractional Laplacian. Numer. Methods Partial. Differ. Equ. 2019, 35, 394–421. [Google Scholar] [CrossRef]
- Wang, P.; Huang, C.M. An implicit midpoint difference scheme for the fractional Ginzburg-Landau equation. J. Comput. Phys. 2016, 312, 31–49. [Google Scholar] [CrossRef]
- Zhang, M.; Zhang, G.F.; Liao, L.D. Fast iterative solvers and simulation for the space fractional Ginzburg-Landau equations Ginzburg-Landau equations. Comput. Appl. Math. 2019, 78, 1793–1800. [Google Scholar] [CrossRef]
- Lu, H.; Lü, S.J.; Zhang, M.J. Fourier spectral approximations to the dynamics of 3D fractional complex Ginz-burg-Landau equation. Discret. Contin. Dyn. Syst. Ser. A 2017, 37, 2539–2564. [Google Scholar] [CrossRef]
- Ding, H.F.; Li, C.P. High-order numerical algorithm and error analysis for the two-dimensional nonlinear spatial fractional complex Ginzburg–Landau equation. Commun. Nonlinear Sci. Numer. Simul. 2023, 120, 107160. [Google Scholar] [CrossRef]
- Gao, Y.F.; Chang, S.X.; Lu, C.N. A Second-Order Alikhanov Type Implicit Scheme for the Time-Space Fractional Ginzburg–Landau Equation. Adv. Appl. Math. Mech. 2024, 16, 1451–1473. [Google Scholar] [CrossRef]
- Heydari, M.H.; Razzaghi, M. Piecewise fractional Chebyshev cardinal functions: Application for time fractional Ginzburg-Landau equation with a non-smooth solution. Chaos Solitons Fractals 2023, 171, 113445. [Google Scholar] [CrossRef]
- Aboelenen, T.; Alqawba, M. Stability analysis and error estimates of local discontinuous Galerkin method for nonlinear fractional Ginzburg–Landau equation with the fractional Laplacian. Eur. Phys. J. Spec. Top. 2023, 232, 2607–2617. [Google Scholar] [CrossRef]
- Liu, J.C.; Li, H.; Liu, Y. A Space-Time Finite Element Method for the Fractional Ginzburg-Landau Equation. Fractal Fract. 2023, 7, 564. [Google Scholar] [CrossRef]
- Raviola, L.A.; De Leo, M.F. Performance of affine-splitting pseudo-spectral methods for fractional complex Ginz-burg-Landau equations. Appl. Math. Comput. 2024, 466, 128428. [Google Scholar]
- Carreno-Diaz, J.F.; Kaikina, E.I. Neumann problem for fractional Ginzburg-Landau equation on a upper-right quarter plane. J. Differ. Equ. 2025, 418, 258–304. [Google Scholar] [CrossRef]
- Xue, D.Y. Fractional Calculus and Fractional-Order Control; Science Press: Beijing, China, 2018. [Google Scholar]
- Dorčák, L. Numerical Models for Simulation the Fractional-Order Control Systems; UEF-04-94; The Academy of Sciences Institute of Experimental Physics: Kosice, Slovakia, 1994. [Google Scholar]













| p | gp(z) |
|---|---|
| 1 | |
| 2 | |
| 3 | |
| 4 | |
| 5 | |
| 6 | |
| 7 | |
| 8 |
| 1 | −1 | ||||||||
| −2 | |||||||||
| −3 | − | ||||||||
| −4 | 3 | − | |||||||
| −5 | 5 | − | − | ||||||
| −6 | − | − | |||||||
| −7 | − | − | − | ||||||
| −8 | 14 | − | − | − |
| 1 | −2 | 1 | |||||||||||
| −6 | −2 | ||||||||||||
| −11 | − | −1 | |||||||||||
| − | − | −10 | − | ||||||||||
| − | − | − | − | − | |||||||||
| − | − | − | −70 | − | − |
| 1 | −3 | 3 | −1 | ||||||||||
| − | −17 | − | |||||||||||
| − | − | − | − | − | |||||||||
| − | − | − | − | − | − |
Disclaimer/Publisher’s Note: The statements, opinions and data contained in all publications are solely those of the individual author(s) and contributor(s) and not of MDPI and/or the editor(s). MDPI and/or the editor(s) disclaim responsibility for any injury to people or property resulting from any ideas, methods, instructions or products referred to in the content. |
© 2025 by the authors. Licensee MDPI, Basel, Switzerland. This article is an open access article distributed under the terms and conditions of the Creative Commons Attribution (CC BY) license (https://creativecommons.org/licenses/by/4.0/).
Share and Cite
Zhang, W.; Wang, Y. A High-Precision Numerical Method for the Fractional-in-Time Complex Ginzburg–Landau Equation with Periodic Boundary Condition. Fractal Fract. 2025, 9, 738. https://doi.org/10.3390/fractalfract9110738
Zhang W, Wang Y. A High-Precision Numerical Method for the Fractional-in-Time Complex Ginzburg–Landau Equation with Periodic Boundary Condition. Fractal and Fractional. 2025; 9(11):738. https://doi.org/10.3390/fractalfract9110738
Chicago/Turabian StyleZhang, Wei, and Yulan Wang. 2025. "A High-Precision Numerical Method for the Fractional-in-Time Complex Ginzburg–Landau Equation with Periodic Boundary Condition" Fractal and Fractional 9, no. 11: 738. https://doi.org/10.3390/fractalfract9110738
APA StyleZhang, W., & Wang, Y. (2025). A High-Precision Numerical Method for the Fractional-in-Time Complex Ginzburg–Landau Equation with Periodic Boundary Condition. Fractal and Fractional, 9(11), 738. https://doi.org/10.3390/fractalfract9110738

