Sign in to use this feature.

Years

Between: -

Subjects

remove_circle_outline
remove_circle_outline
remove_circle_outline
remove_circle_outline
remove_circle_outline
remove_circle_outline
remove_circle_outline
remove_circle_outline
remove_circle_outline

Journals

Article Types

Countries / Regions

remove_circle_outline
remove_circle_outline
remove_circle_outline
remove_circle_outline

Search Results (289)

Search Parameters:
Keywords = canopy wind

Order results
Result details
Results per page
Select all
Export citation of selected articles as:
27 pages, 5984 KB  
Article
Optimization of Thermal Comfort Evaluation for Elderly Individuals in Winter Urban Parks Based on Plant Elements Within Landscape Spaces—Taking Beijing Zizhuyuan and Taoranting Parks as Examples
by Yan Lu, Zirui Wang, Yiyang Li and Shuyi Yan
Land 2025, 14(12), 2440; https://doi.org/10.3390/land14122440 - 17 Dec 2025
Abstract
Against the backdrop of accelerating population aging, urban green spaces have become primary venues for elderly daily activities, with their winter thermal comfort emerging as a critical determinant of senior wellbeing. However, existing studies lack quantitative guidelines on how plant characteristics affect thermal [...] Read more.
Against the backdrop of accelerating population aging, urban green spaces have become primary venues for elderly daily activities, with their winter thermal comfort emerging as a critical determinant of senior wellbeing. However, existing studies lack quantitative guidelines on how plant characteristics affect thermal comfort, limiting age-friendly design. Thirty representative landscape space sites (waterfront, square, dense forest, and sparse forest) in Beijing’s Zizhuyuan and Taoranting Parks were analyzed through microclimate measurements, 716 questionnaires, and scoring evaluations, supplemented by PET field data and ENVI-met simulations. A scoring system was developed based on tree density, plant traits (height, crown spread), and spatial features (canopy closure, structure, enclosure, and evergreen coverage). Key findings: (1) Sparse forests showed the best overall thermal comfort. Square building spaces were objectively comfortable but subjectively poor, while waterfront spaces showed the opposite. Dense forests performed worst in both aspects. (2) Wind speed and humidity were key drivers of both subjective and objective thermal comfort, and differences in plant configurations and landscape space types shaped how these factors were perceived. (3) Differentiated optimal scoring thresholds exist across the four landscape space types: waterfront (74 points), square building (52 points), sparse forest (61 points), and dense forest (88 points). (4) The landscape space design prioritizes sparse forest spaces, with moderate retention of waterfront and square areas and a reduction in dense forest zones. Optimization should proceed by first controlling enclosure and shading, then adjusting canopy closure and evergreen ratio, and finally refining tree traits to improve winter thermal comfort for the elderly. This study provides quantitative evidence and optimization strategies for improving both subjective and objective thermal comfort under diverse plant configurations. Full article
33 pages, 7724 KB  
Article
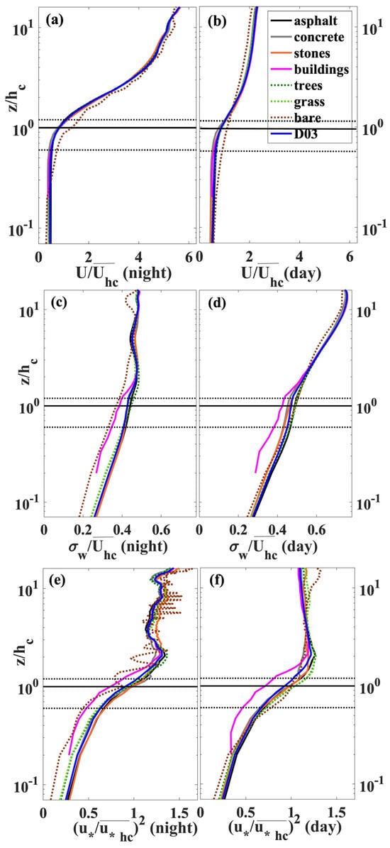
Energy Partitioning and Air Temperature Anomalies Above Urban Surfaces: A High-Resolution PALM-4U Study
by Daniela Cava, Luca Mortarini, Tony Christian Landi, Oxana Drofa, Giorgio Veratti, Edoardo Fiorillo, Umberto Giostra and Daiane de Vargas Brondani
Atmosphere 2025, 16(12), 1401; https://doi.org/10.3390/atmos16121401 - 12 Dec 2025
Viewed by 84
Abstract
Urban heat islands intensify heat stress and degrade air quality in densely built areas, yet the physical processes governing near-surface thermal variability remain poorly quantified. This study applies the coupled MOLOCH and PALM model system 6.0 (PALM-4U) over Bologna (Italy) during a summer [...] Read more.
Urban heat islands intensify heat stress and degrade air quality in densely built areas, yet the physical processes governing near-surface thermal variability remain poorly quantified. This study applies the coupled MOLOCH and PALM model system 6.0 (PALM-4U) over Bologna (Italy) during a summer 2023 heatwave to resolve meter-scale atmospheric dynamics within the Urban Canopy Layer and Roughness Sublayer at 2 m horizontal resolution. The coupled configuration was validated against in situ meteorological observations and Landsat-8 LST data, showing improved agreement in air temperature and wind speed compared to standalone mesoscale simulations. Results reveal pronounced diurnal and vertical variability of wind speed, turbulent kinetic energy, and friction velocity, with maxima between two/three times the median building height (hc). Distinct surface-dependent contrasts emerge: asphalt and roofs act as strong daytime heat sources (Bowen ratio βasphalt ≈ 4.8) and nocturnal heat reservoirs at pedestrian level (z ≈ 0.07 hc), while vegetation sustains daytime latent heat fluxes (βvegetation ≈ 0.6÷0.8) and cooler surface and near-surface air (Temperature anomaly of surface ΔTs ≈ −9 °C and air ΔTair ≈ −0.3 °C). Thermal anomalies decay with height, vanishing above z ≈ 2.5 hc due to turbulent mixing. These findings provide insight into fine-scale energy exchanges driving intra-urban thermal heterogeneity and support climate-resilient urban design. Full article
(This article belongs to the Section Biosphere/Hydrosphere/Land–Atmosphere Interactions)
Show Figures

Figure 1

21 pages, 7118 KB  
Article
The Cooling Effects of Greening Strategies Within High-Density Urban Built-Up Areas in Coastal Slope Terrain
by Ying Zhang, Xulan Li, Shiyu Liu, Zhike Liu and Yanhua Li
Sustainability 2025, 17(24), 11054; https://doi.org/10.3390/su172411054 - 10 Dec 2025
Viewed by 122
Abstract
The intensification of urban heat islands in high-density coastal slope areas poses significant challenges to sustainable development. From the perspective of sustainable urban design, this study investigates adaptive greening strategies to mitigate thermal stress, aiming to elucidate the key microclimate mechanisms under the [...] Read more.
The intensification of urban heat islands in high-density coastal slope areas poses significant challenges to sustainable development. From the perspective of sustainable urban design, this study investigates adaptive greening strategies to mitigate thermal stress, aiming to elucidate the key microclimate mechanisms under the combined influence of sea breezes and complex terrain to develop sustainable solutions that synergistically improve the thermal environment and energy efficiency. Combining field measurements with ENVI-met numerical simulations, this research systematically evaluates the thermal impacts of various greening strategies, including current conditions, lawns, shrubs, and tree configurations with different canopy coverages and leaf area indexes. During summer afternoon heat episodes, the highest temperatures within the building-dense sites were recorded in unshaded open areas, reaching 31.6 °C with a UTCI of 43.95 °C. While green shading provided some cooling, the contribution of natural ventilation was more significant (shrubs and lawns reduced temperatures by 0.23 °C and 0.15 °C on average, respectively, whereas various tree planting schemes yielded minimal reductions of only 0.012–0.015 °C). Consequently, this study proposes a climate-adaptive sustainable design paradigm: in areas aligned with the prevailing sea breeze, lower tree coverage should be maintained to create ventilation corridors that maximize passive cooling through natural wind resources; conversely, in densely built areas with continuous urban interfaces, higher tree coverage is essential to enhance shading and reduce solar radiant heat loads. Full article
Show Figures

Figure 1

17 pages, 2484 KB  
Article
Elevation-Driven Variations in Species Composition and Biodiversity in a Protected Temperate Forest, Mount Gyebangsan, Korea
by Kwangil Cheon, Eun-Seo Lee and Byeong-Joo Park
Diversity 2025, 17(12), 828; https://doi.org/10.3390/d17120828 - 28 Nov 2025
Viewed by 289
Abstract
This study analyzed the spatial patterns of species composition and biodiversity according to elevation on Mt. Gyebangsan, a representative protected ecosystem and the national park in Korea. Based on existing vegetation survey data, differences in species composition heterogeneity according to elevation were verified [...] Read more.
This study analyzed the spatial patterns of species composition and biodiversity according to elevation on Mt. Gyebangsan, a representative protected ecosystem and the national park in Korea. Based on existing vegetation survey data, differences in species composition heterogeneity according to elevation were verified using non-metric multidimensional scaling and multi-response permutation procedure analyses. Significant differences were identified using the Sørensen distance measure. Zeta (ζ)-diversity was analyzed based on the number of shared species among habitats to quantitatively interpret the structural characteristics of biodiversity along the altitudinal gradient. The analysis revealed that the understory species composition became increasingly distinct and alpha-diversity increased with elevation. High-elevation areas (A3, A4) experienced frequent physical disturbances, including wind damage and limited moisture, resulting in active canopy openings. Consequently, rhizomatous species, including Sasa borealis rapidly covered the ground, influencing the understory vegetation structure. ζ-Diversity analysis showed that the ζ-ratio in high-elevation regions sharply declined with increasing ζ-order, indicating limited species overlap among habitats and the dominance of deterministic processes. Thus, altitudinal gradients represent a key factor in shaping biodiversity, indicating that climatic variables directly affect understory distribution and species turnover. This study quantitatively assessed biodiversity and ecological heterogeneity within the national park, providing a scientific foundation for biodiversity conservation and management. Full article
(This article belongs to the Special Issue Forest Management and Biodiversity Conservation—2nd Edition)
Show Figures

Figure 1

21 pages, 8278 KB  
Article
Numerical Study on the Aerodynamic and Structural Response Characteristics of a High-Altitude Wind-Capturing Umbrella
by Jian Jiang, Jiaqi Wang, Yan Wang, Chang Cai and Tengyuan Wang
Appl. Sci. 2025, 15(22), 12161; https://doi.org/10.3390/app152212161 - 16 Nov 2025
Viewed by 424
Abstract
As global demand for renewable energy continues to grow, high-altitude wind energy, characterized by high speed, wide distribution, and strong stability, has emerged as a promising alternative to low-altitude wind energy. Airborne Wind Energy systems (AWEs) are key to harnessing high-altitude wind, and [...] Read more.
As global demand for renewable energy continues to grow, high-altitude wind energy, characterized by high speed, wide distribution, and strong stability, has emerged as a promising alternative to low-altitude wind energy. Airborne Wind Energy systems (AWEs) are key to harnessing high-altitude wind, and Ground-Generator (Ground-Gen) AWEs are favored for their lower costs and simpler deployment. This study focuses on the umbrella–ladder-type Ground-Gen AWEs, aiming to address the research gap by exploring the influence of canopy permeability on the aerodynamic and structural response characteristics of flexible wind-capturing umbrellas. A single-umbrella model of the high-altitude wind-capturing umbrella was established, and bidirectional fluid–structure interaction (FSI) numerical simulations were conducted using the Arbitrary Lagrangian–Eulerian (ALE) method. Simulations were performed under a 30° angle of attack with two canopy thicknesses (5 × 10−5 m and 1 × 10−4 m) and varying permeability (adjusted via viscosity coefficient a and inertial coefficient b). Results showed that higher permeability (smaller a and b) hindered upper canopy inflation, while lower permeability promoted full inflation and more uniform stress distribution. The max/min in-plane shear stress for the model with the lowest permeability (Model F) was approximately 85% lower than that of the model with the highest permeability (Model A). The tension coefficient increased with decreasing permeability. Full inflation resulted in a slightly higher axial load in the upper suspension lines due to the lift force, with a difference of up to 92.3% during slight collapse. This difference becomes significantly more pronounced during severe collapse. Asymmetric flow fields at a 30° attack angle generated a lift force, resulting in higher tension coefficients than those at a 0° attack angle. These findings provide valuable references for the design and optimization of high-altitude wind-capturing umbrellas. Full article
(This article belongs to the Section Aerospace Science and Engineering)
Show Figures

Figure 1

25 pages, 11488 KB  
Article
Investigating the Wind Flow Modulation of Tree Crown Morphology and Layout at Different Heights
by Heyang Qin, Liyu Pan, Xueying Wu, Chun-Ming Hsieh and Shuyi Guo
Forests 2025, 16(11), 1698; https://doi.org/10.3390/f16111698 - 7 Nov 2025
Viewed by 498
Abstract
Tree planting strategies play a critical role in improving local wind environments. This study investigates the effects of tree crown morphology and planting layout on wind regulation at two vertical levels, pedestrian height (1.5 m) and low-altitude canopy level (5 m), in Macau, [...] Read more.
Tree planting strategies play a critical role in improving local wind environments. This study investigates the effects of tree crown morphology and planting layout on wind regulation at two vertical levels, pedestrian height (1.5 m) and low-altitude canopy level (5 m), in Macau, a high-density subtropical city. Field microclimate measurements were combined with computational fluid dynamics (CFD) simulations to quantify the performance of three typical crown morphologies (ellipsoidal, cylindrical, and conical) under six planting configurations. Results reveal differentiated impacts across heights; under single trees and opposite tree plantings, ellipsoidal crowns produced the least wind reduction at 1.5 m but the strongest blockage at 5 m, while conical crowns caused substantial attenuation at 1.5 m yet allowed faster wind recovery at 5 m. Planting layouts further modulated these effects; a single-row of ellipsoidal crowns balanced pedestrian ventilation with upper-level wind protection, whereas opposite tree pair planting, enclosure planting and curved planting displayed contrasting performances depending on species morphology. The findings demonstrate that optimizing tree morphology and layout can precisely regulate ventilation and sheltering across height layers. This study provides scientific evidence for vegetation configuration in hot–humid high-density cities, supporting climate-responsive urban planning and design. Full article
(This article belongs to the Special Issue Microclimate Development in Urban Spaces)
Show Figures

Figure 1

20 pages, 3525 KB  
Article
Automated Assessment of Green Infrastructure Using E-nose, Integrated Visible-Thermal Cameras and Computer Vision Algorithms
by Areej Shahid, Sigfredo Fuentes, Claudia Gonzalez Viejo, Bryce Widdicombe and Ranjith R. Unnithan
Sensors 2025, 25(22), 6812; https://doi.org/10.3390/s25226812 - 7 Nov 2025
Viewed by 775
Abstract
The parameterization of vegetation indices (VIs) is crucial for sustainable irrigation and horticulture management, specifically for urban green infrastructure (GI) management. However, the constraints of roadside traffic, motor and industrially related pollution, and potential public vandalism compromise the efficacy of conventional in situ [...] Read more.
The parameterization of vegetation indices (VIs) is crucial for sustainable irrigation and horticulture management, specifically for urban green infrastructure (GI) management. However, the constraints of roadside traffic, motor and industrially related pollution, and potential public vandalism compromise the efficacy of conventional in situ monitoring systems. The shortcomings of prevalent satellites, UAVs, and manual/automated sensor measurements and monitoring systems have already been reviewed. This research proposes a novel urban GI monitoring system based on an integration of gas exchange and various VIs obtained from computer vision algorithms applied to data acquired from three novel sources: (1) Integrated gas sensor data using nine different volatile organic compounds using an electronic nose (E-nose), designed on a PCB for stable performance under variable environmental conditions; (2) Plant growth parameters including effective leaf area index (LAIe), infrared index (Ig), canopy temperature depression (CTD) and tree water stress index (TWSI); (3) Meteorological data for all measurement campaigns based on wind velocity, air temperature, rainfall, air pressure, and air humidity conditions. To account for spatial and temporal data acquisition variability, the integrated cameras and the E-nose were mounted on a vehicle roof to acquire information from 172 Elm trees planted across the Royal Parade, Melbourne. Results showed strong correlations among air contaminants, ambient conditions, and plant growth status, which can be modelled and optimized for better smart irrigation and environmental monitoring based on real-time data. Full article
(This article belongs to the Section Environmental Sensing)
Show Figures

Figure 1

14 pages, 14889 KB  
Article
Canopy-Wind-Induced Pressure Fluctuations Drive Soil CO2 Transport in Forest Ecosystems
by Taolve Chen, Junjie Jiang, Lingxia Feng, Junguo Hu and Yixi Liu
Forests 2025, 16(11), 1637; https://doi.org/10.3390/f16111637 - 26 Oct 2025
Viewed by 402
Abstract
Although accurate quantification of forest soil CO2 emissions is critical for improving global carbon cycle models, traditional chamber and gradient methods often underestimate fluxes under windy conditions. Based on long-term field observations in a subtropical maple forest, we quantified the interaction between [...] Read more.
Although accurate quantification of forest soil CO2 emissions is critical for improving global carbon cycle models, traditional chamber and gradient methods often underestimate fluxes under windy conditions. Based on long-term field observations in a subtropical maple forest, we quantified the interaction between canopy-level winds and soil pore air pressure fluctuations in regulating vertical CO2 profiles. The results demonstrate that canopy winds, rather than subcanopy airflow, dominate deep soil CO2 dynamics, with stronger explanatory power for concentration variability. The observed “wind-pumping effect” operates through soil pressure fluctuations rather than direct wind speed, thereby enhancing advective CO2 transport. Soil pore air pressure accounted for 33%–48% of CO2 variation, far exceeding the influence of near-surface winds. These findings highlight that, even in dense forests with negligible understory airflow, canopy turbulence significantly alters soil–atmosphere carbon exchange. We conclude that integrating soil pore air pressure into flux calculation models is essential for reducing underestimation bias and improving the accuracy of forest carbon cycle assessments. Full article
(This article belongs to the Section Forest Meteorology and Climate Change)
Show Figures

Figure 1

21 pages, 6020 KB  
Article
Trees as Sensors: Estimating Wind Intensity Distribution During Hurricane Maria
by Vivaldi Rinaldi, Giovanny Motoa and Masoud Ghandehari
Remote Sens. 2025, 17(20), 3428; https://doi.org/10.3390/rs17203428 - 14 Oct 2025
Viewed by 523
Abstract
Hurricane Maria crossed Puerto Rico with winds as high as 250 km/h, resulting in widespread damages and loss of weather station data, thus limiting direct weather measurements of wind variability. Here, we identified more than 155 million trees to estimate the distribution of [...] Read more.
Hurricane Maria crossed Puerto Rico with winds as high as 250 km/h, resulting in widespread damages and loss of weather station data, thus limiting direct weather measurements of wind variability. Here, we identified more than 155 million trees to estimate the distribution of wind speed over 9000 km2 of land from island-wide LiDAR point clouds collected before and after the hurricane. The point clouds were classified and rasterized into the canopy height model to perform individual tree identification and perform change detection analysis. Individual trees’ stem diameter at breast height were estimated using a function between delineated crown and extracted canopy height, validated using the records from Puerto Rico’s Forest Inventory 2003. The results indicate that approximately 35.7% of trees broke at the stem (below the canopy center) and 28.5% above the canopy center. Furthermore, we back-calculated the critical wind speed, or the minimum speed to cause breakage, at individual tree level this was performed by applying a mechanical model using the estimated diameter at breast height, the extrapolated breakage height, and pre-Hurricane Maria canopy height. Individual trees were then aggregated at 115 km2 cells to summarize the critical wind speed distribution of each cell, based on the percentage of stem breakage. A vertical wind profile analysis was then applied to derive the hurricane wind distribution using the mean hourly wind speed 10 m above the canopy center. The estimated wind speed ranges from 250 km/h in the southeast at the landfall to 100 km/h in the southwest parts of the islands. Comparison of the modeled wind speed with the wind gust readings at the few remaining NOAA stations support the use of tree breakages to model the distribution of hurricane wind speed when ground readings are sparse. Full article
(This article belongs to the Section Environmental Remote Sensing)
Show Figures

Figure 1

23 pages, 6172 KB  
Article
An Assessment of the Effectiveness of RGB-Camera Drones to Monitor Arboreal Mammals in Tropical Forests
by Eduardo José Pinel-Ramos, Filippo Aureli, Serge Wich, Fabiano Rodrigues de Melo, Camila Rezende, Felipe Brandão, Fabiana C. S. Alves de Melo and Denise Spaan
Drones 2025, 9(9), 622; https://doi.org/10.3390/drones9090622 - 4 Sep 2025
Cited by 1 | Viewed by 1661
Abstract
The use of drones for monitoring mammal populations has increased in recent years due to their relatively low cost, accessibility, and ability to survey large areas quickly and efficiently. The type of drone sensor used during surveys can significantly influence species detection probability. [...] Read more.
The use of drones for monitoring mammal populations has increased in recent years due to their relatively low cost, accessibility, and ability to survey large areas quickly and efficiently. The type of drone sensor used during surveys can significantly influence species detection probability. For arboreal mammals, thermal infrared (TIR) sensors are commonly used because they can detect heat signatures of canopy-dwelling species. However, drones equipped with TIR cameras are more expensive and thus less accessible to conservation practitioners who often work with limited funding compared to drones equipped exclusively with standard visual spectrum cameras (Red, Green, Blue; RGB drones). Although RGB drones may represent a viable low-cost alternative for wildlife monitoring, their effectiveness for monitoring arboreal mammals remains poorly understood. Our objective was to evaluate the use of RGB drones for monitoring arboreal mammals, focusing on Geoffroy’s spider monkeys (Ateles geoffroyi) and southern muriquis (Brachyteles arachnoides). We used pre-programmed flights for spider monkeys and manual flights for muriquis, selecting the most suitable method according to the landscape characteristics of each study site; flat terrain with relatively homogeneous forest canopy height and mountainous forests with highly variable canopy height, respectively. We detected spider monkeys in only 0.4% of the 232 flights, whereas we detected muriquis in 6.2% of the 113 flights. Considering that both species are highly arboreal, use the upper canopy, and share similar locomotion patterns and group size, differences in detectability are more likely related to the type of drone flights used in each case study than to species differences. Preprogrammed flights allow for systematic and efficient area coverage but limit real-time adjustments to environmental conditions such as wind, canopy structure, and visibility. In contrast, manual flights offer greater flexibility, with pilots being able to adjust speed, height, and flight path as needed and spend more time over specific areas to conduct a more exhaustive search. This flexibility likely contributed to the higher detection rate observed in the muriqui study, but detectability was still low. The findings of the two studies suggest that RGB drones are better suited as a complementary tool rather than a primary method for monitoring arboreal mammals in dense forest habitats. Nonetheless, RGB drones offer valuable opportunities for other applications, and we highlight several examples of their potential utility in arboreal mammal research and conservation. Full article
(This article belongs to the Section Drones in Ecology)
Show Figures

Figure 1

31 pages, 3219 KB  
Review
Data-Driven Integration of Remote Sensing, Agro-Meteorology, and Wireless Sensor Networks for Crop Water Demand Estimation: Tools Towards Sustainable Irrigation in High-Value Fruit Crops
by Fernando Fuentes-Peñailillo, María Luisa del Campo-Hitschfeld, Karen Gutter and Emmanuel Torres-Quezada
Agronomy 2025, 15(9), 2122; https://doi.org/10.3390/agronomy15092122 - 4 Sep 2025
Viewed by 1701
Abstract
Despite advances in precision irrigation, no systematic review has yet integrated the roles of remote sensing, agro-meteorological data, and wireless sensor networks in high-value, water-sensitive crops such as mango, avocado, and vineyards. Existing research often isolates technologies or crop types, overlooking their convergence [...] Read more.
Despite advances in precision irrigation, no systematic review has yet integrated the roles of remote sensing, agro-meteorological data, and wireless sensor networks in high-value, water-sensitive crops such as mango, avocado, and vineyards. Existing research often isolates technologies or crop types, overlooking their convergence and joint performance in the field. This review fills that gap by examining how these tools estimate crop water demand and support sustainable, site-specific irrigation under variable climate conditions. A structured search across major databases yielded 365 articles, of which 92 met the inclusion criteria. Studies were grouped into four categories: remote sensing, agro-meteorology, wireless sensor networks, and integrated approaches. Remote sensing techniques, including multispectral and thermal imaging, enable the spatial monitoring of vegetation indices and stress indicators, such as the Crop Water Stress Index. Agro-meteorological data feed evapotranspiration models using temperature, humidity, wind, and radiation inputs. Wireless sensor networks provide continuous, localized data on soil moisture and canopy temperature. Integrated approaches combine these sources to improve irrigation recommendations. Findings suggest that combining remote sensing, wireless sensor networks, and agro-meteorological inputs can reduce water use by up to 30% without yield loss. Challenges include sensor calibration, data integration complexity, and limited scalability. This review also compares methodologies and highlights future directions, including artificial intelligence systems, digital twins, and affordable Internet of Things platforms for irrigation optimization. Full article
(This article belongs to the Section Water Use and Irrigation)
Show Figures

Figure 1

19 pages, 1766 KB  
Article
Canopy Fuel Characteristics and Potential Fire Behavior in Dwarf Pine (Pinus pumila) Forests
by Xinxue He, Xin Zheng, Rong Cui, Chenglin Chi, Qianxue Wang, Shuo Wang, Guoqiang Zhang, Huiying Cai, Yanlong Shan, Mingyu Wang and Jili Zhang
Fire 2025, 8(9), 347; https://doi.org/10.3390/fire8090347 - 1 Sep 2025
Viewed by 931
Abstract
Crown fire hazard assessment and behavior prediction in dwarf pine (Pinus pumila) forests are dictated by the amount of canopy fuel available, topography, and weather. In this study, we collected data on CFL (available canopy fuel load), CBD (canopy bulk density), [...] Read more.
Crown fire hazard assessment and behavior prediction in dwarf pine (Pinus pumila) forests are dictated by the amount of canopy fuel available, topography, and weather. In this study, we collected data on CFL (available canopy fuel load), CBD (canopy bulk density), and CBH (canopy base height) through the destructive sampling of dwarf pine trees in the Greater Khingan Mountains of Northeast China. Allometric equations were developed for estimating the canopy’s available biomass, CFL, and CBD to support the assessment of canopy fuel. Three burning scenarios were designed to investigate the impact of various environmental parameters on fire behavior. Our findings indicated that the average CFL of a dwarf pine was 0.36 kg·m−2, while the average CBD was measured at 0.17 kg·m−3. The vertical variation trends of both CFL and CBD exhibited consistency, with values increasing progressively from the bottom to the top of the tree crown. Fire behavior simulations indicated that the low CBH of dwarf pine trees increased the likelihood of crown fires. Various factors, including wind speed, slope, and CBH, exerted considerable influence on fire behavior, with wind speed emerging as the most critical determinant. Silvicultural treatments, such as thinning and pruning, may effectively reduce fuel loads and elevate the canopy base height, thereby decreasing both the probability and intensity of crown fires. Full article
Show Figures

Figure 1

18 pages, 13905 KB  
Article
UAV-Based Multispectral Assessment of Wind-Induced Damage in Norway Spruce Crowns
by Endijs Bāders, Andris Seipulis, Dārta Kaupe, Jordane Jean-Claude Champion, Oskars Krišāns and Didzis Elferts
Forests 2025, 16(8), 1348; https://doi.org/10.3390/f16081348 - 19 Aug 2025
Viewed by 844
Abstract
Climate change has intensified the frequency and severity of forest disturbances globally, including windthrow, which poses substantial risks for both forest productivity and ecosystem stability. Rapid and precise assessment of wind-induced tree damage is essential for effective management, yet many injuries remain visually [...] Read more.
Climate change has intensified the frequency and severity of forest disturbances globally, including windthrow, which poses substantial risks for both forest productivity and ecosystem stability. Rapid and precise assessment of wind-induced tree damage is essential for effective management, yet many injuries remain visually undetectable in the early stages. This study employed drone-based multispectral imaging and a simulated wind stress experiment (static pulling) on Norway spruce (Picea abies (L.) Karst.) to investigate the detectability of physiological and structural changes over four years. Multispectral data were collected at multiple time points (2023–2024), and a suite of vegetation indices (the Normalised Difference Vegetation Index (NDVI), the Structure Insensitive Pigment Index (SIPI), the Difference Vegetation Index (DVI), and Red Edge-based indices) were calculated and analysed using mixed-effects models. Our results demonstrate that trees subjected to mechanical bending (“Bent”) exhibit substantial reductions in the near-infrared (NIR)-based indices, while healthy trees maintain higher and more stable index values. Structure- and pigment-sensitive indices (e.g., the Modified Chlorophyll Absorption Ratio Index (MCARI 2), the Transformed Chlorophyll Absorption in Reflectance Index/Optimised Soil-Adjusted Vegetation Index (TCARI/OSAVI), and RDVI) showed the highest diagnostic value for differentiating between damaged and healthy trees. We found the clear identification of group- and season-specific patterns, revealing that the most pronounced physiological decline in Bent trees emerged only several seasons after the disturbance. Full article
(This article belongs to the Section Forest Inventory, Modeling and Remote Sensing)
Show Figures

Figure 1

20 pages, 7124 KB  
Article
An Improved Hierarchical Leaf Density Model for Spatio-Temporal Distribution Characteristic Analysis of UAV Downwash Air-Flow in a Fruit Tree Canopy
by Shenghui Fu, Naixu Ren, Shuangxi Liu, Mingxi Shao, Yuanmao Jiang, Yuefeng Du, Hongjian Zhang, Linlin Sun and Wen Zhang
Agronomy 2025, 15(8), 1867; https://doi.org/10.3390/agronomy15081867 - 1 Aug 2025
Viewed by 695
Abstract
In the process of plant protection for fruit trees using rotary-wing UAVs, challenges such as droplet drift, insufficient canopy penetration, and low agrochemical utilization efficiency remain prominent. Among these, the uncertainty in the spatio-temporal distribution of downwash airflow is a key factor contributing [...] Read more.
In the process of plant protection for fruit trees using rotary-wing UAVs, challenges such as droplet drift, insufficient canopy penetration, and low agrochemical utilization efficiency remain prominent. Among these, the uncertainty in the spatio-temporal distribution of downwash airflow is a key factor contributing to non-uniform droplet deposition and increased drift. To address this issue, we developed a wind field numerical simulation model based on an improved hierarchical leaf density model to clarify the spatio-temporal characteristics of downwash airflow, the scale of turbulence regions, and their effects on internal canopy airflow under varying flight altitudes and different rotor speeds. Field experiments were conducted in orchards to validate the accuracy of the model. Simulation results showed that the average error between the simulated and measured wind speeds inside the canopy was 8.4%, representing a 42.11% reduction compared to the non-hierarchical model and significantly improving the prediction accuracy. The coefficient of variation (CV) was 0.26 in the middle canopy layer and 0.29 in the lower layer, indicating a decreasing trend with an increasing canopy height. We systematically analyzed the variation in turbulence region scales under different flight conditions. This study provides theoretical support for optimizing UAV operation parameters to improve droplet deposition uniformity and enhance agrochemical utilization efficiency. Full article
(This article belongs to the Section Precision and Digital Agriculture)
Show Figures

Figure 1

30 pages, 8037 KB  
Review
A Review of Multiscale Interaction Mechanisms of Wind–Leaf–Droplet Systems in Orchard Spraying
by Yunfei Wang, Zhenlei Zhang, Ruohan Shi, Shiqun Dai, Weidong Jia, Mingxiong Ou, Xiang Dong and Mingde Yan
Sensors 2025, 25(15), 4729; https://doi.org/10.3390/s25154729 - 31 Jul 2025
Cited by 1 | Viewed by 910
Abstract
The multiscale interactive system composed of wind, leaves, and droplets serves as a critical dynamic unit in precision orchard spraying. Its coupling mechanisms fundamentally influence pesticide transport pathways, deposition patterns, and drift behavior within crop canopies, forming the foundational basis for achieving intelligent [...] Read more.
The multiscale interactive system composed of wind, leaves, and droplets serves as a critical dynamic unit in precision orchard spraying. Its coupling mechanisms fundamentally influence pesticide transport pathways, deposition patterns, and drift behavior within crop canopies, forming the foundational basis for achieving intelligent and site-specific spraying operations. This review systematically examines the synergistic dynamics across three hierarchical scales: Droplet–leaf surface wetting and adhesion at the microscale; leaf cluster motion responses at the mesoscale; and the modulation of airflow and spray plume diffusion by canopy architecture at the macroscale. Key variables affecting spray performance—such as wind speed and turbulence structure, leaf biomechanical properties, droplet size and electrostatic characteristics, and spatial canopy heterogeneity—are identified and analyzed. Furthermore, current advances in multiscale modeling approaches and their corresponding experimental validation techniques are critically evaluated, along with their practical boundaries of applicability. Results indicate that while substantial progress has been made at individual scales, significant bottlenecks remain in the integration of cross-scale models, real-time acquisition of critical parameters, and the establishment of high-fidelity experimental platforms. Future research should prioritize the development of unified coupling frameworks, the integration of physics-based and data-driven modeling strategies, and the deployment of multimodal sensing technologies for real-time intelligent spray decision-making. These efforts are expected to provide both theoretical foundations and technological support for advancing precision and intelligent orchard spraying systems. Full article
(This article belongs to the Special Issue Application of Sensors Technologies in Agricultural Engineering)
Show Figures

Figure 1

Back to TopTop