Sign in to use this feature.

Years

Between: -

Subjects

remove_circle_outline
remove_circle_outline
remove_circle_outline
remove_circle_outline
remove_circle_outline
remove_circle_outline

Journals

Article Types

Countries / Regions

Search Results (204)

Search Parameters:
Keywords = calmodulin binding proteins

Order results
Result details
Results per page
Select all
Export citation of selected articles as:
17 pages, 4193 KB  
Article
Genome-Wide Characterization and Expression Analysis of CBP60 Gene Family in Citrullus lanatus in Response to Fusarium oxysporum Infection and Aphid Infestation
by Yinbo Ma, Jing Tang, Xiaoyuan Wang, Lili Zhang, Haipeng Fu and Xiaodong Yang
Horticulturae 2026, 12(1), 51; https://doi.org/10.3390/horticulturae12010051 - 31 Dec 2025
Viewed by 203
Abstract
The calmodulin-binding protein 60 (CBP60) family comprises essential Ca2+-responsive transcription factors that orchestrate salicylic acid (SA)-mediated immunity and broader stress responses. Despite being extensively characterized in model species, the CBP60 family remains poorly understood in watermelon (Citrullus lanatus [...] Read more.
The calmodulin-binding protein 60 (CBP60) family comprises essential Ca2+-responsive transcription factors that orchestrate salicylic acid (SA)-mediated immunity and broader stress responses. Despite being extensively characterized in model species, the CBP60 family remains poorly understood in watermelon (Citrullus lanatus), a globally significant cucurbit crop highly susceptible to aphid infestation and fusarium wilt. In this study, we performed a comprehensive genome-wide identification and characterization of the CBP60 gene family in watermelon, identifying 16 putative ClaCBP60 members, all of which harbor the conserved calmodulin-binding domain. These genes are non-randomly distributed across chromosomes, featuring a prominent cluster of 10 members on chromosome 3. Phylogenetic analysis across seven cucurbit species categorized the CBP60 proteins into four distinct subfamilies, revealing both evolutionary conservation and lineage-specific diversification. Gene structure and conserved motif analyses revealed shared core domains with subfamily-specific variations, indicative of functional divergence. Furthermore, synteny analysis showed strong collinearity with cucumber and melon, reflecting the evolutionary stability of key CBP60 loci. Transcriptional profiling under F. oxysporum infection and aphid infestation revealed dynamic expression patterns, with ClaCBP60_01 and ClaCBP60_16 exhibiting rapid and robust induction during the early stages of both stresses. These findings indicated that ClaCBP60 genes operate in a coordinated yet diversified manner to modulate defense signaling against F. oxysporum and aphid attack. This study provides a systematic insight into CBP60 family members in watermelon, establishing a foundation for validation and molecular breeding aimed at enhancing biotic tolerance. Full article
Show Figures

Figure 1

17 pages, 3084 KB  
Article
Neuromodulatory Effects of Arecoline on Anxiety-like Behavior in Mice Exposed to Chronic Unpredictable Mild Stress
by Xiangfei Zhang, Danyang Wang, Jingwen Cui, Bei Fan, Fengzhong Wang and Cong Lu
Int. J. Mol. Sci. 2026, 27(1), 371; https://doi.org/10.3390/ijms27010371 - 29 Dec 2025
Viewed by 111
Abstract
Chronic stress disrupts neuroendocrine regulation, neurotransmitter balance, and neuronal redox homeostasis, thereby contributing to the development of anxiety-related neuropathology. Arecoline, the predominant alkaloid of Areca catechu L., displays diverse neuropharmacological properties, yet its role in stress-induced emotional dysfunction has not been fully elucidated. [...] Read more.
Chronic stress disrupts neuroendocrine regulation, neurotransmitter balance, and neuronal redox homeostasis, thereby contributing to the development of anxiety-related neuropathology. Arecoline, the predominant alkaloid of Areca catechu L., displays diverse neuropharmacological properties, yet its role in stress-induced emotional dysfunction has not been fully elucidated. This study examined the anxiolytic-like and neuroprotective effects of arecoline in mice exposed to chronic unpredictable mild stress (CUMS). Arecoline administration markedly improved behavioral outcomes, reflected by increased central exploration in the open-field test, prolonged time in the light compartment, and enhanced open-arm activity in the elevated plus maze. These behavioral benefits were accompanied by normalization of serum corticosterone levels, restoration of hippocampal neurotransmitters, reinforcement of antioxidant enzyme activities, and attenuation of pro-inflammatory cytokines. At the molecular level, arecoline elevated brain-derived neurotrophic factor (BDNF), tropomyosin receptor kinase B (TrkB), cAMP response element-binding protein (CREB), N-methyl-D-aspartate receptor (NMDAR), and Ca2+/calmodulin-dependent protein kinase II (CaMKII), indicating enhanced synaptic plasticity, while concurrently diminishing oxidative and inflammatory stress. Collectively, the findings suggest that arecoline exerts multifaceted neuroprotective actions under chronic stress by coordinating neuroendocrine modulation, neurotransmitter homeostasis, antioxidant defenses, and synaptic plasticity. This study provides new mechanistic evidence supporting the potential relevance of arecoline as a functional neuroactive compound for managing stress-induced anxiety disorders. Full article
(This article belongs to the Special Issue Role of Natural Compounds in Human Health and Disease)
Show Figures

Graphical abstract

17 pages, 820 KB  
Review
Microtubule Minus-End Binding Proteins in Cancer: Advances
by Qingwen Wang, Xiuling Li, Meng Xie, Xiangming Ding and Dongxiao Li
Diagnostics 2025, 15(24), 3116; https://doi.org/10.3390/diagnostics15243116 - 8 Dec 2025
Viewed by 355
Abstract
Microtubule minus-end binding proteins (−TIPs) are critical regulators of microtubule dynamics and stability, whose dysfunctions are increasingly associated with tumorigenesis and cancer progression. This review systematically consolidates current research advances on the molecular characteristics, oncogenic mechanisms, and therapeutic potential of −TIPs in cancer. [...] Read more.
Microtubule minus-end binding proteins (−TIPs) are critical regulators of microtubule dynamics and stability, whose dysfunctions are increasingly associated with tumorigenesis and cancer progression. This review systematically consolidates current research advances on the molecular characteristics, oncogenic mechanisms, and therapeutic potential of −TIPs in cancer. By integrating preclinical studies, multi-omics data, and clinical evidence, it was found that calmodulin-regulated spectrin-associated proteins (CAMSAPs) and abnormal spindle microtubule assembly (ASPM) primarily exhibit oncogenic properties, whereas CAMSAP3 acts as a tumor suppressor by negatively regulating tumor cell migration. Studies also demonstrate that pharmacological inhibition of the γ-tubulin ring complex (γ-TuRC) effectively attenuates the centrosomal hyper-clustering capacity of malignant cells, thereby suppressing invasive phenotypes. This result underscores the therapeutic value of targeting −TIPs. In summary, −TIPs play critical and complex roles in cancer progression and hold significant potential as prognostic biomarkers and therapeutic targets. Intervention strategies focusing on specific −TIPs, such as γ-TuRC, offer promising strategies for precision cancer therapy; however, the context-dependent functions of these proteins require further investigation to facilitate clinical translation. Full article
(This article belongs to the Special Issue Clinical Prognostic and Predictive Biomarkers, Third Edition)
Show Figures

Figure 1

22 pages, 5599 KB  
Article
Calmodulin Interaction Interface with Plasma Membrane Ca2+-ATPase Isoforms: An Integrative Bioinformatic Analysis
by Miguel Martínez-Fresneda, Esteban Lizano, Gabriela Echeverría-Garcés, Andres Herrera-Yela, Danna Feijóo, Grecia Victoria Vivas-Colmenares, Alvaro López-Zaplana, Leda Pedelini, Marta Mendoza, Juan Carlos Navarro and Jose Ruben Ramírez-Iglesias
Int. J. Mol. Sci. 2025, 26(23), 11750; https://doi.org/10.3390/ijms262311750 - 4 Dec 2025
Viewed by 428
Abstract
Plasma membrane Ca2+-ATPases (PMCA) are activated by calmodulin (CaM) via a C-terminal calmodulin-binding domain, CaMBD. Although specific mutations in this domain have been linked to disease, the broader impact of alternative substitutions across the interface remains unexplored. We applied an integrative [...] Read more.
Plasma membrane Ca2+-ATPases (PMCA) are activated by calmodulin (CaM) via a C-terminal calmodulin-binding domain, CaMBD. Although specific mutations in this domain have been linked to disease, the broader impact of alternative substitutions across the interface remains unexplored. We applied an integrative in silico workflow to test six substitutions within CaMBD positions 1–18, L5R, N6I, I8T, V14E/D, and F18S, across PMCA isoforms 1–4. CaMBD sequences were aligned across isoforms, and candidates for substitutions were selected by conservation and nucleotide feasibility, prioritizing conserved or co-evolutionarily relevant sites, with substitutions possible by single-nucleotide change. PolyPhen-2 screened the impact of the substitutions on the protein functionality, the DisGeNET database was used to contextualize ATP2B genes with clinical phenotypes, and structural models plus binding free energy changes were estimated with AlphaFold3, FoldX, and MutaBind2. Effects were isoform and subregion dependent, with the strongest weakening toward the CaMBD C-terminus. V14E/D and F18S showed the largest and consistent predicted destabilization, consistent with disruption of conserved hydrophobic anchors. I8T and L5R had mixed outcomes depending on isoform, while N6I presented various scenarios with no clear effect. PolyPhen-2 classified most tested substitutions as damaging. Gene-disease evidence linked ATP2B to neurological, endocrine, and oncologic phenotypes, consistent with roles in Ca2+ homeostasis. Overall, CaMBD appears highly sensitive to perturbation, with distal positions 14–18 particularly vulnerable to substitutions that can destabilize CaM binding and potentially impair PMCA-mediated Ca2+ clearance in susceptible tissues. Full article
(This article belongs to the Special Issue Calcium Homeostasis of Cells in Health and Disease: Third Edition)
Show Figures

Figure 1

17 pages, 4428 KB  
Article
Zea Maize Calmodulin (ZmCaM2) Regulates Drought Tolerance in Corn Plants Through an Abscisic Acid-Dependent Signaling Pathway
by Meiyi Liu, Pengxiang Bao, Hanqiao Wang, Zhiqiang Wu, Zhen Wang, Xiangyu Xing, Wei Yang, Xuejiao Ren, Jiabin Ci, Liangyu Jiang and Zhenyuan Zang
Plants 2025, 14(23), 3656; https://doi.org/10.3390/plants14233656 - 30 Nov 2025
Viewed by 426
Abstract
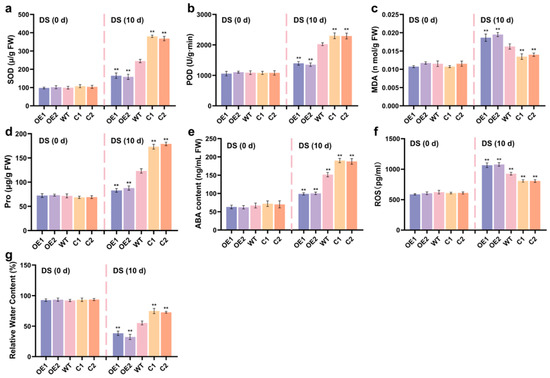
Calmodulins (CaMs), which are important calcium-binding proteins, play critical roles in plant stress responses. However, limited information is available regarding the biological functions of CaMs under drought stress. In this study, we identified and isolated a CaM gene, ZmCaM2, from maize ( [...] Read more.
Calmodulins (CaMs), which are important calcium-binding proteins, play critical roles in plant stress responses. However, limited information is available regarding the biological functions of CaMs under drought stress. In this study, we identified and isolated a CaM gene, ZmCaM2, from maize (Zea mays L.) in length and encodes a 184-amino acid protein containing four EF-hand domains capable of specifically binding calcium ions (Ca2+). Subcellular localization analysis revealed that ZmCaM2 is localized to the nucleus and membrane. Functional characterization indicated that ZmCaM2 negatively regulates drought tolerance in maize by increasing malondialdehyde (MDA) and reactive oxygen species (ROS) content while decreasing antioxidant enzyme activity, proline (Pro) content, abscisic acid (ABA) content and relative water content (RWC). Moreover, ZmCaM2 reduced maize sensitivity to ABA treatment, suggesting that ZmCaM2 negatively regulates the drought tolerance of maize by relying on the ABA pathway. These findings provide new insights into the functional role of ZmCaM2 and may facilitate the development of drought-resistant maize cultivars. Full article
(This article belongs to the Special Issue Biological Signaling in Plant Development)
Show Figures

Figure 1

17 pages, 8117 KB  
Article
Evolution and Functional Dynamics of the BAG Gene Family in Passion Fruit (Passiflora edulis)
by Munsif Ali Shad, Songguo Wu, Yuxin Wu, Lijie Zhang, Yuhong Zhou, Jingzheng Wang, Lingqiang Wang, Chongjian Ma and Lihua Hu
Plants 2025, 14(18), 2887; https://doi.org/10.3390/plants14182887 - 17 Sep 2025
Viewed by 806
Abstract
B-cell lymphoma 2 (Bcl-2)-associated athanogene (BAG) family proteins are co-chaperones that regulate growth, development, and cell death and are evolutionarily conserved across eukaryotes. The BAG gene family has attracted intense interest in human health research, but its plant counterparts have received little attention. [...] Read more.
B-cell lymphoma 2 (Bcl-2)-associated athanogene (BAG) family proteins are co-chaperones that regulate growth, development, and cell death and are evolutionarily conserved across eukaryotes. The BAG gene family has attracted intense interest in human health research, but its plant counterparts have received little attention. In this study, we conducted a genome-wide scan of the BAG family in passion fruit, a crop of great economic importance. Fifteen PeBAG genes were identified, with all but PeBAG5 having multiple copies. PeBAG members, each characterized by a BAG domain, were categorized into two groups: Group 1 (PeBAG1/2/3/4) with extra ubiquitin domains, and Group 2 (PeBAG5/6-1/6-2) with additional plant-specific calmodulin-binding domains. The transcriptome data suggest that PeBAGs exhibit high gene expression in stems, flowers, and fruit, while PeBAG4-3 and 6-1 upregulated under hormonal and abiotic stresses. qRT-PCR further confirmed the heat stress activation of PeBAG4-3 and 6-1. Subcellular localization in planta revealed varied compartmentalization, with members in the nucleus, cytoplasm, and plastids demonstrating functional divergence. This study provides a guide for investigating and employing PeBAG genes to improve heat resistance in passion fruit. Full article
(This article belongs to the Section Plant Genetics, Genomics and Biotechnology)
Show Figures

Figure 1

15 pages, 4156 KB  
Article
A Genome-Wide Modeling and Characterization Study of Pleckstrin Homology Domains in Chlamydomonas reinhardtii
by Münevver Aksoy, Marina Krupitskaya and Shaneen M. Singh
Plants 2025, 14(17), 2607; https://doi.org/10.3390/plants14172607 - 22 Aug 2025
Viewed by 982
Abstract
The function of pleckstrin homology (PH) domains is to recognize and bind to specific phosphoinositides in the membranes as part of diverse cellular signaling processes. The structure of some PH domains has been solved by X-ray crystallography, but structures of many PH domains [...] Read more.
The function of pleckstrin homology (PH) domains is to recognize and bind to specific phosphoinositides in the membranes as part of diverse cellular signaling processes. The structure of some PH domains has been solved by X-ray crystallography, but structures of many PH domains remain to be elucidated. In green alga Chlamydomonas reinhardtii, none of the PH domains have been crystallized or characterized. The goal of our study was to model and characterize in detail the structures of all eleven of the PH domains identified in C. reinhardtii. Our computational strategy of integrating the information available on sequence, structure, and function with modeling and biophysical characterization has uncovered new biological predictions for these proteins. These predictions can be validated by future rationally designed experimental studies as an extension of this work. Our results suggest that nine of the eleven C. reinhardtii PH domains show the classical electrostatic polarization of PH domains with a positively charged binding pocket and negatively charged opposing end. Our docking results predict only two PH domains bind specifically to a particular phosphoinositide, while all the other nine PH domains may be able to bind various inositol phospholipids. The lack of preference for a specific phosphoinositide headgroup implies that the positive charge in the binding pocket of the PH domains may be crucial in driving the interaction with the negatively charged phosphoinositides in a non-specific or promiscuous manner. We identified putative homologs of Dynamin GTPase, calcium/calmodulin-dependent kinase, Arf GAP, Rhythm of Chloroplast 23 (ROC23), and oxysterol binding proteins in C. reinhardtii that contain PH domains. In addition, we identified two PH domain-containing proteins that may play a role in the mating process and others that may be important for signaling under phosphate deficiency. Full article
(This article belongs to the Special Issue Microalgae Photobiology, Biotechnology, and Bioproduction)
Show Figures

Figure 1

16 pages, 2994 KB  
Article
Structural Insights and Calcium-Switching Mechanism of Fasciola hepatica Calcium-Binding Protein FhCaBP4
by Byeongmin Shin, Seonha Park, Ingyo Park, Hongchul Shin, Kyuhyeon Bang, Sulhee Kim and Kwang Yeon Hwang
Int. J. Mol. Sci. 2025, 26(15), 7584; https://doi.org/10.3390/ijms26157584 - 5 Aug 2025
Viewed by 856
Abstract
Fasciola hepatica remains a global health and economic concern, and treatment still relies heavily on triclabendazole. At the parasite–host interface, F. hepatica calcium-binding proteins (FhCaBPs) have a unique EF-hand/DLC-like domain fusion found only in trematodes. This makes it a parasite-specific target for small [...] Read more.
Fasciola hepatica remains a global health and economic concern, and treatment still relies heavily on triclabendazole. At the parasite–host interface, F. hepatica calcium-binding proteins (FhCaBPs) have a unique EF-hand/DLC-like domain fusion found only in trematodes. This makes it a parasite-specific target for small compounds and vaccinations. To enable novel therapeutic strategies, we report the first elevated-resolution structure of a full-length FhCaBP4. The apo structure was determined at 1.93 Å resolution, revealing a homodimer architecture that integrates an N-terminal, calmodulin-like, EF-hand pair with a C-terminal dynein light chain (DLC)-like domain. Structure-guided in silico mutagenesis identified a flexible, 16-residue β4–β5 loop (LTGSYWMKFSHEPFMS) with an FSHEPF core that demonstrates greater energetic variability than its FhCaBP2 counterpart, likely explaining the distinct ligand-binding profiles of these paralogs. Molecular dynamics simulations and AlphaFold3 modeling suggest that EF-hand 2 acts as the primary calcium-binding site, with calcium coordination inducing partial rigidification and modest expansion of the protein structure. Microscale thermophoresis confirmed calcium as the major ligand, while calmodulin antagonists bound with lower affinity and praziquantel demonstrated no interaction. Thermal shift assays revealed calcium-dependent stabilization and a merger of biphasic unfolding transitions. These results suggest that FhCaBP4 functions as a calcium-responsive signaling hub, with an allosterically coupled EF-hand–DLC interface that could serve as a structurally tractable platform for drug targeting in trematodes. Full article
(This article belongs to the Special Issue Calcium Homeostasis of Cells in Health and Disease: Third Edition)
Show Figures

Figure 1

23 pages, 3835 KB  
Article
Computational Saturation Mutagenesis Reveals Pathogenic and Structural Impacts of Missense Mutations in Adducin Proteins
by Lennon Meléndez-Aranda, Jazmin Moreno Pereyda and Marina M. J. Romero-Prado
Genes 2025, 16(8), 916; https://doi.org/10.3390/genes16080916 - 30 Jul 2025
Viewed by 1529
Abstract
Background and objectives: Adducins are cytoskeletal proteins essential for membrane stability, actin–spectrin network organization, and cell signaling. Mutations in the genes ADD1, ADD2, and ADD3 have been linked to hypertension, neurodevelopmental disorders, and cancer. However, no comprehensive in silico saturation [...] Read more.
Background and objectives: Adducins are cytoskeletal proteins essential for membrane stability, actin–spectrin network organization, and cell signaling. Mutations in the genes ADD1, ADD2, and ADD3 have been linked to hypertension, neurodevelopmental disorders, and cancer. However, no comprehensive in silico saturation mutagenesis study has systematically evaluated the pathogenic potential and structural consequences of all possible missense mutations in adducins. This study aimed to identify high-risk variants and their potential impact on protein stability and function. Methods: We performed computational saturation mutagenesis for all possible single amino acid substitutions across the adducin proteins family. Pathogenicity predictions were conducted using four independent tools: AlphaMissense, Rhapsody, PolyPhen-2, and PMut. Predictions were validated against UniProt-annotated pathogenic variants. Predictive performance was assessed using Cohen’s Kappa, sensitivity, and precision. Mutations with a prediction probability ≥ 0.8 were further analyzed for structural stability using mCSM, DynaMut2, MutPred2, and Missense3D, with particular focus on functionally relevant domains such as phosphorylation and calmodulin-binding sites. Results: PMut identified the highest number of pathogenic mutations, while PolyPhen-2 yielded more conservative predictions. Several high-risk mutations clustered in known regulatory and binding regions. Substitutions involving glycine were consistently among the most destabilizing due to increased backbone flexibility. Validated variants showed strong agreement across multiple tools, supporting the robustness of the analysis. Conclusions: This study highlights the utility of multi-tool bioinformatic strategies for comprehensive mutation profiling. The results provide a prioritized list of high-impact adducin variants for future experimental validation and offer insights into potential therapeutic targets for disorders involving ADD1, ADD2, and ADD3 mutations. Full article
(This article belongs to the Section Bioinformatics)
Show Figures

Graphical abstract

17 pages, 1642 KB  
Review
Ankyrin-G and Its Binding Partners in Neurons: Orchestrating the Molecular Structure of the Axon Initial Segment
by Xiaowei Zhu, Yanyan Yu, Zhuqian Jiang, Yoshinori Otani and Masashi Fujitani
Biomolecules 2025, 15(6), 901; https://doi.org/10.3390/biom15060901 - 19 Jun 2025
Viewed by 3329
Abstract
The axon initial segment (AIS) is a specialized subcellular domain that plays an essential role in action potential initiation and the diffusion barrier. A key organizer of the AIS is Ankyrin-G, a scaffolding protein responsible for clustering voltage-gated ion channels, cell adhesion molecules [...] Read more.
The axon initial segment (AIS) is a specialized subcellular domain that plays an essential role in action potential initiation and the diffusion barrier. A key organizer of the AIS is Ankyrin-G, a scaffolding protein responsible for clustering voltage-gated ion channels, cell adhesion molecules (CAMs), and cytoskeletal components at this critical neuronal domain. Recent proteomic analyses have revealed a complex network of proteins in the AIS, emphasizing Ankyrin-G’s central role in its molecular architecture. This review discusses new findings in the study of AIS-associated proteins. It explains how Ankyrin-G and its binding partners (such as ion channels, CAMs, spectrins, actin, and microtubule-associated proteins including end-binding protein 3, tripartite motif-containing protein 46, and calmodulin-regulated spectrin-associated protein 2) organize their structure. Understanding the dynamic regulation and molecular interactions within the AIS offers insights into neuronal excitability and reveals potential therapeutic targets for axonal dysfunction–related diseases. Through these dynamic interactions, Ankyrin-G ensures the proper alignment and dense clustering of key channel complexes, thereby maintaining the AIS’s distinctive molecular and functional identity. By further unraveling the complexity of Ankyrin-G’s interactome, our understanding of AIS formation, maintenance, and plasticity will be considerably enhanced, contributing to the elucidation of the pathogenesis of neurological and neuropsychiatric disorders. Full article
(This article belongs to the Special Issue Cellular and Molecular Biology of Neurodevelopment)
Show Figures

Figure 1

18 pages, 3993 KB  
Review
A Central Role for Troponin C Amino-Terminal α-Helix in Vertebrate Thin Filament Ca2+-Activation
by Yun Shi, Lauren A. Blackwell, Ryan K. Schroy, B. Max Cleland, Cristina M. Risi, Michelle S. Parvatiyar, Jose R. Pinto, Vitold E. Galkin and P. Bryant Chase
Physchem 2025, 5(2), 16; https://doi.org/10.3390/physchem5020016 - 14 Apr 2025
Viewed by 3316
Abstract
Troponin C (TnC) is the Ca2+-sensing subunit of troponin that is responsible for activating thin filaments in striated muscle, and, in turn, for regulating the systolic and diastolic contractile function of cardiac muscle. The secondary structure of vertebrate TnC is mainly [...] Read more.
Troponin C (TnC) is the Ca2+-sensing subunit of troponin that is responsible for activating thin filaments in striated muscle, and, in turn, for regulating the systolic and diastolic contractile function of cardiac muscle. The secondary structure of vertebrate TnC is mainly composed of α-helices, with nine helices named sequentially, starting from the amino terminus, from N to A–H. The N-helix is a 12-residue-long α-helix located at the extreme amino terminus of the protein and is the only helical structure that does not participate in forming Ca2+-binding EF-hands. Evolutionarily, the N-helix is found only in TnC from mammalian species and most other vertebrates and is not present in other Ca2+-binding protein members of the calmodulin (CaM) family. Furthermore, the primary sequence of the N-helix differs between the genetic isoforms of the fast skeletal TnC (sTnC) and cardiac/slow skeletal TnC (cTnC). The 3D location of the N-helix within the troponin complex is also distinct between skeletal and cardiac troponin. Physical chemistry and biophysical studies centered on the sTnC N-helix demonstrate that it is crucial to the thermal stability and Ca2+ sensitivity of thin filament-regulated MgATPase activity in solution and to isometric force generation in the sarcomere. Comparable studies on the cTnC N-helix have not yet been performed despite the identification of cardiomyopathy-associated genetic variants that affect the residues of cTnC’s N-helix. Here, we review the current status of the research on TnC’s N-helix and establish future directions to elucidate its functional significance. Full article
(This article belongs to the Section Biophysical Chemistry)
Show Figures

Graphical abstract

19 pages, 14572 KB  
Article
Genome-Wide Investigation of CPK-Related Kinase (CRK) Gene Family in Arabidopsis thaliana
by Shiquan Yang, Yuan Fang, Xianming Fang, Jingwen He and Kai He
Int. J. Mol. Sci. 2025, 26(7), 3297; https://doi.org/10.3390/ijms26073297 - 2 Apr 2025
Cited by 1 | Viewed by 1590
Abstract
Calcium-dependent protein kinase (CPK), representing a group of typical Ca2+ sensors in plants, has been well characterized in plants. CPK is capable of binding to Ca2+, which sequentially activates CPK. CPK-related kinase (CRK) shows protein structures similar to CPK but [...] Read more.
Calcium-dependent protein kinase (CPK), representing a group of typical Ca2+ sensors in plants, has been well characterized in plants. CPK is capable of binding to Ca2+, which sequentially activates CPK. CPK-related kinase (CRK) shows protein structures similar to CPK but only contains degenerative EF-hands, which likely makes the activation of CRK Ca2+ independent. Compared with CPK, CRK is barely functionally analyzed. In this study, we systematically investigated CRK genes in the Arabidopsis genome. We found that CRK appeared to emerge in land plants, suggesting CPK and CRK are divided at very early stages during plant evolution. In Arabidopsis, the detailed analysis of the calmodulin-like domain of CRK indicated the substitutions of key amino acid residues in its EF-hands result in disrupted Ca2+ association. Next, by using a YFP tag, we found that all Arabidopsis CRK proteins were localized at the plasma membrane. After cloning the promoters of all eight CRK genes, we found that CRKs were widely expressed at all stages of Arabidopsis by using GUS staining. Furthermore, the kinase activity of CRK was examined by using phospho-antibody and Pro-Q staining. CRK was shown to possess high autophosphorylation, which was not affected by the presence of Ca2+. Moreover, we analyzed the cis-elements of CRK promoters and discovered that stress signals potentially regulate the expression of CRK genes. Consistently, by using quantitative real-time PCR (qPCR), we found a number of CRK genes were regulated by a variety of biotic and abiotic treatments such as flg22, ABA, drought, salt, and high and low temperatures. Furthermore, by utilizing proteomic approaches, we identified more than 100 proteins that interacted with CRK5 in planta. Notably, RLK and channels/transporters were found in CRK5-containing complexes, suggesting they function upstream and downstream of CRK, respectively. Full article
(This article belongs to the Section Molecular Plant Sciences)
Show Figures

Figure 1

19 pages, 8581 KB  
Article
Growth-Associated Protein-43 Loss Promotes Ca2+ and ROS Imbalance in Cardiomyocytes
by Michele Bevere, Caterina Morabito, Delia Verucci, Noemi Di Sinno, Maria A. Mariggiò and Simone Guarnieri
Antioxidants 2025, 14(3), 361; https://doi.org/10.3390/antiox14030361 - 19 Mar 2025
Viewed by 1164
Abstract
Growth-Associated Protein-43 (GAP-43) is a calmodulin-binding protein, originally found in neurons, that in skeletal muscle regulates the handling of intracellular Ca2+ dynamics. According to its role in Ca2+ regulation, myotubes from GAP-43 knockout (GAP-43−/−) mice display alterations in spontaneous [...] Read more.
Growth-Associated Protein-43 (GAP-43) is a calmodulin-binding protein, originally found in neurons, that in skeletal muscle regulates the handling of intracellular Ca2+ dynamics. According to its role in Ca2+ regulation, myotubes from GAP-43 knockout (GAP-43−/−) mice display alterations in spontaneous Ca2+ oscillations and increased Ca2+ release. The emerging hypothesis is that GAP-43 regulates CaM interactions with RyR and DHPR Ca2+ channels. The loss of GAP-43 promotes cardiac hypertrophy in newborn GAP-43−/− mice, extending the physiological role of GAP-43 in cardiac muscle. We investigated the role of GAP-43 in cardiomyocytes derived from the hearts of GAP-43−/− mice, evaluating intracellular Ca2+ variations and the correlation with the levels of reactive oxygen species (ROS), considering their importance in cardiovascular physiology. In GAP-43−/− cardiomyocytes, we found the increased expression of markers of cardiac hypertrophy, Ca2+ alterations, and high mitochondria ROS levels (O2•−) together with increased oxidized functional proteins. Treatment with a CaM inhibitor (W7) restored Ca2+ and ROS alterations, possibly due to high mitochondrial Ca2+ entry by a mitochondrial Ca2+ uniporter. Indeed, Ru360 was able to abolish O2•− mitochondrial production. Our results suggest that GAP-43 has a key role in the regulation of Ca2+ and ROS homeostasis, alterations to which could trigger heart disease. Full article
(This article belongs to the Special Issue Oxidative Stress in Striated Muscle and Other Tissues)
Show Figures

Figure 1

14 pages, 21644 KB  
Article
Functional Characterization of Pomegranate CAMTA3 in Cold Stress Responses
by Shuangshuang Zhao, Rui Lu, Lijuan Feng, Mengyu Zheng, Han Zhang, Yanlei Yin and Ling Zheng
Plants 2025, 14(5), 813; https://doi.org/10.3390/plants14050813 - 5 Mar 2025
Cited by 3 | Viewed by 1354
Abstract
Cold stress is a significant factor limiting plant growth and development. Pomegranate is particularly susceptible to low temperatures. Calmodulin-binding transcriptional activators (CAMTAs) are key regulators of cold stress tolerance in plants. In this study, we conducted a comprehensive analysis of the CAMTA family [...] Read more.
Cold stress is a significant factor limiting plant growth and development. Pomegranate is particularly susceptible to low temperatures. Calmodulin-binding transcriptional activators (CAMTAs) are key regulators of cold stress tolerance in plants. In this study, we conducted a comprehensive analysis of the CAMTA family proteins across 12 species, including Punica granatum (pomegranate), using bioinformatic methods. Pomegranate CAMTA3 (PgCAMTA3) was isolated and characterized, and it demonstrated enhanced cold tolerance when expressed in Arabidopsis thaliana. Quantitative real-time PCR (qRT-PCR) analysis showed that the expression of PgCAMTA3 was up-regulated under cold and ABA treatments in pomegranates. Two A. thaliana transgenic lines, OE1 and OE2, which overexpress PgCAMTA3, were generated through genetic transformation. The overexpression of PgCAMTA3 enhanced the cold stress tolerance in transgenic A. thaliana. OE1 and OE2 exhibited higher survival rates under cold stress. Furthermore, enzymatic activity assays revealed enhanced peroxidase (POD), catalase (CAT), and superoxide dismutase (SOD) in OE lines. These antioxidant enzymatic activities collectively contribute to better cold stress tolerance by providing more effective reactive oxygen species (ROS) scavenging and cellular protection mechanisms, which was confirmed by lower levels of malondialdehyde (MDA) and ROS production. In addition, the overexpression of PgCAMTA3 led to the upregulation of the expression levels of AtCBF2, AtNCED3, and AtWRKY22, which were modulated by CAMTA3. In summary, we report the significant role of PgCAMTA3 in plant cold tolerance. Our findings provide valuable insights into the CAMATA family in plants and offer new perspectives on the molecular mechanisms underlying cold tolerance in pomegranates. Full article
(This article belongs to the Section Plant Response to Abiotic Stress and Climate Change)
Show Figures

Figure 1

18 pages, 11484 KB  
Article
ZmCaM2-1, a Calmodulin Gene, Negatively Regulates Drought Tolerance in Transgenic Arabidopsis Through the ABA-Independent Pathway
by Zhiqiang Wu, Meiyi Liu, Hanqiao Wang, Mingrui Li, Xiaoyue Liu, Zhenyuan Zang and Liangyu Jiang
Int. J. Mol. Sci. 2025, 26(5), 2156; https://doi.org/10.3390/ijms26052156 - 27 Feb 2025
Cited by 3 | Viewed by 1163
Abstract
Calmodulin (CaM) family members play crucial roles in the response to various abiotic stresses. However, the functions of CaMs in the response to drought stress in maize are unclear. In this study, a CaM gene, ZmCaM2-1, was isolated from the maize ( [...] Read more.
Calmodulin (CaM) family members play crucial roles in the response to various abiotic stresses. However, the functions of CaMs in the response to drought stress in maize are unclear. In this study, a CaM gene, ZmCaM2-1, was isolated from the maize (Zea mays L.) inbred line B73. The coding sequence (CDS) of ZmCaM2-1 was 450 bp with a protein of 149 aa which contains four EF-hand motifs. The ZmCaM2-1 protein was located in the cell nucleus and membrane, and is able to bind to Ca2+. ZmCaM2-1 was strongly induced by drought, NaCl, and low-temperature treatments, except for abscisic acid (ABA) treatment. Overexpression of ZmCaM2-1 in Arabidopsis was found to decrease the drought tolerance with lower antioxidant enzyme activity and greater reactive oxygen species (ROS) production. Moreover, there was no significant difference in the phenotype and ABA-related gene expression levels between ZmCaM2-1-overexpressing Arabidopsis and the wild type (WT) under ABA treatment. These results indicate that ZmCaM2-1 negatively regulates the tolerance of Arabidopsis to drought stress through the ABA-independent pathway. Full article
Show Figures

Figure 1

Back to TopTop