Sign in to use this feature.

Years

Between: -

Subjects

remove_circle_outline
remove_circle_outline
remove_circle_outline
remove_circle_outline
remove_circle_outline
remove_circle_outline
remove_circle_outline
remove_circle_outline
remove_circle_outline

Journals

remove_circle_outline
remove_circle_outline
remove_circle_outline
remove_circle_outline
remove_circle_outline

Article Types

Countries / Regions

remove_circle_outline
remove_circle_outline
remove_circle_outline
remove_circle_outline
remove_circle_outline

Search Results (421)

Search Parameters:
Keywords = beam steering

Order results
Result details
Results per page
Select all
Export citation of selected articles as:
20 pages, 6015 KB  
Article
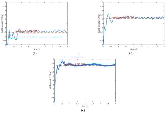
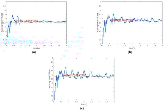
Build-Up Rate Prediction for Point-the-Bit Rotary Steerable System Based on 3D Dynamic Finite Element Method
by Zheng Tian, Yufa He, Yu Chen, Junjie He and Yanwei Sun
Processes 2026, 14(8), 1317; https://doi.org/10.3390/pr14081317 (registering DOI) - 21 Apr 2026
Abstract
Point-the-bit rotary steerable systems (RSSs) achieve trajectory build-up through the coupled action of internal steering offset, bit attitude change, bottom hole assembly (BHA) flexure, and nonlinear wellbore interaction. Unlike conventional rigid or quasi-static BUR models, this study developed a 3D dynamic finite element [...] Read more.
Point-the-bit rotary steerable systems (RSSs) achieve trajectory build-up through the coupled action of internal steering offset, bit attitude change, bottom hole assembly (BHA) flexure, and nonlinear wellbore interaction. Unlike conventional rigid or quasi-static BUR models, this study developed a 3D dynamic finite element model for point-the-bit RSS. The drill string was discretized using Euler–Bernoulli beam elements, with an equivalent “hinge-deflection angle” constraint introduced at the steering unit. Relative angle loading was imposed using the penalty function method, with nonlinear boundary conditions (bit–formation interaction and borehole friction) coupled into the model. Based on the established model, the effects of deflection angle, weight on bit (WOB), and rotary speed were systematically quantified. The results show that when the deflection angle increases from 0.5° to 1.5°, the average BUR rises from 1.452°/30 m to 4.251°/30 m; when the WOB increases from 60 kN to 100 kN, the average BUR increases from 2.281°/30 m to 2.814°/30 m. Within the range of 50–90 r/min, rotary speed has a limited effect on the average BUR, but it can alter the characteristics of transient fluctuations. This approach provides a robust theoretical basis for BUR evaluation, parameter optimization, and control strategy design for rotary steerable tools. Full article
(This article belongs to the Special Issue Oil and Gas Drilling Processes: Control and Optimization, 2nd Edition)
Show Figures

Figure 1

25 pages, 1792 KB  
Article
Dynamic DOA Estimation for UAV Arrays Using LEO Satellite Signals of Opportunity via Sparse Reconstruction
by Wei Liu, Ti Guan, Tian Liang, Lianzhen Zheng, Yuanke Du, Yanfu Hou and Peng Chen
Electronics 2026, 15(8), 1727; https://doi.org/10.3390/electronics15081727 - 19 Apr 2026
Viewed by 51
Abstract
Signals of opportunity (SoO) enable emission-free passive sensing, but low Earth orbit (LEO) satellite illumination with unmanned aerial vehicle (UAV) array receivers exhibits rapid geometry variation. As a result, the received phase evolves in a space–time coupled manner, and the array snapshots become [...] Read more.
Signals of opportunity (SoO) enable emission-free passive sensing, but low Earth orbit (LEO) satellite illumination with unmanned aerial vehicle (UAV) array receivers exhibits rapid geometry variation. As a result, the received phase evolves in a space–time coupled manner, and the array snapshots become nonstationary even within one coherent processing interval (CPI), degrading conventional stationary-snapshot direction-of-arrival (DOA) estimators. This paper proposes a decomposition-based sparse reconstruction with successive interference cancellation (D-SR-SIC) framework for dynamic DOA estimation in LEO SoO UAV passive sensing. The proposed estimator leverages a sparse-reconstruction signal model and is implemented via a computationally efficient decomposition-based search-and-cancel procedure. A short-CPI parameterized space–time phase model captures the common motion-induced phase history and the time-varying steering drift; the coupled multi-parameter estimation is decomposed into two low-dimensional correlation searches followed by least-squares amplitude estimation and multi-target peeling. Optional local refinement and multi-beam pre-screening improve robustness to off-grid mismatch, near–far interference, and wide field-of-view operation. Simulations show that the proposed method achieves about 0.11 DOA root-mean-square error (RMSE) at 20 dB signal-to-noise ratio (SNR) in a representative highly dynamic setting. Full article
(This article belongs to the Special Issue 5G Non-Terrestrial Networks)
16 pages, 509 KB  
Article
GRU-Based Beam Pattern Synthesis for Optimized Uniform Linear Antenna Arrays
by Armando Arce, Fernando Arce, Enrique Stevens-Navarro, Ulises Pineda-Rico, Mohammad Reza Rahmati and Abel García-Barrientos
Informatics 2026, 13(4), 60; https://doi.org/10.3390/informatics13040060 - 14 Apr 2026
Viewed by 248
Abstract
This study presents a deep learning-based framework for beam pattern synthesis in optimized uniform linear antenna arrays, combining Differential Evolution–based pre-optimization with recurrent neural network (RNN) modeling. Radiation patterns are first generated to satisfy sidelobe suppression and directivity constraints and are then used [...] Read more.
This study presents a deep learning-based framework for beam pattern synthesis in optimized uniform linear antenna arrays, combining Differential Evolution–based pre-optimization with recurrent neural network (RNN) modeling. Radiation patterns are first generated to satisfy sidelobe suppression and directivity constraints and are then used to train recurrent models that learn the mapping between radiation patterns and complex excitation parameters. A formal mathematical formulation of the Simple RNN, Gated Recurrent Unit (GRU), and Long Short-Term Memory (LSTM) architectures is provided, together with a per–time-step computational cost analysis based on dominant matrix–vector multiplications. A comparative evaluation under identical training conditions shows that gated architectures significantly outperform the standard RNN. Although the LSTM achieves the lowest prediction errors, the GRU attains comparable performance with reduced structural complexity. Beam pattern synthesis experiments for unseen steering directions demonstrate accurate reconstruction of main lobe alignment, sidelobe levels (approximately −12 to −13 dB), and directivity values close to 8 dB. The floating-point operations (FLOPs) analysis indicates that the GRU requires fewer dominant operations per time step than the LSTM, potentially reducing computational cost and energy consumption in resource-constrained beamforming applications. Full article
(This article belongs to the Section Machine Learning)
Show Figures

Figure 1

18 pages, 4981 KB  
Article
A Tunable Metagratings Leaky-Wave Antenna Based on Liquid Crystal
by Odai Hassan Raheem Al Soad, Kenneth Kalan John, Hanyi Fu, Jiahui Fu and Kuang Zhang
Sensors 2026, 26(7), 2191; https://doi.org/10.3390/s26072191 - 1 Apr 2026
Viewed by 539
Abstract
An electrically tunable wide-beam-scanning metagratings leaky-wave antenna (MGs LWA) based on liquid crystal (LC) is proposed. Two-dimensional (2D) periodic slotted MGs with capacitive and inductive behaviors are etched on the bottom layer of the substrate and backed by a ground plane with an [...] Read more.
An electrically tunable wide-beam-scanning metagratings leaky-wave antenna (MGs LWA) based on liquid crystal (LC) is proposed. Two-dimensional (2D) periodic slotted MGs with capacitive and inductive behaviors are etched on the bottom layer of the substrate and backed by a ground plane with an LWA framework. Two different slotted MG elements are adopted to suppress the open-stopband effects. A theoretical analysis is conducted to provide a conceptual framework for the equivalent electromagnetic fields generated by slotted MGs. Using LC, tunable beam scanning is achieved at a fixed frequency. The LC is placed between the inverted MGs LWA radiating metal and the ground plane to control the LC molecules’ orientation angle by applying a DC voltage across them, thereby adjusting the LC permittivity. Using the results obtained, the proposed antenna can be tuned up to 40° at a fixed frequency by applying a biased DC voltage ranging from 0 V to 10 V. The actual operating bandwidth is 40% for continuous beam scanning of 71°, with a scanned sensitivity of 8.35°/GHz at the zero voltage (V = 0 V), and beam scanning of 61°, with a scanned sensitivity of 7.17°/GHz at the saturation voltage (V = 10 V). The proposed MGs LWA has a realized gain of up to 13.84 dBi. Finally, the proposed antenna has excellent performance due to its potential to achieve wide tunable beam scanning with a narrow beamwidth compared to traditional LWAs’ limitation of radiation angle, depending on the excitation frequency, which makes the proposed antenna suitable in terms of range and sensing calibration for operation at a specific frequency in sensing communication and radar applications. Full article
(This article belongs to the Section Communications)
Show Figures

Figure 1

14 pages, 12616 KB  
Article
Dual-Polarized Beam-Steerable Filtering Patch Antenna
by Tian-Gui Huang, Zheng Gan, Kai-Ran Xiang, Wen-Feng Zeng and Fu-Chang Chen
Technologies 2026, 14(4), 201; https://doi.org/10.3390/technologies14040201 - 27 Mar 2026
Viewed by 349
Abstract
A compact dual-polarized beam-steerable patch antennas with filtering characteristics is proposed in this paper. By digging two orthogonal coupling slots on the ground plate, dual polarization is achieved while ensuring the isolation between the ports. By constructing properly arranged parallel microstrip resonators and [...] Read more.
A compact dual-polarized beam-steerable patch antennas with filtering characteristics is proposed in this paper. By digging two orthogonal coupling slots on the ground plate, dual polarization is achieved while ensuring the isolation between the ports. By constructing properly arranged parallel microstrip resonators and open-circuited stubs, the effect of suppressing a broad stopband is produced. The beam steering characteristic is accomplished through the integration of a driven patch antenna with two dual-element metallic walls, each incorporating PIN diodes for electronic tuning. A prototype antenna has been fabricated to substantiate the efficacy of the proposed methodology. The simulated and measured results agree well, demonstrating good performance in terms of impedance bandwidth, stopband suppression, isolation and beam-steering capability. Under six radiation states, the proposed antenna operates from 2.3 GHz to 2.5 GHz with isolation exceeding 20 dB. Additionally, the antenna gain remains below −10 dBi over the 2.6 GHz to 10 GHz band, achieving out-of-band suppression greater than 15.8 dB within the wide stopband. When port 1 is excited, the antenna generates three distinct radiation patterns, enabling beam scanning at 0° and ±30° in the yoz plane. Similarly, exciting port 2 yields three radiation patterns, allowing beam scanning at 0° and ±30° in the xoz plane. This work presents the first integration of dual-polarized, beam-steering, and filtering characteristics into a single compact antenna. Full article
(This article belongs to the Special Issue Antenna and RF Circuit Advances for Next-Generation Wireless Systems)
Show Figures

Figure 1

24 pages, 6552 KB  
Review
Ultrasonic Nondestructive Evaluation of Welded Steel Infrastructure: Techniques, Advances, and Applications
by Elsie Lappin, Bishal Silwal, Saman Hedjazi and Hossein Taheri
Appl. Sci. 2026, 16(7), 3206; https://doi.org/10.3390/app16073206 - 26 Mar 2026
Viewed by 389
Abstract
Welding is a critical joining process in civil and transportation infrastructure, enabling the fabrication of complex steel structural systems used in bridges, buildings, and other essential infrastructures. Despite strict adherence to established welding codes and standards, such as AWS D1.1 and AASHTO/AWS D1.5, [...] Read more.
Welding is a critical joining process in civil and transportation infrastructure, enabling the fabrication of complex steel structural systems used in bridges, buildings, and other essential infrastructures. Despite strict adherence to established welding codes and standards, such as AWS D1.1 and AASHTO/AWS D1.5, welding flaws and service-induced defects can occur in welded components. Cause of defects and their structural impact, along with detection, sizing, and localization of these anomalies and flaws, are crucial for adequate maintenance, repair, or replacement planning without compromising the functionality of in-service components. Among available NDT techniques, ultrasonic testing (UT) remains one of the most widely adopted methods of weld inspection due to its depth of penetration, sensitivity to internal defects, and suitability for field deployment. Recent advancements in ultrasonic technologies, particularly Phased Array Ultrasonic Testing (PAUT), along with its emerging approaches such as Full Matrix Capture (FMC) and the Total Focusing Method (TFM), have significantly enhanced inspection accuracy, repeatability, and interpretability. These techniques enable flexile beam steering, multi-angle interrogation, and improved imaging of complex geometries. This paper presents a comprehensive review of PAUT for the inspection of welded steel infrastructure adhering to the recommendations and requirements of the relevant codes and standards, synthesizing the current literature on PAUT principles, wave modes, probe configurations, and data acquisition strategies. Emphasis is placed on the practical implementation of PAUT in civil infrastructure inspection, its advantages over conventional NDT methods, and its potential to support informed decisions related to quality acceptance, repair, and long-term maintenance planning. This paper concludes by identifying current challenges and future research directions for advanced ultrasonic inspection of welded steel structures. Full article
(This article belongs to the Special Issue Application of Ultrasonic Non-Destructive Testing—Second Edition)
Show Figures

Figure 1

21 pages, 3796 KB  
Article
Research on an Adaptive Coupling Technique for Spatially Scattered Light
by Xin Liu, Shiyang Shen, Lei Zhu, Lisong Deng, Xiangyu Wang, Mingfeng He and Fei Xiao
Sensors 2026, 26(6), 1946; https://doi.org/10.3390/s26061946 - 19 Mar 2026
Viewed by 299
Abstract
Focusing on the problems of difficult alignment and low efficiency when coupling the spatially scattered light from 532 nm underwater LiDAR to a single-mode fiber, this paper presents an analysis and simulation of the coupling principle of spatially scattered light and its influencing [...] Read more.
Focusing on the problems of difficult alignment and low efficiency when coupling the spatially scattered light from 532 nm underwater LiDAR to a single-mode fiber, this paper presents an analysis and simulation of the coupling principle of spatially scattered light and its influencing factors based on the extended light source imaging model, and designs and develops a spatially scattered light adaptive coupling system. The system adopts a three-lens set to receive spatially scattered light, combines a fast steering mirror and displacement stage to adjust the beam position dynamically, and realizes the automatic and efficient coupling of spatially scattered light through a joint control strategy combining rough alignment and precise alignment (using the improved simulated annealing SPGD algorithm). The experimental results show that the best coupling efficiency reaches 88.18% of the theoretical value after program adjustment. This represents an approximate 88% improvement over the best coupling efficiency obtained after manual adjustment, whilst the algorithm effectively circumvents the issue of local optima. This study provides a feasible adaptive solution for underwater LiDAR and similar applications involving scattered light coupling. Full article
(This article belongs to the Section Optical Sensors)
Show Figures

Figure 1

24 pages, 4604 KB  
Article
Dynamic Compensation Strategy for Beam Pointing Based on Cascaded Liquid Crystal Polarization Gratings Using Liquid Crystal Optical Phased Array
by Mingkan Ta, Chunyang Wang, Xuelian Liu, Jinyang Yu, Jiliang Jin and Da Xie
Fractal Fract. 2026, 10(3), 182; https://doi.org/10.3390/fractalfract10030182 - 11 Mar 2026
Viewed by 284
Abstract
As a core non-mechanical beam-steering device, cascaded liquid crystal polarization gratings (CLCPGs) suffer from insufficient pointing accuracy due to inherent fabrication and assembly errors, which must be compensated by liquid crystal optical phased array (LCOPA). However, in practical working conditions, LCOPA is vulnerable [...] Read more.
As a core non-mechanical beam-steering device, cascaded liquid crystal polarization gratings (CLCPGs) suffer from insufficient pointing accuracy due to inherent fabrication and assembly errors, which must be compensated by liquid crystal optical phased array (LCOPA). However, in practical working conditions, LCOPA is vulnerable to coupled internal and external disturbances as well as inherent time delays, which prevent accurate compensation and limit the performance of the integrated system. To overcome these challenges, this paper proposes a novel composite control strategy. An improved observer and an improved Smith predictor are designed to estimate and compensate for the total disturbances and time delays, and parameter tuning is accomplished using the phase margin method. The effectiveness of the proposed strategy is validated on a LCOPA coarse–fine two-stage compensation system experimental platform. The results demonstrate that the strategy can effectively suppress disturbances and compensate for LCOPA errors, reducing the overall pointing error by more than 30% and increasing the dynamic response speed by 25%, while exhibiting excellent robustness and stability. This study provides theoretical and technical support for the engineering application of high-precision CLCPG scanning systems. Full article
Show Figures

Figure 1

20 pages, 9096 KB  
Article
Beam Drift Mitigation and Wide-Range Measurement in a Miniaturized Ultrasonic Gas Flowmeter
by Shanfeng Hou, Xueying Xiu, Chengguang Liu, Haochen Lyu and Songsong Zhang
Micromachines 2026, 17(2), 254; https://doi.org/10.3390/mi17020254 - 16 Feb 2026
Viewed by 1369
Abstract
To mitigate acoustic beam drift, which degrades the signal-to-noise ratio (SNR) and limits the measurement range in ultrasonic gas flowmeters (USFMs), we present a miniaturized transit-time USFM that integrates a single piezoelectric micromachined ultrasonic transducer (PMUT) with a non-axisymmetric conical cavity. This design [...] Read more.
To mitigate acoustic beam drift, which degrades the signal-to-noise ratio (SNR) and limits the measurement range in ultrasonic gas flowmeters (USFMs), we present a miniaturized transit-time USFM that integrates a single piezoelectric micromachined ultrasonic transducer (PMUT) with a non-axisymmetric conical cavity. This design increases acoustic transmission gain and produces anisotropic directivity across orthogonal radiation planes, thereby broadening acoustic coverage along the flow direction and reducing beam steering. With an optimized cavity angle combination of (50°, 70°), the system achieves a 7.4 dB transmission gain and a half-power beamwidth (HPBW) of 29.1°. Experimental validation demonstrates a sound pressure attenuation of only 0.72 dB at 18.74 m/s. Within the 0.06–12 m3/h flow range, the USFM exhibits indication errors of ±2% (<1 m3/h) and ±1.5% (≥1 m3/h), with repeatability below 0.5%. The performance meets the Class 1.5 accuracy standard specified in CJ/T 477-2015, offering an innovative solution for wide-range miniaturized gas flow measurement. Full article
(This article belongs to the Special Issue Acoustic Transducers and Their Applications, 3rd Edition)
Show Figures

Figure 1

16 pages, 7911 KB  
Article
A Novel Beam Tracking Method for Silicon-Based Optical Phased Array Under Inter-Satellite Vibrations
by Ye Gu, Mingyang Zhang, Shuai Chang and Shoufeng Tong
Photonics 2026, 13(2), 176; https://doi.org/10.3390/photonics13020176 - 11 Feb 2026
Viewed by 465
Abstract
To meet the miniaturization and lightweight requirements of inter-satellite laser communication, this study investigates the servo control system of a silicon-based optical phased array (OPA). Based on the far-field radiation model for beam steering of the silicon-based OPA, combined with thermo-optic phase modulation [...] Read more.
To meet the miniaturization and lightweight requirements of inter-satellite laser communication, this study investigates the servo control system of a silicon-based optical phased array (OPA). Based on the far-field radiation model for beam steering of the silicon-based OPA, combined with thermo-optic phase modulation technology and time domain response, the transfer function of the silicon-based OPA is established. To address noise and disturbances encountered during actual tracking, a silicon-based OPA beam tracking method for satellite platform vibration is proposed. The control algorithm employs a Kalman filter-based Model Predictive Control (KF-MPC) strategy. The advantages of the designed control algorithm were verified through simulations and experiments. Step response simulation results show that compared with the traditional PID control algorithm, the proposed algorithm reduces overshoot by 15.1% and shortens the response time by 76.4%. Sinusoidal tracking simulation results indicate a 27.15% improvement in tracking accuracy over the traditional PID algorithm. Experimental results demonstrate that the tracking accuracy of the servo control system with the proposed algorithm is 155.45 μrad, while that using the PID algorithm is 210.97 μrad, representing a 26.31% improvement in tracking accuracy. This research provides a valuable reference for the application of silicon-based OPA in inter-satellite laser communication. Full article
Show Figures

Figure 1

15 pages, 1827 KB  
Article
Monolithically Integrated VCSEL Beam Scanner with Slow-Light Amplifiers for Solid-State LiDAR
by Ahmed Hassan, Xiaodong Gu and Fumio Koyama
Photonics 2026, 13(2), 172; https://doi.org/10.3390/photonics13020172 - 10 Feb 2026
Viewed by 1052
Abstract
The rapidly increasing demand for compact, high-performance beam-steering solutions in LiDAR systems has driven substantial advances in vertical-cavity surface-emitting laser (VCSEL) technologies. In this paper, we present a high-power, ultra-low-divergence VCSEL-based beam scanner array that integrates multi-wavelength seed lasers with extended-length optical amplifiers, [...] Read more.
The rapidly increasing demand for compact, high-performance beam-steering solutions in LiDAR systems has driven substantial advances in vertical-cavity surface-emitting laser (VCSEL) technologies. In this paper, we present a high-power, ultra-low-divergence VCSEL-based beam scanner array that integrates multi-wavelength seed lasers with extended-length optical amplifiers, thereby simultaneously achieving wide-angle beam steering, near-diffraction-limited beam quality, and watt-class output power. The proposed architecture exploits slow-light modes supported by laterally extended VCSEL waveguides incorporating precisely engineered surface gratings. This design enables fully electronic beam steering over an angular range exceeding 30°, with an angular resolution surpassing 1600 resolvable points. Systematic characterization of seed lasers with distinct grating periods confirms robust single-mode operation and yields a cumulative wavelength tuning range exceeding 22 nm. When integrated with optical amplifiers up to 6 mm in length, the system achieves a record-low beam divergence of 0.018°, approaching the theoretical diffraction limit. Under continuous-wave operation and without active thermal management, the device delivers output powers exceeding 1.6 W. By overcoming the long-standing trade-offs among steering range, beam quality, and output power, this work establishes a transformative paradigm for compact VCSEL-based beam-steering systems and represents a significant step toward next-generation solid-state LiDAR technologies. Full article
Show Figures

Figure 1

22 pages, 8616 KB  
Article
Design of Beam-Forming Networks for Fermat Spiral Antenna Arrays
by Kleiverg Encino, Marco A. Panduro, Alberto Reyna, David H. Covarrubias and Leopoldo A. Garza
Technologies 2026, 14(2), 110; https://doi.org/10.3390/technologies14020110 - 10 Feb 2026
Cited by 1 | Viewed by 479
Abstract
This paper presents a novel design technique using beam-forming networks based on CORPS (coherently radiating periodic structures) technology to achieve the simplification of the feed network of Fermat spiral antenna arrays. The use of one-layer CORPS structures generates the values of co-phasal excitation [...] Read more.
This paper presents a novel design technique using beam-forming networks based on CORPS (coherently radiating periodic structures) technology to achieve the simplification of the feed network of Fermat spiral antenna arrays. The use of one-layer CORPS structures generates the values of co-phasal excitation required for the feeding network system based on subarrays. The setting of subarrays has been achieved through the study of the behavior of phases of each antenna element in scanning. In this way, elements that exhibit linear behavior in scanning can be grouped. Furthermore, the geometry of the antenna array system using a Fermat spiral configuration applies methods for side lobe level (SLL) reduction such as: a raised cosine amplitude excitation and optimization of the amplitude excitations through the method of genetic algorithms (GA), CORPS amplitude distribution and uniform distribution. The contribution of this paper is to provide a design of a phased antenna system for a Fermat spiral array geometry considering the analysis and study in the performance of SLL, scanning range, and the phase shifters reduction. Full-wave electromagnetic results are provided for the full phased antenna system by using circular patch antenna elements at a frequency of 6 GHz. If our system using CORPS is compared with the use of a conventional feeding network where every antenna in the spiral array is fed with a phase shifter, the benefits of using this phased spiral array system are: a phase shifters reduction capability of 33%, steering ranges of ±22° in the elevation plane, low SLL using the proposed distribution techniques. Furthermore, the choice of CORPS 2×3 networks would allow the integration of the antenna system where one layer is proposed for the feeding network and another layer for the antenna array with the aim of avoiding crossings and unwanted radiation. Full article
(This article belongs to the Section Information and Communication Technologies)
Show Figures

Figure 1

20 pages, 5273 KB  
Article
Investigation of the Vertical Microphysical Characteristics of Rainfall in Guangzhou Based on Phased-Array Radar
by Jingxuan Zhu, Jun Zhang, Duanyang Ji, Qiang Dai and Changjun Liu
Remote Sens. 2026, 18(2), 322; https://doi.org/10.3390/rs18020322 - 18 Jan 2026
Viewed by 458
Abstract
The accurate retrieval of the raindrop size distribution (DSD) is a longstanding objective in meteorology because it underpins reliable quantitative precipitation estimation. Among remote sensors, weather radars are the primary tool for mapping DSD over wide areas, and phased-array systems in particular have [...] Read more.
The accurate retrieval of the raindrop size distribution (DSD) is a longstanding objective in meteorology because it underpins reliable quantitative precipitation estimation. Among remote sensors, weather radars are the primary tool for mapping DSD over wide areas, and phased-array systems in particular have demonstrated unique advantages owing to their high temporal and spatial resolution together with agile beam steering. Exploiting the underused high-resolution capability of an X-band phased-array radar, this study induced a Rainfall Regression Model (RRM). The RRM assumes a normalized gamma DSD model and retrieves its three parameters. It was then applied to a rain event influenced by the remnant circulation of Typhoon Haikui that affected Guangzhou on 8 September 2023. First, collocated disdrometer observations and T-matrix scattering simulations are used to build polynomial regressions between DSD parameters (D0, Nw, μ) and the polarimetric variables. Validation against independent disdrometer samples yields Nash–Sutcliffe efficiencies of 0.93 for D0 and 0.91 for log10Nw. The RRM is then applied to the full volumetric radar data. Horizontal maps reveal that the surface elevation angle consistently exhibited the largest standard deviation for all three parameters. A vertical profile analysis shows that large-drop cores (D0 > 2 mm) can reside above 2 km and that iso-value contours tilt rather than align vertically, implying an appreciable horizontal drift of raindrops within the complex remnant typhoon–monsoon wind field. By demonstrating the ability of X-band phased-array radar to resolve the three-dimensional microphysical structure of remnant typhoon precipitation, this study advances our understanding of the vertical characteristics of raindrops and provides high-resolution DSD information that can be directly ingested into severe weather monitoring and nowcasting systems. Full article
(This article belongs to the Section Environmental Remote Sensing)
Show Figures

Figure 1

32 pages, 8754 KB  
Review
Plasmonics Meets Metasurfaces: A Vision for Next Generation Planar Optical Systems
by Muhammad A. Butt
Micromachines 2026, 17(1), 119; https://doi.org/10.3390/mi17010119 - 16 Jan 2026
Cited by 2 | Viewed by 1200
Abstract
Plasmonics and metasurfaces (MSs) have emerged as two of the most influential platforms for manipulating light at the nanoscale, each offering complementary strengths that challenge the limits of conventional optical design. Plasmonics enables extreme subwavelength field confinement, ultrafast light–matter interaction, and strong optical [...] Read more.
Plasmonics and metasurfaces (MSs) have emerged as two of the most influential platforms for manipulating light at the nanoscale, each offering complementary strengths that challenge the limits of conventional optical design. Plasmonics enables extreme subwavelength field confinement, ultrafast light–matter interaction, and strong optical nonlinearities, while MSs provide versatile and compact control over phase, amplitude, polarization, and dispersion through planar, nanostructured interfaces. Recent advances in materials, nanofabrication, and device engineering are increasingly enabling these technologies to be combined within unified planar and hybrid optical platforms. This review surveys the physical principles, material strategies, and device architectures that underpin plasmonic, MS, and hybrid plasmonic–dielectric systems, with an emphasis on interface-mediated optical functionality rather than long-range guided-wave propagation. Key developments in modulators, detectors, nanolasers, metalenses, beam steering devices, and programmable optical surfaces are discussed, highlighting how hybrid designs can leverage strong field localization alongside low-loss wavefront control. System-level challenges including optical loss, thermal management, dispersion engineering, and large-area fabrication are critically examined. Looking forward, plasmonic and MS technologies are poised to define a new generation of flat, multifunctional, and programmable optical systems. Applications spanning imaging, sensing, communications, augmented and virtual reality, and optical information processing illustrate the transformative potential of these platforms. By consolidating recent progress and outlining future directions, this review provides a coherent perspective on how plasmonics and MSs are reshaping the design space of next-generation planar optical hardware. Full article
(This article belongs to the Special Issue Photonic and Optoelectronic Devices and Systems, 4th Edition)
Show Figures

Figure 1

19 pages, 4270 KB  
Article
Adaptive Optimization of Non-Uniform Phased Array Speakers Using Particle Swarm Optimization for Enhanced Directivity Control
by Shangming Mei, Yihua Hu and Mohammad Nasr Esfahani
Modelling 2026, 7(1), 20; https://doi.org/10.3390/modelling7010020 - 15 Jan 2026
Viewed by 415
Abstract
Phased array speakers are often designed with uniform element spacing, which limits beam steering capability and sidelobe control under practical aperture and hardware constraints. This study presents an optimization-driven modelling framework for parametric array loudspeakers (PALs) that systematically links array layout synthesis with [...] Read more.
Phased array speakers are often designed with uniform element spacing, which limits beam steering capability and sidelobe control under practical aperture and hardware constraints. This study presents an optimization-driven modelling framework for parametric array loudspeakers (PALs) that systematically links array layout synthesis with high-fidelity directivity prediction, by combining a frequency-domain convolution model with a finite element method (FEM) pipeline. We formulate array layout synthesis as a constrained optimization problem and employ particle swarm optimization (PSO) to determine non-uniform element positions that suppress sidelobes while preserving mainlobe integrity across steering angles. By integrating linear acoustic field simulation with far-field directivity prediction, the framework serves as a computationally efficient surrogate model suitable for iterative design under non-ideal spacing conditions. Simulation results and laboratory measurements demonstrate that the optimized non-uniform arrays achieve consistently lower sidelobe levels and more concentrated mainlobes than conventional uniform configurations. These results validate the proposed framework as a practical and reproducible solution for steering-capable PAL design when the conventional λ/2 spacing constraint cannot be satisfied and establish a foundation for subsequent robustness and sensitivity analyses. Full article
(This article belongs to the Special Issue AI-Driven and Data-Driven Modelling in Acoustics and Vibration)
Show Figures

Graphical abstract

Back to TopTop