Sign in to use this feature.

Years

Between: -

Subjects

remove_circle_outline
remove_circle_outline
remove_circle_outline
remove_circle_outline
remove_circle_outline
remove_circle_outline
remove_circle_outline
remove_circle_outline
remove_circle_outline

Journals

remove_circle_outline
remove_circle_outline
remove_circle_outline
remove_circle_outline
remove_circle_outline
remove_circle_outline
remove_circle_outline
remove_circle_outline

Article Types

Countries / Regions

remove_circle_outline
remove_circle_outline
remove_circle_outline
remove_circle_outline

Search Results (217)

Search Parameters:
Keywords = average percentage deviation

Order results
Result details
Results per page
Select all
Export citation of selected articles as:
19 pages, 3202 KB  
Article
Integrating Physics-Based and Data-Driven Approaches for Accurate Bending Prediction in Soft Pneumatic Actuators
by Nikhil Aryan, Narendra Gariya and Pravin Sankhwar
Designs 2025, 9(6), 137; https://doi.org/10.3390/designs9060137 - 28 Nov 2025
Viewed by 208
Abstract
Soft pneumatic actuators (SPAs) are gaining attention in the field of soft robotics due to their lightweight, highly flexible, and safer interaction while operated under an unstructured environment. They are easy to fabricate, produce high output force, and are relatively very inexpensive compared [...] Read more.
Soft pneumatic actuators (SPAs) are gaining attention in the field of soft robotics due to their lightweight, highly flexible, and safer interaction while operated under an unstructured environment. They are easy to fabricate, produce high output force, and are relatively very inexpensive compared to other soft actuators. However, accurate prediction of their nonlinear bending behavior is one of the main challenges, which is mainly due to the complex material properties and high deformation patterns. Therefore, this study focused on a hybrid approach that accurately captures the bending behavior of a single-chambered SPAs. This approach integrates physics-based modeling (finite element analysis (FEA) and analytical modeling) with a data-driven (polynomial regression modeling) approach to analyze the bending of single-chambered SPAs. Initially, four different hyperelastic material models (Neo-Hookean, Yeoh, Arruda–Boyce, and Ogden) were tested using FEA to analyze how material selection affects the SPA response. It is found that the Arruda–Boyce model generates the highest bending of 101° at 30 kPa pressure, while the other models consistently underestimated deformation at higher pressures. Further, an enhanced mathematical or analytical model was developed using Euler and Timoshenko beam theory with certain assumptions, such as neutral axis shifting, chamber ballooning, and shear deformation. These assumptions significantly improve the prediction accuracy and generate a bending angle of 99°at 30 kPa, which closely matches FEA bending. Further, a polynomial regression-based machine learning (ML) model was trained using analytical or mathematical bending data for faster output prediction. This data-driven approach achieves very high accuracy in the validation range, with an average absolute percentage deviation of only 0.002%. Additionally, comparison with the analytical results showed a mean absolute error (MAE) of 0.00180°, root mean squared error (RMSE) of 0.00205°, and coefficient of determination (R2) value of 0.999999808. Overall, integrating physics-based modeling with a data-driven approach provides a reliable and scalable method for SPA design. It provides practical information on material selection, analytical correction, and ML modeling, which will reduce the need for time-consuming prototyping. Finally, this hybrid approach can help to accelerate the development of soft robotic grippers, rehabilitation tools, and other bio-inspired actuation systems. Full article
(This article belongs to the Section Mechanical Engineering Design)
Show Figures

Figure 1

21 pages, 3741 KB  
Article
Advancing Digital Project Management Through AI: An Interpretable POA-LightGBM Framework for Cost Overrun Prediction
by Jalal Meftah Mohamed Lekraik and Opeoluwa Seun Ojekemi
Systems 2025, 13(12), 1047; https://doi.org/10.3390/systems13121047 - 21 Nov 2025
Viewed by 494
Abstract
Cost overruns remain one of the most persistent challenges in construction and infrastructure project management, often undermining efficiency, sustainability, and stakeholder trust. With the rise of digital transformation, artificial intelligence (AI) and machine learning (ML) provide new opportunities to enhance predictive decision-making and [...] Read more.
Cost overruns remain one of the most persistent challenges in construction and infrastructure project management, often undermining efficiency, sustainability, and stakeholder trust. With the rise of digital transformation, artificial intelligence (AI) and machine learning (ML) provide new opportunities to enhance predictive decision-making and strengthen project control. This study introduces a digital project management framework that integrates the Pelican Optimization Algorithm (POA) with Light Gradient Boosting Machine (LGBM) to deliver reliable and interpretable cost overrun forecasting. The proposed POA-LightGBM model leverages metaheuristic-driven hyperparameter optimization to improve predictive performance and generalization. A comprehensive evaluation using multiple error metrics Coefficient of Determination (R2), Root Mean Squared Error (RMSE), Mean Absolute Error (MAE), and Mean Absolute Percentage Error (MAPE) demonstrates that POA-LGBM significantly outperformed baseline LGBM and alternative metaheuristic configurations, achieving an average R2 of 0.9786. To support transparency in digital project environments, SHapley Additive exPlanations (SHAPs) were employed to identify dominant drivers of cost overruns, including actual project cost, energy consumption, schedule deviation, and material usage. By embedding AI-enabled predictive analytics into digital project management practices, this study contributes to advancing digital transformation in project delivery, offering actionable insights for cost control, risk management, and sustainable infrastructure development. Full article
(This article belongs to the Special Issue Advancing Project Management Through Digital Transformation)
Show Figures

Figure 1

25 pages, 3252 KB  
Article
Development of a Degradation Model for Lifespan Prediction: A Case Study on Grid-Scale Battery Energy Storage Systems in Thailand
by Nipon Ketjoy, Yodthong Mensin, Pornthip Mensin, Malinee Kaewpanha, Sunisa Khakhu, Chaphamon Chantarapongphan and Shahril Irwan Sulaiman
Batteries 2025, 11(11), 429; https://doi.org/10.3390/batteries11110429 - 20 Nov 2025
Viewed by 517
Abstract
In this paper, we present a model for calculating the State of Health (SOH) of battery energy storage systems (BESSs) and battery capacity percentage, specifically tailored for grid-scale applications in Thailand. Unlike conventional models that rely on controlled laboratory data, the proposed approach [...] Read more.
In this paper, we present a model for calculating the State of Health (SOH) of battery energy storage systems (BESSs) and battery capacity percentage, specifically tailored for grid-scale applications in Thailand. Unlike conventional models that rely on controlled laboratory data, the proposed approach uses actual operating temperature data for both development and validation, enabling a more correct assessment of battery performance under the high-temperature conditions typical of tropical climates. A set of coefficients derived from real operating data was incorporated, and the SOH results deviated by only 0.05% from theoretical values, proving high predictive accuracy beyond laboratory settings. Our findings revealed that capacity degradation rates in Thailand are approximately 20–60% higher than under the best conditions. Over a 10-year warranty period, battery capacity declined to approximately 80% at the lowest temperature range, 60% at the average range, and 40% at the highest range. By calculating both SOH and remaining capacity, the model provides a practical tool for lifespan prediction and system planning. Based on these findings, it is recommended that thermal management systems support battery operating temperatures between 25 and 35 °C and limit cooling losses below 10%, thereby mitigating energy yield degradation and ensuring efficient BESS operation. These results highlight the importance of incorporating real environmental data into degradation modeling. Future studies should include long-term monitoring of operating temperatures and cooling demand, economic analyses to enhance operational efficiency, and evaluation of external heat loads, particularly from solar radiation, to further refine predictions for tropical climates. Full article
Show Figures

Figure 1

40 pages, 31100 KB  
Article
MESDO: A Multi-Strategy Supply Demand Optimization for Global Optimization and Deployment of Wireless Sensor Network
by Bowei Wang, Yuchen Yan, Lingxi Zhu, Shaojie Yin and Yangjian Yang
Mathematics 2025, 13(22), 3727; https://doi.org/10.3390/math13223727 - 20 Nov 2025
Viewed by 142
Abstract
To address the problems of the traditional Supply–Demand Optimization (SDO) algorithm in wireless sensor network (WSN) node deployment—such as blind search direction, weak global exploration capability, coarse boundary handling, and insufficient maintenance of population diversity—this paper proposes a Multi-Strategy Enhanced Supply–Demand Optimization algorithm [...] Read more.
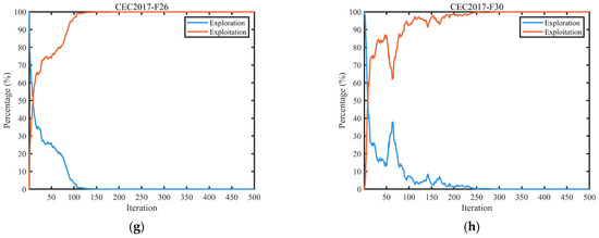
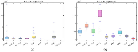
To address the problems of the traditional Supply–Demand Optimization (SDO) algorithm in wireless sensor network (WSN) node deployment—such as blind search direction, weak global exploration capability, coarse boundary handling, and insufficient maintenance of population diversity—this paper proposes a Multi-Strategy Enhanced Supply–Demand Optimization algorithm (MESDO). The proposed MESDO is validated on the CEC2017 and CEC2022 benchmark test suites. The results demonstrate that MESDO achieves superior performance in unimodal, multimodal, hybrid, and composite function optimization: for unimodal functions, it enhances local exploitation precision via elite-guided search to quickly converge to optimal regions; for multimodal functions, the adaptive differential evolution operator effectively avoids local optima by expanding exploration scope; for hybrid and composite functions, the centroid-based opposition learning boundary control maintains stable population diversity, ensuring adaptability to complex solution spaces. These advantages enable MESDO to effectively avoid premature convergence. According to the Friedman test, MESDO ranks first on CEC2017 (d = 30), CEC2022 (d = 10), and CEC2022 (d = 20), with average rankings of 1.20, 1.67, and 1.33, respectively—significantly outperforming the second-ranked SDO (average rankings of 3.60, 3.25, and 3.83). Finally, MESDO is applied to WSN deployment optimization. Its average coverage rate (86.80%) exceeds that of SDO (84.41%) by 2.39 percentage points, while its minimum coverage (84.80%) is 21.21 percentage points higher than that of AOO (69.96%). Moreover, its standard deviation (8.1308 × 10−3) is the lowest among all compared algorithms. The convergence curve reveals that MESDO achieves 82% coverage within 50 iterations, which is significantly faster than SDO (80 iterations) and IWOA (100 iterations). The node deployment distribution further shows that the generated nodes are uniformly distributed without coverage blind spots. In summary, MESDO demonstrates superior optimization accuracy, convergence speed, and stability in both function optimization and WSN deployment, providing a reliable and efficient approach for WSN deployment optimization. Full article
(This article belongs to the Special Issue Advanced Information and Signal Processing: Models and Algorithms)
Show Figures

Figure 1

21 pages, 3926 KB  
Article
Predicting the Strength of Heavy Concrete Exposed to Aggressive Environmental Influences by Machine Learning Methods
by Kirill P. Zubarev, Irina Razveeva, Alexey N. Beskopylny, Sergey A. Stel’makh, Evgenii M. Shcherban’, Levon R. Mailyan, Diana M. Shakhalieva, Andrei Chernil’nik and Nadezhda I. Nikora
Buildings 2025, 15(21), 3998; https://doi.org/10.3390/buildings15213998 - 5 Nov 2025
Viewed by 344
Abstract
Currently, intelligent algorithms are becoming a reliable alternative source of data analysis in many areas of human activity. In materials science, the integration of machine learning methods is effectively applied to predictive modeling of building materials properties. This is particularly interesting and relevant [...] Read more.
Currently, intelligent algorithms are becoming a reliable alternative source of data analysis in many areas of human activity. In materials science, the integration of machine learning methods is effectively applied to predictive modeling of building materials properties. This is particularly interesting and relevant for predicting the strength properties of building materials under aggressive environmental conditions. In this study, machine learning methods (Linear Regression, K-Neighbors, Decision Tree, Random Forest, CatBoost, Support Vector Regression, and Multilayer Perceptron) were used to analyze the relationship between the strength properties of heavy concrete depending on the freeze–thaw cycle, the average area of damaged areas during this cycle, and the number of damaged areas. The Random Forest and CatBoost methods demonstrate the smallest errors: deviations from actual values are 0.27 MPa and 0.25 MPa, respectively, with an average absolute percentage error of less than 1%. The determination coefficient R2 for both models is greater than 0.99. High values of this statistical measure indicate that the implemented models adequately describe changes in the observed data. The theoretical and practical development of intelligent algorithms in materials science opens up vast opportunities for the development and production of materials that are more resistant to aggressive influences. Full article
(This article belongs to the Section Building Materials, and Repair & Renovation)
Show Figures

Figure 1

24 pages, 2114 KB  
Article
Structured Element Extraction from Official Documents Based on BERT-CRF and Knowledge Graph-Enhanced Retrieval
by Siyuan Chen, Liyuan Niu, Jinning Li, Xiaomin Zhu, Xuebin Zhuang and Yanqing Ye
Mathematics 2025, 13(17), 2779; https://doi.org/10.3390/math13172779 - 29 Aug 2025
Viewed by 1118
Abstract
The growth of e-government has rendered automated element extraction from official documents a critical bottleneck for administrative efficiency. The core challenge lies in unifying deep semantic understanding with the structured domain knowledge required to interpret complex formats and specialized terminology. To address the [...] Read more.
The growth of e-government has rendered automated element extraction from official documents a critical bottleneck for administrative efficiency. The core challenge lies in unifying deep semantic understanding with the structured domain knowledge required to interpret complex formats and specialized terminology. To address the limitations of existing methods, we propose a hybrid framework. Our approach leverages a BERT-CRF model for robust sequence labeling, a knowledge graph (KG)-driven retrieval system to ground the model in verifiable facts, and a large language model (LLM) as a reasoning engine to resolve ambiguities and identify complex relationships. Validated on the DovDoc-CN dataset, our framework achieves a macro-average F1 score of 0.850, outperforming the BiLSTM-CRF baseline by 2.41 percentage points, and demonstrates high consistency, with a weighted F1 score of 0.984. The low standard deviation in the validation set further indicates the model’s stable performance across different subsets. These results confirm that our integrated approach provides an efficient and reliable solution for intelligent document processing, effectively handling the format diversity and specialized knowledge characteristic of government documents. Full article
Show Figures

Figure 1

18 pages, 1259 KB  
Article
Artificial Neural Network-Based Prediction of Clogging Duration to Support Backwashing Requirement in a Horizontal Roughing Filter: Enhancing Maintenance Efficiency
by Sphesihle Mtsweni, Babatunde Femi Bakare and Sudesh Rathilal
Water 2025, 17(15), 2319; https://doi.org/10.3390/w17152319 - 4 Aug 2025
Cited by 1 | Viewed by 841
Abstract
While horizontal roughing filters (HRFs) remain widely acclaimed for their exceptional efficiency in water treatment, especially in developing countries, they are inherently susceptible to clogging, which necessitates timely maintenance interventions. Conventional methods for managing clogging in HRFs typically involve evaluating filter head loss [...] Read more.
While horizontal roughing filters (HRFs) remain widely acclaimed for their exceptional efficiency in water treatment, especially in developing countries, they are inherently susceptible to clogging, which necessitates timely maintenance interventions. Conventional methods for managing clogging in HRFs typically involve evaluating filter head loss coefficients against established water quality standards. This study utilizes artificial neural network (ANN) for the prediction of clogging duration and effluent turbidity in HRF equipment. The ANN was configured with two outputs, the clogging duration and effluent turbidity, which were predicted concurrently. Effluent turbidity was modeled to enhance the network’s learning process and improve the accuracy of clogging prediction. The network steps of the iterative training process of ANN used different types of input parameters, such as influent turbidity, filtration rate, pH, conductivity, and effluent turbidity. The training, in addition, optimized network parameters such as learning rate, momentum, and calibration of neurons in the hidden layer. The quantities of the dataset accounted for up to 70% for training and 30% for testing and validation. The optimized structure of ANN configured in a 4-8-2 topology and trained using the Levenberg–Marquardt (LM) algorithm achieved a mean square error (MSE) of less than 0.001 and R-coefficients exceeding 0.999 across training, validation, testing, and the entire dataset. This ANN surpassed models of scaled conjugate gradient (SCG) and obtained a percentage of average absolute deviation (%AAD) of 9.5. This optimal structure of ANN proved to be a robust tool for tracking the filter clogging duration in HRF equipment. This approach supports proactive maintenance and operational planning in HRFs, including data-driven scheduling of backwashing based on predicted clogging trends. Full article
(This article belongs to the Special Issue Advanced Technologies in Water and Wastewater Treatment)
Show Figures

Figure 1

11 pages, 868 KB  
Case Report
A Case Study on the Development of a High-Intensity Interval Training Set for a National-Level Middle-Distance Swimmer: The Conception of the Faster-than-Race Pace Test Set
by Konstantinos Papadimitriou, Sousana K. Papadopoulou, Evmorfia Psara and Constantinos Giaginis
J. Funct. Morphol. Kinesiol. 2025, 10(3), 291; https://doi.org/10.3390/jfmk10030291 - 29 Jul 2025
Viewed by 1953
Abstract
Background: Swimming coaches search for the most efficient training approach and stimuli for swimmers’ improvement. High-intensity interval training (HIIT) is a well-established training approach used by coaches to accelerate swimmers’ improvement. A HIIT variation, which has lately been discussed by many coaches about [...] Read more.
Background: Swimming coaches search for the most efficient training approach and stimuli for swimmers’ improvement. High-intensity interval training (HIIT) is a well-established training approach used by coaches to accelerate swimmers’ improvement. A HIIT variation, which has lately been discussed by many coaches about its possible effectiveness on performance, is Ultra Short Race Pace Training (USRPT). The present case study aimed to examine the effect of a faster-than-race pace test set (FRPtS) on the performance of a middle-distance (MD) swimmer at the freestyle events. Methods: This case study included a 21-year-old national-level MD swimmer with 16 years of swimming experience. The swimmer followed 11 weeks of FRPtS sets in a 17-week training intervention. The FRPtS sets were repeated two to three times per week, the volume ranged from 200 m to 1200 m, and the distances that were used were 25 m, 50 m, and 100 m at a faster pace than the 400 m. Descriptive statistics were implemented, recording the average with standard deviation (number in parentheses), the sum, and the percentages (%). Results: According to the results, the swimmer improved his personal best (PB) and season best (SB) performance in the events of 200 m and 400 m freestyle. Specifically, the improvement from his PB performance was 2.9% (−3.49 s) and 1.0% (−2.55 s), whereas in his SB performance it was 2.9% (−3.53 s) and 4.4% (−11.43 s) for the 200 and 400 m freestyle, respectively. Conclusions: Concluding, FRPtS is assumed to have beneficial effects on the swimming performance of MD events. However, further crossover or parallel studies on different swimming events with more participants and biomarkers must be conducted to clarify the effects of that kind of training on swimming performance. Full article
Show Figures

Figure 1

19 pages, 7169 KB  
Article
Modelling Caffeine and Paracetamol Removal from Synthetic Wastewater Using Nanofiltration Membranes: A Comparative Study of Artificial Neural Networks and Response Surface Methodology
by Nkechi Ezeogu, Petr Mikulášek, Chijioke Elijah Onu, Obinna Anike and Jiří Cuhorka
Membranes 2025, 15(8), 222; https://doi.org/10.3390/membranes15080222 - 24 Jul 2025
Viewed by 1159
Abstract
The integration of computational intelligence techniques into pharmaceutical wastewater treatment offers promising opportunities to improve process efficiency and minimize operational costs. This study compares the predictive capabilities of Response Surface Methodology (RSM) and Artificial Neural Network (ANN) models in forecasting the rejection efficiencies [...] Read more.
The integration of computational intelligence techniques into pharmaceutical wastewater treatment offers promising opportunities to improve process efficiency and minimize operational costs. This study compares the predictive capabilities of Response Surface Methodology (RSM) and Artificial Neural Network (ANN) models in forecasting the rejection efficiencies of caffeine and paracetamol using AFC 40 and AFC 80 nanofiltration (NF) membranes. Experiments were conducted under varying operating conditions, including transmembrane pressure, feed concentration, and flow rate. The predictive performance of both models was evaluated using statistical metrics such as the Coefficient of Determination (R2), Root Mean Square Error (RMSE), Marquardt’s Percentage Squared Error Deviation (MPSED), Hybrid fractional error function (HYBRID), and Average Absolute Deviation (AAD). Both models demonstrated strong predictive accuracy, with R2 values of 0.9867 and 0.9832 for RSM and ANN, respectively, in AFC 40 membranes, and 0.9769 and 0.9922 in AFC 80 membranes. While both approaches closely matched the experimental results, the ANN model consistently yielded lower error values and higher R2 values, indicating superior predictive performance. These findings support the application of ANNs as a robust modelling tool in optimizing NF membrane processes for pharmaceutical removal. Full article
(This article belongs to the Special Issue Advanced Membranes and Membrane Technologies for Wastewater Treatment)
Show Figures

Figure 1

18 pages, 3983 KB  
Article
Prediction of Mature Body Weight of Indigenous Camel (Camelus dromedarius) Breeds of Pakistan Using Data Mining Methods
by Daniel Zaborski, Wilhelm Grzesiak, Abdul Fatih, Asim Faraz, Mohammad Masood Tariq, Irfan Shahzad Sheikh, Abdul Waheed, Asad Ullah, Illahi Bakhsh Marghazani, Muhammad Zahid Mustafa, Cem Tırınk, Senol Celik, Olha Stadnytska and Oleh Klym
Animals 2025, 15(14), 2051; https://doi.org/10.3390/ani15142051 - 11 Jul 2025
Viewed by 932
Abstract
The determination of the live body weight of camels (required for their successful breeding) is a rather difficult task due to the problems with handling and restraining these animals. Therefore, the main aim of this study was to predict the ABW of eight [...] Read more.
The determination of the live body weight of camels (required for their successful breeding) is a rather difficult task due to the problems with handling and restraining these animals. Therefore, the main aim of this study was to predict the ABW of eight indigenous camel (Camelus dromedarius) breeds of Pakistan (Bravhi, Kachi, Kharani, Kohi, Lassi, Makrani, Pishin, and Rodbari). Selected productive (hair production, milk yield per lactation, and lactation length) and reproductive (age of puberty, age at first breeding, gestation period, dry period, and calving interval) traits served as the predictors. Six data mining methods [classification and regression trees (CARTs), chi-square automatic interaction detector (CHAID), exhaustive CHAID (EXCHAID), multivariate adaptive regression splines (MARSs), MLP, and RBF] were applied for ABW prediction. Additionally, hierarchical cluster analysis with Euclidean distance was performed for the phenotypic characterization of the camel breeds. The highest Pearson correlation coefficient between the observed and predicted values (0.84, p < 0.05) was obtained for MLP, which was also characterized by the lowest root-mean-square error (RMSE) (20.86 kg), standard deviation ratio (SDratio) (0.54), mean absolute percentage error (MAPE) (2.44%), and mean absolute deviation (MAD) (16.45 kg). The most influential predictor for all the models was the camel breed. The applied methods allowed for the moderately accurate prediction of ABW (average R2 equal to 65.0%) and the identification of the most important productive and reproductive traits affecting its value. However, one important limitation of the present study is its relatively small dataset, especially for training the ANN (MLP and RBF). Hence, the obtained preliminary results should be validated on larger datasets in the future. Full article
(This article belongs to the Section Animal System and Management)
Show Figures

Figure 1

17 pages, 2613 KB  
Article
The Influence of Mixed Filter Materials on the Performance of Biological Slow Filtration in Rainwater Treatment
by Dawei Mu, Xiangzhen Meng, Huali Zhang and Zhi Luo
Appl. Sci. 2025, 15(13), 7394; https://doi.org/10.3390/app15137394 - 1 Jul 2025
Viewed by 1014
Abstract
Freshwater resources are scarce in tropical island areas. Treating rainwater to produce drinking water through biological slow filtration (BSF) technology can significantly alleviate the problem of freshwater shortages. The characteristics of the filter material are the key factors determining the decontamination performance of [...] Read more.
Freshwater resources are scarce in tropical island areas. Treating rainwater to produce drinking water through biological slow filtration (BSF) technology can significantly alleviate the problem of freshwater shortages. The characteristics of the filter material are the key factors determining the decontamination performance of BSF technology. However, most existing studies focus on a single filter material. This study was conducted using volcanic rock and coconut shell activated carbon to compare their pollutant removal characteristics in slightly polluted rainwater during the early stage of BSF operation (from the start of operation to day 6, with the first sampling time being 48 h after operation) and during the stable stage (26 days later) and further explore the influence of their mixing ratio. The results show that in the early stages of operation, the pollutant removal performance of volcanic rock and coconut shell activated carbon is better than that of quartz sand. Among them, coconut shell activated carbon showed average removal rates for NH3-N, TOC, and Cr(VI) that were 6.72, 8.46, and 19.01 percentage points higher than those of volcanic rock, respectively, but its average turbidity removal rate decreased by 5.00%. The removal effect of the mixed filter material was enhanced through the synergistic adsorption mechanism, but most of the improvements were within the standard deviation range and did not exceed the removal range of the single filter material. When the mixing ratio was 1:3, the average total organic carbon removal rate of the filter material was 71.51 ± 0.64%, approximately 0.96 percentage points higher than that of coconut shell activated carbon (70.55 ± 0.42%). While coconut shell activated carbon showed the best removal effect among all single filter materials, this improvement was still within the standard deviation range. Full article
Show Figures

Figure 1

18 pages, 5564 KB  
Article
Flood Exposure Patterns Induced by Sea Level Rise in Coastal Urban Areas of Europe and North Africa
by Wiktor Halecki and Dawid Bedla
Water 2025, 17(13), 1889; https://doi.org/10.3390/w17131889 - 25 Jun 2025
Viewed by 2533
Abstract
Coastal cities and low-lying areas are increasingly vulnerable, and accurate data is needed to identify where interventions are most required. We compared 53 cities affected by a 1 m increase in land levels and a 2 m rise in sea levels. The geographical [...] Read more.
Coastal cities and low-lying areas are increasingly vulnerable, and accurate data is needed to identify where interventions are most required. We compared 53 cities affected by a 1 m increase in land levels and a 2 m rise in sea levels. The geographical scope of this study covered selected coastal cities in Europe and northern Africa. Data were sourced from the European Environment Agency (EEA) in the form of prepared datasets, which were further processed for analysis. Statistical methods were applied to compare the extent of urban flooding under two sea level rise scenarios—1 m and 2 m—by calculating the percentage of affected urban areas. To assess social vulnerability, the analysis included several variables: MAPF65 (Mean Area Potentially Flooded for people aged 65 and older, indicating elderly exposure), Age (the percentage of the population aged 65+ in each city), MAPF (Mean Area Potentially Flooded, representing the average share of urban area at risk of flooding), and Unemployment Ratio (the percentage of unemployed individuals living in the areas potentially affected by sea level rise). We utilized t-tests to analyze the means of two datasets, yielding a mean difference of 2.9536. Both parametric and bootstrap confidence intervals included zero, and the p-values from the t-tests (0.289 and 0.289) indicated no statistically significant difference between the means. The Bayes factor (0.178) provided substantial evidence supporting equal means, while Cohen’s D (0.099) indicated a very small effect size. Ceuta’s flooding value (502.8) was identified as a significant outlier (p < 0.05), indicating high flood risk. A Grubbs’ test confirmed Ceuta as a significant outlier. A Wilcoxon test highlighted significant deviations between the medians, with a p << 0.001, demonstrating systematic discrepancies tied to flood frequency and sea level anomalies. These findings illuminated critical disparities in flooding trends across specific locations, offering essential insights for urban planning and mitigation strategies in cities vulnerable to rising sea levels and extreme weather patterns. Information on coastal flooding provides awareness of how rising sea levels affect at-risk areas. Examining factors such as MAPF and population data enables the detection of the most threatened zones and supports targeted action. These perceptions are essential for strengthening climate resilience, improving emergency planning, and directing resources where they are needed most. Full article
(This article belongs to the Section Oceans and Coastal Zones)
Show Figures

Graphical abstract

9 pages, 459 KB  
Article
The Impact of a Formalized Fertility Preservation Program on Access to Care and Sperm Cryopreservation Among Transgender and Nonbinary Patients Assigned Male at Birth
by Daniel R. Greenberg, Faraz N. Longi, Sarah C. Cromack, Kristin N. Smith, Valerie G. Brown, Sarah E. Bazzetta, Kara N. Goldman, Robert E. Brannigan and Joshua A. Halpern
J. Clin. Med. 2025, 14(12), 4203; https://doi.org/10.3390/jcm14124203 - 13 Jun 2025
Viewed by 1652
Abstract
Objectives: This study aimed to evaluate the implementation of a formalized fertility preservation (FP) program for transgender and nonbinary patients assigned male at birth (TGNB-AMAB) at our institution. Methods: We reviewed TGNB-AMAB patients who were referred to the FP program at our [...] Read more.
Objectives: This study aimed to evaluate the implementation of a formalized fertility preservation (FP) program for transgender and nonbinary patients assigned male at birth (TGNB-AMAB) at our institution. Methods: We reviewed TGNB-AMAB patients who were referred to the FP program at our academic institution between 2016 and September 2023. We compared the number of referrals and the percentage of patients who underwent FP per year. Clinical and demographic information including age at referral, time from referral to banking, semen parameters, and serum hormone values were evaluated. Results: In total, 154 TGNB-AMAB patients were referred to the FP program since 2016; 131 (85.1%) met with a reproductive urologist or advanced practice provider for FP consultation; and 124 (94.7%) completed sperm cryopreservation. The number of annual referrals significantly increased over time (p = 0.001). The average age (±standard deviation) at referral was 20.5 ± 5.7 years. The median time from referral to sperm cryopreservation was 14 days. The average semen parameters among all the patients were volume 2.7 ± 1.7 mL, sperm concentration 36.0 ± 31.6 M/mL, sperm motility 56.8 ± 19.0%, and sperm morphology 4.7 ± 2.9%. There was no significant difference in semen parameters between TGNB-AMAB patients previously on gender-affirming hormonal therapy prior to banking and those not on prior hormonal treatment (p > 0.05). Conclusions: Our fertility preservation program significantly increased the number of TGNB-AMAB patients who received consultation and underwent sperm cryopreservation. The institution of a formalized FP program can be used to increase access for TGNB-AMAB patients who desire future fertility. Full article
(This article belongs to the Section Reproductive Medicine & Andrology)
Show Figures

Figure 1

14 pages, 558 KB  
Article
External Validation and Extension of a Cochlear Implant Performance Prediction Model: Analysis of the Oldenburg Cohort
by Rieke Ollermann, Robert Böscke, John Neidhardt and Andreas Radeloff
Audiol. Res. 2025, 15(3), 69; https://doi.org/10.3390/audiolres15030069 - 12 Jun 2025
Cited by 1 | Viewed by 820
Abstract
Background/Objectives: Rehabilitation success with a cochlear implant (CI) varies considerably and identifying predictive factors for the reliable prediction of speech understanding with CI remains a challenge. Hoppe and colleagues have recently described a predictive model, which was specifically based on Cochlear™ recipients [...] Read more.
Background/Objectives: Rehabilitation success with a cochlear implant (CI) varies considerably and identifying predictive factors for the reliable prediction of speech understanding with CI remains a challenge. Hoppe and colleagues have recently described a predictive model, which was specifically based on Cochlear™ recipients with a four-frequency pure tone average (4FPTA) ≤ 80 dB HL. The aim of this retrospective study is to test the applicability to an independent patient cohort with extended inclusion criteria. Methods: The Hoppe et al. model was applied to CI recipients with varying degrees of hearing loss. Model performance was analyzed for Cochlear™ recipients with 4FPTA ≤ 80 dB HL and for all recipients regardless of 4FPTA. Subgroup analyses were conducted by WRSmax and CI manufacturer. Results: The model yielded comparable results in our patient cohort when the original inclusion criteria were met (n = 24). Extending the model to patients with profound hearing loss (4FPTA > 80 dB HL; n = 238) resulted in a weaker but significant correlation (r = 0.273; p < 0.0001) between predicted and measured word recognition score at 65 dB with CI (WRS65(CI)). Also, a higher percentage of data points deviated by more than 20 pp, either better or worse. When patients provided with CIs from different manufacturers were enrolled, the prediction error was also higher than in the original cohort. In Cochlear™ recipients with a maximum word recognition score (WRSmax) > 0% (n = 83), we found a moderate correlation between measured and predicted scores (r = 0.3274; p = 0.0025). Conclusions: In conclusion, as long as the same inclusion criteria are used, the Hoppe et al. (2021) prediction model results in similar prediction success in our cohort, and thus seems applicable independently of the cohort used. Nevertheless, it has limitations when applied to a broader and more diverse patient cohort. Our data suggest that the model would benefit from adaptations for broader clinical use, as the model lacks sufficient sensitivity in identifying poor performers. Full article
Show Figures

Figure 1

13 pages, 1136 KB  
Article
Machine Learning-Driven Acoustic Feature Classification and Pronunciation Assessment for Mandarin Learners
by Gulnur Arkin, Tangnur Abdukelim, Hankiz Yilahun and Askar Hamdulla
Appl. Sci. 2025, 15(11), 6335; https://doi.org/10.3390/app15116335 - 5 Jun 2025
Cited by 1 | Viewed by 941
Abstract
Based on acoustic feature analysis, this study systematically examines the differences in vowel pronunciation characteristics among Mandarin learners at various proficiency levels. A speech corpus containing samples from advanced, intermediate, and elementary learners (N = 50) and standard speakers (N = 10) was [...] Read more.
Based on acoustic feature analysis, this study systematically examines the differences in vowel pronunciation characteristics among Mandarin learners at various proficiency levels. A speech corpus containing samples from advanced, intermediate, and elementary learners (N = 50) and standard speakers (N = 10) was constructed, with a total of 5880 samples. Support Vector Machine (SVM) and ID3 decision tree algorithms were employed to classify vowel formant parameters (F1-F2) patterns. The results demonstrate that SVM significantly outperforms the ID3 algorithm in vowel classification, with an average accuracy of 92.09% for the three learner groups (92.38% for advanced, 92.25% for intermediate, and 91.63% for elementary), an improvement of 2.05 percentage points compared to ID3 (p < 0.05). Learners’ vowel production exhibits systematic deviations, particularly pronounced in complex vowels for the elementary group. For instance, the apical vowel “ẓ” has a deviation of 2.61 Bark (standard group: F1 = 3.39/F2 = 8.13; elementary group: F1 = 3.42/F2 = 10.74), while the advanced group’s deviations are generally less than 0.5 Bark (e.g., vowel “a” deviation is only 0.09 Bark). The difficulty of tongue position control strongly correlates with the deviation magnitude (r = 0.87, p < 0.001). This study confirms the effectiveness of objective assessment methods based on formant analysis in speech acquisition research, provides a theoretical basis for algorithm optimization in speech evaluation systems, and holds significant application value for the development of Computer-Assisted Language Learning (CALL) systems and the improvement of multi-ethnic Mandarin speech recognition technology. Full article
(This article belongs to the Collection Fishery Acoustics)
Show Figures

Figure 1

Back to TopTop