Sign in to use this feature.

Years

Between: -

Subjects

remove_circle_outline
remove_circle_outline
remove_circle_outline
remove_circle_outline
remove_circle_outline
remove_circle_outline
remove_circle_outline
remove_circle_outline
remove_circle_outline

Journals

Article Types

Countries / Regions

Search Results (423)

Search Parameters:
Keywords = autonomous ships

Order results
Result details
Results per page
Select all
Export citation of selected articles as:
16 pages, 5921 KB  
Article
Shipborne Stabilization Grasping Low-Altitude Drones Method for UAV-Assisted Landing Dock Stations
by Chuande Liu, Le Zhang, Chenghao Zhang, Jing Lian, Huan Wang and Bingtuan Gao
Drones 2026, 10(1), 52; https://doi.org/10.3390/drones10010052 - 12 Jan 2026
Abstract
Shipborne UAV-assisted dock is an important way to recover unmanned systems for remote water surface low-altitude detection. The lack of resisting deck disturbances capability for UAV autonomous landing in dynamic dock stations has led to the inability of traditional hovering recovery methods for [...] Read more.
Shipborne UAV-assisted dock is an important way to recover unmanned systems for remote water surface low-altitude detection. The lack of resisting deck disturbances capability for UAV autonomous landing in dynamic dock stations has led to the inability of traditional hovering recovery methods for single UAV guidance and flight attitude control systems to meet the growing demand for landing assistance. In this work, we present a shipborne manipulator arm designed to grasp drones that use low-altitude visual servo technology for landing on the water surface. The shipborne manipulator arm is fabricated as a key component of a seaplane drone dock comprising a ship-type embedded drone storage, a packaged helistop for power transfer and UAV recovery, and a multi-degree-of-freedom arm integrated with multi-source information sensors for the treatment of air-to-water-related airplane crashes. Dynamic model tests have demonstrated that the end-effector of the shipborne manipulator arm stabilizes and performs optimally for water surface disturbances. A down-to-top grasp docking paradigm for a UAV-assisted perching on a shipborne helistop that enables the charging components of the station system to be equipped automatically to ensure that the drone performs its mission in the best condition is also presented. The surface grasp experiments have verified the efficacy of this grasp paradigm when compared to the traditional autonomous landing method. Full article
(This article belongs to the Special Issue Cross-Modal Autonomous Cooperation for Intelligent Unmanned Systems)
Show Figures

Figure 1

20 pages, 6621 KB  
Article
Sensor Fusion-Based Machine Learning Algorithms for Meteorological Conditions Nowcasting in Port Scenarios
by Marwan Haruna, Francesco Kotopulos De Angelis, Kaleb Gebremicheal Gebremeskel, Alexandr Tardo and Paolo Pagano
Sensors 2026, 26(2), 448; https://doi.org/10.3390/s26020448 - 9 Jan 2026
Viewed by 78
Abstract
Modern port operations face increasing challenges from rapidly changing weather and environmental conditions, requiring accurate short-term forecasting to support safe and efficient maritime activities. This study presents a sensor fusion-based machine learning framework for real-time multi-target nowcasting of wind gust speed, sustained wind [...] Read more.
Modern port operations face increasing challenges from rapidly changing weather and environmental conditions, requiring accurate short-term forecasting to support safe and efficient maritime activities. This study presents a sensor fusion-based machine learning framework for real-time multi-target nowcasting of wind gust speed, sustained wind speed, and wind direction using heterogeneous data collected at the Port of Livorno from February to November 2025. Using an IoT architecture compliant with the oneM2M standard and deployed at the Port of Livorno, CNIT integrated heterogeneous data from environmental sensors (meteorological stations, anemometers) and vessel-mounted LiDAR systems through feature-level fusion to enhance situational awareness, with gust speed treated as the primary safety-critical variable due to its substantial impact on berthing and crane operations. In addition, a comparative performance analysis of Random Forest, XGBoost, LSTM, Temporal Convolutional Network, Ensemble Neural Network, Transformer models, and a Kalman filter was performed. The results show that XGBoost consistently achieved the highest accuracy across all targets, with near-perfect performance in both single-split testing (R² ≈ 0.999) and five-fold cross-validation (mean R² = 0.9976). Ensemble models exhibited greater robustness than deep learning approaches. The proposed multi-target fusion framework demonstrates strong potential for real-time deployment in Maritime Autonomous Surface Ship (MASS) systems and port decision-support platforms, enabling safer manoeuvring and operational continuity under rapidly varying environmental conditions. Full article
(This article belongs to the Special Issue Signal Processing and Machine Learning for Sensor Systems)
23 pages, 5241 KB  
Article
BAARTR: Boundary-Aware Adaptive Regression for Kinematically Consistent Vessel Trajectory Reconstruction from Sparse AIS
by Hee-jong Choi, Joo-sung Kim and Dae-han Lee
J. Mar. Sci. Eng. 2026, 14(2), 116; https://doi.org/10.3390/jmse14020116 - 7 Jan 2026
Viewed by 120
Abstract
The Automatic Identification System (AIS) frequently suffers from data loss and irregular report intervals in real maritime environments, compromising the reliability of downstream navigation, monitoring, and trajectory reconstruction tasks. To address these challenges, we propose BAARTR (Boundary-Aware Adaptive Regression for Kinematically Consistent Vessel [...] Read more.
The Automatic Identification System (AIS) frequently suffers from data loss and irregular report intervals in real maritime environments, compromising the reliability of downstream navigation, monitoring, and trajectory reconstruction tasks. To address these challenges, we propose BAARTR (Boundary-Aware Adaptive Regression for Kinematically Consistent Vessel Trajectory Reconstruction), a novel kinematically consistent interpolation framework. Operating solely on time, latitude, and longitude inputs, BAARTR explicitly enforces boundary velocities derived from raw AIS data. The framework adaptively selects a velocity-estimation strategy based on the AIS reporting gap: central differencing is applied for short intervals, while a hierarchical cubic velocity regression with a quadratic acceleration constraint is employed for long or irregular gaps to iteratively refine endpoint slopes. These boundary slopes are subsequently incorporated into a clamped quartic interpolation at a 1 s resolution, effectively suppressing overshoots and ensuring velocity continuity across segments. We evaluated BAARTR against Linear, Spline, Hermite, Bezier, Piecewise cubic hermite interpolating polynomial (PCHIP) and Modified akima (Makima) methods using real-world AIS data collected from the Mokpo Port channel, Republic of Korea (2023–2024), across three representative vessels. The experimental results demonstrate that BAARTR achieves superior reconstruction accuracy while maintaining strictly linear time complexity (O(N)). BAARTR consistently achieved the lowest median Root Mean Square Error (RMSE) and the narrowest Interquartile Ranges (IQR), producing visibly smoother and more kinematically plausible paths-especially in high-curvature turns where standard geometric interpolations tend to oscillate. Furthermore, sensitivity analysis shows stable performance with a modest training window (n ≈ 16) and minimal regression iterations (m = 2–3). By reducing reliance on large training datasets, BAARTR offers a lightweight, extensible foundation for post-processing in Maritime Autonomous Surface Ship (MASS) and Vessel Traffic Service (VTS), as well as for accident reconstruction and multi-sensor fusion. Full article
(This article belongs to the Special Issue Advanced Research on Path Planning for Intelligent Ships)
Show Figures

Figure 1

27 pages, 3321 KB  
Article
An Anchorage Decision Method for the Autonomous Cargo Ship Based on Multi-Level Guidance
by Wei Zhu, Junmin Mou, Yixiong He, Xingya Zhao, Guoliang Li and Bing Wang
J. Mar. Sci. Eng. 2026, 14(1), 107; https://doi.org/10.3390/jmse14010107 - 5 Jan 2026
Viewed by 133
Abstract
The advancement of autonomous cargo ships requires dependable anchoring operations, which present significant challenges stemming from reduced maneuverability at low speeds and vulnerability to anchorage disturbances. This study systematically investigates these operational constraints by developing anchoring decision-making methodologies. Safety anchorage areas were quantitatively [...] Read more.
The advancement of autonomous cargo ships requires dependable anchoring operations, which present significant challenges stemming from reduced maneuverability at low speeds and vulnerability to anchorage disturbances. This study systematically investigates these operational constraints by developing anchoring decision-making methodologies. Safety anchorage areas were quantitatively defined through integration of ship specifications and environmental parameters. An available anchor position identification method based on grid theory, integrated with an anchorage allocation mechanism to determine optimal anchorage selection, was employed. A multi-level guided anchoring trajectory planning algorithm was developed through practical anchoring. This algorithm was designed to facilitate the scientific calculation of turning and stopping guidance points, with the objective of guiding a cargo ship to navigate towards the designated anchorage while maintaining specified orientation. An integrated autonomous anchoring system was established, encompassing perception, decision-making, planning, and control modules. System validation through digital simulations demonstrated robust performance under complex sea conditions. This study establishes theoretical foundations and technical frameworks for enhancing autonomous decision-making and safety control capabilities of intelligent ships during anchoring operations. Full article
(This article belongs to the Special Issue Advancements in Maritime Safety and Risk Assessment)
Show Figures

Figure 1

27 pages, 5048 KB  
Article
MCB-RT-DETR: A Real-Time Vessel Detection Method for UAV Maritime Operations
by Fang Liu, Yongpeng Wei, Aruhan Yan, Tiezhu Cao and Xinghai Xie
Drones 2026, 10(1), 13; https://doi.org/10.3390/drones10010013 - 27 Dec 2025
Viewed by 335
Abstract
Maritime UAV operations face challenges in real-time ship detection. Complex ocean backgrounds, drastic scale variations, and prevalent distant small targets create difficulties. We propose MCB-RT-DETR, a real-time detection transformer enhanced by multi-component boosting. This method builds upon the RT-DETR architecture. It significantly improves [...] Read more.
Maritime UAV operations face challenges in real-time ship detection. Complex ocean backgrounds, drastic scale variations, and prevalent distant small targets create difficulties. We propose MCB-RT-DETR, a real-time detection transformer enhanced by multi-component boosting. This method builds upon the RT-DETR architecture. It significantly improves detection under wave interference, lighting changes, and scale differences. Key innovations address these challenges. An Orthogonal Channel Attention (Ortho) mechanism preserves high-frequency edge details in the backbone network. Receptive Field Attention Convolution (RFAConv) enhances robustness against background clutter. A Small Object Detail Enhancement Pyramid (SOD-EPN) strengthens small-target representation. SOD-EPN combines SPDConv with multi-scale CSP-OmniKernel transformations. The neck network integrates ultra-lightweight DySample upsampling. This enables content-aware sampling for precise multi-scale localization. The method maintains high computational efficiency. Experiments on the SeaDronesSee dataset show significant improvements. MCB-RT-DETR achieves 82.9% mAP@0.5 and 49.7% mAP@0.5:0.95. These correspond to improvements of 4.5% and 3.4% relative to the baseline model. Inference speed maintains 50 FPS for real-time processing. The outstanding performance in cross-dataset tests further validates the algorithm’s strong generalization capability on DIOR remote sensing images and VisDrone2019 aerial scenes. The method provides a reliable visual perception solution for autonomous maritime UAV operations. Full article
Show Figures

Figure 1

30 pages, 4360 KB  
Article
Development of a Reinforcement Learning-Based Ship Voyage Planning Optimization Method Applying Machine Learning-Based Berth Dwell-Time Prediction as a Time Constraint
by Youngseo Park, Suhwan Kim, Jeongon Eom and Sewon Kim
J. Mar. Sci. Eng. 2026, 14(1), 43; https://doi.org/10.3390/jmse14010043 - 25 Dec 2025
Viewed by 351
Abstract
Global container shipping faces increasing pressure to reduce fuel consumption and greenhouse gas (GHG) emissions while still meeting strict port schedules under highly uncertain terminal operations and met-ocean conditions. However, most existing voyage-planning approaches either ignore real port operation variability or treat fuel [...] Read more.
Global container shipping faces increasing pressure to reduce fuel consumption and greenhouse gas (GHG) emissions while still meeting strict port schedules under highly uncertain terminal operations and met-ocean conditions. However, most existing voyage-planning approaches either ignore real port operation variability or treat fuel optimization and just-in-time (JIT) arrival as separate problems, limiting their applicability in actual operations. This study presents a data-driven just-in-time voyage optimization framework that integrates port-side uncertainty and marine environmental dynamics into the routing process. A dwell-time prediction model based on Gradient Boosting was developed using port throughput and meteorological–oceanographic variables, achieving a validation accuracy of R2 = 0.84 and providing a data-driven required time of arrival (RTA) estimate. A Transformer encoder model was constructed to forecast fuel consumption from multivariate navigation and environmental data, and the model achieved a segment-level predictive performance with an R2 value of approximately 0.99. These predictive modules were embedded into a Deep Q-Network (DQN) routing model capable of optimizing headings and speed profiles under spatially varying ocean conditions. Experiments were conducted on three container-carrier routes in which the historical AIS trajectories served as operational benchmark routes. Compared with these AIS-based baselines, the optimized routes reduced fuel consumption and CO2 emissions by approximately 26% to 69%, while driving the JIT arrival deviation close to zero. The proposed framework provides a unified approach that links port operations, fuel dynamics, and ocean-aware route planning, offering practical benefits for smart and autonomous ship navigation. Full article
(This article belongs to the Special Issue Autonomous Ship and Harbor Maneuvering: Modeling and Control)
Show Figures

Figure 1

27 pages, 4287 KB  
Article
Novelty Detection in Underwater Acoustic Environments for Maritime Surveillance Using an Out-of-Distribution Detector for Neural Networks
by Nayeon Kim, Minho Kim, Chanil Lee, Chanjun Chun and Hong Kook Kim
Sensors 2026, 26(1), 37; https://doi.org/10.3390/s26010037 - 20 Dec 2025
Viewed by 329
Abstract
Reliable detection of unknown signals is essential for ensuring the robustness of underwater acoustic sensing systems, particularly in maritime security and autonomous navigation. However, Conventional deep learning models often exhibit overconfidence when encountering unknown signals and are unable to quantify predictive uncertainty due [...] Read more.
Reliable detection of unknown signals is essential for ensuring the robustness of underwater acoustic sensing systems, particularly in maritime security and autonomous navigation. However, Conventional deep learning models often exhibit overconfidence when encountering unknown signals and are unable to quantify predictive uncertainty due to their deterministic inference process. To address these limitations, this study proposes a novelty detection framework that integrates an out-of-distribution detector for neural networks (ODIN) with Monte Carlo (MC) dropout. ODIN mitigates model overconfidence and enhances the separability between known and unknown signals through softmax probability calibration, while MC dropout introduces stochasticity via multiple forward passes to estimate predictive uncertainty—an element critical for stable sensing in real-world underwater environments. The resulting probabilistic outputs are modeled using Gaussian mixture models fitted to ODIN-calibrated softmax distributions of known classes. The Kullback–Leibler divergence is then employed to quantify deviations of test samples from known class behavior. Experimental evaluations on the DeepShip dataset demonstrate that the proposed method achieves, on average, a 9.5% and 5.39% increase in area under the receiver operating characteristic curve, and a 7.82% and 2.63% reduction in false positive rate at 95% true positive rate, compared to the MC dropout and ODIN baseline, respectively. These results confirm that integrating stochastic inference with ODIN significantly enhances the stability and reliability of novelty detection in underwater acoustic environments. Full article
(This article belongs to the Section Intelligent Sensors)
Show Figures

Graphical abstract

23 pages, 1469 KB  
Article
Wave Direction Classification for Advancing Ships Using Artificial Neural Networks Based on Motion Response Spectra
by Taehyun Yoon, Young Il Park, Won-Ju Lee and Jeong-Hwan Kim
J. Mar. Sci. Eng. 2026, 14(1), 6; https://doi.org/10.3390/jmse14010006 - 19 Dec 2025
Viewed by 321
Abstract
This study proposes a novel artificial neural network-based methodology for classifying the incident wave direction during ship navigation using the heave–roll–pitch motion response spectra as input. The proposed model demonstrated a balanced performance with an overall accuracy of approximately 0.888, effectively classifying the [...] Read more.
This study proposes a novel artificial neural network-based methodology for classifying the incident wave direction during ship navigation using the heave–roll–pitch motion response spectra as input. The proposed model demonstrated a balanced performance with an overall accuracy of approximately 0.888, effectively classifying the wave direction into three major categories: head-sea, beam-sea, and following-sea. The methodology utilizes Response Amplitude Operators derived from linear potential flow theory to generate motion response spectra, which are then used to classify the incident wave direction. The model effectively learns the frequency-distribution characteristics of the response spectrum, enabling wave direction classification without the need for complex inverse analysis procedures. This approach is significant in that it allows wave direction recognition solely based on measurable ship motion responses, without the need for additional external sensors or mathematical modeling. This data-driven approach has strong potential for integration into autonomous ship situational awareness modules and real-time wave monitoring technologies. However, the study simplified the directional domain into three representative groups, and the model was validated primarily using a numerically generated dataset, indicating the need for future improvements. Future research will expand the dataset to include a broader range of sea states, improve directional resolution, and explore continuous wave direction prediction. Additionally, further validation using field-measured data will be conducted to assess the real-time applicability of the proposed model. Full article
(This article belongs to the Special Issue Autonomous Ship and Harbor Maneuvering: Modeling and Control)
Show Figures

Figure 1

18 pages, 3223 KB  
Article
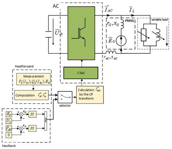
Voltage Stabilization in Shipboard Diesel-PMSG Autonomous Set Using a Parallel-Connected Converter
by Arkadiusz Nerc, Dariusz Tarnapowicz and Zenon Zwierzewicz
Energies 2025, 18(24), 6629; https://doi.org/10.3390/en18246629 - 18 Dec 2025
Viewed by 222
Abstract
The paper presents an innovative method of voltage stabilization in a ship’s power supply system, which involves controlling a converter connected in parallel with a permanent magnet synchronous generator (PMSG) as the main part of an autonomous power generation unit. The proposed solution [...] Read more.
The paper presents an innovative method of voltage stabilization in a ship’s power supply system, which involves controlling a converter connected in parallel with a permanent magnet synchronous generator (PMSG) as the main part of an autonomous power generation unit. The proposed solution addresses the critical challenges of maintaining a stable voltage level under varying load conditions typical of marine power plants, which often face unpredictable operational demands. The novel system topology and the proposed converter control strategy enable precise regulation of the output voltage supplied to the ship’s loads, ensuring high power quality, enhanced system reliability, and improved operational efficiency. The results of simulations and experiments presented in the article, which are confirmed by analytical studies, demonstrate the effectiveness and reliability of the developed voltage stabilization method. This concept holds significant potential for application in modern maritime power systems, contributing to the advancement of autonomous, energy-efficient, and environmentally friendly shipboard electrical technologies. Full article
(This article belongs to the Special Issue Grid-Forming Converters in Power Systems)
Show Figures

Figure 1

22 pages, 2279 KB  
Article
Ship Model Identification Using Interpretable 4-DOF Maneuverability Models for River Combat Boat
by Juan Contreras Montes, Aldo Lovo Ayala, Daniela Ospino-Balcázar, Kevin Velasquez Gutierrez, Carlos Soto Montaño, Roosvel Soto-Diaz, Javier Jiménez-Cabas, José Oñate López and José Escorcia-Gutierrez
Computation 2025, 13(12), 296; https://doi.org/10.3390/computation13120296 - 18 Dec 2025
Viewed by 220
Abstract
Ship maneuverability models are typically defined by three degrees of freedom: surge, sway, and yaw. However, patrol vessels operating in riverine environments often exhibit significant roll motion during course changes, necessitating the inclusion of this dynamic. This study develops interpretable machine learning models [...] Read more.
Ship maneuverability models are typically defined by three degrees of freedom: surge, sway, and yaw. However, patrol vessels operating in riverine environments often exhibit significant roll motion during course changes, necessitating the inclusion of this dynamic. This study develops interpretable machine learning models capable of predicting vessel behavior in four degrees of freedom (4-DoF): surge, sway, yaw, and roll. A dataset of 125 h of simulated maneuvers was employed, including 29 h of out-of-distribution (OOD) conditions to test model generalization. Four models were implemented and compared over a 15-step prediction horizon: linear regression, third-order polynomial regression, a state-space model obtained via the N4SID algorithm, and an AutoRegressive model with eXogenous inputs (ARX). Results demonstrate that all models captured the essential vessel dynamics, with the state-space model achieving the best overall performance (e.g., NMSE = 0.0246 for surge velocity on test data and 0.0499 under OOD conditions). Variable-wise, surge and sway showed the lowest errors, roll rate remained stable, and yaw rate was the most sensitive to distribution shifts. Model-wise, the ARX model achieved the lowest NMSE for surge prediction (0.0149), while regression-based models provided interpretable yet less accurate alternatives. Multi-horizon evaluation (1-, 5-, 15-, and 30-step) under OOD conditions confirmed a consistent monotonic degradation across models. These findings validate the feasibility of using interpretable machine learning models for predictive control, autonomous navigation, and combat scenario simulation in riverine operations. Full article
(This article belongs to the Section Computational Engineering)
Show Figures

Figure 1

20 pages, 4811 KB  
Article
A Hybrid Statistical and Neural Network Method for Detecting Abnormal Ship Behavior Using Leisure Boat Sea Trial Data in a Marina Port
by Hoang Thien Vu, Van Thuan Mai, Thi Thanh Diep Nguyen, Hyeon Kyu Yoon and Hujae Choi
J. Mar. Sci. Eng. 2025, 13(12), 2391; https://doi.org/10.3390/jmse13122391 - 17 Dec 2025
Viewed by 233
Abstract
Effective abnormal behavior detection in ship operations is essential for ensuring navigational safety and operational efficiency in marina ports. This study presents a hybrid method that integrates statistical analysis and neural network modeling to detect abnormal behavior based on data obtained through leisure [...] Read more.
Effective abnormal behavior detection in ship operations is essential for ensuring navigational safety and operational efficiency in marina ports. This study presents a hybrid method that integrates statistical analysis and neural network modeling to detect abnormal behavior based on data obtained through leisure boat sea trials. Detection criteria were established based on ship motion characteristics, operating area conditions, and the properties of the sea trial data. The method combines Rayda’s criterion and standard deviation thresholds to identify sudden changes in measured data, while a Long Short-Term Memory (LSTM) network is used to predict normal ship behavior. Deviations between predicted and measured values were evaluated using three thresholds (levels 1, 2, and 3), with level 3 effectively isolating the most significant abnormal data (representing 2–10% of the data). The proposed method is capable of successfully identifying sudden acceleration or deceleration, unusual course changes, extended stationary periods, deviations from expected routes, complex maneuvers, and track continuity issues. The results demonstrate that the proposed hybrid method can reliably distinguish abnormal ship behaviors based on real sea trial data. To separate true abnormalities from false alarms or sensor and environmental noise, its practical application on a real ship is planned as future work. This study provides a foundation for intelligent ship monitoring systems and supports the development of autonomous and semi-autonomous navigation technologies. Full article
(This article belongs to the Section Ocean Engineering)
Show Figures

Figure 1

17 pages, 3989 KB  
Article
A Simulator-Based Tidal Current Response Competence Evaluation Framework for Remote Operators
by Hyeinn Park and Ik-Hyun Youn
Sustainability 2025, 17(24), 11258; https://doi.org/10.3390/su172411258 - 16 Dec 2025
Viewed by 216
Abstract
A remote operator (RO) of Maritime Autonomous Surface Ships (MASSs) is required to respond to the effects of external forces, such as tidal currents, and ensure safe, efficient, and sustainable navigation. However, previous studies primarily focus on the physical movement changes of the [...] Read more.
A remote operator (RO) of Maritime Autonomous Surface Ships (MASSs) is required to respond to the effects of external forces, such as tidal currents, and ensure safe, efficient, and sustainable navigation. However, previous studies primarily focus on the physical movement changes of the ship caused by tidal currents, with limited research addressing the impact of external forces on ship maneuverability and steering response. Therefore, analysis of an RO’s steering competence and identification features for training is important. In the context of sustainable maritime operations and navigation, the purpose of this study is to analyze the competence of ROs in steering ships under the effects of tidal currents and to identify priority training features as a foundational framework for future applications to MASS remote operation training. Twenty third-year cadets at Mokpo National Maritime University participated in simulator experiments designed to analyze steering competence in the presence and absence of tidal currents in a controlled environment. The experimental results showed the difference in steering performance considering the effect of tidal currents, and machine learning algorithms were used to identify priority training features. Machine learning analysis ranked Altering to ROT zero time (ART) and Maximum port ROT (MRT) as the two most influential steering features among the four identified variables, consistently showing the highest importance scores across all models. This simulator-based study identifies tidal current response steering features as a foundational framework for RO training and competence evaluation, which may inform the design of future MASS remote operation training programs after further validation. Full article
(This article belongs to the Special Issue Sustainable Maritime Transportation: 2nd Edition)
Show Figures

Figure 1

39 pages, 26945 KB  
Article
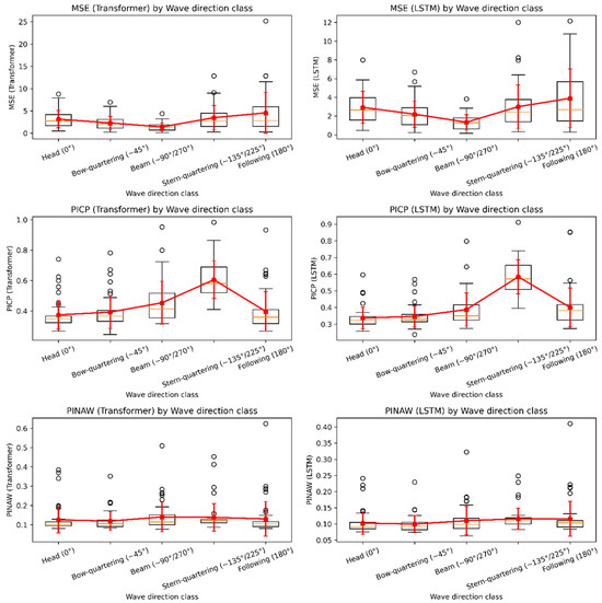
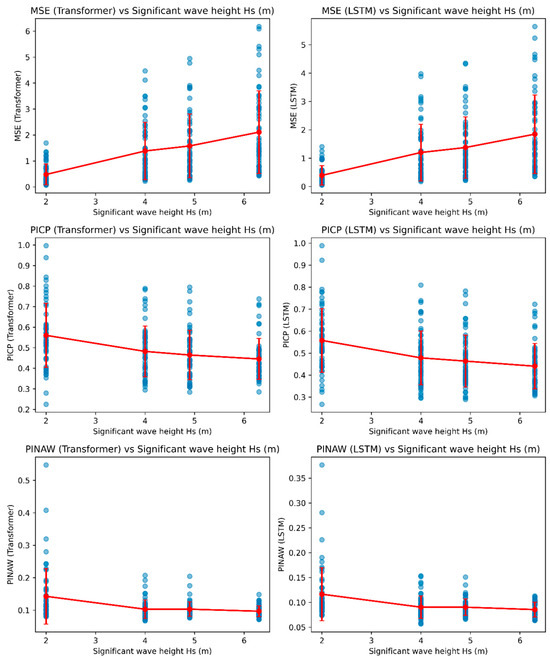
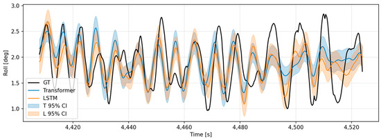
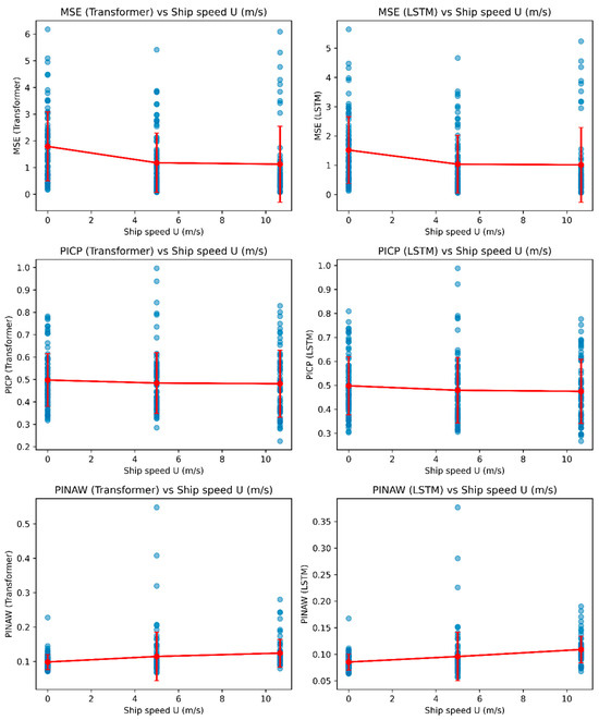
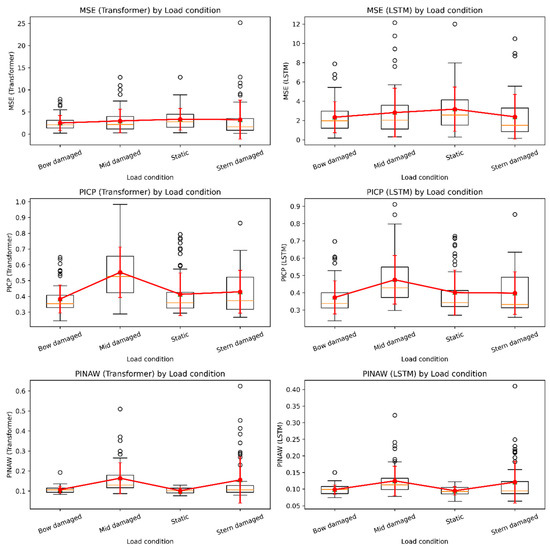
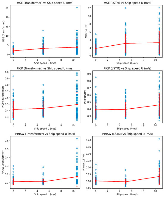
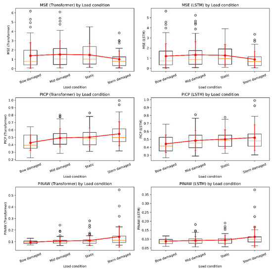
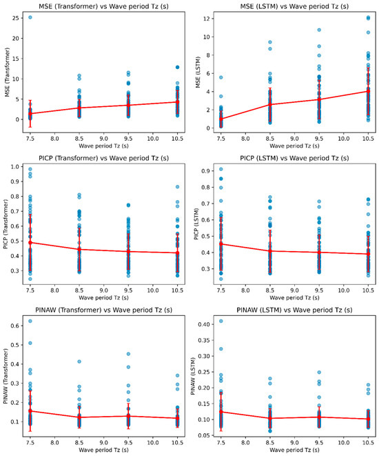
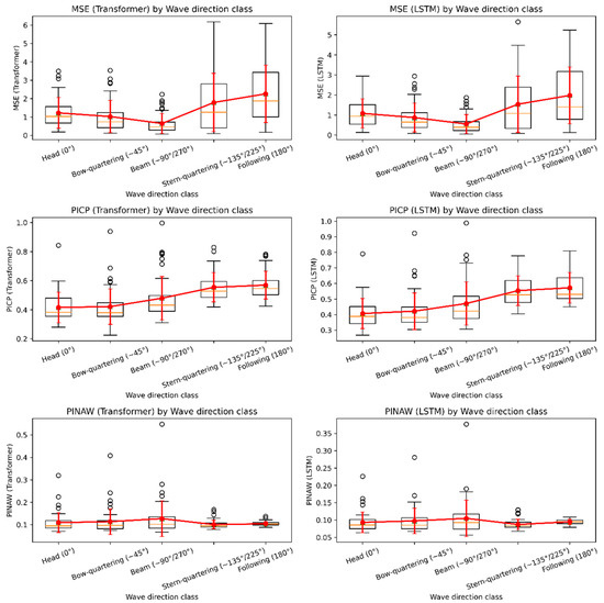
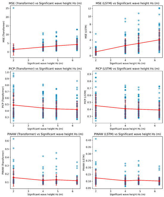
Deep Learning-Based Prediction of Ship Roll Motion with Monte Carlo Dropout
by Gi-yong Kim, Chaeog Lim, Sang-jin Oh, In-hyuk Nam, Yu-mi Lee and Sung-chul Shin
J. Mar. Sci. Eng. 2025, 13(12), 2378; https://doi.org/10.3390/jmse13122378 - 15 Dec 2025
Viewed by 332
Abstract
Accurate prediction of ship roll motion is essential for safe and autonomous navigation. This study presents a deep learning framework that estimates both roll motion and epistemic uncertainty using Monte Carlo (MC) Dropout. Two architectures, a Long Short-Term Memory (LSTM) network and a [...] Read more.
Accurate prediction of ship roll motion is essential for safe and autonomous navigation. This study presents a deep learning framework that estimates both roll motion and epistemic uncertainty using Monte Carlo (MC) Dropout. Two architectures, a Long Short-Term Memory (LSTM) network and a Transformer encoder, were trained on HydroD–Wasim simulations covering various sea states, speeds, and damage conditions, and validated with real voyage data from two ferries, showing complementary performance, where LSTM achieved higher accuracy and Transformer provided more reliable confidence intervals. Model performance was evaluated by mean squared error (MSE), prediction interval coverage probability (PICP), and prediction interval normalized average width (PINAW). The LSTM achieved lower MSE, showing superior deterministic accuracy, while the Transformer produced higher PICP and wider PINAW, indicating more reliable uncertainty estimation. Results confirm that MC Dropout effectively quantifies epistemic uncertainty, improving the reliability of deep learning–based ship motion forecasting for intelligent maritime operations. Full article
(This article belongs to the Special Issue Machine Learning for Prediction of Ship Motion)
Show Figures

Figure 1

32 pages, 2317 KB  
Article
Integration of Maritime Autonomous Surface Ships into Coastal Waters Supply Chains: A Systematic Literature Review of Safety and Autonomy Challenges
by Alen Jugović, Miljen Sirotić, Renato Oblak and Donald Schiozzi
J. Mar. Sci. Eng. 2025, 13(12), 2346; https://doi.org/10.3390/jmse13122346 - 9 Dec 2025
Viewed by 604
Abstract
This study presents a systematic literature review of 307 peer-reviewed articles on collision avoidance approaches regarding the integration of maritime autonomous surface ships (MASSs) in coastal waters supply chains. The bibliographic data were retrieved from the ISI Web of Science Database and analyzed [...] Read more.
This study presents a systematic literature review of 307 peer-reviewed articles on collision avoidance approaches regarding the integration of maritime autonomous surface ships (MASSs) in coastal waters supply chains. The bibliographic data were retrieved from the ISI Web of Science Database and analyzed using Bibliometrix (version 4.3.3) in R and VOSviewer (version 1.6.20) to map the intellectual, thematic, and network structure of the research area. Three main research clusters were revealed through bibliographic coupling analysis: (1) autonomous collision risk management; (2) methodological approaches to maritime autonomy; and (3) adaptive maritime safety modeling. Content analysis of the identified research clusters enabled the development of a 68-item hierarchical task analysis (HTA) framework for MASS collision avoidance across three operational scenarios: (1) ship-to-object, (2) ship-to-ship, and (3) multi-ship. The results provide a comprehensive overview of the current state of research, identify methodological and safety interdependencies in autonomous navigation, and offer an organized and structured perspective to support the safer and more efficient integration of MASSs into coastal waters supply chains. Full article
(This article belongs to the Section Ocean Engineering)
Show Figures

Figure 1

50 pages, 1282 KB  
Review
Ship Manoeuvring Research 2010–2025: From Hydrodynamics and Control to Digital Twins, AI and MASS
by Mina Tadros, Myo Zin Aung, Panagiotis Louvros, Christos Pollalis, Amin Nazemian and Evangelos Boulougouris
J. Mar. Sci. Eng. 2025, 13(12), 2322; https://doi.org/10.3390/jmse13122322 - 7 Dec 2025
Viewed by 1687
Abstract
Over the past fifteen years, ship manoeuvring has evolved from a highly specialised branch of marine hydrodynamics into a key enabler within multidisciplinary research, integrating seakeeping and intact stability, and paving the way for digital twins and autonomous maritime systems. The scope of [...] Read more.
Over the past fifteen years, ship manoeuvring has evolved from a highly specialised branch of marine hydrodynamics into a key enabler within multidisciplinary research, integrating seakeeping and intact stability, and paving the way for digital twins and autonomous maritime systems. The scope of this review is to examine the existing literature in a way that paves the way forward for integration with robotics, aerial and surface drones, digital-twin (DT) ecosystems, and other interconnected autonomous platforms. This paper reviews the published articles during this period, tracing the field’s progression from classical hydrodynamic models to intelligent, data-centric, and regulation-aware maritime systems. Drawing on a structured bibliometric dataset covering 2010–2025, this study organises the literature into interconnected themes spanning physics-based manoeuvring models, adaptive and predictive control, machine learning and digital-twin (DT) technologies, collision-avoidance and regulatory reasoning, environmental performance, and cooperative autonomy. The analysis reveals the transition from static empirical modelling toward hybrid physics, artificial intelligence (AI) frameworks capable of capturing nonlinear dynamics, uncertainty, and multi-vessel interactions. At the same time, this review highlights the growing influence of Convention on the International Regulations for Preventing Collisions at Sea (COLREGs), the Second-Generation Intact Stability Criteria, and emissions-reduction targets in shaping technical developments. While learning-enabled prediction, model predictive control (MPC)-based regulatory compliance, and real-time DT synchronisation show increasing maturity, this study identifies unresolved challenges, including domain shift, model interpretability, certification barriers, multi-agent safety guarantees, and DT divergence under sparse data. By mapping both demonstrated capabilities and conceptual frontiers, this review presents manoeuvring as a central pillar of future Maritime Autonomous Surface Ships (MASS) operations and sustainable shipping. The findings outline a research agenda toward integrated, explainable, and environmentally aligned manoeuvring intelligence that can support safe, efficient, and regulation-compliant autonomous maritime systems. Full article
(This article belongs to the Special Issue Models and Simulations of Ship Manoeuvring)
Show Figures

Figure 1

Back to TopTop