You are currently viewing a new version of our website. To view the old version click .
Polymers
  • Article
  • Open Access

26 July 2025

Viscosity, Morphology, and Thermomechanical Performance of Attapulgite-Reinforced Bio-Based Polyurethane Asphalt Composites

,
,
,
,
,
,
and
1
MOE Key Laboratory of High Performance Polymer Materials and Technology, School of Chemistry and Chemical Engineering, Nanjing University, Nanjing 210023, China
2
Experimental Chemistry Teaching Center, School of Chemistry and Chemical Engineering, Nanjing University, Nanjing 210023, China
3
Public Instrument Center, School of Chemistry and Chemical Engineering, Nanjing University, Nanjing 210023, China
4
Modern Analysis Center, Nanjing University, Nanjing 210023, China
This article belongs to the Special Issue Mechanical and Dynamic Characterization of Polymeric Composites, 3rd Edition

Abstract

Bio-based polyurethane asphalt binder (PUAB) derived from castor oil (CO) is environmentally friendly and exhibits extended allowable construction time. However, CO imparts inherently poor mechanical performance to bio-based PUAB. To address this limitation, attapulgite (ATT) with fibrous nanostructures was incorporated. The effects of ATT on bio-based PUAB were systematically investigated, including cure kinetics, rotational viscosity (RV) evolution, phase-separation microstructures, dynamic mechanical properties, thermal stability, and mechanical performance. Experimental characterization employed Fourier transform infrared spectroscopy, Brookfield viscometry, laser scanning confocal microscopy, dynamic mechanical analysis, thermogravimetry, and tensile testing. ATT incorporation accelerated the polyaddition reaction conversion between isocyanate groups in polyurethane (PU) and hydroxyl groups in ATT. Paradoxically, it reduced RV during curing, prolonging allowable construction time proportionally with clay content. Additionally, ATT’s compatibilizing effect decreased bitumen particle size in PUAB, with scaling proportionally with clay loading. While enhancing thermal stability, ATT lowered the glass transition temperature and damping properties. Crucially, 1 wt% ATT increased tensile strength by 71% and toughness by 62%, while maintaining high elongation at break (>400%). The cost-effectiveness and significant reinforcement capability of ATT make it a promising candidate for producing high-performance bio-based PUAB composites.

1. Introduction

Polyurethane (PU), a highly versatile polymer, has become ubiquitous in modern applications. Global PU production reached approximately 22 million tons in 2023, representing 5.3% of total polymer output and ranking fifth among all polymers produced, trailing polyethylene, polypropylene, polyvinyl chloride, and polyethylene terephthalate [1]. Due to the versatility offered by their chemical composition and tunable molecular architectures, PU materials have found extensive applications across multiple industries. Key implementations include thermal insulation foams, protective coatings, structural adhesives, engineering elastomers, and industrial sealants [2,3,4].
Recent years have witnessed growing research attention toward polyurethane as a thermosetting asphalt modifier [5,6,7]. In contrast to conventional thermoplastic-polymer-modified asphalts (e.g., styrene–butadiene–styrene, SBS), polyurethane asphalt (PUA), also known as polyurethane-modified asphalt, demonstrates superior performance grade (PG) elevation, enhanced compatibility, deformation resistance, and water resistance, albeit with comparatively reduced low-temperature performance [8,9]. Notably, akin to established thermosetting-polymer-modified asphalt systems (e.g., epoxy asphalt) [10], PUAs featuring continuous three-dimensional crosslinked networks demonstrate intrinsic insolubility and non-thermoplastic behavior. This structural transformation fundamentally restricts the mobility of bitumen fractions while transitioning the composite from thermoplastic to thermosetting properties [11]. Such engineered viscoelastic properties position PUAs as advanced binders for critical infrastructure applications, particularly in steel bridge deck pavements requiring exceptional load-distribution capacities [12].
Plastics Europe data [1] reveal that over 99% of commercial polymers remain petrochemically sourced, with bio-based variants constituting merely 0.7% of global production in 2023. This stark reliance on finite fossil resources, coupled with escalating ecological imperatives, has catalyzed intensive research into renewable alternative thermosetting polymers [13,14]. The polyurethane sector exemplifies this transition, where biorefinery-derived polyols, sourced from lipidic (plant oil and fatty acids) and lignocellulosic (crop residues and lignin) feedstocks, now enable large-scale biosynthesis [15,16,17]. Significantly, these sustainable PU systems are increasingly developed as asphalt modifiers, demonstrating circular economy potential in infrastructure materials [18,19,20].
Due to its naturally occurring hydroxyl groups, cost-effectiveness, and commercial availability, castor oil (CO)-modified bitumen and PUA production have garnered increasing attention. Xia et al. [21] demonstrated that incorporating CO-based PU prepolymers into bitumen increases the softening point, ductility, and complex modulus while decreasing the phase angle of bitumen. Cuadri et al. [22] utilized 2 wt% CO-based PU prepolymer to modify bitumen, enhancing its resistance to permanent deformation due to the chemical reactions between −NCO groups and air moisture, as well as bitumen components. Kazemi et al. [23] showed that adding 9 wt% CO-based PU increases the tensile strength ratio and bond strength under both dry and wet conditions by 49%, 55.73%, and 37.93%, respectively. Notably, most CO-based PUAs prepared by PU prepolymers or at low PU loading levels exhibit poor performance because of their bitumen-dominated phase. In contrast to petroleum-based polyols, CO-based PU inherently possesses poor mechanical properties (e.g., low tensile strength and toughness) due to its high crosslinking density and flexible backbone [24]. Consequently, CO-based PUA with a PU-dominated phase also displays inadequate mechanical performance, limiting its use in advanced infrastructure applications (e.g., steel bridge deck). Our previous study [25] systematically examined the correlation between the isocyanate index (R-value, defined as [NCO]/[OH] molar ratio) and the performance of CO-based polyurethane asphalt binder (PUAB). The formulation with R = 1:1.2 demonstrates optimal processing characteristics: extended allowable construction time (time to reach 1 Pa·s > 60 min at 120 °C) and superior damping capacity (maximum damping factor, (tan δ)max > 1.0 and effective damping range of tan δ > 0.3, ΔT > 55 °C). However, it exhibits insufficient tensile strength, failing to satisfy GB/T 30598 requirements for thermosetting-polymer-modified asphalt (>1.50 MPa) [26]. To mitigate the high crosslinking density and enhance ductility, rigid-structured compounds have been incorporated into the backbone of CO-based polyurethane [27]. Meng et al. [28] introduced renewable and stiff isosorbide, which contains a secondary hydroxyl group, to improve the mechanical performance of CO-based PUA. The resulting bio-based PUA exhibits good compatibility, suitable workability, and satisfactory performance.
Attapulgite (ATT), a naturally occurring magnesium aluminosilicate clay mineral (chemical formula: (Mg, Al)2Si4O10(OH)·4H2O), finds widespread applications across agricultural, chemical, and environmental sectors due to its exceptional adsorption capacity and colloidal properties [29]. Characterized by its unique one-dimensional nanostructure, ATT features needle-like crystals (20–70 nm in diameter and 0.5–5 µm in length) with surface hydroxyl groups (−OH) that enable covalent bonding with polymer matrices [30]. Beyond its well-documented reinforcement effects in polyurethane composites [31,32], ATT demonstrates multifunctional benefits in asphalt modification, including (1) VOC (volatile organic compound) reduction: 81.5% decrease in total emissions with 8 wt% ATT/diatomite (1:1) hybrid filler [33], (2) odor suppression: 71.6% reduction in crumb rubber modified asphalt emissions at 5 wt% loading [34], (3) aging resistance: 70% and 67% lower carbonyl index of styrene–butadiene–styrene (SBS)-modified asphalt after thermal and UV aging tests [35], (4) self-healing enhancement: 82.67% release of rejuvenator. Recent advances show ATT’s effectiveness in improving the aging and low- and high-temperature performance of PUAs [36]. Nevertheless, its application in CO-based polyurethane asphalt remains underexplored, particularly regarding phase compatibility and the bio-composite interfacial bonding mechanism.
In this study, fibrous ATT was used to reinforce CO-based PUAB. To achieve this goal, ATT was incorporated into CO to produce a masterbatch. Subsequently, the masterbatch was mixed with isophorone diisocyanate (IPDI) and bitumen to prepare bio-based PUAB. The cure kinetics and time-dependent rotational viscosity (RV) characteristics of the uncured PUAB/ATT composite were characterized by attenuated total reflectance Fourier-transform infrared (ATR-FTIR) spectroscopy and a Brookfield rotational viscometer. The mechanical performance, thermal stability, viscoelastic properties, and phase-separated microstructures of cured bio-based PUAB/ATT composites were investigated by a universal testing machine (UTM), thermogravimetric analysis (TGA), dynamic mechanical analysis (DMA), and laser scanning confocal microscopy (LSCM). Figure 1 illustrates the flow chart of the preparation and characterization of bio-based PUAB/ATT composites.
Figure 1. Flow chart of bio-based PUAB/ATT composite preparation and characterization.

2. Materials and Methods

2.1. Materials

Bitumen of a 60/80 penetration grade was sourced from China Offshore Bitumen (Taizhou) Co., Ltd. (Taizhou, China), with its key physicochemical characteristics detailed in Table 1. CO with a molecular weight of 928 g/mol and functionality of 2.7 was procured from Bide Pharmtech Co., Ltd. (Shanghai, China). IPDI (industrial grade) was obtained from Yantai Wanhua Polyurethanes Co., Ltd. (Yantai, China). Pristine ATT was provided by Jiangsu Golden Stone Attapulgite R&D Co., Ltd. (Huaian, China). Table 2 summarizes the chemical composition of ATT determined by X-ray fluorescence spectroscopy (XRF).
Table 1. Physicochemical characteristics of bitumen.
Table 2. Chemical composition of attapulgite.

2.2. Preparation of Bio-Based PUAB/ATT Composites

The fabrication protocol for bio-based PUAB/ATT composites comprised three sequential steps (Figure 2):
Figure 2. Schematic of the bio-based PUAB/ATT composite fabrication process.
(1)
Masterbatch preparation: CO and ATT were homogenized using an FM300 high-shear mixer (Fluko, Shanghai, China) (50 s−1, 60 °C, 20 min).
(2)
Reactive blending: Preheated bitumen (120 °C, 30 min) and IPDI were sequentially introduced into the masterbatch. The mixture was stirred under controlled conditions (3.3 s−1, 120 °C, 5 min).
(3)
Curing: The reactive composite was cast into a polytetrafluoroethylene (PTFE) mold (Φ 100 mm × 5 mm) and thermally cured (120 °C, 4 h) to achieve full crosslinking.
Based on our previous studies [25,43], the molar ratio of IPDI to CO was maintained at 1:1.2. The bitumen content in bio-based PUAB was 60 wt%. The ATT content in the composites was varied at 0.5, 1, and 2 wt%.

2.3. Methods

2.3.1. RV

Rotational viscosity was measured using an NDJ-1 Brookfield viscometer (Shanghai Changji Instrument Co., Ltd., Shanghai, China) as per ASTM D4402-06 [40]. Measurements employed spindle #18 at 120 °C and 0.8 s−1 shear rate, with continuous monitoring until reaching the critical viscosity of 5 Pa·s.

2.3.2. FTIR Spectroscopy

FTIR spectra were acquired using an FTIR spectrometer (Alpha, Bruker, Ettlingen, Germany) equipped with a single-reflection diamond ATR module. Data collection covered the 400−4000 cm−1 range at 8 cm−1 and 16 co-added scans. Curing monitoring was performed at 120 °C with 30 min intervals throughout the 240 min cure cycle.

2.3.3. DMA

The dynamic mechanical properties were measured in a tension mode using a 01 dB-Metravib DMA + 450 analyzer (Limonest, France). The samples (25 mm × 15 mm × 2.5 mm) were tested at 1 Hz oscillation frequency and 0.1% strain amplitude with a heating rate of 3 °C/min over −50 to 100 °C.

2.3.4. DSC

Differential scanning calorimetry was conducted using a Perkin-Elmer Pyris 1 instrument (Norwalk, CT, USA) with continuous argon purging (20 mL/min). Approximately 5 mg samples in sealed aluminum crucibles underwent five thermal treatment stages (Table 3).
Table 3. Heating and cooling stages for DSC measurements.

2.3.5. TGA

Thermal stability was evaluated using a Mettler Toledo TGA/DSC1 instrument (Zurich, Switzerland) under a continuous nitrogen atmosphere (20 mL/min). Samples (~10 mg) in alumina crucibles were heated at 20 °C/min from 50 °C to 600 °C.

2.3.6. LSCM

Phase-separated microstructures were observed using a Zeiss LSM710 confocal microscope (Jena, Germany) equipped with an argon-ion excitation source (488 nm). The samples were prepared as follows: The uncured bio-based PUAB/ATT mixture was deposited onto a preheated glass slide on a 120 °C hot stage. A coverslip was placed over the droplet and gently pressed to form a uniform film. The assembly was thermally cured (120 °C, 4 h).
Image-Pro Plus 6.0 was used to analyze the particle size distributions and average diameters, calculated by Equations (1) and (2):
D n = Σ n i D i Σ n i
D w = Σ n i D i 2 Σ n i D i
where ni denotes the count of domains with diameter Di.

2.3.7. Uniaxial Tensile Testing

Mechanical performance was evaluated using an AGX-10kNVD UTM (Shimadzu, Kyoto, Japan) equipped with a 10 kN load cell. Following ASTM D638 Type V specifications [44], five dog-bone-shaped specimens were measured at a crosshead speed of 200 mm/min. The average values with their standard deviations were presented to ensure experimental repeatability.

3. Results and Discussion

3.1. Structural Characterization

Figure 3 demonstrates the FTIR spectra of the raw materials for bio-based PUAB/ATT composites; corresponding characteristic peak assignments are summarized in Table 4. In the high wavenumber region (3800−3400 cm−1) of the ATT spectrum (Figure 3a), the peaks at 3615, 3586, and 3550 cm−1 are attributed to −OH stretching vibrations of Al–Al–OH, Al-Fe-OH, and bound water, respectively [45]. In the low wavenumber range (1700−500 cm−1), the 1653 cm−1 band corresponds to the bending vibration of bond water [46]. The 1195 cm−1 band is associated with Si–O–Si stretching vibration. The sharp peak at 973 cm−1 is associated with metal−OH (M–OH) deformation [47]. Peaks at 800, 645, and 581 cm−1 are assigned to correspond to Si–O–Si symmetric stretching vibration (quartz), H2O–Mg–H2O stretching vibrations, and AlO6 octahedron vibrations, respectively [48].
Figure 3. FTIR spectra of ATT (a), bitumen, CO, and IPDI (b).
Table 4. Vibration assignments of FTIR spectra for PUAB, PUAB/ATT composites, and their raw materials.
As shown in Figure 3b, peaks at 1603, 866, and 814 cm−1 in the bitumen spectrum correspond to aromatic ring vibrations. Additional peaks at 1460 cm−1 (–CH2– scissoring vibration), 1380 cm−1 (–CH3 umbrella vibration), and 720 cm−1 (rocking vibration of –(CH2)n–, where n ≥ 4) indicate aliphatic structures [49].
The broad peak near 3424 cm−1 in the CO spectrum is assigned to –OH stretching vibrations. Peaks at 2924 cm−1 (asymmetric) and 2858 cm−1 (symmetric) are characteristic of C–H stretching in –CH2 groups, whereas peaks at 1749 cm−1 (C=O stretching) and 1166 cm−1 (C–O–C stretching) confirm ester functionalities [50].
The sharp peak at 2247 cm−1 in the IPDI spectrum indicates –NCO groups, while bands at 1463 cm−1 (–CH– deformation) and 1366 cm−1 (–CH2 bending) further validate aliphatic structures [51].
Figure 4 presents the FTIR spectra of cured PUAB and its ATT composites. The significant decrease in intensity of the –NCO peak at 2264 cm−1 in PUAB indicates the reaction between –NCO groups (IPDI) and −OH groups (CO), forming urethane linkages (–NH–CO–O). Characteristic absorption bands at 3356, 1712, 1511, and 772 cm−1 are attributed to –NH stretching, amide I: C=O stretching, N–H in-plane bending, and N–H out-of-plane bending, respectively. These confirm polyurethane network formation [52]. In PUAB/ATT composites, hydroxyl-related peaks (3615, 3586, 3550, 1653, and 973 cm−1) disappear due to reactions with IPDI’s –NCO groups.
Figure 4. FTIR spectra of cured bio-based PUAB and PUAB/ATT composites.

3.2. Cure Behavior

Figure 5 displays FTIR spectra tracking curing progression for bio-based PUAB and its ATT composites. The continuous decrease in intensity of the –NCO stretching band at 2264 cm−1 confirms ongoing polyaddition between isocyanates and polyols [53]. After 4 h of curing, a low-intensity –NCO band remains detectable, indicating incomplete reaction.
Figure 5. FTIR spectra of bio-based PUAB and PUAB/ATT composites during 120 °C curing.
To quantitatively evaluate ATT’s effect on the cure kinetics of bio-based PUAB, conversion was calculated using Equation (3):
α = 1 A N C O , t / A R , t A N C O , 0 / A R , 0 × 100 %
where
  • ANCO,0 and ANCO,t = absorbance of the –NCO peak (2264 cm−1) at initial time (t0) and time t;
  • AR,0 and AR,t = absorbance of the internal reference peak (2924 cm−1) at corresponding times.
Figure 6 illustrates the conversion of bio-based PUAB and its ATT composites during curing at 120 °C. Prior to 210 min, ATT composites exhibit higher conversions than bio-based PUAB, suggesting a catalytic acceleration of the isocyanate–polyol polyaddition by hydroxyl groups of attapulgite. Beyond 210 min, ATT’s influence becomes negligible except at 2 wt% loading. Conversion consistently increases with ATT loading across all composites. As summarized in Table 5, after 4 h curing at 120 °C, bio-based PUAB and its ATT composite (<1 wt%) achieve ~92.0% conversion, while the 2 wt% ATT composite reaches 94.6%. These values indicate insufficient conversion due to either kinetic limitations or reactant depletion.
Figure 6. Conversion as a function of time for bio-based PUAB and PUAB/ATT composites at 120 °C.
Table 5. Conversions of bio-based PUAB and PUAB/ATT composites after 240 min curing.

3.3. Time-Dependent Rotational Viscosity Behavior

Similar to other thermosetting-polymer-modified asphalts, bio-based PUAB exhibits both temperature- and time-dependent rotational viscosity due to reactions between −NCO groups in IPDI and −OH groups in CO [25]. Consequently, the reactivity of the PU system must be precisely controlled to prevent excessive viscosity buildup that would shorten the paving window and compromise compaction quality. Figure 7 illustrates the rotational viscosity versus curing time for bio-based PUAB and its ATT composites at 120 °C. The rotational viscosity of neat PUAB progressively increases with curing time, attributed to the polyaddition reaction between isocyanate and polyol components. Within the initial 10 min period, ATT exhibits minimal influence on the rotational viscosity of neat PUAB. However, between 10 and 20 min curing, the ATT composites display higher viscosity values compared to neat PUAB, resulting from the catalytic activity of hydroxyl groups present in the attapulgite structure as discussed in Section 3.1 (Figure 3a). Notably, the relationship between ATT content and composite viscosity is nonlinear. After 20 min of curing, the composites demonstrate lower viscosity than neat PUAB, with the viscosity value decreasing proportionally with increasing ATT loading. The retarding effect of ATT is attributed to its thixotropic and non-Newtonian behavior [29]. A similar influence has been observed in warm-mix epoxy asphalt binder (WEAB) and bond coat composites [43,54].
Figure 7. Rotational viscosity over time for bio-based PUAB and PUAB/ATT composites at 120 °C.
In contrast to its catalytic effect on the polyaddition reaction (Figure 6), ATT incorporation delays the viscosity increase of neat PUAB (Figure 7), indicating competitive dynamics between catalytic and retarding effects during curing. Crucially, the high bitumen content (60 wt%) in PUAB substantially dilutes the polyurethane polyaddition reaction, enabling the retarding effect to dominate over catalysis.
According to the Strategic Highway Research Program (SHRP) [55], the maximum viscosity of bitumen should not exceed 3 Pa·s. For WEAB, the time to reach viscosities of 1 and 3 Pa·s defines the lower limit of reserved time (prior to paving and compaction) and the upper limit of allowable construction time (during paving and compaction) [56]. As shown in Table 6, ATT composites exhibit longer times to reach these viscosities compared to neat PUAB, indicating extended allowable construction time due to the incorporation of attapulgite. Additionally, the allowable construction time of PUAB/ATT composites progressively increases with higher ATT content. With the addition of 0.5−2 wt% ATT, the time for bio-based PUAB to reach 1 Pa·s rises from 60 min to 63, 68, and 69 min and to reach 3 Pa·s from 90 min to 96, 101, and 105 min.
Table 6. Time to reach 1 and 3 Pa·s for the rotational viscosity of bio-based PUAB and PUAB/ATT composites.

3.4. Phase-Separated Morphology

Figure 8 demonstrates LSCM micrographs of cured bio-based PUAB and its ATT composites. Because of the immiscibility between bitumen and crosslinked thermosetting polymers, phase separation inevitably occurs in thermosetting-polymer-modified asphalt [57]. Moreover, the resulting morphology is determined by the bitumen-to-thermosetting polymer mass ratio [58]. Despite the high bitumen content (60 wt% or 61.7 vol.%), bio-based PU forms the continuous phase (yellow), while irregularly shaped spherical bitumen particles (black) are dispersed in the continuous PU phase. The incorporation significantly reduces the size of bitumen particles dispersed in the continuous PU phase.
Figure 8. LSCM micrographs of bio-based PUAB and PUAB/ATT composites.
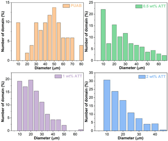
Figure 9 presents particle size distributions of bitumen particles in bio-based PUAB and its ATT composites. The size of bitumen particles in neat PUAB is primarily distributed between 20 and 70 µm. In the ATT composites, the distribution shifts significantly toward smaller sizes, specifically ranging from 10 to 60 µm, 10 to 50 µm, and 10 to 40 µm with increasing clay loading.
Figure 9. Particle size distribution of bitumen domains in bio-based PUAB and PUAB/ATT composites.
Table 7 summarizes the average diameters and dispersity (Ɖ, defined as the ratio of Dw to Dn) of bitumen particles in cured bio-based PUAB and its ATT composites. The results demonstrate that ATT incorporation significantly reduces the average particle diameters in bio-based PUAB. Furthermore, the average diameter of bitumen particles in ATT composites shows a decreasing trend with increasing clay loading. Specifically, with 2 wt% ATT addition, the Dn and Dw values decrease from 41.4 to 15.8 µm and from 50.7 to 21.6 µm, respectively. ATT incorporation also increases the dispersity of bio-based PUAB, suggesting a more heterogeneous distribution of bitumen particles in the composites compared to neat PUAB. Notably, the dispersity of ATT composites displays a nonlinear dependence on clay content.
Table 7. Average diameters and dispersity of bitumen domains in cured bio-based PUAB and PUAB/ATT composites.
The reduction in bitumen particle size is attributed to the compatibilizing effect of the fibrous clay [59]. The phase separation of polymer blends is due to high interfacial tension between components. Additionally, phase-separated particles may tend to coalesce, resulting in large particle sizes for dispersed domains [60]. The high interfacial tension between polymer components in blends can be reduced by adding interfacial agents, known as compatibilizers. These molecules localize at the interface between phases, reducing interfacial tension and thereby enhancing blend compatibility. Uncured PUAB forms a homogeneous mixture due to the favorable compatibility between castor oil and bitumen. However, chemical reactions of isocyanate (from IPDI) and hydroxyl groups (from CO) generate crosslinking networks within PUAB. This progressively disrupts the castor oil and bitumen compatibility and amplifies interfacial tension between polyurethane and bitumen, ultimately triggering phase separation in the system. In PUAB composites, ATT plays three primary roles in the phase separation process of bio-based PUAB [61]: (1) reducing interfacial tension, which promotes droplet breakup during curing; (2) inhibiting droplet coalescence, thereby stabilizing the morphology of the polymer blend; (3) reacting with compounds containing carboxylic acid in bitumen, enhancing interfacial bonding while restricting droplet growth.

3.5. Dynamic Mechanical Properties

Figure 10 illustrates storage modulus (E′) and loss modulus (E″) as functions of temperature for bio-based PUAB and its ATT composites. The influence of ATT on the dynamic modulus of bio-based PUAB can be divided into three distinct regions: (1) −50−0 °C, where the 0.5 wt% ATT composite exhibits higher E′ and E″ than neat PUAB, while other composites show nearly identical E′ and E″ values to neat PUAB; (2) 0−15 °C, where both bio-based PUAB and its ATT composites demonstrate comparable E′ and E″ values; (3) 15−100 °C, where all ATT composites display superior E′ and E″ values compared to neat PUAB.
Figure 10. Storage modulus (a) and loss modulus versus temperature (b) of bio-based PUAB and PUAB/ATT composites.
The Tgs of neat PUAB and its ATT composites were determined from the peak maxima of the E″ and tan δ curves in Figure 10b and Figure 11a. As shown in Table 8, the incorporation of ATT slightly lowers the Tg of neat PUAB. However, the Tg of ATT composites shows a nonlinear relationship with clay loading. Similar trends are also observed in the tan δ–temperature and DSC curves (Figure 11). Sun et al. [43] reported that ATT incorporation slightly reduces the Tg of WEAB. Notably, due to crosslinking networks, the DSC-measured Tg values of PUAB and its ATT composites are significantly higher than the Tg of neat bitumen (−26.0 °C) [58].
Figure 11. Damping factor–temperature (a) and DSC curves (b) of bio-based PUAB and PUAB/ATT composites.
Table 8. Tgs and crosslinking densities of bio-based PUAB and PUAB/ATT composites.
It is well established that the Tg of polymers is dependent on crosslinking density (νe), calculated via Equation (4):
ν e = E T 3 R T
where R = gas constant. T = rubbery-state temperature at (Tg + 40 K). E’T = rubbery-state storage. As Table 8 demonstrates, 2 wt% ATT loading reduces νe in neat PUAB, whereas the addition of 0.5 wt% and 1 wt% ATT increases it. Additionally, the νe in ATT-modified PUAB decreases progressively with higher ATT loading. This observed Tg reduction could be attributed to two main factors: (1) the presence of moisture and excessive hydroxyl/organic groups in pristine ATT, which hinders effective interfacial interaction between polyurethane and attapulgite [62], and (2) the plasticizing effect of moisture, which simultaneously decreases both the Tg and mechanical strength of polyurethane [63]. Notably, this reduction in Tg enhances the low-temperature performance of bio-based PUAB [64]. However, thermal treatment and purification of ATT enhance the Tg of the polyurethane matrix [65,66].

3.6. Damping Properties

As depicted in Table 9, neat PUAB demonstrates a maximum tan δ ((tan δ)max) of 1.06. The effective damping range (ΔT), defined as the interval where tan δ > 0.3, reaches 59.8 °C, while the integrated area under the tan δ−temperature curve (TA) measures 41.8 K. Although ATT incorporation reduces (tan δ)max of neat PUAB, it shows minimal impact on ΔT and TA values, suggesting a moderate reduction in damping ability. Importantly, even with increasing ATT content, the 2 wt% ATT composite maintains a substantial (tan δ)max of 0.93, demonstrating that the ATT-modified composites retain satisfactory damping performance.
Table 9. Damping parameters of bio-based PUAB and PUAB/ATT composites.

3.7. Thermal Stability

The thermal decomposition behavior of pristine ATT was characterized by TGA and derivative thermogravimetry (DTG), as shown in Figure 12. For pristine ATT, the decomposition occurs in three distinct stages: the initial stage (20−110 °C, 5.1% weight loss), evolution of physically adsorbed water molecules; the intermediate stage (110−240 °C, 3.7% weight loss), loss of both zeolitic and hygroscopic water [67]; and the final stage (240−540 °C, 5.9% weight loss), dehydroxylation of structural hydroxyl groups.
Figure 12. TGA (a) and DTG (b) curves of ATT.
The thermal decomposition of bio-based PUAB and its ATT composites differs markedly from pristine ATT, occurring in two primary stages (Figure 13): Stage I (250−360 °C, 26.1% weight loss), dissociation/reassociation of urethane linkages and thermal breakdown of bitumen’s low-molecular-weight saturates, aromatics, and resin fractions [68], and Stage II (360−540 °C, 61.4% weight loss), degradation of CO and residual polymer fragments from bio-based PUAB, concurrent with decomposition of bitumen’s asphaltene components [69].
Figure 13. TGA (a) and DTG (b) curves of bio-based PUAB and PUAB/ATT composites.
Table 10 demonstrates the thermal characteristics of pristine ATT, bio-based PUAB, and PUAB/ATT composites obtained from TGA and DTG analysis. The initial decomposition temperature (Ti), corresponding to 5% weight loss, measures 93.4 °C for pristine ATT, significantly lower than 317.4 °C. Incorporation of ATT moderately reduces the Ti of neat PUAB, though composite Ti values exhibit an increasing trend with attapulgite loading.
Table 10. TGA and DTG parameters for ATT, bio-based PUAB, and PUAB/ATT composites.
Pristine ATT shows two distinct decomposition peaks at 74.5 °C (T1dmax) and 119.4 °C (T2dmax), attributed to physically adsorbed water molecules, zeolitic water, and hygroscopic water. These peaks, along with the T3dmax peak from hydroxyl groups, disappear in the composite DTG curves due to the polyaddition reaction between isocyanate groups (PU) and hydroxyl groups (ATT). While ATT addition negligibly affects the T1dmax of neat PUAB, it causes a slight elevation in T2dmax. The relationship between ATT loading and decomposition temperatures (T1dmax and T2dmax) follows a nonlinear pattern (Table 10).
The char residue at 600 °C increases from 9.1% (neat PUAB) to higher values with ATT incorporation, showing progressive enhancement at greater clay loading.

3.8. Mechanical Properties

Figure 14 demonstrates the mechanical properties of bio-based PUAB and its ATT composites. As illustrated in Figure 14a, the tensile strength of neat PUAB (1.50 ± 0.19 MPa) increases by 58% and 71% with the addition of 0.5 and 1 wt% ATT, respectively. However, at 2 wt% ATT, the tensile strength decreases. Variations in the tensile strength of neat PUAB with ATT loading correlate directly with corresponding changes in crosslinking density, as quantified in Table 8. In contrast, ATT incorporation slightly reduces the elongation at break of neat PUAB, though all composites maintain high elongation (>400%). Mechanical properties of ATT composites with 0.5 and 1 wt% ATT satisfy the specification for thermosetting-polymer-modified asphalt (tensile strength ≥ 1.50 MPa and elongation at break ≥ 200%) [26].
Figure 14. Tensile strength, elongation at break (a), and toughness (b) of bio-based PUAB and PUAB/ATT composites.
Tensile toughness (τ) is defined as the area under the stress (σ) versus strain (ε) curve, calculated using Equation (5). This integral represents the energy per unit volume required to fracture the material.
τ = 0 ε b σ d ε
where εb denotes the elongation at break. Similar to tensile strength, the incorporation of 0.5 and 1 wt% ATT improves the toughness of neat PUAB by 27% and 62%, respectively, whereas the 2 wt% loading reduces toughness. Notably, toughness improvement with 0.5 wt% and 1 wt% ATT loadings is limited compared to tensile strength enhancement, attributed to a slight reduction in elongation at break.
These significant improvements in the tensile strength and toughness are attributed to (1) the compatibilizing effect of ATT, which reduces interfacial tension between bitumen and polyurethane, leading to decreased bitumen particle size (Section 3.4), and (2) interaction between isocyanate groups in PU and hydroxyl groups in ATT (Section 3.1).However, ATT’s high surface energy promotes aggregation at higher loading (2 wt%), resulting in a significant reduction in tensile strength and toughness of bio-based PUAB [30].

4. Conclusions

Fibrous attapulgite was employed to enhance the mechanical properties of castor oil-derived bio-based polyurethane asphalt binder. The key findings are summarized below:
  • FTIR spectroscopy confirms the reaction between isocyanate groups in PU and hydroxyl groups in ATT, which accelerates the conversion of the polyaddition reaction in PUAB.
  • The addition of ATT reduces the rotational viscosity of bio-based PUAB during curing, thereby extending the allowable construction time. This viscosity reduction becomes more pronounced with increasing clay content.
  • ATT decreases the bitumen particle size within the continuous polyurethane phase, with further reduction observed at higher clay loadings.
  • While ATT incorporation slightly lowers both the glass transition temperature and damping properties of bio-based PUAB, it simultaneously enhances the material’s thermal stability.
  • At loadings of 0.5 and 1 wt%, ATT significantly improves the tensile strength and toughness of bio-based PUAB, with only a marginal decrease in elongation at break.
Considering the combined effects on time-dependent rotational viscosity behavior, glass transition temperature, damping capability, thermal stability, and mechanical properties, 1 wt% ATT represents the optimum concentration for reinforcing bio-based PUAB.

Author Contributions

Conceptualization, H.Y. and H.X.; methodology, Z.X., Z.Y. and J.C.; validation, H.Y. and X.C.; formal analysis, S.C.; investigation, H.Y.; resources, H.X.; data curation, H.Y.; writing—original draft preparation, H.Y. and H.X.; writing—review and editing, H.X.; visualization, H.X.; supervision, H.X. and J.Z.; project administration, H.X.; funding acquisition, H.X. All authors have read and agreed to the published version of the manuscript.

Funding

This research received no external funding.

Institutional Review Board Statement

Not applicable.

Data Availability Statement

All data are available in the manuscript.

Conflicts of Interest

The authors declare no conflicts of interest.

References

  1. Plastics Europe. Plastics—The Facts 2024. Analysis of European Latest Plastics Production, Demand and Waste Data; Plastics Europe: Brussels, Belgium, 2024. [Google Scholar]
  2. Engels, H.-W.; Pirkl, H.-G.; Albers, R.; Albach, R.W.; Krause, J.; Hoffmann, A.; Casselmann, H.; Dormish, J. Polyurethanes: Versatile materials and sustainable problem solvers for today’s challenges. Angew. Chem. Int. Ed. 2013, 52, 9422–9441. [Google Scholar] [CrossRef]
  3. Somarathna, H.M.C.C.; Raman, S.N.; Mohotti, D.; Mutalib, A.A.; Badri, K.H. The use of polyurethane for structural and infrastructural engineering applications: A state-of-the-art review. Constr. Build. Mater. 2018, 190, 995–1014. [Google Scholar] [CrossRef]
  4. Akindoyo, J.O.; Beg, M.D.H.; Ghazali, S.; Islam, M.R.; Jeyaratnam, N.; Yuvaraj, A.R. Polyurethane types, synthesis and applications—A review. RSC Adv. 2016, 6, 114453–114482. [Google Scholar] [CrossRef]
  5. Cong, P.; Liu, C.; Han, Z.; Zhao, Y. A comprehensive review on polyurethane modified asphalt: Mechanism, characterization and prospect. J. Road Eng. 2023, 3, 315–335. [Google Scholar] [CrossRef]
  6. Wu, C.; Yang, H.; Cui, X.; Chen, Y.; Xi, Z.; Cai, J.; Zhang, J.; Xie, H. Performance and morphology of waterborne polyurethane asphalt in the vicinity of phase inversion. Materials 2024, 17, 3368. [Google Scholar] [CrossRef]
  7. Zhang, Z.; Liu, H.; Ban, X.; Liu, X.; Guo, Y.; Sun, J.; Liu, Y.; Zhang, S.; Lei, J. Thermosetting resin modified asphalt: A comprehensive review. J. Traffic Transp. Eng. (Engl. Ed.) 2023, 10, 1001–1036. [Google Scholar] [CrossRef]
  8. Sun, M.; Jing, S.; Wu, H.; Zhong, J.; Yang, Y.; Zhu, Y.; Xu, Q. Preparation scheme optimization of thermosetting polyurethane modified asphalt. Polymers 2023, 15, 2327. [Google Scholar] [CrossRef]
  9. Li, Z.; Yang, F.; Yuan, J.; Cong, L.; Yu, M. Study on preparation and pavement performance of polyurethane modified asphalt based on in-situ synthesis method. Constr. Build. Mater. 2021, 309, 125196. [Google Scholar] [CrossRef]
  10. Xie, H.; Li, C.; Wang, Q. A critical review on performance and phase separation of thermosetting epoxy asphalt binders and bond coats. Constr. Build. Mater. 2022, 326, 126792. [Google Scholar] [CrossRef]
  11. Zhang, Z.; Sun, J.; Wang, L.; Zhu, Y.; Liu, H.; Huang, T.; Huang, Z. Laboratory investigation of PPG-TDI polyurethane–modified asphalt binders and mixtures. J. Mater. Civ. Eng. 2022, 34, 04022217. [Google Scholar] [CrossRef]
  12. Zhang, Z.; Sun, J.; Jia, M.; Qi, B.; Zhang, H.; Lv, W.; Mao, Z.; Chang, P.; Peng, J.; Liu, Y. Study on a thermosetting polyurethane modified asphalt suitable for bridge deck pavements: Formula and properties. Constr. Build. Mater. 2020, 241, 118122. [Google Scholar] [CrossRef]
  13. George, J.S.; Uthaman, A.; Reghunadhan, A.; Mayookh Lal, H.; Thomas, S.; Vijayan P, P. Bioderived thermosetting polymers and their nanocomposites: Current trends and future outlook. Emergent Mater. 2022, 5, 3–27. [Google Scholar] [CrossRef]
  14. Garrison, T.F.; Murawski, A.; Quirino, R.L. Bio-based polymers with potential for biodegradability. Polymers 2016, 8, 262. [Google Scholar] [CrossRef]
  15. Li, Y.; Luo, X.; Hu, S. Bio-Based Polyols and Polyurethanes; Springer: Cham, Switzerland, 2015. [Google Scholar]
  16. Kaur, R.; Singh, P.; Tanwar, S.; Varshney, G.; Yadav, S. Assessment of bio-based polyurethanes: Perspective on applications and bio-degradation. Macromol 2022, 2, 284–314. [Google Scholar] [CrossRef]
  17. Vahabi, H.; Rastin, H.; Movahedifar, E.; Antoun, K.; Brosse, N.; Saeb, M.R. Flame retardancy of bio-based polyurethanes: Opportunities and challenges. Polymers 2020, 12, 1234. [Google Scholar] [CrossRef] [PubMed]
  18. Xie, H.; Li, C.; Wang, Q. Thermosetting polymer modified asphalts: Current status and challenges. Polym. Rev. 2024, 64, 690–759. [Google Scholar] [CrossRef]
  19. Cao, Z.; Hao, Q.; Xu, S.; Han, X.; Yi, J.; Sun, G. Preparation and performance evaluation of bio–based polyurethane modified asphalt binders: Towards greener and more sustainable asphalt modifier. Constr. Build. Mater. 2025, 476, 141209. [Google Scholar] [CrossRef]
  20. Han, B.; Xing, Y.; Li, C. Investigation on dynamic and static modulus and creep of bio-based polyurethane-modified asphalt mixture. Polymers 2025, 17, 359. [Google Scholar] [CrossRef]
  21. Xia, L.; Cao, D.; Zhang, H. Rheological and aging properties of vegetable oil-based polyurethane (V-PU) modified asphalt. Polymers 2023, 15, 2158. [Google Scholar] [CrossRef]
  22. Cuadri, A.A.; García-Morales, M.; Navarro, F.J.; Partal, P. Isocyanate-functionalized castor oil as a novel bitumen modifier. Chem. Eng. Sci. 2013, 97, 320–327. [Google Scholar] [CrossRef]
  23. Kazemi, M.; Karimi, A.; Goli, A.; Hajikarimi, P.; Mohammadi, A.; Doctorsafaei, A.; Fini, E. Biobased polyurethane: A sustainable asphalt modifier with improved moisture resistance. J. Mater. Civ. Eng. 2024, 36, 04023505. [Google Scholar] [CrossRef]
  24. An, X.-P.; Chen, J.-H.; Li, Y.-D.; Zhu, J.; Zeng, J.-B. Rational design of sustainable polyurethanes from castor oil: Towards simultaneous reinforcement and toughening. Sci. China Mater. 2018, 61, 993–1000. [Google Scholar] [CrossRef]
  25. Yang, H.; Cao, S.; Wu, C.; Xi, Z.; Cai, J.; Yuan, Z.; Zhang, J.; Xie, H. Bio-based polyurethane asphalt binder with continuous polymer-phase structure: Critical role of isocyanate index in governing thermomechanical performance and phase morphology. Molecules 2025, 30, 2466. [Google Scholar] [CrossRef] [PubMed]
  26. GB/T 30598; General Specifications of Epoxy Asphalt Materials for Paving Roads and Bridges. National Standards of People’s Republic of China: Beijing, China, 2014.
  27. Xie, D.-M.; Lu, D.-X.; Zhao, X.-L.; Li, Y.-D.; Zeng, J.-B. Sustainable and malleable polyurethane networks from castor oil and vanillin with tunable mechanical properties. Ind. Crops Prod. 2021, 174, 114198. [Google Scholar] [CrossRef]
  28. Meng, Y.; Zhan, L.; Hu, C.; Tang, Y.; Großegger, D.; Ye, X. Research on modification mechanism and performance of an innovative bio-based polyurethane modified asphalt: A sustainable way to reducing dependence on petroleum asphalt. Constr. Build. Mater. 2022, 350, 128830. [Google Scholar] [CrossRef]
  29. Haden, W.L.; Schwint, I.A. Attapulgite: Its properties and applications. Ind. Eng. Chem. 1967, 59, 58–69. [Google Scholar] [CrossRef]
  30. Wang, W.; Wang, A. Recent progress in dispersion of palygorskite crystal bundles for nanocomposites. Appl. Clay Sci. 2016, 119, 18–30. [Google Scholar] [CrossRef]
  31. Xu, H.; Ali, M.; Wu, B.; Shi, H.; Gu, S.; Han, E.-H. Anticorrosive behavior of polyurethane coating containing hybrid attapulgite pigment. Prog. Org. Coat. 2025, 200, 109035. [Google Scholar] [CrossRef]
  32. Dong, K.; Qiu, F.; Guo, X.; Xu, J.; Yang, D.; He, K. Polyurethane–attapulgite porous material: Preparation, characterization, and application for dye adsorption. J. Appl. Polym. Sci. 2013, 129, 1697–1706. [Google Scholar] [CrossRef]
  33. Wang, H.; Liu, Q.; Wu, S.; Lv, Y.; Wan, P.; Gong, X.; Liu, G. Study of synergistic effect of diatomite and modified attapulgite on reducing asphalt volatile organic compounds emission. Constr. Build. Mater. 2023, 400, 132827. [Google Scholar] [CrossRef]
  34. Wei, J.; Su, C.; Tang, N.; Geng, X.; Huang, W.; Zhu, H. Tracing the odor source of crumb rubber modified asphalt emissions and evaluating the deodorization effect of attapulgite. Constr. Build. Mater. 2024, 443, 137561. [Google Scholar] [CrossRef]
  35. Zeng, S.; Gong, X.; Han, X.; Xu, S.; Xu, J.; Li, X.; Yu, J. Effect of organic attapulgite on properties of SBS modified asphalt waterproofing membranes. Constr. Build. Mater. 2022, 360, 129606. [Google Scholar] [CrossRef]
  36. Zhang, Z.; Wei, Y.; Liu, X.; Guo, Y.; Liu, H.; Sun, J.; Yu, X.; Kan, S. Combined modification of asphalt with organic attapulgite (OATT) and polyurethane (PU): Preparation, properties and modification mechanisms. Constr. Build. Mater. 2023, 406, 133435. [Google Scholar] [CrossRef]
  37. ASTM D5-20; Standard Test Method for Penetration of Bituminous Materials. ASTM International: West Conshohocken, PA, USA, 2020.
  38. ASTM ASTM D113-17; Standard Test Method for Ductility of Bituminous Materials. ASTM International: West Conshohocken, PA, USA, 2017.
  39. ASTM ASTM D36-06; Standard Test Method for Softening Point of Bitumen (Ring-and-Ball Apparatus). ASTM International: West Conshohocken, PA, USA, 2006.
  40. ASTM ASTM D4402-06; Standard Test Method for Viscosity Determination of Asphalt at Elevated Temperatures Using a Rotational Viscometer. ASTM International: West Conshohocken, PA, USA, 2006.
  41. ASTM ASTM D3344-90R21; Standard Test Method for Total Wax Content of Corrugated Paperboard. ASTM International: West Conshohocken, PA, USA, 2021.
  42. ASTM ASTM D4124-09R18; Standard Test Method for Separation of Asphalt into Four Fractions. ASTM International: West Conshohocken, PA, USA, 2018.
  43. Sun, Y.; Zhang, Y.; Xu, K.; Xu, W.; Yu, D.; Zhu, L.; Xie, H.; Cheng, R. Thermal, mechanical properties, and low-temperature performance of fibrous nanoclay-reinforced epoxy asphalt composites and their concretes. J. Appl. Polym. Sci. 2015, 132, 41694. [Google Scholar] [CrossRef]
  44. ASTM D638-20; Test Method for Tensile Properties of Plastics. ASTM International: West Conshohocken, PA, USA, 2022.
  45. Suárez, M.; García-Romero, E. FTIR spectroscopic study of palygorskite: Influence of the composition of the octahedral sheet. Appl. Clay Sci. 2006, 31, 154–163. [Google Scholar] [CrossRef]
  46. Frost, R.L.; Cash, G.A.; Kloprogge, J.T. `Rocky Mountain leather’, sepiolite and attapulgite—An infrared emission spectroscopic study. Vib. Spectrosc. 1998, 16, 173–184. [Google Scholar] [CrossRef]
  47. Frost, R.L.; Locos, O.B.; Ruan, H.; Kloprogge, J.T. Near-infrared and mid-infrared spectroscopic study of sepiolites and palygorskites. Vib. Spectrosc. 2001, 27, 1–13. [Google Scholar] [CrossRef]
  48. Yan, W.; Liu, D.; Tan, D.; Yuan, P.; Chen, M. FTIR spectroscopy study of the structure changes of palygorskite under heating. Spectrochim. Acta Part. A 2012, 97, 1052–1057. [Google Scholar] [CrossRef]
  49. Feng, Z.-G.; Bian, H.-J.; Li, X.-J.; Yu, J.-Y. FTIR analysis of UV aging on bitumen and its fractions. Mater. Struct. 2016, 49, 1381–1389. [Google Scholar] [CrossRef]
  50. Sardari, A.; Sabbagh Alvani, A.A.; Ghaffarian, S.R. Castor oil-derived water-based polyurethane coatings: Structure manipulation for property enhancement. Prog. Org. Coat. 2019, 133, 198–205. [Google Scholar] [CrossRef]
  51. Duan, S.; Hu, J.; Cui, J.; Chen, Y.; Ma, T.; Wu, X. Acrylate composite polyurethane binder for steel bridge deck pavements: Process optimization by response surface methodology and microanalysis. J. Appl. Polym. Sci. 2024, 141, e55228. [Google Scholar] [CrossRef]
  52. Gurunathan, T.; Mohanty, S.; Nayak, S.K. Isocyanate terminated castor oil-based polyurethane prepolymer: Synthesis and characterization. Prog. Org. Coat. 2015, 80, 39–48. [Google Scholar] [CrossRef]
  53. Nies, C.; Fug, F.; Otto, C.; Possart, W. Adhesion of polyurethanes on native metal surfaces—Stability and the role of urea-like species. Int. J. Adhes. Adhes. 2014, 52, 19–25. [Google Scholar] [CrossRef]
  54. Sun, Y.; Liu, Y.; Jiang, Y.; Xu, K.; Xi, Z.; Xie, H. Thermal and mechanical properties of natural fibrous nanoclay reinforced epoxy asphalt adhesives. Int. J. Adhes. Adhes. 2018, 85, 308–314. [Google Scholar] [CrossRef]
  55. Asphalt Institute. Performance Graded Asphalt Binder Specification and Testing Superpave; Asphalt Institute: Lexington, KY, USA, 2003. [Google Scholar]
  56. Huang, W.; Guo, W.; Wei, Y. Prediction of paving performance for epoxy asphalt mixture by its time- and temperature-dependent properties. J. Mater. Civ. Eng. 2020, 32, 04020017. [Google Scholar] [CrossRef]
  57. Wu, C.; Jing, F.; Yang, H.; Li, C.; Xi, Z.; Cai, J.; Wang, Q.; Xie, H. Epoxy asphalt binder reinforced with waste polyethylene terephthalate (PET) for improving toughness. Int. J. Pavement Eng. 2024, 25, 2400547. [Google Scholar] [CrossRef]
  58. Wu, C.; Yang, H.; Cui, X.; Cai, J.; Yuan, Z.; Zhang, J.; Xie, H. Thermo-mechanical properties and phase-separated morphology of warm-mix epoxy asphalt binders with different epoxy resin concentrations. Molecules 2024, 29, 3251. [Google Scholar] [CrossRef] [PubMed]
  59. Taguet, A.; Cassagnau, P.; Lopez-Cuesta, J.M. Structuration, selective dispersion and compatibilizing effect of (nano)fillers in polymer blends. Prog. Polym. Sci. 2014, 39, 1526–1563. [Google Scholar] [CrossRef]
  60. Ajitha, A.R.; Thomas, S. Introduction: Polymer blends, thermodynamics, miscibility, phase separation, and compatibilization. In Compatibilization of Polymer Blends; Ajitha, A.R., Thomas, S., Eds.; Elsevier: Amsterdam, The Netherlands, 2020; pp. 1–29. [Google Scholar]
  61. Robeson, L.M. Polymer Blends a Comprehensive Review; Hanser Publishers: München, Germany, 2007. [Google Scholar]
  62. Xu, B.; Huang, W.M.; Pei, Y.T.; Chen, Z.G.; Kraft, A.; Reuben, R.; De Hosson, J.T.M.; Fu, Y.Q. Mechanical properties of attapulgite clay reinforced polyurethane shape-memory nanocomposites. Eur. Polym. J. 2009, 45, 1904–1911. [Google Scholar] [CrossRef]
  63. Yang, B.; Min Huang, W.; Li, C.; Hoe Chor, J. Effects of moisture on the glass transition temperature of polyurethane shape memory polymer filled with nano-carbon powder. Eur. Polym. J. 2005, 41, 1123–1128. [Google Scholar] [CrossRef]
  64. Lei, Z.; Bahia, H.; Yi-qiu, T. Effect of bio-based and refined waste oil modifiers on low temperature performance of asphalt binders. Constr. Build. Mater. 2015, 86, 95–100. [Google Scholar] [CrossRef]
  65. Wang, C.; Wu, Q.; Liu, F.; An, J.; Lu, R.; Xie, H.; Cheng, R. Synthesis and characterization of soy polyol-based polyurethane nanocomposites reinforced with silylated palygorskite. Appl. Clay Sci. 2014, 101, 246–252. [Google Scholar] [CrossRef]
  66. Wang, C.; Dai, L.; Yang, Z.; Ge, C.; Li, S.; He, M.; Ding, L.; Xie, H. Reinforcement of castor oil-based polyurethane with surface modification of attapulgite. Polymers 2018, 10, 1236. [Google Scholar] [CrossRef]
  67. Frost, R.L.; Ding, Z. Controlled rate thermal analysis and differential scanning calorimetry of sepiolites and palygorskites. Thermochim. Acta 2003, 397, 119–128. [Google Scholar] [CrossRef]
  68. Li, C.; Gong, J.; Zhao, R.; Xi, Z.; Wang, Q.; Xie, H. Laboratory performance of recycled polyethylene modified epoxy asphalt binders. Int. J. Pavement Eng. 2023, 24, 2101055. [Google Scholar] [CrossRef]
  69. Hablot, E.; Zheng, D.; Bouquey, M.; Avérous, L. Polyurethanes based on castor oil: Kinetics, chemical, mechanical and thermal properties. Macromol. Mater. Eng. 2008, 293, 922–929. [Google Scholar] [CrossRef]
Disclaimer/Publisher’s Note: The statements, opinions and data contained in all publications are solely those of the individual author(s) and contributor(s) and not of MDPI and/or the editor(s). MDPI and/or the editor(s) disclaim responsibility for any injury to people or property resulting from any ideas, methods, instructions or products referred to in the content.

Article Metrics

Citations

Article Access Statistics

Multiple requests from the same IP address are counted as one view.