Sign in to use this feature.

Years

Between: -

Subjects

remove_circle_outline
remove_circle_outline
remove_circle_outline
remove_circle_outline
remove_circle_outline
remove_circle_outline
remove_circle_outline
remove_circle_outline
remove_circle_outline

Journals

remove_circle_outline
remove_circle_outline
remove_circle_outline
remove_circle_outline
remove_circle_outline
remove_circle_outline
remove_circle_outline
remove_circle_outline
remove_circle_outline
remove_circle_outline
remove_circle_outline
remove_circle_outline
remove_circle_outline
remove_circle_outline
remove_circle_outline
remove_circle_outline

Article Types

Countries / Regions

remove_circle_outline
remove_circle_outline
remove_circle_outline
remove_circle_outline
remove_circle_outline
remove_circle_outline
remove_circle_outline
remove_circle_outline
remove_circle_outline
remove_circle_outline

Search Results (5,176)

Search Parameters:
Keywords = annual temperature

Order results
Result details
Results per page
Select all
Export citation of selected articles as:
22 pages, 2862 KB  
Article
Long-Term Variations in Solar Radiation and Its Role in Air Temperature Increase at Dome C (Antarctica)
by Jianhui Bai, Xiaowei Wan, Angelo Lupi, Maurizio Busetto and Xuemei Zong
Climate 2026, 14(2), 43; https://doi.org/10.3390/cli14020043 (registering DOI) - 2 Feb 2026
Abstract
Based on a previously developed empirical model of global solar irradiance (EMGSI) at the Dome C station under all-sky conditions, and on good simulations of global solar radiation and its losses in the atmosphere caused by absorption and scattering components, as well as [...] Read more.
Based on a previously developed empirical model of global solar irradiance (EMGSI) at the Dome C station under all-sky conditions, and on good simulations of global solar radiation and its losses in the atmosphere caused by absorption and scattering components, as well as albedos at the top of the atmosphere (TOA) and the surface (TOAsur) during 2006–2016, similar estimations for the above parameters during 2018–2021 and 2006–2021 were computed by further application of this empirical model, and reliable calculations were also obtained, as in 2006–2016. The long-term variations in the above variables were thoroughly investigated during 2006–2021. For annual averages over 2006–2021, the calculated and observed global solar radiation decreased, and the absorption and scattering losses increased, well associated with increases in absorption and scattering atmospheric substances. Air temperature increased by 0.99 °C, showing regional climate warming. The mechanisms of air temperature increase were fully studied, and the basic mechanism reported previously was further confirmed. Additionally, the mechanisms of air temperature change vary with gases, liquids, and particles (GLPs) and with sites. Therefore, a proposal is recommended that, to reduce climate warming, all forms of direct emissions of GLPs and the secondary formation of new GLPs in the atmosphere produced by these directly emitted GLPs via chemical and photochemical reactions (CPRs) should be controlled. The estimated and satellite-derived albedos during 2006–2021 decreased at the TOAsur. An integrated understanding of solar radiation transfer in the atmosphere and of energy balance at the TOAsur is necessary. Full article
Show Figures

Figure 1

31 pages, 13397 KB  
Article
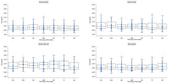
Seasonal and Diurnal Variations in Greenhouse Gas Methane (CH4) in a Rural Area of Rome (Italy)
by Antonietta Ianniello, Giulio Esposito, Cristiana Bassani, Francesca Vichi, Valerio Paolini, Walter Stefanoni, Paolo Sconocchia, Luca Tofful, Mauro Montagnoli, Andrea Imperiali, Alma Iannilli, Valentina Terenzi, Patrizio Tratzi and Emanuele Pallozzi
Atmosphere 2026, 17(2), 159; https://doi.org/10.3390/atmos17020159 - 31 Jan 2026
Viewed by 75
Abstract
First continuous measurements of atmospheric CH4 were carried out for one year (June 2023–May 2024) at Liberti Observatory of CNR-IIA, in a semi-rural site near Rome. Seasonal and diurnal variations were analyzed. CH4 monthly mean concentrations showed maximum and minimum values [...] Read more.
First continuous measurements of atmospheric CH4 were carried out for one year (June 2023–May 2024) at Liberti Observatory of CNR-IIA, in a semi-rural site near Rome. Seasonal and diurnal variations were analyzed. CH4 monthly mean concentrations showed maximum and minimum values in winter and summer, respectively, which agree with the other European trends. Minimum CH4 values during summer could likely be due to a combination of favorable atmospheric mixing properties and increased atmospheric CH4 oxidation. The correlation analysis showed that temperature, global radiation, and wind speed revealed significant negative correlations with this greenhouse gas, indicating the influence of local sources. However, poor correlations during different seasonal periods also suggested the role of air mass transport sources. The CH4 concentrations exhibited clear diurnal cycles with daytime low and night-time high values, mainly driven by atmospheric stability conditions and photochemistry. A cluster analysis of air mass trajectories showed that CH4 concentrations were influenced all year by anthropogenic emissions. Elevated concentrations arrived from NE Europe, except in winter when the influence of NW European and local contributions became more significant. Furthermore, level-3 XCH4 data from the satellite TROPOMI showed a methane columnar concentration increase from 2018 to 2024 in agreement with the global annual increase from the NOAA network during the same period. Full article
(This article belongs to the Section Air Quality)
Show Figures

Graphical abstract

17 pages, 3523 KB  
Article
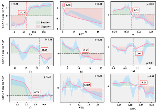
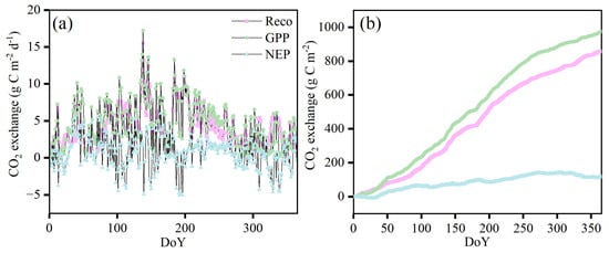
Characteristics and Driving Mechanisms of Net Ecosystem Productivity in a Subtropical Moso Bamboo Forest Based on XGBoost
by Kun Zhao, Cheng Li, Huifang Liu, Xiaoyi Hua, Boxuan Duan, Manyi Li, Wenjing Chen and Chuan Jin
Atmosphere 2026, 17(2), 158; https://doi.org/10.3390/atmos17020158 - 31 Jan 2026
Viewed by 54
Abstract
As a critical agroforestry crop in Southern China, Moso bamboo, maintains regional timber security and bamboo shoot production, with its net ecosystem productivity (NEP) directly determining dry matter accumulation and economic yield. This study integrates 2024 continuous flux observations with XGBoost and SHAP [...] Read more.
As a critical agroforestry crop in Southern China, Moso bamboo, maintains regional timber security and bamboo shoot production, with its net ecosystem productivity (NEP) directly determining dry matter accumulation and economic yield. This study integrates 2024 continuous flux observations with XGBoost and SHAP explanations to characterize the subtropical bamboo forest carbon budget and its nonlinear driving mechanisms. The results show a weak carbon sink in 2024 with an annual cumulative NEP of 120 g C m−2, as high respiration of 860 g C m−2 limited organic matter conversion by consuming nearly 88% of the 980 g C m−2 total primary production. The peak production period during May and June was offset by growth stagnation in August, caused by extreme heat and drought. Net radiation served as the primary driver, with a positive contribution threshold of 75.28 W m−2, whereas precipitation exceeding 1.85 mm or air temperatures over 17.85 °C hindered carbon accumulation through radiation attenuation and metabolic heat loss. Strong radiation–precipitation interactions confirm that water’s impacts on yield are deeply contingent upon radiation backgrounds. These nonlinear regulatory pathways provide a scientific foundation for stabilizing bamboo forest productivity through synergistic water-radiation management and structural optimization during extreme climate events. Full article
Show Figures

Figure 1

18 pages, 4221 KB  
Article
Data-Driven Optimization of Cellulase-Assisted Extraction of Flavonoids and Chlorophyll from Silkworm Excrement
by Feng Qian, Jie-Juan Lu, De-Long Guan, Jing Song and Fuzhi Lu
Processes 2026, 14(3), 495; https://doi.org/10.3390/pr14030495 - 30 Jan 2026
Viewed by 105
Abstract
Guangxi, one of China’s dominant sericulture regions, generates substantial silkworm excrement (SE) annually, yet most remains underutilized. This study optimized cellulase-assisted ethanol extraction of flavonoids and chlorophyll from silkworm frass. Systematic experimentation (n = 31) revealed that extraction temperature exerted dominant influence [...] Read more.
Guangxi, one of China’s dominant sericulture regions, generates substantial silkworm excrement (SE) annually, yet most remains underutilized. This study optimized cellulase-assisted ethanol extraction of flavonoids and chlorophyll from silkworm frass. Systematic experimentation (n = 31) revealed that extraction temperature exerted dominant influence on both contents (r = 0.54 and 0.37 for chlorophyll and flavonoids, respectively), while the two contents exhibited near-zero correlation (r = 0.06). An XGBoost model achieved R2 = 0.9146 for flavonoid prediction; SHAP analysis identified a critical temperature threshold (~40 °C). Monte Carlo simulation (n = 10,000) constructed a Pareto frontier for multi-objective optimization. The optimized condition (9% enzyme, 50 °C) achieved chlorophyll and flavonoid contents of 1.13 and 6.42 mg/g, respectively. These findings demonstrate that sericulture waste can serve as a biorefinery feedstock and that interpretable machine learning can navigate multi-objective extraction challenges under data constraints. Full article
(This article belongs to the Special Issue Recent Advances in Bioprocess Engineering and Fermentation Technology)
16 pages, 4694 KB  
Article
Ecosystem Water-Use Efficiency in a Warm-Temperate Evergreen Broad-Leaved Forest in the Republic of Korea
by Hyunyoung Yang, A Reum Kim and Jung-Hwa Chun
Water 2026, 18(3), 354; https://doi.org/10.3390/w18030354 - 30 Jan 2026
Viewed by 115
Abstract
Warm-temperate evergreen broad-leaved forests are distinguished from the deciduous broad-leaved forests in that their foliage is retained year-round and their specific leaf area is often higher than that of temperate evergreen coniferous forests. However, the implications of these traits for carbon and water [...] Read more.
Warm-temperate evergreen broad-leaved forests are distinguished from the deciduous broad-leaved forests in that their foliage is retained year-round and their specific leaf area is often higher than that of temperate evergreen coniferous forests. However, the implications of these traits for carbon and water fluxes and their coupling remain poorly understood. In this study, we quantified gross primary production (GPP), evapotranspiration (ET), water-use efficiency (WUE), and intrinsic WUE (IWUE) using seven years of eddy-covariance measurements from a warm-temperate evergreen broad-leaved forest in southern South Korea. We further evaluated the abiotic and biotic drivers of their seasonal variability using structural equation modeling. The forest acted as a carbon sink even during winter, with an annual GPP of 2176 ± 135 g C m−2 yr−1, ET of 596 ± 59 kg H2O m−2 yr−1, a mean daily WUE of 4.15 ± 0.25 g C (kg H2O)−1, and a mean daily IWUE of 20.3 ± 3.0 g C hPa (kg H2O)−1. Among WUE components, the main driver of GPP during warm and humid periods was incoming shortwave radiation (RSDN) followed by air temperature (Tair), whereas ET was primarily controlled by Tair. Cold and dry seasons and main annual drivers of GPP and ET were Tair. Although the leaf area index (LAI) was increased by RSDN and Tair, it did not serve as a mediator affecting GPP and ET, contrary to our expectations. Differences in how GPP and ET responded to abiotic factors ultimately governed WUE and IWUE in this forest type, underscoring the importance of site-specific characteristics in evaluating ecosystem water-use efficiency. Full article
(This article belongs to the Section Water and Climate Change)
Show Figures

Figure 1

23 pages, 5082 KB  
Article
Climate Change and Thermal Dynamics of the Lake Sevan Basin (Armenia): Observational Insights and Future Projections
by Gor Khachatryan, Artur Gevorgyan, Ashok Vaseashta, Amalya Misakyan, Karsten Rinke, Artak Gevorgyan, Lilit Ghukasyan and Gor Gevorgyan
Water 2026, 18(3), 352; https://doi.org/10.3390/w18030352 - 30 Jan 2026
Viewed by 246
Abstract
The Lake Sevan basin is particularly sensitive to climate change due to its continental climate and mountainous terrain, which collectively amplify climatic impacts. This study aimed to assess the influence of climate change on the thermal dynamics of the basin by analyzing both [...] Read more.
The Lake Sevan basin is particularly sensitive to climate change due to its continental climate and mountainous terrain, which collectively amplify climatic impacts. This study aimed to assess the influence of climate change on the thermal dynamics of the basin by analyzing both historical and projected temperature variations. Over the past three decades, the region has experienced a marked rise in air temperatures. Seasonal variability revealed distinct contrasts between winter and summer, with winter exhibiting greater fluctuations, ranging from 1.67 to 2.41 °C, compared to the more stable summer range of 0.81 to 1.41 °C. An analysis of heat inflow and outflow patterns demonstrated a moderating effect of Lake Sevan on temperature extremes. Stations, located near the lake, recorded lower levels of heat inflow and outflow, indicating that the lake’s thermal inertia helps buffer seasonal temperature extremes. In contrast, stations situated farther from the lake exhibited more pronounced fluctuations, reflecting the absence of this stabilizing influence. These results underscore the lake’s critical role in modulating the local climate by dampening extreme thermal variations. Additionally, comparative analysis of air and water temperature trends revealed that, while both exhibit warming, air temperatures show greater interannual variability. In contrast, water temperatures remained more stable, particularly during winter, due to the lake’s thermal inertia. Future climate projections for the Lake Sevan region, based on CMIP6 (Coupled Model Intercomparison Project phase 6) ensemble outputs under four Shared Socioeconomic Pathways (SSP1–2.6, SSP2–4.5, SSP3–7.0, and SSP5–8.5), suggest a persistent warming trend throughout the 21st century. We project that the most significant increases are expected during summer months, with an anticipated mean annual temperature rise of up to 6 °C by the end of the century under the high-emission scenario (SSP5–8.5). Full article
Show Figures

Figure 1

16 pages, 2790 KB  
Article
Research on Heat and Moisture Transfer Performance and Annual Energy Consumption of Full-Size Rammed Earth Buildings
by Bin Jiang, Kejie Huang, Maqi Jiang and Li Wan
Buildings 2026, 16(3), 582; https://doi.org/10.3390/buildings16030582 - 30 Jan 2026
Viewed by 86
Abstract
As a natural building material, rammed earth has gained significant attention due to its environmental friendliness, low cost, and sustainability. This study conducted a dynamic simulation of heat and moisture transfer in rammed earth and brick buildings to compare their energy performance under [...] Read more.
As a natural building material, rammed earth has gained significant attention due to its environmental friendliness, low cost, and sustainability. This study conducted a dynamic simulation of heat and moisture transfer in rammed earth and brick buildings to compare their energy performance under identical conditions. The results indicated that the annual minimum indoor temperature in rammed earth buildings was 0.7 °C higher, while the maximum was 0.4 °C lower than that in brick buildings. The minimum and maximum indoor relative humidities were 11.4% higher and 9.6% lower, respectively, in rammed earth buildings, with an annual average of 69.2%, which is slightly lower than that of brick buildings. The annual heating and cooling energy consumption in brick buildings was 1.37 and 1.2 times greater, respectively, than in rammed earth buildings, and their monthly dehumidification demands were consistently higher. The effect of wall thickness on energy consumption revealed that increasing the thickness from 200 to 250 mm reduced energy use by 9.3%, whereas an increase from 450 to 500 mm yielded a 4.2% reduction. When the wall thickness exceeded 400 mm, the energy savings were marginal (<5%), whereas the construction costs and space occupancy increased. Therefore, a wall thickness of 350–400 mm is recommended to optimize the trade-off between energy efficiency, thermal-moisture performance, and cost-effectiveness. Full article
(This article belongs to the Section Building Energy, Physics, Environment, and Systems)
Show Figures

Figure 1

17 pages, 9095 KB  
Article
Assessing Meteorological (1950–2022) and Hydrological (1911–2022) Trends in the Northwestern Alps: Insights from the Upper Po River Basin
by Leonardo Stucchi, Diego Jacopino, Veronica Manara, Maurizio Maugeri and Daniele Bocchiola
Water 2026, 18(3), 348; https://doi.org/10.3390/w18030348 - 30 Jan 2026
Viewed by 175
Abstract
This study investigates transboundary hydro-meteorological trends in the Upper Po River basin, adopting a multi-perspective framework to disentangle the joint evolution of climatic and hydrological drivers. We analyzed climatic variables from 25 weather stations (1950–2022) alongside streamflow data from 14 river sections (1911–2022). [...] Read more.
This study investigates transboundary hydro-meteorological trends in the Upper Po River basin, adopting a multi-perspective framework to disentangle the joint evolution of climatic and hydrological drivers. We analyzed climatic variables from 25 weather stations (1950–2022) alongside streamflow data from 14 river sections (1911–2022). Trends were assessed using the Mann–Kendall test to detect monotonic changes and the Theil-Sen estimator to quantify magnitude, ensuring robustness against outliers. The results reveal pronounced warming, particularly in spring maximum temperatures with +0.95 ± 0.40 °C per decade, and +0.62 ± 0.35 °C per decade at the annual scale. Conversely, average and minimum daily temperatures show lower rates with, respectively, +0.50 ± 0.26 °C and +0.39 ± 0.27 °C at the annual scale. Consequently, potential evapotranspiration increased significantly (+15.1 ± 9.4 mm per decade), likely contributing to a marked decline in summer streamflow in 8 out of 14 sections. Correlation analysis confirms that snow dynamics modulate the hydrological response: precipitation drives discharge annually and in autumn, winter exhibits a weaker coupling, as winter precipitation is partially stored in the basin as snow, contributing to discharge during spring and summer. By focusing on this strategic region for European agriculture and industry, the study provides useful insights into the combined effects of warming and evapotranspiration on water availability for adaptation strategies. Full article
(This article belongs to the Section Water and Climate Change)
Show Figures

Figure 1

27 pages, 14175 KB  
Article
Sea Surface Temperature Variability in the South Atlantic Ocean and Its Connection to the South American 1991–2020 Climate
by Natan Chrysostomo de Oliveira Nogueira, Michelle Simões Reboita and Anita Drumond
J. Mar. Sci. Eng. 2026, 14(3), 283; https://doi.org/10.3390/jmse14030283 - 29 Jan 2026
Viewed by 164
Abstract
Sea surface temperature (SST) modes of climate variability in the South Atlantic Ocean remain a challenging topic. To improve the understanding of this subject, this study assesses the influence of two commonly discussed SST variability modes, the South Atlantic Dipole (SAD) and the [...] Read more.
Sea surface temperature (SST) modes of climate variability in the South Atlantic Ocean remain a challenging topic. To improve the understanding of this subject, this study assesses the influence of two commonly discussed SST variability modes, the South Atlantic Dipole (SAD) and the Southwestern South Atlantic (SWSA), on South America (SA) during the present-day climate conditions and discusses, based on the previous literature, their development. Complementing previous analyses based on annual or seasonal scales, the analysis is performed at the monthly scale, given its relevance for subseasonal-to-seasonal (S2S) forecasts. Empirical Orthogonal Function (EOF) analysis was applied to standardized monthly SST anomalies relative to the period 1991–2020, using data from the Extended Reconstructed Sea Surface Temperature (ERSST). After characterizing the SAD and SWSA modes, composites of different variables, such as precipitation anomalies, were constructed for the different phases of each pattern. The results show that the SAD is the dominant mode of SST variability, mainly influencing tropical latitudes by modulating the Intertropical Convergence Zone (ITCZ). During its positive (negative) phase, the ITCZ shifts southward (northward). In contrast, the SWSA exhibits a more localized subtropical–extratropical structure, characterized by SST anomalies along the south–southeastern coast of Brazil, and is closely associated with variability in the South Atlantic Convergence Zone (SACZ). The relationship between the SWSA and SACZ appears strong during the austral extended summer, when warmer waters during the positive (negative) SWSA phase are associated with wetter (drier) conditions over southeastern SA and drier (wetter) conditions over the continental and oceanic branches of the SACZ. Full article
(This article belongs to the Section Ocean and Global Climate)
Show Figures

Figure 1

18 pages, 2222 KB  
Article
Characteristics of Nutrient Transport in Runoff from Different Land-Use Types on Maozhou Island in the Li River Basin
by Huili Liu, Yuxin Sun, Guangyan He, Shuhai Huang, Guibin Huang, Hui Wang, Yanli Ding, Tieguang He, Chengcheng Zeng, Dandan Xu and Yanan Zhang
Toxics 2026, 14(2), 126; https://doi.org/10.3390/toxics14020126 - 29 Jan 2026
Viewed by 183
Abstract
Non-point source pollution poses a severe threat to the water quality of the Li River. This study conducted field monitoring of pollution loads from different land-use types on Maozhou Island in the Li River during the 2023 rainy season. Runoff water quality from [...] Read more.
Non-point source pollution poses a severe threat to the water quality of the Li River. This study conducted field monitoring of pollution loads from different land-use types on Maozhou Island in the Li River during the 2023 rainy season. Runoff water quality from vegetable plots, orchards, and bamboo forests consistently exceeded standards, with vegetable plots being the primary source of pollution. Their total phosphorus (TP) concentration exceeded standards by nearly 25 times, contributing the highest annual load. The transport of pollutants (TP, total nitrogen(TN), chemical oxygen demand(CODCr)) was closely correlated with suspended solids (SS), with the finest particles (<5 μm) identified as the primary carrier exhibiting the strongest pollutant enrichment capacity (e.g., in vegetable fields, the correlation coefficient r between < 5 μm particles and TP was >0.85, p < 0.01). Rainfall patterns significantly influenced pollutant concentrations; TN and TP levels increased with preceding dry days, while phosphorus output from vegetable plots decreased with rising average rainfall temperature. Compared to bamboo forests, vegetable plots and orchards exhibited lower soil adsorption capacity. This study recommends a connectivity-based strategy prioritizing the interception of heavily enriched fine particulate matter (<5 μm) through runoff control and enhanced wetland retention functions. These findings underscore the importance of controlling fine particulate matter for reducing non-point source pollution and maintaining ecological health in the Lijiang River basin. Full article
Show Figures

Graphical abstract

32 pages, 33186 KB  
Article
Satellite Mapping of 30 m Time-Series Forest Distribution in Hunan, China, Based on a 25-Year Multispectral Imagery and Environmental Features
by Rong Liu, Gui Zhang, Aibin Chen and Jizheng Yi
Remote Sens. 2026, 18(3), 426; https://doi.org/10.3390/rs18030426 - 28 Jan 2026
Viewed by 169
Abstract
Forests play a critical role in Earth’s ecosystem, yet monitoring their long-term, large-scale spatiotemporal dynamics remains a significant challenge. This study addresses this gap by developing an integrated framework to map annual forest distribution in Hunan, China, from 1999 to 2023 at a [...] Read more.
Forests play a critical role in Earth’s ecosystem, yet monitoring their long-term, large-scale spatiotemporal dynamics remains a significant challenge. This study addresses this gap by developing an integrated framework to map annual forest distribution in Hunan, China, from 1999 to 2023 at a high resolution of 30 m. Our methodology combines multi-temporal satellite imagery (Landsat 5/7/8/9) with key environmental variables, including digital elevation models, temperature, and precipitation data. To efficiently reconstruct historical maps, training samples were automatically derived from a reliable 2023 forest product using a transferable logic, drastically reducing manual annotation effort. Comprehensive evaluations demonstrate the robustness of our approach: (1) Qualitative analyses reveal superior spatial detail and temporal consistency compared to existing global forest maps. (2) Rigorous quantitative validation based on ∼9000 reference samples confirms high and stable accuracy (∼92.4%) and recall (∼91.9%) over the 24-year period. (3) Furthermore, comparisons with government forestry statistics show strong agreement, validating the practical utility of the data. This work provides a valuable, accurate long-term dataset that forms a scientific basis for critical downstream applications such as ecological conservation planning, carbon stock assessment, and climate change research, thereby highlighting the transformative potential of multi-source data fusion and automated methods in advancing geospatial monitoring. Full article
Show Figures

Figure 1

17 pages, 2077 KB  
Article
Hydrogel Utilization and Water Management for Annual and Perennial Herbs in an Extensive Green Roof Environment
by Stuart Alan Walters and Hunter M. Christenson
Horticulturae 2026, 12(2), 145; https://doi.org/10.3390/horticulturae12020145 - 28 Jan 2026
Viewed by 100
Abstract
Extensive green roofs can be used to provide spaces for local agriculture in urban environments, although extreme moisture and temperature conditions typically found in these systems can often be challenging for crop production. The Southern Illinois University-Carbondale extensive green roof was utilized to [...] Read more.
Extensive green roofs can be used to provide spaces for local agriculture in urban environments, although extreme moisture and temperature conditions typically found in these systems can often be challenging for crop production. The Southern Illinois University-Carbondale extensive green roof was utilized to determine the effects of a polyacrylamide hydrogel, pine bark mulch, and irrigation frequency on the growth and productivity of ‘Compact’ and ‘Italian Large Leaf’ basil (Ocimum basilicum), and the growth and overwintering ability of two perennial culinary herbs, sage (Salvia officinalis) and thyme (Thymus vulgaris). Results indicated that weekly irrigation increased late-season basil and perennial plant vigor, basil fresh and dry weight, and overwintered perennial plant vigor and height compared to bimonthly watering. Although the use of pine bark mulch improved basil fresh weight and plant vigor compared to no mulch, mulching did not influence (p > 0.05) perennial herb growth or overwintering in an extensive green roof environment. Hydrogel applications improved basil plant height compared to none, although fresh and dry plant biomass were not influenced by hydrogel applications. In comparison, hydrogels as additions to the green roof medium did not influence either early- or late-season perennial plant vigor, although the overwintered plant vigor collected the following spring was greater in the no-hydrogel treatment. For perennial herbs, sage had greater vigor, overwinter survival, and overall suitability for extensive green roof environments compared to thyme. This research indicated the importance of perennial herb selection and consistent water supply for annual and perennial herb growth and the overwintering success of perennial herbs. Thus, supplemental water and other management strategies to provide more constant medium moisture content are important considerations for sustaining culinary herb production on extensive green roofs. Full article
Show Figures

Figure 1

21 pages, 937 KB  
Article
Balancing Efficiency and Economics in Organic Rankine Cycles with Multistage Turbines for Sustainable Waste Heat Utilization
by Sattam Alharbi, Nasser Alanazi, Maha Alharbi, Mamdouh H. Alshammari, Apostolos Pesyridis and Fuhaid Alshammari
J. Mar. Sci. Eng. 2026, 14(3), 264; https://doi.org/10.3390/jmse14030264 - 27 Jan 2026
Viewed by 144
Abstract
Thermal energy rejected through exhaust gases and cooling systems in marine propulsion units and conventional power plants represents a significant yet underutilized opportunity for improving energy efficiency and reducing carbon emissions. The Organic Rankine Cycle (ORC) has emerged as an effective technology for [...] Read more.
Thermal energy rejected through exhaust gases and cooling systems in marine propulsion units and conventional power plants represents a significant yet underutilized opportunity for improving energy efficiency and reducing carbon emissions. The Organic Rankine Cycle (ORC) has emerged as an effective technology for converting such waste heat into useful power using organic working fluids with favorable thermophysical properties. This study presents a comprehensive thermodynamic, economic, and exergo-economic evaluation of an ORC system incorporating single-stage and multistage turbine arrangements, using R245fa, R123, and R365mfc as working fluids. A validated cycle model is coupled with key economic indicators, including Net Present Value (NPV), Levelized Cost of Electricity (LCOE), and payback period, together with a simplified exergo-economic framework based on exergy destruction costs. The results demonstrate that implementing ORC-based waste heat recovery significantly enhances overall system performance by converting rejected thermal energy into electricity and improving thermal efficiency. Multistage turbine configurations further strengthen performance, increasing net power output and efficiency, with the multistage R245fa system generating more than 530,000 kWh annually. Economically, the single-stage R245fa configuration achieves the lowest LCOE (0.021 USD/kWh) and the shortest payback period, below eight years. Exergo-economic analysis shows that multistage turbines can reduce exergy destruction costs by more than 80%, with benefits becoming pronounced at heat source temperatures above 170 °C. Full article
27 pages, 14018 KB  
Article
Multi-Crop Yield Estimation and Spatial Analysis of Agro-Climatic Indices Based on High-Resolution Climate Simulations in Türkiye’s Lakes Region, a Typical Mediterranean Biogeography
by Fuat Kaya, Sinan Demir, Mert Dedeoğlu, Levent Başayiğit, Yurdanur Ünal, Cemre Yürük Sonuç, Tuğba Doğan Güzel and Ece Gizem Çakmak
Agronomy 2026, 16(3), 321; https://doi.org/10.3390/agronomy16030321 - 27 Jan 2026
Viewed by 218
Abstract
Mediterranean biogeography is characterized as a global “hotspot” for climate change; understanding the impacts of these changes on local agricultural systems through high-resolution analyses has thus become a critical need. This study addresses this gap by evaluating the holistic effects of climate change [...] Read more.
Mediterranean biogeography is characterized as a global “hotspot” for climate change; understanding the impacts of these changes on local agricultural systems through high-resolution analyses has thus become a critical need. This study addresses this gap by evaluating the holistic effects of climate change on site-specific agriculture systems, focusing on the Eğirdir–Karacaören (EKB) and Beyşehir (BB) lake basins in the Lakes Region of Türkiye. This study employed machine learning modeling techniques to forecast changes in the yields of key crops, such as wheat, maize, apple, alfalfa, and sugar beet. Detailed spatial analyses of changes in agro-climatic conditions (heat stress, chilling requirement, frost days, and growing degree days for key crops) between the reference period (1995–2014) and two decadal periods projected for 2040–2049 and 2070–2079 were conducted under the Shared Socioeconomic Pathways (SSP3-7.0). Daily temperature, precipitation, relative humidity, and solar radiation data, derived from high-resolution climate simulations, were aggregated into annual summaries. These datasets were then spatially matched with district-level yield statistics obtained from the official data providers to construct crop-specific data matrices. For each crop, Random Forest (RF) regression models were fitted, and a Leave-One-Site-Out (LOSOCV) cross-validation method was used to evaluate model performance during the reference period. Yield prediction models were evaluated using the mean absolute error (MAE). The models achieved low MAE values for wheat (33.95 kg da−1 in EKB and 75.04 kg da−1 in BB), whereas the MAE values for maize and alfalfa were considerably higher, ranging from 658 to 986 kg da−1. Projections for future periods indicate declines in relative yield across both basins. For 2070–2079, wheat and maize yields are projected to decrease by 10–20%, accompanied by wide uncertainty intervals. Both basins are expected to experience a substantial increase in heat stress days (>35 °C), a reduction in frost days, and an overall acceleration of plant phenology. Results provided insights to inform region-specific, evidence-based adaptation options, such as selecting heat-tolerant varieties, optimizing planting calendars, and integrating precision agriculture practices to improve resource efficiency under changing climatic conditions. Overall, this study establishes a scientific basis for enhancing the resilience of agricultural systems to climate change in two lake basins within the Mediterranean biogeography. Full article
(This article belongs to the Special Issue Agroclimatology and Crop Production: Adapting to Climate Change)
Show Figures

Figure 1

31 pages, 6179 KB  
Article
Effects of Climate Change and Crop Management on Wheat Phenology in Arid Oasis Areas
by Jian Huang, Juan Huang, Pengfei Wu, Wenyuan Xing and Xiaojun Wang
Agriculture 2026, 16(3), 314; https://doi.org/10.3390/agriculture16030314 - 27 Jan 2026
Viewed by 178
Abstract
Crops grown in ecologically vulnerable oases are increasingly vulnerable to climate change, a trend that poses a severe threat to the sustainability of agricultural production in arid zones. Clarifying the relative contributions of climate change and crop management to crop phenology is critical [...] Read more.
Crops grown in ecologically vulnerable oases are increasingly vulnerable to climate change, a trend that poses a severe threat to the sustainability of agricultural production in arid zones. Clarifying the relative contributions of climate change and crop management to crop phenology is critical for designing climate-resilient agricultural practices—yet this remains underexplored for wheat in Xinjiang’s oases, a major arid-region agricultural hub. Using 1981–2021 phenological and meteorological data from 26 agrometeorological stations, we integrated a first-difference multiple regression model, Pearson’s correlation, multiple linear regression, and path analysis to quantify spatiotemporal phenological dynamics; disentangle the distinct impacts of climate and management factors; and identify dominant climatic drivers regulating wheat growth. Temperature was confirmed as the dominant climatic factor regulating wheat growth in arid oasis regions. Results showed that the annual change rates of sowing, emergence, booting, flowering, and maturity dates were 0.261 (−0.027), 0.265 (−0.103), −0.272 (−0.161), −0.269 (−0.226), and −0.216 (−0.127) days/year for winter (spring) wheat, respectively. For phenological durations, the annual change rates of sowing-to-emergence, emergence-to-anthesis, anthesis-to-maturity, vegetative growth period, reproductive growth period, and whole growth period were 0.007 (−0.076), −0.537 (−0.068), 0.096 (0.099), −0.502 (−0.134), 0.068 (0.034), and −0.434 (−0.100) days/year for winter (spring) wheat, respectively. Regarding climatic effects, maximum, minimum, and mean temperatures generally exerted positive impacts on wheat phenological durations; increased precipitation prolonged growth periods; and higher sunshine hours shortened winter wheat growth periods while extending those of spring wheat. Multiple regression and path analysis were employed to clarify the relative importance of climatic and management factors, as well as their direct and indirect effects on wheat phenology and yield. Furthermore, climate change had a substantially weaker impact on wheat phenology and yield compared to crop management, with climatic driver intensity following the order of mean temperature > precipitation > sunshine hours—confirming mean temperature as the key climate-induced driver. Correlation analysis revealed a positive relationship between yield and growth period length. This study provides novel insights into region-specific climate adaptation for wheat production in arid oases, highlighting that planting longer-growth-period varieties is an effective, eco-friendly strategy to enhance climate resilience and ensure sustainable agricultural development in fragile ecosystems. Full article
(This article belongs to the Section Ecosystem, Environment and Climate Change in Agriculture)
Show Figures

Figure 1

Back to TopTop