Abstract
As a critical agroforestry crop in Southern China, Moso bamboo, maintains regional timber security and bamboo shoot production, with its net ecosystem productivity (NEP) directly determining dry matter accumulation and economic yield. This study integrates 2024 continuous flux observations with XGBoost and SHAP explanations to characterize the subtropical bamboo forest carbon budget and its nonlinear driving mechanisms. The results show a weak carbon sink in 2024 with an annual cumulative NEP of 120 g C m−2, as high respiration of 860 g C m−2 limited organic matter conversion by consuming nearly 88% of the 980 g C m−2 total primary production. The peak production period during May and June was offset by growth stagnation in August, caused by extreme heat and drought. Net radiation served as the primary driver, with a positive contribution threshold of 75.28 W m−2, whereas precipitation exceeding 1.85 mm or air temperatures over 17.85 °C hindered carbon accumulation through radiation attenuation and metabolic heat loss. Strong radiation–precipitation interactions confirm that water’s impacts on yield are deeply contingent upon radiation backgrounds. These nonlinear regulatory pathways provide a scientific foundation for stabilizing bamboo forest productivity through synergistic water-radiation management and structural optimization during extreme climate events.
1. Introduction
Terrestrial carbon cycling serves as the fundamental process for understanding material exchange between the land and atmosphere and holds significant importance for predicting regional climate, carbon balance, and ecosystem responses to global change [1,2,3,4,5]. The accumulation of net ecosystem productivity (NEP) is driven by net radiation (Rn) and co-regulated by vegetation physiology, canopy structure, and environmental factors [6,7,8]. As a critical hub connecting biological and physical processes, this process directly determines the net dry matter increment after respiratory losses and has emerged as a frontier in land–atmosphere interaction research within agroforestry ecosystems [9,10,11].
Moso bamboo ecosystems are widely distributed in global subtropical regions and possess substantial ecological and agricultural economic value [12,13]. Their unique physiological characteristics, such as rapid growth, evergreen nature, and tall canopy structures, differentiate their carbon allocation patterns and regulatory mechanisms from typical forest and grassland systems [14,15,16]. While previous studies have noted the high photosynthetic potential and carbon sequestration capacity of Moso bamboo, the process shows marked sensitivity to extreme weather [17,18,19]. Existing studies have shown that, under humid environments with sufficient water availability, Moso bamboo forests typically exhibit high carbon sequestration capacity where NEP is primarily driven by Rn and thermal conditions [17,20,21]. Conversely, during drought years or periods of severe water deficit, the carbon sink strength significantly weakens as the vapor pressure deficit (VPD) elevates, and soil moisture limitations trigger stomatal regulation that suppresses net carbon gain or even shifts the ecosystem toward a carbon source [22,23,24]. In addition, Quantitative analysis demonstrated that Moso bamboo forests possess high carbon sequestration potential, with an annual NEP reaching 602.7 g C m−2, and confirmed that extreme summer drought events could lead to a significant reduction in carbon uptake by 60–78% [17].
Despite existing progress, carbon budget research has predominantly focused on temperate forests [25], grasslands [26], and croplands [27], leaving the dynamic characteristics, driving mechanisms, and nonlinear biophysical processes of subtropical bamboo forests under extreme climate conditions insufficiently understood. In particular, the complex nonlinear interactions among key environmental drivers such as Rn, VPD, and soil moisture in shaping NEP variation remain an unresolved challenge [28,29,30].
Based on these considerations, this study focuses on typical subtropical Moso bamboo as the research subject and utilizes continuous flux observations throughout 2024 to achieve several objectives. This study first evaluates the total net productivity of the bamboo ecosystem and characterizes its annual evolutionary patterns. Subsequently, XGBoost machine learning algorithms are employed to analyze the relative contributions environmental and biophysical parameters make to NEP variation and identify the key environmental thresholds limiting material accumulation. Finally, this research explores the complex interactive mechanisms among driving factors and their synergistic regulatory effects on annual yield. Clarifying these issues will reveal the productivity fluctuations of subtropical bamboo forests under frequent climatic extremes and provide critical references for optimizing stand management and ensuring agricultural output.
2. Materials and Methods
2.1. Site Description
The primary data collection was anchored at the Jinyun Mountain National Field Scientific Observation and Research Station of Forest Ecosystem in the Three Gorges Reservoir Area, situated within the Chongqing Jinyun Mountain National Nature Reserve. The geographical matrix of the study zone spans from 106°17′ to 106°24′ E and 29°41′ to 29°52′ N. Within this mountainous terrain, the vertical gradient ranges from 350.0 to 951.5 m in elevation, while the experimental plot used for flux monitoring maintains a persistent mean slope of 20 degrees. The flux tower covers a representative source area of approximately 60–100 ha, determined by the footprint analysis (Figure 1). The environmental regime is strictly regulated by a humid subtropical monsoon climate, with a mean annual temperature of 10.4 °C. Monthly thermal fluctuations are characterized by a pronounced amplitude, ranging from a minimum mean of 4.8 °C in January to a maximum of 24.3 °C in August, while extreme summer heatwaves frequently surpass the 35 °C threshold. Hydrological patterns are synchronized with the thermal cycle where the annual precipitation of 1611.8 mm exhibits a high seasonal concentration, namely, over 70 percent of the total rainfall occurs during the monsoonal window from April to October. Given its extensive coverage and ecological significance, Moso bamboo, namely Phyllostachys edulis, was prioritized as the focal taxa for evaluating carbon sequestration dynamics, namely, net ecosystem productivity or NEP.
Figure 1.
Location of the study area and the photo of the eddy covariance system.
2.2. Flux Observation and Meteorological Monitoring
The site is equipped with an open path eddy covariance (EC) system and an automated micrometeorological system. The EC system includes a CO2/H2O infrared analyzer (Li-7500; LI-COR, Lincoln, NE, USA) and a three-dimensional sonic anemometer (CSAT-3; Campbell Scientific, Logan, UT, USA), measuring energy fluxes of latent heat (LE) and sensible heat (H) at 10 Hz frequency. Net radiation (Rn) is measured using a net radiometer (CNR-1; Kipp and Zonen, Delft, The Netherlands) comprising four radiometers for incoming and reflected shortwave radiation and incoming and outgoing longwave radiation.
Air temperature (Ta) and humidity (RH) were measured with a temperature and relative humidity probe (HMP60; Vaisala, Helsinki, Finland). Soil water content (SWC) and soil temperature (Ts) at 0–10 cm depth were monitored using soil moisture and temperature sensors (TEROS11; Meter, Pullman, WA, USA). Precipitation (PPT) was recorded via a tipping bucket rain gauge (TE-525M; Texas, Dallas, TX, USA). All meteorological measurements were collected at one-minute intervals and stored as averages over 30 min intervals. Saturated vapor pressure deficit (VPD) was calculated based on Ta and RH measurements from the tower [31].
2.3. Data Processing and NEP Calculation
Raw flux observations were processed using EddyPro 7.0.9 software using standard procedures. Following outlier removal via standard quality control [32], missing CO2 flux data were addressed via marginal distribution sampling, while the energy balance ratio (EBR) evaluated energy closure to verify observation reliability [33,34]. NEP was defined as the negative of net ecosystem exchange (NEE) to characterize carbon sink and source functions through its positive and negative values. Specifically, a positive NEP value indicates that the ecosystem acts as a net carbon sink, whereas a negative value signifies that it functions as a carbon source.
To investigate energy–water coupling mechanisms, this study calculates the decoupling factor (Ω) to assess the relative influence of net radiation versus vapor pressure deficit on latent heat flux. Values of Ω approaching zero indicate high ecosystem atmosphere coupling, where latent heat flux is primarily driven by atmospheric moisture demand. Additionally, the leaf area index, LAI, reflects the canopy’s structural development, while the Priestley–Taylor coefficient (α) quantifies the water supply limitations on transpiration and their potential impacts on productivity.
Half-hourly canopy conductance Gs (m s−1) is calculated by inverting the Penman–Monteith equation [35]:
where γ is the psychrometric constant (kPa K−1), Δ is the rate of VPD change with Ta (kPa K−1), ρ is air density (1.23 kg m−3), and Cp is the specific heat of air (J kg−1 K−1). Aerodynamic conductance ga (m s−1) is computed using the Monteith and Unsworth equation [35]:
where U and U* are wind speed and friction velocity (m s−1). The decoupling factor (Ω) is derived from Jarvis and McNaughton [36]:
The Priestley–Taylor coefficient (α) is defined as the ratio of measured LE to equilibrium LE (LEeq) [37,38], with LEeq calculated as
where G is soil heat flux (W m−2). The surface parameters (Gs, Ω, α) are computed only for non-rainy days. Periods with incident shortwave radiation < 100 W m−2 are excluded to avoid division by zero and spurious data [39].
2.4. Leaf Area Index
Leaf area index (LAI) serves as the core parameter describing vegetation canopy structure and is defined as the total one-sided leaf area per unit ground surface area. This variable functions as a pivotal nexus integrating biomass accumulation, photosynthetic capacity, and overall ecosystem dynamics. To provide high-resolution canopy information, time-series data records were retrieved from the MODIS product suite distributed by the ORNL DAAC (https://modis.ornl.gov/sites/; accessed on 5 September 2025). Throughout the duration of the monitoring program, the dataset maintained a temporal resolution of 4 days. All spatial information was systematically extracted based on the specific geographical coordinates of the eddy covariance tower.
2.5. Machine Learning Model
To decipher the intricate mechanisms underlying ecosystem processes, this research implemented the Extreme Gradient Boosting (XGBoost) architecture [40,41,42]. A daily-scale NEP prediction model for 2024 was developed using the xgboost (version 1.7) and shap (version 0.44) packages in Python 3.10.12 by incorporating ten environmental and biophysical indicators, including net radiation (Rn), soil temperature (Ts), air temperature (Ta), vapor pressure deficit (VPD), leaf area index (LAI), decoupling factor (Ω), Priestley–Taylor coefficient (α), soil water content (SWC), and precipitation (PPT). The dataset was partitioned into a 70 percent training set and a 30 percent independent test set, with the optimized model parameters including a maximum depth of 6 and 600 iterations at a learning rate of 0.02. Model robustness was assessed via the coefficient of determination (R2), Root Mean Square Error (RMSE), and Mean Absolute Error (MAE), while the SHAP framework enabled sensitivity analysis of NEP to drivers through absolute value distributions and dependence plots to characterize marginal effects after accounting for covariate interference [43,44,45].
3. Results
3.1. Temperature Energy Balance Closure Analysis
Linear regression analysis between turbulent energy flux and sensible heat flux plus latent heat flux and available energy net radiation minus soil heat flux, based on 2024 Moso bamboo forest observations, yielded a slope of 0.78 with an intercept of 1.24 W m−2. A coefficient of determination R2 of 0.75 and an energy balance closure of 78 percent for 30 min scale data collectively confirmed the reliability and temporal consistency of flux observations at this site. Density plots further revealed that data points were concentrated near the regression line and primarily distributed within the low-energy range (Figure 2).
Figure 2.
Energy closure of the bamboo forest in Jinyun Mountain.
3.2. Variation Characteristics of Environmental Factors
The main meteorological and biophysical parameters exhibited distinct temporal dynamics in 2024 (Figure 3). Ta and Ts followed unimodal trends, peaking in mid-August at approximately day 230, with maximum air temperatures approaching 38 °C (Figure 3a). Rn showed variation phases consistent with Ta, yet exhibited higher fluctuation frequencies during the wet season from April to July (Figure 3f). VPD rose sharply from late July through August, reaching a peak above 25 hPa (Figure 3b). PPT events primarily occurred from April to July, maintaining SWC at high levels between 0.25 and 0.35 m3 m−3 (Figure 3c). Upon entering August, SWC declined rapidly to below 0.1 m3 m−3, causing the α to reach its annual minimum of roughly 0.3, while the Ω also remained at low levels (Figure 3d,e). Although raw LAI observations peaked above 3.0 m2 m−2 in late August, the smoothed LAI curve indicates a seasonal maximum of approximately 1.8 m2 m−2 (Figure 3g).
Figure 3.
Diurnal variation distribution of environmental factors in the bamboo forest ecosystem. (a) Ta, air temperature; Ts, soil temperature; (b) VPD, vapor pressure deficit; (c) SWC, soil water content; PPT, precipitation; (d) Ω, decoupling factor; (e) α, Priestley–Taylor coefficient; (f) Rn, net radiation; (g) LAI, leaf area index.
3.3. Seasonal Dynamics and Annual Cumulative Carbon Fluxes
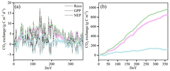
Carbon flux components of the Moso bamboo forest ecosystem exhibited significant seasonal fluctuations in 2024 (Figure 4a). Seasonal trends in gross primary productivity (GPP) and ecosystem respiration (Reco) were highly consistent, peaking between May and June from day 130 to 180, with maximum daily GPP exceeding 15 g C m−2 d−1. Daily NEP fluctuated intensely within a range primarily between minus 5.0 and 5.0 g C m−2 d−1. Cumulative analysis revealed steady growth in both GPP and Reco, reaching annual totals of 980 g C m−2 and 860 g C m−2, respectively (Figure 4b). The final cumulative NEP for 2024 remained positive at approximately 120 g C m−2, confirming that the ecosystem functioned as a carbon sink throughout the year. Furthermore, a distinct decline in the growth slope of the cumulative NEP curve was observed between day 210 and 260, reflecting a significant impairment of productivity during this period.
Figure 4.
Seasonal variations and annual accumulations of carbon fluxes (NEP, GPP, and Reco) in 2024: (a) seasonal variations; (b) annual accumulations.
3.4. Diurnal Variations of Carbon Flux Across Growing and Non-Growing Seasons
Carbon flux components exhibited distinct diurnal dynamics across seasons in 2024 (Figure 5), where growing seasons GPP and NEP showed typical unimodal trends, peaking around 12:30 at approximately 13.0 and 8.0 micro-mol m−2 s−1, respectively (Figure 5a). In contrast, carbon exchange intensity diminished during the non-growing season, with GPP and NEP peaks retreating to approximately 9.0 and 6.0 μmol m−2 s−1 (Figure 5b). Reco remained stable throughout the day, with a growing season mean rate of 5.0 μmol m−2 s−1, which was significantly higher than the 2.5 to 3.0 μmol m−2 s−1 observed in the non-growing season, while the source to sink transition occurred around 07:30 in both periods as NEP turned positive. Nighttime cessation of photosynthesis-stabilized flux components with nocturnal carbon emission rates maintained at approximately −3.5 and −2.5 μmol m−2 s−1 for growing and non-growing seasons, respectively.
Figure 5.
Diurnal variations in carbon fluxes NEP, GPP, and Reco of the bamboo forest in 2024: (a) growing season; (b) non-growing season.
3.5. Importance Assessment of Driving Factors
Quantitative assessment of NEP drivers based on the XGBoost model yielded a coefficient of determination R2 of 0.65, an RMSE of 1.6, and an MAE of 1.22 between the observed and predicted values, confirming the effective explanation of dynamic variations during the observation period (Figure 6a). Among the ten modeling variables, Rn ranked first in relative importance, serving as the core driver, while PPT and α ranked second and third, respectively, followed by Ts, Ta, and LAI. The SHAP summary plot (Figure 6b) reveals that Rn exhibited a significant positive correlation where increased radiation enhanced positive contributions to NEP, whereas PPT and α demonstrated distinct negative driving effects, as indicated by negative SHAP values under high-precipitation or latent heat allocation conditions, which suppressed the ecosystem’s carbon sink capacity. The widest fluctuation range in SHAP values for Rn indicate that its most drastic regulation of carbon flux variated across daily and seasonal scales, while VPD and SWC showed lower contributions compared to model predictions.
Figure 6.
Variable importance and SHAP explanation of NEP driving factors in the bamboo forest based on the XGBoost model: (a) ranking of the driving factors by variable importance; (b) SHAP-based explanation of feature contributions.
3.6. Marginal Effect Analysis of Driving Factors
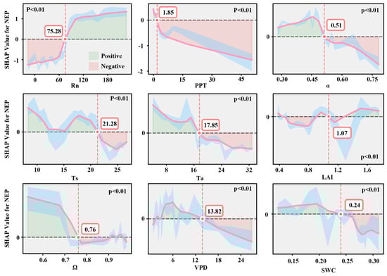
A dependence plot analysis visually illustrates the nonlinear response characteristics and influence thresholds of the drivers on NEP (Figure 7), where Rn shows a significant positive response with a threshold of 75.28 W m−2, beyond which contributions shifted from negative to positive and stabilized. In contrast, PPT exerted a significant negative regulation with a critical point of only 1.85 mm, causing rapid SHAP value declines beyond this limit, while contributions of α turned negative when values exceeded 0.51. Ecosystem carbon sink capacity was suppressed when environmental temperatures surpassed the influence thresholds for Ts and Ta at 21.28 and 17.85 °C, respectively. Similar negative driving patterns were observed for VPD and SWC, with critical points of 13.82 hPa and 0.24 m3 m−3, while Ω and LAI exhibited distinct threshold effects at 0.76 and 1.07 m2 m−2, respectively.
Figure 7.
SHAP dependence plots illustrating the nonlinear effects and threshold values of the key environmental drivers on NEP in the bamboo forest in 2024: the top line includes Rn, PPT, and α; the center line includes Ts, Ta and LAI; and the bottom line includes Ω, VPD and SWC.
3.7. Interaction Characteristics of Driving Factors
Interaction strength analysis indicated that the interaction between Rn and PPT was the most significant among all factor combinations, followed by high interaction intensities for Rn with Ts and Rn with α (Figure 8a). Further analysis of the mean SHAP value composition revealed that the total effects for Rn PPT α and Ta primarily originated from their own main effects, whereas interaction effect contributions for Ts Ω LAI VPD and SWC exceeded their corresponding main effects (Figure 8b).
Figure 8.
SHAP interaction analysis of NEP driving factors: (a) SHAP interaction matrix showing the strength of interactions between different drivers; (b) comparison of contributions between main effects and interaction effects.
In Figure 9a,b, there is a significant interaction between PPT and Rn. At the same PPT level, particularly when PPT is near zero, high Rn consistently corresponds to higher SHAP values than low Rn. In Figure 9c, for the same alpha value, high Rn results in higher SHAP values than low Rn.
Figure 9.
SHAP dependence plots illustrating the synergetic interactions between the primary environmental drivers for NEP. The x-axis represents the magnitude of the primary environmental factor, while the y-axis indicates the corresponding SHAP value. The color gradient of the data points represents the magnitude of the interaction factor. (a) Interaction between Rn and PPT, (b) interaction between PPT and Rn, (c) interaction between α and Rn.
4. Discussion
4.1. Carbon Budget Characteristics of Moso Bamboo Forests and Their Effects on Yield
The annual cumulative NEP of the Moso bamboo forest ecosystem in 2024 reached 120 g C m−2, indicating a weak carbon sink function for the year [46,47,48]. Within agroforestry production, NEP not only serves as an indicator of carbon sequestration capacity, but also as the material foundation determining bamboo biomass accumulation and economic shoot yield [17,49]. While the annual GPP reached 980 g C m−2, demonstrating the superior carbon fixation potential of Moso bamboo as a high-efficiency plant, approximately 88% of photosynthates were consumed by Reco totaling 860 g C m−2 [18]. This characteristic of high respiratory consumption and low net accumulation resulted in a carbon use efficiency of approximately 12%, which is significantly lower than levels reported for most agroforestry ecosystems, implying that the vast majority of organic matter produced in 2024 was utilized for metabolic maintenance, leaving only a minimal portion for conversion into culm dry matter or storage in the underground rhizome system [50]. The CUE of approximately 12% in 2024 was lower than the global average for forest ecosystems. This was primarily attributed to the high respiratory costs driven by a specific climatic event in 2024, combined with the high metabolic demands of the extensive Moso bamboo rhizome system [51].
The seasonal dynamics of carbon fluxes further revealed key windows and risk periods for yield formation, as GPP and NEP peaked between May and June, with daily GPP exceeding 15 g C m−2 d−1 during the phenological stage of branching and leaf expansion [52]. Nevertheless, the growth slope of cumulative NEP declined sharply or stagnated after August as air temperatures rose and soil moisture levels dropped (Figure 4b) [53]. Since the summer and autumn periods are critical for rhizome growth and shoot bud differentiation, insufficient carbon accumulation during this stage may lead to nutritional deficits in the underground system [54]. Consequently, although the Moso bamboo forest maintained a positive annual carbon sink, the high temperatures and water deficits during the late summer drought severely restricted the conversion efficiency of photosynthates into economic yield, suggesting that extensive management models relying solely on natural precipitation may fail to ensure synchronized improvements in carbon accumulation and economic output during extreme climatic years [55]. The findings of 2024 highlight the vulnerability of Moso bamboo to late summer heatwaves. An earlier onset of drought could lead to a decoupling of GPP and biomass accumulation more severely than observed in this study [56]. This study is limited to 2024 data due to past power constraints at our remote site. While this single-year focus limits the assessment of interannual variability, these results provide a high-resolution mechanistic snapshot of an extreme climatic year. Crucially, the modeling approach in this study was designed to elucidate biophysical driving mechanisms rather than to perform time-series forecasting. Under the constraints of a single-year dataset, a random data partitioning strategy was employed, as it allows for a more robust evaluation of the model’s ability to generalize these ecological mechanisms across the full range of observed environmental variability. This ensures that the model learns the response functions of NEP to environmental drivers without the biases potentially introduced by chronological splitting in a limited time series. Future research will utilize multi-year eddy covariance datasets to further validate these findings, while specifically incorporating seasonal dynamics to enhance predictive capabilities and long-term forecasting accuracy.
4.2. Nonlinear Regulation and Threshold Constraints of Environmental Factors
Environmental factors impacting ecosystem productivity often exhibit complex nonlinear characteristics, and identifying the turning points identified as thresholds is crucial for precision agricultural management [57,58]. Analysis based on the XGBoost model and SHAP values identified Rn as the primary driver of NEP variations in the Moso bamboo forest during 2024, with a significant positive promotion effect on productivity [59]. Dependence plots (Figure 7) showed a Rn influence threshold of 75.28 W m−2, below which photosynthesis was limited and the carbon budget shifted toward a source, whereas NEP turned positive and increased with radiation once this threshold was surpassed [60]. From an agrometeorological perspective, light resources are the primary limiting factor for Moso bamboo yield, suggesting that stand density regulation should aim beyond ventilation to ensure sub-canopy radiation levels remain above the effective group scale threshold of 75.28 W m−2 to maximize group light use efficiency [61].
In contrast to the positive drive of radiation, water-related factors exhibited unexpected negative threshold effects. The critical point for PPT was only 1.85 mm (Figure 7), beyond which the marginal effect on NEP became negative [62]. This threshold does not imply absolute inhibition by rainfall, but rather reflects the dominance of concomitant radiation attenuation under the regional climate, where precipitation events are associated with dense cloud cover and low sunshine hours, which drastically reduce photosynthetically active radiation [29]. Furthermore, the negative drive observed when the α exceeded 0.51 confirmed that excessive energy allocation to latent heat, namely evaporation rather than sensible heat, corresponds to high-humidity and low-radiation environments [63]. This implies, for subtropical bamboo management, that natural precipitation increases do not necessarily guarantee yield gains, as prolonged rainy periods significantly suppress dry matter accumulation due to light deficits [64].
Thermal conditions represent another critical dimension influencing respiratory consumption and net yield formation. This study found negative turning thresholds for Ta and Ts at 17.85 and 21.28 °C, respectively. These thresholds are significantly lower than the optimal temperature for Moso bamboo photosynthesis, reflecting a much higher sensitivity of respiration to temperature, particularly during the sustained 2024 summer heatwaves, which triggered exponential increases in ecosystem respiration and substantial thermal consumption [65]. From a crop physiological perspective, environmental temperatures consistently above 17.85 °C drive heat-induced maintenance respiration that consumes photosynthates and reduces carbohydrate reserves for culm growth and rhizome systems [66]. Consequently, in response to climate warming and extreme heat events, agricultural management must address the implicit carbon losses in yield formation by implementing physical cooling measures such as under-canopy spray irrigation to mitigate respiratory losses [67].
4.3. Impacts of Factor Interactions on Annual Yield
The productivity of the Moso bamboo forest ecosystem is not regulated by independent single factors, but instead results from the synergistic effects of multiple environmental variables, as shown by the dominance of interactions between Rn and PPT (Figure 8a), which provides a scientific basis for agricultural water management [68,69,70]. In practical management, the contribution of moisture to yield depends largely on the radiation background, where excessive rainfall, accompanied by low radiation, fails to translate into actual yield, whereas water supply becomes critical for maintaining high photosynthesis during periods of intense summer radiation [71]. Consequently, precise irrigation, based on the water light synergy effect by supplementing water under the premise of sufficient radiation, represents an effective pathway for enhancing the annual yield of Moso bamboo forests [72].
For factors whose interaction contributions exceed their main effects, such as VPD, LAI, and Ω, the management significance lies in optimizing microclimatic environments through structural adjustments [73]. These factors primarily function through coupling with other environmental variables (Figure 8b), where the extremely high interaction contribution of LAI implies that adjusting stand structure through reasonable thinning or pruning can alter light patterns and air circulation within the canopy, thereby alleviating the restrictions imposed by elevated VPD on stomatal conductance [74]. Such group regulation measures based on factor interaction characteristics are more effective in stabilizing the net yield increase rate of agroforestry systems compared to focusing solely on single moisture or temperature variables.
Regarding the extreme heat and late summer drought observed in August 2024, the stagnation of the cumulative NEP growth curve highlights the critical importance of summer management for yield stability [75,76]. Given the significant interaction between Ts and Ta, along with distinct negative driving thresholds, heat stress emerged as the core obstacle to yield in that year. In agricultural practice, warning mechanisms should be established based on the measured patterns of rapid precipitation decline and temperatures exceeding 17.85 °C in August. Implementing composite management measures such as mulching for moisture conservation or under-canopy spray irrigation can directly supplement water to mitigate the negative impacts of precipitation deficits while effectively regulating forest microclimates to offset the respiratory losses generated by high temperatures, thereby ensuring stable annual yields during years of climatic fluctuation [75,76,77].
This study advances the mechanistic understanding of subtropical bamboo forest carbon dynamics by employing an XGBoost framework to capture the nonlinear thresholds and synergetic interactions between NEP and environmental drivers like Rn, PPT, and alpha. These findings provide a theoretical baseline for evaluating ecosystem resilience under climatic extremes while offering practical evidence for optimizing forest management. By identifying specific environmental thresholds, this work supports more accurate carbon accounting and the development of sustainable irrigation and harvesting strategies to maintain bamboo forest carbon sinks in a warming world.
5. Conclusions
Based on continuous observations and modeling analyses of the Moso bamboo forest ecosystem in 2024, this study yields the following three core conclusions: Firstly, the Moso bamboo forest ecosystem functioned as a weak carbon sink in 2024 with an annual cumulative NEP of 120 g C m−2. Influenced by respiratory losses as high as 860 g C m−2, the carbon use efficiency reached only approximately 12.2%. The extreme late summer drought in August caused a near stagnation in net productivity accumulation, indicating that summer climatic extremes represent the core factor limiting annual biomass yield. Secondly, Rn served as the primary driver for productivity formation with a positive contribution threshold of 75.28 W m−2. PPT exceeding 1.85 mm or Ta surpassing 17.85 °C both exerted significant negative driving effects on NEP. This confirms that radiation attenuation during rainy periods and respiration surges induced by high temperatures are the principal physiological causes restricting material accumulation in Moso bamboo. Thirdly, complex interactions among environmental factors significantly regulated yield formation. The interaction between Rn and PPT was the most prominent, confirming that the contribution of moisture to productivity is highly dependent on the radiation background. For factors such as VPD and LAI, interaction effect contributions exceeded their main effects. Specifically, these preliminary findings observed during the 2024 extreme weather events suggest that adaptive thinning could be explored as a potential strategy to maintain an optimal LAI, which may improve canopy ventilation and mitigate VPD-driven water stress under similar extreme conditions. Furthermore, based on the dominant RN-PPT interaction identified within this one-year study, management during events like the August heatwave could prioritize the testing of precision irrigation to alleviate the moisture-induced limitation on radiation use efficiency. These recommendations are proposed as hypotheses to be rigorously validated through future multi-year research. Implementing these concrete strategies to reduce respiratory losses and enhance photosynthetic efficiency is essential for ensuring the carbon sequestration and economic yield of subtropical Moso bamboo forests under climate extremes. While this study characterizes the response of NEP during the extreme climatic year of 2024, long-term continuous observations remain essential to fully summarize generalized ecological patterns. Collectively, this research provides a critical synthetic framework for understanding the sustainability and carbon sequestration resilience of subtropical bamboo ecosystems in the face of increasing climatic extremes.
Author Contributions
Methodology, K.Z. and C.J.; Software, X.H. and B.D.; Validation, C.L. and H.L.; Formal analysis, K.Z., H.L. and C.J.; Data curation, K.Z., M.L. and X.H.; Writing—original draft, K.Z.; Writing—review and editing, W.C. and C.J.; Supervision, H.L. and C.J. All authors have read and agreed to the published version of the manuscript.
Funding
The study was supported by the National Natural Science Foundation of China (Grant No. 62472216), the Open Subject Funding (Grant No. CQORS-2024-2), and the Natural Science Foundation of Chongqing (Grant No. CSTB2022NSCQ-MSX1121). The U.S.–China Carbon Consortium (USCCC) promoted this work by providing opportunities for discussion and exchange of ideas.
Institutional Review Board Statement
Not applicable.
Informed Consent Statement
Not applicable.
Data Availability Statement
Data will be made available on request.
Conflicts of Interest
The authors declare no conflicts of interest.
References
- Ahlström, A.; Xia, J.; Arneth, A.; Luo, Y.; Smith, B. Importance of vegetation dynamics for future terrestrial carbon cycling. Environ. Res. Lett. 2015, 10, 054019. [Google Scholar] [CrossRef]
- Hari, M.; Tyagi, B. Terrestrial carbon cycle: Tipping edge of climate change between the atmosphere and biosphere ecosystems. Environ. Sci. Atmos. 2022, 2, 867–890. [Google Scholar] [CrossRef]
- Luo, Y.; Weng, E. Dynamic disequilibrium of the terrestrial carbon cycle under global change. Trends Ecol. Evol. 2011, 26, 96–104. [Google Scholar] [CrossRef]
- Pang, Y.; Chen, C.; Guo, B.; Qi, D.; Luo, Y. Impacts of Climate Change and Anthropogenic Activities on the Net Primary Productivity of Grassland in the Southeast Tibetan Plateau. Atmosphere 2023, 14, 1217. [Google Scholar] [CrossRef]
- Rao, K.; Sarma, D.; Deb Burman, P.K.; Agarwal, G.; Datye, A.; Tiwari, Y.K.; Gogoi, N. Subtropical forest floor CO2 emission at the Kaziranga National Park in Northeast India. Environ. Monit. Assess. 2025, 197, 133. [Google Scholar] [CrossRef] [PubMed]
- Aubinet, M.; Grelle, A.; Ibrom, A.; Rannik, Ü.; Moncrieff, J.; Foken, T.; Kowalski, A.S.; Martin, P.H.; Berbigier, P.; Bernhofer, C.; et al. Estimates of the Annual Net Carbon and Water Exchange of Forests: The EUROFLUX Methodology. Adv. Ecol. Res. 1999, 30, 113–175. [Google Scholar]
- Ciais, P.; Reichstein, M.; Viovy, N.; Granier, A.; Ogée, J.; Allard, V.; Aubinet, M.; Buchmann, N.; Bernhofer, C.; Carrara, A.; et al. Europe-wide reduction in primary productivity caused by the heat and drought in 2003. Nature 2005, 437, 529–533. [Google Scholar] [CrossRef]
- Ohtsuka, T.; Mo, W.; Satomura, T.; Inatomi, M.; Koizumi, H. Biometric Based Carbon Flux Measurements and Net Ecosystem Production (NEP) in a Temperate Deciduous Broad-Leaved Forest Beneath a Flux Tower. Ecosystems 2007, 10, 324–334. [Google Scholar] [CrossRef]
- Baldocchi, D.D. Assessing the eddy covariance technique for evaluating carbon dioxide exchange rates of ecosystems: Past, present and future. Glob. Change Biol. 2003, 9, 479–492. [Google Scholar] [CrossRef]
- Baldocchi, D.D.; Black, T.A.; Curtis, P.S.; Falge, E.; Fuentes, J.D.; Granier, A.; Gu, L.; Knohl, A.; Pilegaard, K.; Schmid, H.P.; et al. Predicting the onset of net carbon uptake by deciduous forests with soil temperature and climate data: A synthesis of FLUXNET data. Int. J. Biometeorol. 2005, 49, 377–387. [Google Scholar] [CrossRef]
- Black, T.A.; Den Hartog, G.; Neumann, H.H.; Blanken, P.D.; Yang, P.C.; Russell, C.; Nesic, Z.; Lee, X.; Chen, S.G.; Staebler, R.; et al. Annual cycles of water vapour and carbon dioxide fluxes in and above a boreal aspen forest. Glob. Change Biol. 1996, 2, 219–229. [Google Scholar] [CrossRef]
- Cheng, X.-F.; Shi, P.-J.; Hui, C.; Wang, F.-S.; Liu, G.-H.; Li, B.-L. An optimal proportion of mixing broad-leaved forest for enhancing the effective productivity of moso bamboo. Ecol. Evol. 2015, 5, 1576–1584. [Google Scholar] [CrossRef]
- Gu, R.; Wei, S.; Li, J.; Zheng, S.; Li, Z.; Liu, G.; Fan, S. Predicting the impacts of climate change on the geographic distribution of moso bamboo in China based on biomod2 model. Eur. J. For. Res. 2024, 143, 1499–1512. [Google Scholar] [CrossRef]
- Li, C.; Cai, Y.; Xiao, L.; Gao, X.; Shi, Y.; Du, H.; Zhou, Y.; Zhou, G. Effects of different planting approaches and site conditions on aboveground carbon storage along a 10-year chronosequence after moso bamboo reforestation. For. Ecol. Manage. 2021, 482, 118867. [Google Scholar] [CrossRef]
- Zhao, J.; Wang, B.; Yang, Z. Effects of Precious Tree Introduction into Moso Bamboo Forests on Soil Carbon and Nitrogen Pools. Forests 2023, 13, 1927. [Google Scholar] [CrossRef]
- Zhao, Z.; Tao, C.; Liu, X.; Cheng, X.; Zhou, C.; Huang, S.; Shou, M.; Zhang, Q.; Huang, B.; Li, C.; et al. Effects of Different Management Measures on Carbon Stocks and Soil Carbon Stocks in Moso Bamboo Forests: Meta-Analysis and Control Experiment. Forests 2024, 15, 496. [Google Scholar] [CrossRef]
- Song, X.; Chen, X.; Zhou, G.; Jiang, H.; Peng, C. Observed high and persistent carbon uptake by Moso bamboo forests and its response to environmental drivers. Agric. For. Meteorol. 2017, 247, 467–475. [Google Scholar] [CrossRef]
- Xu, Y.; Du, H.; Mao, F.; Li, X.; Zhou, G.; Huang, Z.; Guo, K.; Zhang, M.; Luo, X.; Chen, C.; et al. Effects of chlorophyll fluorescence on environment and gross primary productivity of moso bamboo during the leaf-expansion stage. J. Environ. Manag. 2024, 360, 121185. [Google Scholar] [CrossRef] [PubMed]
- Zheng, Z.; Mao, F.; Du, H.; Li, X.; Ye, F.; Teng, X.; Yang, N.; Yu, J.; Song, M.; Zhao, Y. Drought-induced shifts in gross primary production pathways in Moso bamboo forests: Insights from improved BIOME-BGC and structural equation modeling. Ecol. Indic. 2025, 170, 113133. [Google Scholar] [CrossRef]
- Xu, C.; Mao, F.; Du, H.; Li, X.; Sun, J.; Ye, F.; Zheng, Z.; Teng, X.; Yang, N. Full phenology cycle carbon flux dynamics and driving mechanism of Moso bamboo forest. Front. Plant Sci. 2024, 15, 1359265. [Google Scholar] [CrossRef]
- Zhou, Y.; Zhou, G.; Du, H.; Shi, Y.; Mao, F.; Liu, Y.; Xu, L.; Li, X.; Xu, X. Biotic and abiotic influences on monthly variation in carbon fluxes in on-year and off-year Moso bamboo forest. Trees-Struct. Funct. 2019, 33, 153–169. [Google Scholar] [CrossRef]
- Ge, X.; Zhou, B.; Wang, X.; Li, Q.; Cao, Y.; Gu, L. Imposed drought effects on carbon storage of moso bamboo ecosystem in southeast China: Results from a field experiment. Ecol. Res. 2018, 33, 393–402. [Google Scholar] [CrossRef]
- Liu, Y.; Zhou, G.; Du, H.; Berninger, F.; Mao, F.; Li, X.; Chen, L.; Cui, L.; Li, Y.; Zhu, D. Soil respiration of a Moso bamboo forest significantly affected by gross ecosystem productivity and leaf area index in an extreme drought event. PeerJ 2018, 6, e5747. [Google Scholar] [CrossRef] [PubMed]
- Xu, X.; Du, H.; Zhou, G.; Li, P.; Shi, Y.; Zhou, Y. Eddy covariance analysis of the implications of drought on the carbon fluxes of Moso bamboo forest in southeastern China. Trees-Struct. Funct. 2016, 30, 1807–1820. [Google Scholar] [CrossRef]
- Loguercio, G.A.; Simon, A.; Winter, A.N.; Ivancich, H.; Reiter, E.J.; Caselli, M.; Heinzle, F.G.; Leuschner, C.; Walentowski, H. Carbon density and sequestration in the temperate forests of northern Patagonia, Argentina. Front. For. Glob. Change 2024, 7, 1373187. [Google Scholar] [CrossRef]
- Huang, X.; Liu, X.; Liao, L.; Li, J.; Luo, G.; Li, B.; Ma, Z.; Wang, Z. Grazing decreases carbon storage in the Qinghai-Tibet Plateau grasslands. Commun. Earth Environ. 2025, 6, 198. [Google Scholar] [CrossRef]
- Zhang, Z.; Gao, H.; Gao, X.; Huang, S.; Niu, S.; Lugato, E.; Xia, X. Short-term warming supports mineral-associated carbon accrual in abandoned croplands. Nat. Commun. 2025, 16, 344. [Google Scholar] [CrossRef]
- Huang, Y.; Xiao, J.; Li, X.; Xu, Z.; Tian, P.; Xie, S.; Zhang, Z.; Zhang, S.; Chen, M.; Chen, Y. High Temperature and VPD Amplify Tidal Suppression of the SIF–GPP Relationship in a Mangrove Restoration Area in Southeast China. IEEE Trans. Geosci. Remote Sens. 2025, 63, 3608266. [Google Scholar] [CrossRef]
- Ji, Y.; Zeng, S.; Liu, X.; Xia, J. Mutual inhibition effects of elevated CO2 and climate change on global forest GPP. Environ. Res. 2024, 252, 119145. [Google Scholar] [CrossRef]
- Zheng, C.; Wang, S.; Chen, J.; Xiang, N.; Sun, L.; Chen, B.; Fu, Z.; Zhu, K.; He, X. Divergent impacts of VPD and SWC on ecosystem carbon-water coupling under different dryness conditions. Sci. Total Environ. 2023, 905, 167007. [Google Scholar] [CrossRef]
- Wilhelm, E.; Battino, R.; Wilcock, R.J. Low-pressure solubility of gases in liquid water. Chem. Rev. 1977, 77, 219–262. [Google Scholar] [CrossRef]
- Papale, D.; Reichstein, M.; Aubinet, M.; Canfora, E.; Bernhofer, C.; Kutsch, W.; Longdoz, B.; Rambal, S.; Valentini, R.; Vesala, T.; et al. Towards a standardized processing of Net Ecosystem Exchange measured with eddy covariance technique: Algorithms and uncertainty estimation. Biogeosciences 2006, 3, 571–583. [Google Scholar] [CrossRef]
- Krishnan, P.; Meyers, T.P.; Scott, R.L.; Kennedy, L.; Heuer, M. Energy exchange and evapotranspiration over two temperate semi-arid grasslands in North America. Agric. For. Meteorol. 2012, 153, 31–44. [Google Scholar] [CrossRef]
- Reichstein, M.; Falge, E.; Baldocchi, D.; Papale, D.; Aubinet, M.; Berbigier, P.; Bernhofer, C.; Buchmann, N.; Gilmanov, T.; Granier, A.; et al. On the separation of net ecosystem exchange into assimilation and ecosystem respiration: Review and improved algorithm. Glob. Change Biol. 2005, 11, 1424–1439. [Google Scholar] [CrossRef]
- Monteith, J.; Unsworth, M. Principles of Environmental Physics; Elsevier Science & Technology: San Diego, CA, USA, 2007. [Google Scholar]
- Jarvis, P.G.; McNaughton, K.G. Stomatal Control of Transpiration: Scaling Up from Leaf to Region. Adv. Ecol. Res. 1986, 15, 1–49. [Google Scholar]
- Aires, L.M.; Pio, C.A.; Pereira, J.S. The effect of drought on energy and water vapour exchange above a mediterranean C3/C4 grassland in Southern Portugal. Agric. For. Meteorol. 2008, 148, 565–579. [Google Scholar] [CrossRef]
- Priestley, C.H.B.; Taylor, R.J. On the Assessment of Surface Heat Flux and Evaporation Using Large-Scale Parameters. Mon. Weather Rev. 1972, 100, 81–92. [Google Scholar] [CrossRef]
- Jia, X.; Zha, T.S.; Gong, J.N.; Wu, B.; Zhang, Y.Q.; Qin, S.G.; Chen, G.P.; Feng, W.; Kellomaki, S.; Peltola, H. Energy partitioning over a semi-arid shrubland in northern China. Hydrol. Process. 2016, 30, 972–985. [Google Scholar] [CrossRef]
- El Bilali, A.; Abdeslam, T.; Ayoub, N.; Lamane, H.; Ezzaouini, M.A.; Elbeltagi, A. An interpretable machine learning approach based on DNN, SVR, Extra Tree, and XGBoost models for predicting daily pan evaporation. J. Environ. Manag. 2023, 327, 116890. [Google Scholar] [CrossRef]
- Jia, Z.; Zhang, Z.; Cheng, Y.; Buhebaoyin; Borjigin, S.; Quan, Z. Grassland biomass spatiotemporal patterns and response to climate change in eastern Inner Mongolia based on XGBoost model estimates. Ecol. Indic. 2024, 158, 111554. [Google Scholar] [CrossRef]
- Jin, C.; Zha, T.; Bourque, C.P.A.; Fan, Z.; Zhang, W.; Di, K.; Jiao, Y.; Ma, Q.; Yuan, D.; Zhao, H.; et al. Spatiotemporal variation in carbon use efficiency derived from eddy-covariance measurement of global terrestrial biomes. Agric. For. Meteorol. 2025, 361, 110318. [Google Scholar] [CrossRef]
- Genuer, R.; Poggi, J.-M.; Tuleau-Malot, C. Variable selection using random forests. Pattern Recognit. Lett. 2010, 31, 2225–2236. [Google Scholar] [CrossRef]
- Jin, C.; Zha, T.; Bourque, C.P.A.; Liu, P.; Jia, X.; Tian, Y.; Li, X.; Liu, X.; Guo, X.; Xu, M.; et al. Key stress indicators from chlorophyll fluorescence in five desert plant species. Ecol. Indic. 2022, 145, 109679. [Google Scholar] [CrossRef]
- Zhang, W.; Fan, Z.; Jin, C.; Jiao, Y.; Di, K.; Feng, M.; Lu, Y.; Zhao, K.; Zhao, H.; Hao, S.; et al. Reversal of the sensitivity of vegetation productivity to precipitation in global terrestrial biomes over the recent decade. Agric. For. Meteorol. 2025, 370, 110598. [Google Scholar] [CrossRef]
- Chakraborty, D.; Ciceu, A.; Ballian, D.; Benito Garzón, M.; Bolte, A.; Bozic, G.; Buchacher, R.; Čepl, J.; Cremer, E.; Ducousso, A.; et al. Assisted tree migration can preserve the European forest carbon sink under climate change. Nat. Clim. Chang. 2024, 14, 845–852. [Google Scholar] [CrossRef]
- Pan, Y.; Birdsey, R.A.; Fang, J.; Houghton, R.; Kauppi, P.E.; Kurz, W.A.; Phillips, O.L.; Shvidenko, A.; Lewis, S.L.; Canadell, J.G.; et al. A Large and Persistent Carbon Sink in the World’s Forests. Science 2011, 333, 988–993. [Google Scholar] [CrossRef]
- Pan, Y.; Birdsey, R.A.; Phillips, O.L.; Houghton, R.A.; Fang, J.; Kauppi, P.E.; Keith, H.; Kurz, W.A.; Ito, A.; Lewis, S.L.; et al. The enduring world forest carbon sink. Nature 2024, 631, 563–569. [Google Scholar] [CrossRef]
- Lv, J.; Li, Q.; Cao, T.; Shi, M.; Peng, C.; Deng, L.; Song, X. A compartmentation approach to deconstruct ecosystem carbon fluxes of a Moso bamboo forest in subtropical China. For. Ecosyst. 2025, 12, 100286. [Google Scholar] [CrossRef]
- Domeignoz-Horta, L.A.; Cappelli, S.L.; Shrestha, R.; Gerin, S.; Lohila, A.K.; Heinonsalo, J.; Nelson, D.B.; Kahmen, A.; Duan, P.; Sebag, D.; et al. Plant diversity drives positive microbial associations in the rhizosphere enhancing carbon use efficiency in agricultural soils. Nat. Commun. 2024, 15, 8065. [Google Scholar] [CrossRef]
- He, X.; Abs, E.; Allison, S.D.; Tao, F.; Huang, Y.; Manzoni, S.; Abramoff, R.; Bruni, E.; Bowring, S.P.K.; Chakrawal, A.; et al. Emerging multiscale insights on microbial carbon use efficiency in the land carbon cycle. Nat. Commun. 2024, 15, 8010. [Google Scholar] [CrossRef]
- Sazeides, C.I.; Fyllas, N.M. Simulating Net Ecosystem Productivity (NEP) in Mediterranean Pine Forests (Pinus brutia) During the 21st Century: The Effect of Leaf Area Index and Elevation. Plants 2025, 14, 1090. [Google Scholar] [CrossRef] [PubMed]
- Zhou, L.; Wang, Y.; Jia, Q.; Zhou, G. Increasing temperature shortened the carbon uptake period and decreased the cumulative net ecosystem productivity in a maize cropland in Northeast China. Field Crop. Res. 2021, 267, 108150. [Google Scholar] [CrossRef]
- Fan, Y.; Li, L.; Ma, T.; Hou, X. Melatonin Affects Leymus chinensis Aboveground Growth and Photosynthesis by Regulating Rhizome Growth. Agronomy 2024, 14, 1151. [Google Scholar] [CrossRef]
- Gao, Y.; Wang, S.; Chen, L.; Wu, F.; Yu, G. Achieving accurate regional carbon-sink accounting and its significance for “missing” carbon sinks. Innovation 2024, 5, 100552. [Google Scholar] [CrossRef]
- Ke, P.; Ciais, P.; Sitch, S.; Li, W.; Bastos, A.; Liu, Z.; Xu, Y.; Gui, X.; Bian, J.; Goll, D.S.; et al. Low latency carbon budget analysis reveals a large decline of the land carbon sink in 2023. Natl. Sci. Rev. 2024, 11, nwae367. [Google Scholar] [CrossRef]
- Xu, J.; Xiong, Q.; Jing, Y.; Xing, L.; An, R.; Tong, Z.; Liu, Y.; Liu, Y. Understanding the nonlinear effects of the street canyon characteristics on human perceptions with street view images. Ecol. Indic. 2023, 154, 110756. [Google Scholar] [CrossRef]
- Zhao, Y.; Wang, L.; Jiang, Q.; Wang, Z. Spatiotemporal nonlinear characteristics and threshold effects of China’s water resources. J. Environ. Manag. 2025, 373, 123633. [Google Scholar] [CrossRef]
- Huang, X.; Liu, X.; Jin, Y.; Gao, X.; Chen, Y. Identification and attribution analysis of integrated ecological zones based on the XGBoost-SHAP model: A case study of Chengdu, China. Ecol. Indic. 2025, 177, 113787. [Google Scholar] [CrossRef]
- Liu, Z.; Bi, H.; Zhao, D.; Guan, N.; Wang, N.; Song, Y. Determination of Fractional Vegetation Cover Threshold Based on the Integrated Synergy–Supply Capacity of Ecosystem Services. Forests 2025, 16, 587. [Google Scholar] [CrossRef]
- Lai, P.; Marshall, M.; Darvishzadeh, R.; Nelson, A. Crop productivity under heat stress: A structural analysis of light use efficiency models. Agric. For. Meteorol. 2025, 362, 110376. [Google Scholar] [CrossRef]
- Wei, Y.; She, D.; Zheng, H.; Zhang, X.; Wang, L.; Xia, J. Precipitation deficit related drought induces the decrease in the sensitivity of GPP to air temperature and radiation in mainland China. J. Hydrol. 2026, 664, 134333. [Google Scholar] [CrossRef]
- Guo, D.; Yang, M.; Wang, H. Sensible and latent heat flux response to diurnal variation in soil surface temperature and moisture under different freeze/thaw soil conditions in the seasonal frozen soil region of the central Tibetan Plateau. Environ. Earth Sci. 2011, 63, 97–107. [Google Scholar] [CrossRef]
- Dong, L.; Wang, X. Inconsistent influence of temperature, precipitation, and CO2 variations on the plateau alpine vegetation carbon flux. npj Clim. Atmos. Sci. 2025, 8, 91. [Google Scholar] [CrossRef]
- Niu, S.; Chen, W.; Liáng, L.L.; Sierra, C.A.; Xia, J.; Wang, S.; Heskel, M.; Patel, K.F.; Bond-Lamberty, B.; Wang, J.; et al. Temperature responses of ecosystem respiration. Nat. Rev. Earth Environ. 2024, 5, 559–571. [Google Scholar] [CrossRef]
- Gudasz, C.; Karlsson, J.; Bastviken, D. When does temperature matter for ecosystem respiration? Environ. Res. Commun. 2021, 3, 121001. [Google Scholar] [CrossRef]
- Alongi, D.M. Impacts of Climate Change on Blue Carbon Stocks and Fluxes in Mangrove Forests. Forests 2022, 13, 149. [Google Scholar] [CrossRef]
- Qin, Y.; Wang, C.; Zhou, T.; Fei, Y.; Xu, Y.; Qiao, X.; Jiang, M. Interactions between leaf traits and environmental factors help explain the growth of evergreen and deciduous species in a subtropical forest. For. Ecol. Manag. 2024, 560, 121854. [Google Scholar] [CrossRef]
- Soubeyrand, M.; Marchand, P.; Duchesne, L.; Bergeron, Y.; Gennaretti, F. Interactions between climate, soil and competition drive tree growth in Quebec forests. For. Ecol. Manag. 2024, 555, 121731. [Google Scholar] [CrossRef]
- Jin, C.; Zha, T.; Bourque, C.P.; Jia, X.; Tian, Y.; Liu, P.; Li, X.; Xu, M.; Guo, Z.; Hu, Z. Ecosystem-scale carbon dynamics in desert Shrublands: Unraveling the complex interplay among leaf functional and physiological traits and environment. Agric. For. Meteorol. 2024, 355, 110133. [Google Scholar] [CrossRef]
- Wang, M.; Jin, C.; Gao, Y.; Zhang, W.; Di, K.; Jiao, Y.; Wu, L.; Fan, Z.; Yi, C.; Cai, N.; et al. Does the reduction of precipitation always suppress vegetation productivity? J. Plant Ecol. 2025, rtaf200. [Google Scholar] [CrossRef]
- Bittencourt, P.R.L.; Barros, F.d.V.; Eller, C.B.; Müller, C.S.; Oliveira, R.S. The fog regime in a tropical montane cloud forest in Brazil and its effects on water, light and microclimate. Agric. For. Meteorol. 2019, 265, 359–369. [Google Scholar] [CrossRef]
- Hu, Z.; Jin, C.; Peng, S.; Yang, Y.; Yang, G.; Smith, N.G. Simulating climatic responses of vegetation production with ecological optimality theories. Innov. Geosci. 2025, 3, 100153. [Google Scholar] [CrossRef]
- Sinan, M.; Hasenauer, H. How to determine the leaf area index (LAI) of forests: A comparison of forest inventory versus satellite-driven estimates. For. Ecosyst. 2025, 13, 100332. [Google Scholar] [CrossRef]
- Zhang, W.; Chen, W.; Xu, M.; Di, K.; Feng, M.; Wu, L.; Wang, M.; Yang, W.; Xie, H.; Chen, J.; et al. Differences in the Sensitivity of Gross Primary Productivity and Ecosystem Respiration to Precipitation. Forests 2025, 16, 153. [Google Scholar] [CrossRef]
- Jin, C.; Jian, J.; Bourque, C.P.A.; Zha, T.; Dai, L.; Yang, Y.; Fu, R.; Chen, Q.; Liu, P.; Li, X.; et al. Soil autotrophic-to-heterotrophic-respiration ratio and its controlling factors across several terrestrial biomes: A global synthesis. Catena 2024, 242, 108118. [Google Scholar] [CrossRef]
- Dai, L.; Liang, M.; Chen, A.; Yang, G.; Jin, C.; Yuan, W.; Hu, Z. Increased asymmetry of ecosystem productivity responses to precipitation in recent two decades. Geophys. Res. Lett. 2025, 52, e2024GL113861. [Google Scholar] [CrossRef]
Disclaimer/Publisher’s Note: The statements, opinions and data contained in all publications are solely those of the individual author(s) and contributor(s) and not of MDPI and/or the editor(s). MDPI and/or the editor(s) disclaim responsibility for any injury to people or property resulting from any ideas, methods, instructions or products referred to in the content. |
© 2026 by the authors. Licensee MDPI, Basel, Switzerland. This article is an open access article distributed under the terms and conditions of the Creative Commons Attribution (CC BY) license.








