Effects of Climate Change and Crop Management on Wheat Phenology in Arid Oasis Areas
Abstract
1. Introduction
- Examine the spatiotemporal variations in wheat phenological phases, phenological durations, and climatic elements (precipitation, sunshine duration, average temperature, minimum temperature, and maximum temperature) across the 26 stations in Xinjiang during each phenological period;
- Explore dynamic linkages between climatic elements and changes in phenological durations;
- Clarify and quantify the independent effects of climate change and crop management practices on the lengths of wheat phenological phases and yield;
- Assess and compare the relative contribution magnitudes of climate change versus crop management to the observed variations in wheat phenology;
- Determine the proportional contributions of temperature, precipitation, and sunshine hours to climate-driven shifts in wheat phenology.
2. Materials and Methods
2.1. Wheat Phenology, Wheat Yield, and Climate Data
2.2. Methods
2.2.1. Temporal Trends in Climatic Factors, Wheat Phenology, and Yield
2.2.2. Analysis of Correlation and Path Coefficients Among Wheat Phenological Stages, WY, and Related Climatic Factors
2.2.3. Disentangle the Effects of Climate Change and Crop Management Practices on Wheat Phenology and Yield
2.2.4. Relative Contributions of Each Factor to Wheat Phenology Trends
2.2.5. Data Analysis Tools and Graphing Software
3. Results
3.1. Spatiotemporal Patterns of Climatic Factors Across Disparate Phenological Phases
3.2. Spatiotemporal Patterns of Phenological Phase Lengths in Wheat
3.3. Impacts of Climate Change on Phenological Periods
3.4. Pearson’s Correlation Coefficients for Phenological Phases Versus Climate Variables
3.5. Path Analysis of Wheat Phenological Stage Responses to Climate Variables
3.6. Effects of Climate Variability and Crop Management on Wheat Phenological Stages
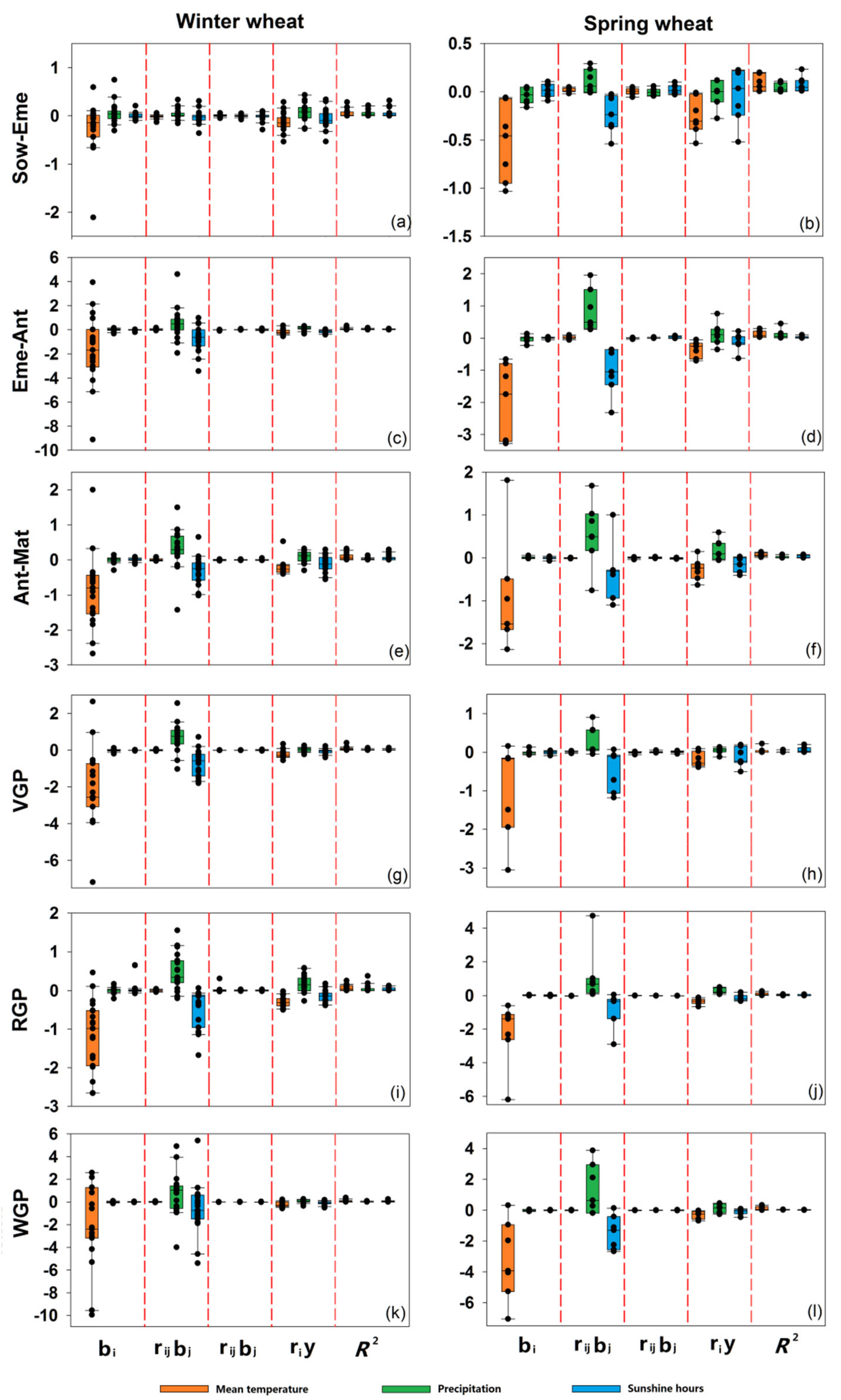
3.7. Comparative Impacts of Temperature, Precipitation, and Sunshine Hours on Wheat Phenology
3.8. Relationship Between Wheat Phenology and WY
3.9. Impacts of Climate Change and Crop Management Measures on WY
4. Discussion
4.1. Climate Change-Driven Shifts in Wheat Phenology
4.2. The Influence of Projected Climate Change on Wheat Phenological Stages and Yield Formation
5. Conclusions
- Changes in temperature, light, and precipitation drive differentiated the phenological responses of winter and spring wheat. During the growing period of winter and spring wheat, air temperature and precipitation show an upward trend, while sunshine duration exhibits species-specific characteristics (decreasing for winter wheat and increasing for spring wheat). Most key phenological stages of both types advance, and the total growth period is shortened, showing differentiated adaptive features.
- Crop management is the dominant factor regulating wheat phenology. The impacts of crop management and integrated climate-management measures on phenology are stronger than that of climate change alone. It can reshape the growth process by adjusting phenological rhythms, providing core support for climate adaptation.
- Phenology–yield correlation rules clarify the direction for high-yield regulation. The correlation patterns between yield and phenology differ between winter and spring wheat. Winter wheat requires an extended total growth period and reproductive growth stage, while spring wheat needs optimized allocation of vegetative and reproductive growth, providing a basis for field management and variety selection.
- Suggestion: Synergize “variety + management” to adapt to climate change. Prioritize breeding wheat varieties with strong adaptability, a high and stable yield, and simultaneously optimize supporting measures such as sowing date and irrigation to offset the impact of shortened growth period and ensure regional wheat production security.
Supplementary Materials
Author Contributions
Funding
Data Availability Statement
Conflicts of Interest
References
- IPCC. Climate Change 2023: Synthesis Report; Core Writing Team, Lee, H., Romero, J., Eds.; IPCC: Geneva, Switzerland, 2023. [Google Scholar] [CrossRef]
- Clark, J.S.; Melillo, J.; Mohan, J.; Salk, C. The seasonal timing of warming that controls onset of the growing season. Global Change Biol. 2014, 20, 1136–1145. [Google Scholar] [CrossRef] [PubMed]
- Anwar, M.R.; Liu, D.L.; Farquharson, R.; Macadam, I.; Abadi, A.; Finlayson, J.; Wang, B.; Ramilan, T. Climate change impacts on phenology and yields of five broadacre crops at four climatologically distinct locations in Australia. Agric. Syst. 2015, 132, 133–144. [Google Scholar] [CrossRef]
- Liu, Q.; Fu, Y.; Zhu, Z.; Liu, Y.; Liu, Z.; Huang, M.; Janssens, I.; Piao, S. Delayed autumn phenology in the Northern Hemisphere is related to change in both climate and spring phenology. Glob. Change Biol. 2016, 22, 3702–3711. [Google Scholar] [CrossRef] [PubMed]
- Craufurd, P.Q.; Wheeler, T.R. Climate change and the flowering time of annual crops. J. Exp. Bot. 2009, 60, 2529–2539. [Google Scholar] [CrossRef]
- He, L.; Asseng, S.; Zhao, G.; Wu, D.; Yang, X.; Zhuang, W.; Jin, N.; Yu, Q. Impacts of recent climate warming, cultivar changes, and crop management on winter wheat phenology across the Loess Plateau of China. Agric. For. Meteorol. 2015, 200, 135–143. [Google Scholar] [CrossRef]
- Tao, F.; Zhang, S.; Zhang, Z. Spatiotemporal changes of wheat phenology in China under the effects of temperature, day length and cultivar thermal characteristics. Eur. J. Agron. 2012, 43, 201–212. [Google Scholar] [CrossRef]
- Zhou, H.; Min, X.; Chen, J.; Lu, C.; Huang, Y.; Zhang, Z.; Liu, H. Climate warming interacts with other global change drivers to influence plant phenology: A meta-analysis of experimental studies. Ecol. Lett. 2023, 26, 1370–1381. [Google Scholar] [CrossRef]
- Liu, Y.; Chen, Q.; Ge, Q.; Dai, J.; Qin, Y.; Dai, L.; Zou, X.; Chen, J. Modelling the impacts of climate change and crop management on phenological trends of spring and winter wheat in China. Agric. For. Meteorol. 2018, 248, 518–526. [Google Scholar] [CrossRef]
- Li, N.; Li, Y.; Biswas, A.; Wang, J.; Dong, H.; Chen, J.; Liu, C.; Fan, X. Impact of climate change and crop management on cotton phenology based on statistical analysis in the main-cotton-planting areas of China. J. Clean. Prod. 2021, 298, 126750. [Google Scholar] [CrossRef]
- Tao, F.; Zhang, L.; Zhang, Z.; Chen, Y. Climate warming outweighed agricultural managements in affecting wheat phenology across China during 1981–2018. Agr. Forest Meteorol. 2022, 316, 108865. [Google Scholar] [CrossRef]
- Zhao, Y.; Xiao, P.; Bai, H.; Tao, F. Research progress on the response and adaptation of crop phenology to climate change in China. Prog. Geogr. 2019, 38, 224–235. [Google Scholar]
- Collins, B.; Chenu, K. Improving productivity of Australian wheat by adapting sowing date and genotype phenology to future climate. Clim. Risk Manag. 2021, 32, 100300. [Google Scholar] [CrossRef]
- Gong, K.; Rong, L.; Zhang, Y.; Wang, X.; Duan, F.; Li, X.; He, Z.; Jiang, T.; Chen, S.; Feng, H.; et al. Efficient agronomic practices narrow yield gaps and alleviate climate change impacts on winter wheat production in China. Commun. Earth Environ. 2025, 6, 290. [Google Scholar] [CrossRef]
- Huang, J.; Huang, J.; Gu, Y.; Wang, M.; Gu, R. Analysis on temperature sensitivity and the response of winter wheat phenology to climate change in Xinjiang. Guizhou Agric. Sci. 2023, 51, 124–133. [Google Scholar]
- Gui, D.; Lin, J.; Liu, Y.; Liu, Q.; Zhang, S.; Liu, C. Video presentation: High-precision oasis dataset of China. J. Glob. Change Data Discov. 2024, 8, 455–460. [Google Scholar]
- Wang, Y.G.; Xiao, D.N.; Li, Y. Dynamic characteristics of land degradation development in agricultural oasis of desert-oasis ecotone. Trans. CSAE 2007, 23, 83–90. [Google Scholar]
- Lobell, D.B.; Ortiz-Monasterio, J.L.; Asner, G.P.; Matson, P.A.; Naylor, R.L.; Falcon, W.P. Analysis of wheat yield and climatic trends in Mexico. Field Crops Res. 2005, 94, 250–256. [Google Scholar] [CrossRef]
- Zhang, T.; Huang, Y. Estimating the impacts of warming trends on wheat and maize in China from 1980 to 2008 based on county level data. Int. J. Climatol. 2013, 33, 699–708. [Google Scholar] [CrossRef]
- Verón, S.R.; De Abelleyra, D.; Lobell, D.B. Impacts of precipitation and temperature on crop yields in the Pampas. Clim. Change 2015, 130, 235–245. [Google Scholar] [CrossRef]
- Gujarati, D.N.; Porter, D.C. Basic Econometrics, 5th ed.; McGraw-Hill: New York, NY, USA, 2009. [Google Scholar]
- Han, C.; Kim, H. The Role of Constant Instruments in Dynamic Panel Estimation. Econ. Lett. 2014, 124, 500–503. [Google Scholar] [CrossRef]
- Kennedy, P. A Guide to Econometrics, 6th ed.; Blackwell Publishing: Malden, MA, USA, 2008. [Google Scholar]
- Hsiao, C. Analysis of Panel Data, 3rd ed.; Cambridge University Press: Cambridge, UK, 2014. [Google Scholar]
- Bhatt, D.; Maskey, S.; Babel, M.; Uhlenbrook, S.; Prasad, K.C. Climate trends and impacts on crop production in the Koshi River basin of Nepal. Reg. Environ. Change 2014, 14, 1291–1301. [Google Scholar] [CrossRef]
- Lobell, D.B.; Cahill, K.N.; Field, C.B. Historical effects of temperature and precipitation on California crop yields. Clim. Change 2007, 81, 187–203. [Google Scholar] [CrossRef]
- Dong, Z.; Zhang, X.; Li, J.; Zhang, C.; Wei, T.; Yang, Z.; Cai, T.; Zhang, P.; Ding, R.; Jia, Z. Photosynthetic characteristics and grain yield of winter wheat (Triticum aestivum L.) in response to fertilizer, precipitation, and soil water storage before sowing under the ridge and furrow system: A path analysis. Agric. For. Meteorol. 2019, 272–273, 12–19. [Google Scholar] [CrossRef]
- Pettigrew, W.T. The effect of higher temperatures on cotton lint yield production and fiber quality. Crop Sci. 2008, 48, 279–285. [Google Scholar] [CrossRef]
- Snider, J.L.; Oosterhuis, D.M.; Skulman, B.W.; Kawakami, E.M. Heat stress-induced limitations to reproductive success in Gossypium hirsutum. Physiol. Plantarum 2009, 137, 125–138. [Google Scholar] [CrossRef]
- Estrella, N.; Sparks, T.H.; Menzel, A. Trends and temperature response in the phenology of crops in Germany. Glob. Change Biol. 2007, 13, 1737–1747. [Google Scholar] [CrossRef]
- Li, Z.; Yang, P.; Tang, H.; Wu, W.; Yin, H.; Liu, Z.; Zhang, L. Response of maize phenology to climate warming in Northeast China between 1990 and 2012. Reg. Environ. Change 2014, 14, 39–48. [Google Scholar] [CrossRef]
- Xiao, D.; Tao, F.; Liu, Y.; Shi, W.; Wang, M.; Liu, F.; Zhang, A.; Zhu, Z. Observed changes in winter wheat phenology in the North China Plain for 1981–2009. Int. J. Biometeorol. 2013, 57, 275–285. [Google Scholar] [CrossRef]
- Gao, J.; Yang, B.; Liao, J.; Liu, Y. Changes of Main Crops Growth Periods in China and Their Influencing Factors in the Context of Climate Warming. Chin. J. Agrometeorol. 2025, 46, 1261–1276. [Google Scholar]
- Wang, Y.; Zhang, X.; Shi, J.; Shen, Y. Climate change and its effect on winter wheat yield in the main winter wheat production areas of China. Chin. J. Eco-Agric. 2022, 30, 723–734. [Google Scholar]
- McMaster, G.S.; Green, T.R.; Erskine, R.H.; Edmunds, D.A.; Ascough, J.C. Spatial interrelationships between wheat phenology, thermal time, and terrain attributes. Agron. J. 2012, 104, 1110–1121. [Google Scholar] [CrossRef]
- Lindstrom, M.J.; Papendick, R.I.; Koehler, F.E. A model to predict winter wheat emergence as affected by soil temperature, water potential, and depth of planting. Agron. J. 1976, 68, 137–141. [Google Scholar] [CrossRef]
- Porter, J.R.; Gawith, M. Temperatures and the growth and development of wheat: A review. Eur. J. Agron. 1999, 10, 23–36. [Google Scholar] [CrossRef]
- Roper, W.R.; Osmond, D.L.; Heitman, J.L. Wheat cover crop has minimal effect on physical soil properties in the North Carolina Piedmont. Agron. J. 2024, 116, 2599–2614. [Google Scholar] [CrossRef]
- Liu, Y.; Chen, Q.; Ge, Q.; Dai, J. Spatiotemporal differentiation of changes in wheat phenology in China under climate change from 1981 to 2010. Sci. China Earth Sci. 2018, 61, 1088–1097. [Google Scholar] [CrossRef]
- Yao, Y.; Wang, R.; Yang, J.; Xiao, G.; Zhang, X. Impacts of climatic change on spring wheat growth in a semi-arid region of the Loess Plateau: A case study in Dingxi, Gansu Province. Acta Ecol. Sin. 2011, 31, 4225–4234. [Google Scholar]
- Zhang, K.; Wang, R.; Wang, H.; Zhao, H.; Zhao, F.; Yang, F.; Chen, F.; Qi, Y.; Lei, J. Synergistic Effects of Increased Temperature and Decreased Precipitation on the Growth and Yield of Spring Wheat in Semi-Arid Regions. Chin. J. Eco-Agric. 2019, 27, 413–421. [Google Scholar]
- Zheng, N.; Lu, X.; Zhao, J.; Fu, Y.; Ye, Z. Speeding wheat breeding using super-long lighting and immature embryo culture in vitro. J. Zhejiang Univ. (Agric. Life Sci.) 2024, 50, 838–844. [Google Scholar]
- Shen, Y.Z.; Guo, S.S. Effects of Photoperiod on Growth, Development, Yield and Nutritional Quality of Wheat in Controlled System. J. Triticeae Crops 2015, 35, 64–70. [Google Scholar]
- Dowla, M.N.U.; Edwards, I.; O’Hara, G.; Islam, S.; Ma, W. Developing Wheat for Improved Yield and Adaptation Under a Changing Climate: Optimization of a Few Key Genes. Engineering 2018, 4, 514–522. [Google Scholar] [CrossRef]
- Rezaei, E.E.; Siebert, S.; Ewert, F. Climate and management interaction cause diverse crop phenology trends. Agric. For. Meteorol. 2017, 233, 55–70. [Google Scholar] [CrossRef]
- Friend, D.J.C.; Helson, V.A.; Fisher, J.E. The rate of dry weight accumulation in marquis wheat as affected by temperature and light intensity. Can. J. Bot. 1962, 40, 939–955. [Google Scholar] [CrossRef]
- Yu, X.R.; Hao, D.; Gu, Q.Q.; Ni, A.C.; Xia, M.J.; Zang, Y.; Xiong, F. Effect of late spring coldness on caryopsis development of wheat. J. Triticeae Crops 2020, 40, 796–805. [Google Scholar]
- Guo, Y.; Zhao, J.; Wang, Z.; Gao, Z.; Du, X.; Dang, H. Effect of increasing temperature during late winter and early spring on wheat source-sink performance in northern North China Plain. Acta Agric. Boreali-Sin. 2023, 38, 77–86. [Google Scholar]
- Wang, S. A modelling study of the effects of temperature and daylength to the development of wheat. Acta Agric. Boreali-Sin. 1986, 1, 28–36. [Google Scholar]
- Li, L.; McMaster, G.S.; Jin, G.; Zhang, Y.; Prasad, P.V.V. Modification of the sine equation for thermal time calculation to account for cardinal temperatures in wheat development. Field Crops Res. 2008, 107, 102–115. [Google Scholar]
- Cui, Y.; Lu, J.; Qin, Y.; Zhang, S.; Liu, S.; Zhao, F.; Min, M.; Feng, T.; Li, J.; Liu, X.; et al. The phenology variations of spring wheat and their relationship with hydrothermal climatic conditions in China. J. Henan Univ. (Nat. Sci.) 2018, 48, 1–9. [Google Scholar]
- Chen, Y. Analysis of the Impacts of Climate Change on Annual Wheat-Maize Production Based on RCP Scenarios. Master’s Thesis, Shandong Agricultural University, Taian, China, 2018. [Google Scholar]
- Cong, J.; Zhao, C.; Asseng, S.; Wang, X.; Müller, C.; Jägermeyr, J.; Tian, X.; Liu, Z.; Zhao, J.; Gao, B.; et al. Potential expansion of wheat planting areas driven by climate warming offsets yield losses and enhances global production. One Earth 2025, 9, 101464. [Google Scholar] [CrossRef]
- Li, M.; Tang, Y.; Li, C.; Wu, X.; Tao, X.; Liu, M. Climate warming causes changes in wheat phenological development that benefit yield in the Sichuan Basin of China. Eur. J. Agron. 2022, 139, 126574. [Google Scholar] [CrossRef]
- Wang, R.; Zhao, C.; Asseng, S.; Liu, B.; Ruane, A.C.; Cong, J.; Wang, X.; Liu, Z.; Zhao, J.; Yang, X. Winter Dormant Wheat Will Benefit From Mean Temperature Increase of 2°C When Well-Watered and Fertilized in the Main Producing Regions of China. Glob. Chang. Biol. 2025, 31, e70324. [Google Scholar]
- Dubetz, S. Effect of soil type, soil moisture, and nitrogen fertilizer on the growth of spring wheat. Can. J. Soil. Sci. 1961, 41, 44–51. [Google Scholar] [CrossRef]
- Christensen, S.; Jensen, S.M. Unravelling the Complexities of Genotype-Soil-Management Interaction for Precision Agriculture. Agronomy 2023, 13, 2727. [Google Scholar] [CrossRef]
- Zhang, Q.; Men, X.; Hui, C.; Ge, F.; Ouyang, F. Wheat yield losses from pests and pathogens in China. Agric. Ecosyst. Environ. 2022, 326, 107821. [Google Scholar] [CrossRef]
- Pequeno, D.N.; Ferreira, T.B.; Fernandes, J.M.; Singh, P.K.; Pavan, W.; Sonder, K.; Robertson, R.; Krupnik, T.J.; Erenstein, O.; Asseng, S. Production vulnerability to wheat blast disease under climate change. Nat. Clim. Change 2024, 14, 178–183. [Google Scholar] [CrossRef]
- Ma, C.S.; Wang, B.X.; Wang, X.J.; Lin, Q.C.; Zhang, W.; Yang, X.F.; van Baaren, J.; Bebber, D.P.; Eigenbrode, S.D.; Zalucki, M.P.; et al. Crop pest responses to global changes in climate and land management. Nat. Rev. Earth Environ. 2025, 6, 264–283. [Google Scholar] [CrossRef]
- Jat, M.L.; Jat, R.K.; Singh, P.; Jat, S.L.; Sidhu, H.S.; Jat, H.S.; Niya, D.B.; Parihar, C.M.; Gupta, R. Predicting yield and stability analysis of wheat under different crop management systems across agro-ecosystems in India. Am. J. Plant Sci. 2017, 8, 1977–2012. [Google Scholar] [CrossRef]
- Liu, B.; Li, G.; Zhang, Y.; Zhang, L.; Lu, D.; Yan, P.; Yue, S.; Hoogenboom, G.; Meng, Q.; Chen, X. Optimizing management strategies to enhance wheat productivity in the North China Plain under climate change. J. Integr. Agric. 2025, 24, 2989–3003. [Google Scholar] [CrossRef]
- Li, H.; Liu, S.; Guo, J.; Liu, F.; Song, F.; Li, X. Effect of the transgenerational exposure to elevated CO2 on low temperature tolerance of winter wheat: Chloroplast ultrastructure and carbohydrate metabolism. J. Agron. Crop Sci. 2019, 205, 54–64. [Google Scholar] [CrossRef]
- Li, X.; Ulfat, A.; Shokat, S.; Liu, S.; Zhu, X.; Liu, F. Responses of carbohydrate metabolism enzymes in leaf and spike to CO2 elevation and nitrogen fertilization and their relations to grain yield in wheat. Environ. Exp. Bot. 2019, 164, 149–156. [Google Scholar] [CrossRef]
- Zong, Y.; Zhang, H.; Li, P.; Zhang, D.; Lin, W.; Xue, J.; Gao, Z.; Hao, X. Effects of Elevated Atmospheric CO2 Concentration and Temperature on Photosynthetic Characteristics, Carbon and Nitrogen Metabolism in Flag Leaves and Yield of Winter Wheat in North China. Sci. Agric. Sin. 2021, 54, 4984–4995. [Google Scholar]
- Xu, Y.; Tang, J.; Xia, J.; Ma, Y.; Shang, B.; Liu, B.; Kobayashi, K.; Feng, Z.; Agathokleous, E. Joint Ozone Pollution and Climate Warming Reduce Yield but Enhance Grain Protein Content in a Resistant Wheat Variety. Glob. Change Biol. 2025, 31, e70351. [Google Scholar]
- Liu, X.; Chu, B.; Tang, R.; Liu, Y.; Qiu, B.; Gao, M.; Li, X.; Sun, H.; Huang, X.; Desai, A.R.; et al. Air quality improvements can strengthen China’s food security. Nat. Food 2024, 5, 158–170. [Google Scholar] [CrossRef]
- Xu, Y.; Feng, Z.; Bao, M.; Li, Y.; Xia, J.; Xu, S.; Agathokleous, E.; Kobayashi, K.; Shang, B.; Liu, B. Warming mitigates ozone damage to wheat photosynthesis in a FACE experiment. Plant Cell Environ. 2025, 48, 2312–2328. [Google Scholar]
- Avnery, S.; Mauzerall, D.L.; Fiore, A.M. Increasing global agricultural production by reducing ozone damages via methane emission controls and ozone-resistant cultivar selection. Glob. Chang. Bio. 2013, 19, 1285–1299. [Google Scholar]
- Kang, M.; Zhang, D.; Cao, Y.; Xiao, L.; Tang, L.; Liu, L.; Liu, B. Integrative adaptation strategies for stabilizing wheat productivity with rising temperatures in China. Agric. Syst. 2026, 231, 104548. [Google Scholar] [CrossRef]
- An, X.; Zhang, H.J.; Jiang, F.S.; Lü, L.J.; Chen, J. Effects of Different Sowing Dates and Sowing Densities on the Population Structure and Yield of Two Spike Type Winter Wheats. Crops 2018, 132–136. [Google Scholar] [CrossRef]
- Wang, Z.; Liu, Q.; Wang, J.; Gong, J.; Yao, Q. Simulation of Response of Spring Wheat Yield and Biomass to Nitrogen Application Rate and Sowing Date in Dryland under Future Meteorological Conditions. Crops 2025, 276–282. [CrossRef]
- Yu, K.; Zhang, Y.Q.; Han, S.L.; Mu, M.C.; Shan, Y.S. Research on technology of grain production under double-cropping system in Yantai City. Chin. J. Eco-Agric. 2011, 19, 848–853. [Google Scholar]
- Yuan, L.; Tang, Y.; Huang, G.; Yu, Y. Effect of sowing date on the grain yield of spring wheat. Southw. China J. Agric. Sci. 2000, 13, 25–31. [Google Scholar]
- Slafer, G.A.; Savin, R.; Sadras, V.O. Wheat yield is not causally related to the duration of the growing season. Eur. J. Agron. 2023, 148, 126885. [Google Scholar] [CrossRef]
- Zhang, B.C.; Li, F.M.; Qi, G.P. Effects of regulated deficit irrigation on grain yield of spring wheat in an arid environment. Chin. J. Eco-Agric. 2007, 15, 58–62. [Google Scholar]
- Gao, M.; Liu, F.; Zhang, H.; Yuan, H.; Zong, R.; Zhang, M.; Li, Q. Exploring the Effects of Irrigation Schedules on Evapotranspiration Partitioning and Crop Water Productivity of Winter Wheat (Triticum aestivum L.) in North China Plain Using RZWQM2. J. Agron. Crop Sci. 2024, 210, e12760. [Google Scholar] [CrossRef]
- Zheng, H.; Zheng, C.; Sun, C.; Zheng, Y.; Cao, C.; Zhang, A.; Zhang, J.; Dang, H. Micro-sprinkler irrigation with optimal irrigation regimes maintain grain yields while increasing carbon emission efficiency and water productivity of winter wheat on the North China Plain. Agric. Water Manag. 2025, 321, 109933. [Google Scholar] [CrossRef]
- Jiang, Z.; Fang, S.; Wu, D.; Liu, X.; Zhao, H.; Guo, J.; Zhang, X.; Zhu, Y.; Li, X.; Wu, Y.; et al. Response to climate warming of winter wheat varieties bred across different eras in the North China Plain. Sci. China Earth Sci. 2024, 67, 3855–3867. [Google Scholar] [CrossRef]
- Wang, Y.; Li, S.; Xu, P.; Zhang, Z.; Jing, R. Agronomic traits and cluster analysis of wheat varieties (lines) in the Huanghuai and middle-lower Yangtze River winter wheat regions. Chin. J. Eco-Agric. 2020, 28, 395–404. [Google Scholar]
- Lei, Z.; Lin, Z.; Li, C. Breeding Methods for High-Yield Wheat in the Huanghuai Wheat Region. Crops 1994, 10, 10–12. [Google Scholar]













| Cropping System | Station Code | Station Name | Latitude (°) | Longitude (°) | Altitude (m) | Time Series of Yield and Phenology (Year) |
|---|---|---|---|---|---|---|
| WW (19) | 51133 | Tacheng | 46.6947 | 82.9495 | 495 | 1981–2021 |
| 51346 | Wusu | 44.43 | 84.67 | 478.7 | 1986–2021 | |
| 51358 | Wulanwusu | 44.28 | 85.82 | 468.5 | 1990–2021 | |
| 51368 | Changji | 44.12 | 87.32 | 515.7 | 1981–2021 | |
| 51434 | Yining | 43.95 | 81.33 | 662.5 | 1983–2021 | |
| 51436 | Xinyuan | 43.45 | 83.3 | 928.2 | 1982–2021 | |
| 51628 | Aksu | 41.12 | 80.38 | 1107.1 | 1981–2021 | |
| 51633 | Baicheng | 41.78 | 81.9 | 1229.2 | 1985–2021 | |
| 51642 | Luntai | 41.82 | 84.27 | 982 | 1981–2021 | |
| 51644 | Kuche | 41.7167 | 82.9667 | 1099.2 | 1981–2021 | |
| 51708 | Akto | 39.15 | 75.95 | 1325.1 | 1984–2021 | |
| 51709 | Kashgar | 39.48 | 75.75 | 1385.6 | 1983–2021 | |
| 51716 | Bachu | 39.8 | 78.57 | 1116.5 | 1983–2021 | |
| 51777 | Ruoqiang | 39.02 | 88.18 | 888.2 | 1981–2021 | |
| 51810 | Maigaiti | 38.92 | 77.63 | 1178.2 | 1985–2021 | |
| 51811 | Shache | 38.43 | 77.27 | 1231.2 | 1981–2021 | |
| 51814 | Yecheng | 37.92 | 77.4 | 1360.4 | 1981–2021 | |
| 51828 | Hetian | 37.13 | 79.93 | 1375 | 1984–2021 | |
| 51931 | Yutian | 36.85 | 81.65 | 1422 | 1982–2021 | |
| SW (7) | 51076 | Altay | 47.73 | 88.08 | 735.3 | 1981–2021 |
| 51238 | Bole | 44.9 | 82.07 | 532.2 | 1981–2021 | |
| 51379 | Qitai | 44.02 | 89.57 | 793.5 | 1981–2021 | |
| 51437 | Zhaosu | 43.15 | 81.1333 | 1851 | 1982–2021 | |
| 51567 | Yanqi | 42.05 | 86.6 | 1055.3 | 1981–2021 | |
| 52101 | Barkol | 43.6 | 93.05 | 1679.4 | 1981–2021 | |
| 52203 | Hami | 42.82 | 93.52 | 737.2 | 1981–2021 |
| Factor | Item | Sow–Eme | Eme–Ant | Ant–Mat | VGP | RGP | WGP |
|---|---|---|---|---|---|---|---|
| Tmax | Trend a | 0.019 (0.079) | 0.038 (0.131) | 0.042 (0.034) | 0.036 (0.054) | 0.043 (0.038) | 0.082 (0.046) |
| Increase | 14 (7) | 19 (7) | 19 (7) | 19 (7) | 19 (7) | 18 (7) | |
| Increase * | 5 (5) | 14 (7) | 16 (5) | 14 (7) | 16 (6) | 17 (7) | |
| Tmin | Trend a | 0.045 (0.089) | 0.041 (0.059) | 0.045 (0.054) | 0.041 (0.068) | 0.049 (0.055) | 0.039 (0.062) |
| Increase | 16 (7) | 17 (7) | 17 (7) | 17 (7) | 17 (7) | 16 (7) | |
| Increase * | 12 (7) | 15 (6) | 16 (6) | 15 (7) | 16 (7) | 15 (7) | |
| Tmean | Trend a | 0.031 (0.083) | 0.037 (0.052) | 0.041 (0.041) | 0.036 (0.059) | 0.040 (0.044) | 0.043 (0.052) |
| Increase | 14 (7) | 18 (7) | 18 (7) | 18 (7) | 18 (7) | 17 (7) | |
| Increase * | 9 (7) | 14 (6) | 15 (6) | 14 (7) | 15 (7) | 13 (7) | |
| Pre | Trend b | 0.005 (0.061) | 0.259 (−0.011) | −0.044 (0.133) | 0.235 (0.096) | −0.059 (0.063) | 0.189 (0.158) |
| Increase | 9 (6) | 13 (3) | 8 (4) | 11 (4) | 9 (3) | 12 (4) | |
| Decrease * | 0 (0) | 0 (0) | 2 (1) | 0 (0) | 1 (1) | 0 (0) | |
| Ssh | Trend c | 0.003 (0.208) | −0.985 (0.580) | 0.181 (−0.255) | −1.337 (0.672) | 0.411 (−0.142) | −0.684 (0.530) |
| Increase | 11 (7) | 6 (5) | 12 (3) | 6 (5) | 15 (3) | 6 (4) | |
| Increase * | 1 (1) | 2 (2) | 2 (0) | 1 (1) | 3 (0) | 2 (1) |
| Phenological Stage | Trend | Winter Wheat | Spring Wheat |
|---|---|---|---|
| Sowing | Insignificant increase | 4 | 3 |
| Significant increase | 12 | 0 | |
| Insignificant decrease | 2 | 2 | |
| Significant decrease | 1 | 2 | |
| Emergence | Insignificant increase | 5 | 1 |
| Significant increase | 11 | 0 | |
| Insignificant decrease | 1 | 4 | |
| Significant decrease | 2 | 2 | |
| Booting | Insignificant increase | 0 | 1 |
| Significant increase | 0 | 0 | |
| Insignificant decrease | 3 | 1 | |
| Significant decrease | 16 | 5 | |
| Anthesis | Insignificant increase | 1 | 0 |
| Significant increase | 0 | 0 | |
| Insignificant decrease | 2 | 2 | |
| Significant decrease | 16 | 5 | |
| Maturity | Insignificant increase | 3 | 3 |
| Significant increase | 0 | 0 | |
| Insignificant decrease | 5 | 1 | |
| Significant decrease | 11 | 3 | |
| Sowing–Emergence | Insignificant increase | 11 | 1 |
| Significant increase | 2 | 0 | |
| Insignificant decrease | 3 | 3 | |
| Significant decrease | 3 | 3 | |
| Emergence–Anthesis | Insignificant increase | 1 | 1 |
| Significant increase | 0 | 0 | |
| Insignificant decrease | 2 | 4 | |
| Significant decrease | 16 | 2 | |
| Anthesis–Maturity | Insignificant increase | 9 | 3 |
| Significant increase | 7 | 3 | |
| Insignificant decrease | 6 | 1 | |
| Significant decrease | 0 | 0 | |
| VGP | Insignificant increase | 0 | 2 |
| Significant increase | 0 | 0 | |
| Insignificant decrease | 3 | 3 | |
| Significant decrease | 16 | 2 | |
| RGP | Insignificant increase | 7 | 4 |
| Significant increase | 6 | 1 | |
| Insignificant decrease | 4 | 1 | |
| Significant decrease | 2 | 1 | |
| WGP | Insignificant increase | 1 | 1 |
| Significant increase | 0 | 0 | |
| Insignificant decrease | 2 | 5 | |
| Significant decrease | 16 | 1 |
| Tmax | Tmin | Tmean | Pre | Ssh | |
|---|---|---|---|---|---|
| Sow–Eme | ↓ (↑) | ↑ (↓) | ↑ (↓) | ↑ (↓) | ↓ (↑) |
| Eme–Ant | ↑ (↑) | ↑ (↑) | ↑ (↑) | ↓ (↓) | ↓ (↓) |
| Ant–Mat | ↑ (↑) | ↓ (↑) | ↓ (↑) | ↓ (↑) | ↓ (↑) |
| VGP | ↑ (↑) | ↑ (↑) | ↑ (↑) | ↓ (↑) | ↓ (↑) |
| RGP | ↓ (↑) | ↑ (↑) | ↑ (↑) | ↑ (↑) | ↓ (↑) |
| WGP | ↑ (↑) | ↑ (↑) | ↑ (↑) | ↑ (↑) | ↓ (↑) |
Disclaimer/Publisher’s Note: The statements, opinions and data contained in all publications are solely those of the individual author(s) and contributor(s) and not of MDPI and/or the editor(s). MDPI and/or the editor(s) disclaim responsibility for any injury to people or property resulting from any ideas, methods, instructions or products referred to in the content. |
© 2026 by the authors. Licensee MDPI, Basel, Switzerland. This article is an open access article distributed under the terms and conditions of the Creative Commons Attribution (CC BY) license.
Share and Cite
Huang, J.; Huang, J.; Wu, P.; Xing, W.; Wang, X. Effects of Climate Change and Crop Management on Wheat Phenology in Arid Oasis Areas. Agriculture 2026, 16, 314. https://doi.org/10.3390/agriculture16030314
Huang J, Huang J, Wu P, Xing W, Wang X. Effects of Climate Change and Crop Management on Wheat Phenology in Arid Oasis Areas. Agriculture. 2026; 16(3):314. https://doi.org/10.3390/agriculture16030314
Chicago/Turabian StyleHuang, Jian, Juan Huang, Pengfei Wu, Wenyuan Xing, and Xiaojun Wang. 2026. "Effects of Climate Change and Crop Management on Wheat Phenology in Arid Oasis Areas" Agriculture 16, no. 3: 314. https://doi.org/10.3390/agriculture16030314
APA StyleHuang, J., Huang, J., Wu, P., Xing, W., & Wang, X. (2026). Effects of Climate Change and Crop Management on Wheat Phenology in Arid Oasis Areas. Agriculture, 16(3), 314. https://doi.org/10.3390/agriculture16030314
