Sign in to use this feature.

Years

Between: -

Subjects

remove_circle_outline
remove_circle_outline
remove_circle_outline
remove_circle_outline
remove_circle_outline
remove_circle_outline
remove_circle_outline
remove_circle_outline
remove_circle_outline

Journals

remove_circle_outline
remove_circle_outline
remove_circle_outline
remove_circle_outline
remove_circle_outline

Article Types

Countries / Regions

Search Results (173)

Search Parameters:
Keywords = ambiguity matrix

Order results
Result details
Results per page
Select all
Export citation of selected articles as:
23 pages, 1550 KB  
Article
A Study on the Supply–Demand Relationship of Cultural Ecosystem Services in the Changbai Mountain Tourism Area
by Zhe Feng, Hengdong Feng, Da Zhang, Ning Ding and Haoyu Wen
Land 2026, 15(4), 650; https://doi.org/10.3390/land15040650 - 15 Apr 2026
Viewed by 136
Abstract
Cultural ecosystem services (CES) provide non-material benefits that support human well-being and motivate ecosystem conservation, yet their subjectivity and spatial ambiguity complicate quantitative assessment and management. Taking the Changbai Mountain tourism area as a case, we adopted the ecosystem service matrix method to [...] Read more.
Cultural ecosystem services (CES) provide non-material benefits that support human well-being and motivate ecosystem conservation, yet their subjectivity and spatial ambiguity complicate quantitative assessment and management. Taking the Changbai Mountain tourism area as a case, we adopted the ecosystem service matrix method to assess the CES supply score based on the natural system and human system. The service coverage density was obtained through accessibility, thereby quantifying the available supply index for each tourist source area. In addition, we quantified CES demand using a questionnaire survey. Demand for 10 CES types was measured via preference ranking and integrated with the entropy weight method; statistical analysis and GIS mapping were used to examine spatial patterns and influencing factors. Results show that: (1) The overall CES demand in the Changbai Mountain tourism area exhibits clear spatial differentiation, with higher demand in the central and eastern regions and lower demand in the northwest. High-demand areas are mainly concentrated in cities relatively close to the Changbai Mountain tourism area. (2) Among individual CES, recreation (r = 6.58), natural landscapes (r = 6.35), and aesthetic value (r = 6.19) receive the highest demand, and demand structure is significantly associated with occupation, education level, consumption level, and spatial distance. The results indicate that cultural services dominated by knowledge-based services are significantly positively correlated with educational level (r = 0.549, p < 0.001). (3) CES supply capacity shows strong seasonal fluctuations, and is frequently overloaded during peak seasons, leading to prominent supply–demand conflicts; with the exception of Shenyang, Dalian, Jilin and Anshan, the other 17 cities exhibit supply–demand imbalance. By integrating multiple CES types and multiple drivers, this study reveals spatial matching patterns of CES supply and demand in a complex mountain ecotourism region and provides evidence to support ecotourism management, service capacity improvement, and sustainable development. Full article
(This article belongs to the Special Issue Human–Environment Interactions in Land Use and Regional Development)
26 pages, 12708 KB  
Article
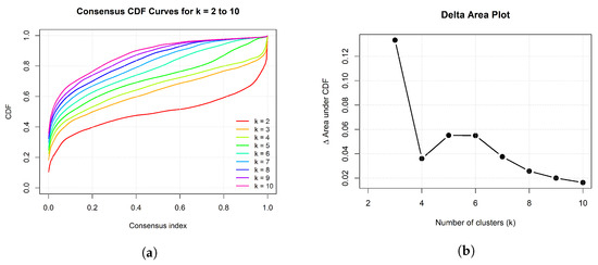
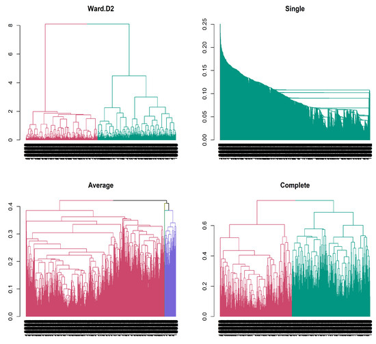
Subsampling-Based Consensus Hierarchical Clustering for Robust Customer Segmentation with Mixed-Type Data
by Nooshin Marefat, Purificación Galindo-Villardón and Purificación Vicente-Galindo
Mathematics 2026, 14(8), 1294; https://doi.org/10.3390/math14081294 - 13 Apr 2026
Viewed by 162
Abstract
Hierarchical clustering is an unsupervised framework that organizes observations according to pairwise similarity relationships. In this study, an agglomerative hierarchical approach combined with Gower dissimilarity is employed to accommodate mixed-type customer data. To address data quality issues such as missing values and outliers, [...] Read more.
Hierarchical clustering is an unsupervised framework that organizes observations according to pairwise similarity relationships. In this study, an agglomerative hierarchical approach combined with Gower dissimilarity is employed to accommodate mixed-type customer data. To address data quality issues such as missing values and outliers, Multiple Imputation by Chained Equations (MICE) and Winsorization are incorporated into the preprocessing pipeline. To validate cluster stability and identify the optimal number of clusters, we employ silhouette analysis, the Davies–Bouldin Index (DBI), the Proportion of Ambiguous Clustering (PAC), and a subsampling-based consensus clustering framework. A consensus-based hierarchical tree derived from the consensus matrix is employed to assess the robustness of the segmentation structure. The resulting clusters are further evaluated through comparisons with baseline algorithms for mixed-type data, including Partitioning Around Medoids (PAM) based on Gower dissimilarity and the K-prototypes method, together with statistical tests confirming significant behavioral differences between the identified segments. From an application standpoint, these results provide a data-driven basis for customer targeting by identifying distinct behavioral patterns, thereby supporting more effective engagement strategies and optimized resource allocation. Full article
Show Figures

Figure 1

35 pages, 3044 KB  
Article
Estimating the Coherency Matrices of Polarised and Depolarised Components of PolSAR Data
by J. David Ballester-Berman, Qinghua Xie and Hongtao Shi
Remote Sens. 2026, 18(7), 1043; https://doi.org/10.3390/rs18071043 - 30 Mar 2026
Viewed by 266
Abstract
Model-based polarimetric SAR (PolSAR) algorithms for bio- and geophysical parameter estimation rely on the effective separation of the combined scattering response of vegetation canopies and the soil surface through physically based models. However, the interpretation of polarimetric features derived from physical models is [...] Read more.
Model-based polarimetric SAR (PolSAR) algorithms for bio- and geophysical parameter estimation rely on the effective separation of the combined scattering response of vegetation canopies and the soil surface through physically based models. However, the interpretation of polarimetric features derived from physical models is still subject to some ambiguity. Another strategy for complementing the model-based approaches for scattering mechanisms characterisation deals with the separation of the polarised and depolarised contributions of the PolSAR data according to their degree of polarisation. In this paper, we propose a two-component decomposition for estimating the depolarised and polarised components within the target and their corresponding coherency matrices. The method requires the previous calculation of the backscattering powers given by the model-free three-component (MF3C) decomposition, which in turn relies on the 3-D Barakat degree of polarisation. This quantitative information allows us to construct an inversion algorithm to retrieve the proportion of the polarised and depolarised contributions for all the elements of the observed coherency matrix under the reflection symmetry assumption. In essence, the proposed decomposition can be regarded as an extension of the MF3C method and, as a consequence, it enables the exploitation of both model-free and model-based approaches by using a physical rationale driven by the capability of the 3-D Barakat degree of polarisation. Therefore, practical applications can benefit from this approach as the retrieval of target parameters could presumably be done in a more accurate way by directly applying existing scattering models to both components. Indoor multi-frequency datasets acquired over three vegetation samples from the European Microwave Signature Laboratory (EMSL) and P-, L-, and C-band AIRSAR images over a boreal forest in Germany have been employed for testing the proposed decomposition. Performance analysis was performed using different polarimetric tools applied to the outcomes of the two-component decomposition, namely, the eigendecomposition and the copolar cross-correlation analysis of polarised and depolarised components, as well as histograms and a correlation analysis among backscattering powers. Overall, it has been observed that the method outputs are consistent with the theoretical expectations for the depolarised and polarised scattering components for a wide range of scenarios and sensor frequencies. Full article
Show Figures

Figure 1

22 pages, 1016 KB  
Article
Critical Resilience Factors for Post-Disaster Tourism Recovery: Evidence from Baños de Agua Santa via Fuzzy Multi Criteria Analysis
by Giovanni Herrera-Enríquez, Eddy Castillo-Montesdeoca, Luis Simbaña-Taipe and Juan Gabriel Martínez-Navalón
Tour. Hosp. 2026, 7(3), 84; https://doi.org/10.3390/tourhosp7030084 - 17 Mar 2026
Viewed by 342
Abstract
Tourism destinations exposed to chronic natural hazards require robust analytical frameworks to understand and prioritize the factors that sustain post-disaster resilience. This study examines Baños de Agua Santa (Ecuador), a volcano-exposed destination whose long recovery trajectory illustrates the complexity of socio-ecological adaptation. Using [...] Read more.
Tourism destinations exposed to chronic natural hazards require robust analytical frameworks to understand and prioritize the factors that sustain post-disaster resilience. This study examines Baños de Agua Santa (Ecuador), a volcano-exposed destination whose long recovery trajectory illustrates the complexity of socio-ecological adaptation. Using a multidimensional FAHP model grounded in expert judgments, eight dimensions and fifty-six criteria were evaluated through fuzzy triangular numbers and the extended analysis method of Chang to capture uncertainty and ambiguity in decision-making. Results show a consistent and hierarchical structure of resilience, with experiential, economic-entrepreneurial, and socio-community dimensions emerging as the most influential drivers of post-disaster adaptability. Fifteen criteria—primarily perceptual, community-based, and endogenous—achieved “very high impact” status, including risk perception, basic education, individual resilience capacities, institutional coordination, and entrepreneurial environment. Conversely, limited healthcare infrastructure, low economic diversification, and national-level vulnerabilities were identified as critical weaknesses. The study concludes that post-disaster recovery in Baños is shaped by a bottom-up dynamic that emphasizes agency, learning and socio-ecological memory. It also proposes an evidence-based Action Matrix for adaptive governance to guide prioritized, time-phased interventions. The FAHP model proves effective for transparent, context-sensitive prioritization in highly uncertain tourism environments. Full article
Show Figures

Figure 1

14 pages, 3529 KB  
Article
Typing of Legionella Species Using FT-IR Spectroscopy
by Marceli Zuk, Jochen Kurz, Sarah Uhle, Laurine Wehmeier, Markus Petzold and Stefan Zimmermann
Water 2026, 18(4), 515; https://doi.org/10.3390/w18040515 - 20 Feb 2026
Viewed by 634
Abstract
Legionella species are ubiquitous bacteria found worldwide in water, moist environments, soils, and compost. Infection occurs through the inhalation of aerosols, leading to either Pontiac fever or Legionnaires’ disease (LD). Current routine diagnostics typically combine culture-based isolation with Matrix-Assisted Laser Desorption Ionization Time-of-Flight [...] Read more.
Legionella species are ubiquitous bacteria found worldwide in water, moist environments, soils, and compost. Infection occurs through the inhalation of aerosols, leading to either Pontiac fever or Legionnaires’ disease (LD). Current routine diagnostics typically combine culture-based isolation with Matrix-Assisted Laser Desorption Ionization Time-of-Flight Mass Spectrometry (MALDI-TOF MS) for species identification and the Latex Agglutination Test (LAT) for serotyping. However, this workflow is fragmented: MALDI-TOF MS lacks serogroup-specific resolution, while LAT relies on subjective visual interpretation. Therefore, this study evaluated Fourier-transform infrared spectroscopy (FT-IR) as a rapid, high-resolution typing method for Legionella isolates to assess its potential as a single-step diagnostic tool. A total of 200 clinical and environmental Legionella isolates were analyzed using FT-IR, including L. pneumophila serogroups (SG) 1–15 and various non-pneumophila species. Spectral data were analyzed using Principal Component Analysis (PCA) and Linear Discriminant Analysis (LDA). While MALDI-TOF MS provided accurate species identification, FT-IR spectroscopy demonstrated superior typing capabilities by successfully distinguishing L. pneumophila SG 1 distinct from the SG 2–15 complex and allowing for clear discrimination of most non-pneumophila species. Additionally, FT-IR resolved isolates that showed ambiguous or non-reactive results in LAT. These findings demonstrate that FT-IR overcomes the serotyping limitations of MALDI-TOF MS and offers a more objective, cost-efficient extension to the current multi-step routine, potentially closing the diagnostic gap between simple species identification and deep strain characterization. Full article
(This article belongs to the Special Issue Advances in Swimming Pool Hygiene Safety and Spa Research)
Show Figures

Figure 1

14 pages, 9601 KB  
Article
Prolyl 3-Hydroxylase 2 Supports a Pro-Angiogenic Milieu Promoting Colorectal Cancer Progression and Metastasis
by Sonia Panico, Antonio Adinolfi, Sara Magliacane Trotta, Luca D’Orsi, Grazia Mercadante, Andrea Paradisi, Patrick Mehlen, Valeria Tarallo and Sandro De Falco
Int. J. Mol. Sci. 2026, 27(4), 1999; https://doi.org/10.3390/ijms27041999 - 19 Feb 2026
Viewed by 484
Abstract
Prolyl 3-hydroxylase 2 (P3H2) is a key enzyme involved in the architecture of the extracellular matrix (ECM). While previously shown to be regulated by VEGF-A and to play a role in angiogenesis, its function in cancer remains ambiguous. While characterized as a tumor [...] Read more.
Prolyl 3-hydroxylase 2 (P3H2) is a key enzyme involved in the architecture of the extracellular matrix (ECM). While previously shown to be regulated by VEGF-A and to play a role in angiogenesis, its function in cancer remains ambiguous. While characterized as a tumor suppressor, its precise function in colorectal cancer (CRC) progression is poorly defined. Bioinformatic analysis and patient data reveal that P3H2 transcript levels are significantly reduced in colon adenocarcinoma tissues, showing a progressive decline in metastatic lesions. Furthermore, VEGF-A exposure upregulates P3H2 transcripts in the HCT116 CRC cell line. To investigate its impact in CRC, we generated a stable HCT116 clone overexpressing P3H2. In vitro studies demonstrated that while P3H2 overexpression inhibited anchorage-independent growth, it significantly enhanced cellular invasion without altering cell proliferation. In vivo, however, P3H2-overexpressing tumors exhibited accelerated tumor growth and a statistically significant increase in lung metastases. P3H2 overexpression remodeled the tumor microenvironment (TME) by modifying its main substrate, Collagen IV, resulting in the induction of increased vessels density. Our study repositions P3H2 as a dynamic enzymatic switch within the TME. This work identifies P3H2-driven ECM remodeling as a promising therapeutic axis in advanced CRC, with particular relevance for combination strategies targeting angiogenesis. Full article
(This article belongs to the Section Molecular Oncology)
Show Figures

Figure 1

52 pages, 1927 KB  
Review
Effect of Elevated Temperature Thermal Aging/Exposure on Shear Response of FRP Composites: A Topical Review
by Rabina Acharya and Vistasp M. Karbhari
Polymers 2026, 18(3), 354; https://doi.org/10.3390/polym18030354 - 28 Jan 2026
Viewed by 1091
Abstract
Fiber-reinforced polymer (FRP) composites are increasingly used in civil, marine, offshore, and energy infrastructure, where components routinely experience temperatures above ambient conditions. While the design of these components is largely driven by fiber-dominated characteristics, the deterioration of shear properties can lead to premature [...] Read more.
Fiber-reinforced polymer (FRP) composites are increasingly used in civil, marine, offshore, and energy infrastructure, where components routinely experience temperatures above ambient conditions. While the design of these components is largely driven by fiber-dominated characteristics, the deterioration of shear properties can lead to premature weakening and even failure. Thus, the performance and reliability of these systems depend intrinsically on the response of interlaminar shear characteristics, in-plane shear characteristics, and flexure-based shear characteristics to thermal loads ranging from uniform and monotonically increasing to cyclic and spike exposures. This paper presents a critical review of current knowledge of shear response in the presence of thermal exposure, with emphasis on temperature regimes that are below Tg in the vicinity of Tg and approaching Td. Results show that thermal exposures cause matrix softening and microcracking, interphase degradation, and thermally induced residual stress redistribution that significantly reduces shear-based performance. Cyclic and short-duration spike/flash exposures result in accelerated damage through thermal fatigue; steep thermal gradients, including through the thickness; and localized interfacial failure loading to the onset of delamination or interlayer separation. Aspects such as layup/ply orientation, fiber volume fraction, degree of cure, and the availability and permeation of oxygen through the thickness can have significant effects. The review identifies key contradictions and ambiguities, pinpoints and prioritizes areas of critically needed research, and emphasizes the need for the development of true mechanistic models capable of predicting changes in shear performance characteristics over a range of thermal loading regimes. Full article
(This article belongs to the Special Issue Advanced Polymer Composites and Foams)
Show Figures

Graphical abstract

19 pages, 4020 KB  
Article
P-Wave Polarization-Based Attitude Estimation and Seismic Source Localization for Three-Component Microseismic Sensors
by Jianjun Hao, Bingrui Chen, Yaxun Xiao, Xinhao Zhu, Qian Liu and Ruhong Fan
Sustainability 2026, 18(2), 1124; https://doi.org/10.3390/su18021124 - 22 Jan 2026
Viewed by 337
Abstract
Microseismic source localization is essential for the early warning of disasters in deep rock mass engineering. Traditional time difference methods require a dense sensor network, which is often impractical in large-scale scenarios with low-density sensor placement. Three-component microseismic sensors offer a promising alternative [...] Read more.
Microseismic source localization is essential for the early warning of disasters in deep rock mass engineering. Traditional time difference methods require a dense sensor network, which is often impractical in large-scale scenarios with low-density sensor placement. Three-component microseismic sensors offer a promising alternative by utilizing multi-axis sensing, but their application depends on accurate sensor attitude estimation—a challenge due to installation deviations, integration errors, magnetic interference, and ambiguity in P-wave polarization direction. This study proposes an attitude calculation and source localization method based on P-wave polarization analysis. For attitude estimation, a unit vector from the sensor to the event is used as a reference; the P-wave polarization direction is extracted via covariance matrix analysis, and a novel “direction–vector–rotation–matrix cross-optimization” method resolves polarization–vector ambiguity. Multi-event data fusion enhances stability and robustness. For source localization, a “1 three-component + 1 single-component” sensor scheme is introduced, combining distance, azimuth, and distance difference constraints to achieve accurate positioning while substantially reducing hardware and energy costs. Field validation at the Yebatan Hydropower Station shows an average reference vector conversion error of 7.72° and an average localization deviation of 10.72 m compared with a conventional high-precision method, meeting engineering early-warning requirements. The proposed approach provides a cost-effective, efficient technical solution for large-scale microseismic monitoring with low sensor density, supporting sustainable infrastructure development through improved disaster risk management. Full article
(This article belongs to the Section Hazards and Sustainability)
Show Figures

Figure 1

7 pages, 1557 KB  
Proceeding Paper
Allais–Ellsberg Convergent Markov–Network Game
by Adil Ahmad Mughal
Proceedings 2026, 135(1), 2; https://doi.org/10.3390/proceedings2026135002 - 19 Jan 2026
Viewed by 221
Abstract
Behavioral deviations from subjective expected utility theory, most famously captured by the Allais paradox and the Ellsberg paradox, have inspired extensive theoretical and experimental research into risk and ambiguity preferences. While the existing analyze these paradoxes independently, little work explores how such heterogeneously [...] Read more.
Behavioral deviations from subjective expected utility theory, most famously captured by the Allais paradox and the Ellsberg paradox, have inspired extensive theoretical and experimental research into risk and ambiguity preferences. While the existing analyze these paradoxes independently, little work explores how such heterogeneously biased agents interact in networked strategic environments. Our paper fills this gap by modeling a convergent Markov–network game between Allais-type and Ellsberg-type players, each endowed with fully enriched loss matrices that reflect their distinct probabilistic and ambiguity attitudes. We define convergent priors as those inducing a spectral radius of <1 in iterated enriched matrices, ensuring iterative convergence under a matrix-based update rule. Players minimize their losses under these priors in each iteration, converging to an equilibrium where no further updates are feasible. We analyze this convergence under three learning regimes—homophily, heterophily, and type-neutral randomness—each defined via distinct neighborhood learning dynamics. To validate the equilibrium, we construct a risk-neutral measure by transforming losses into payoffs and derive a riskless rate of return representing players’ subjective indifference to risk. This applies risk-neutral pricing logic to behavioral matrices, which is novel. This framework unifies paradox-type decision makers within a networked Markovian environment (stochastic adjacency matrix), extending models of dynamic learning and providing a novel equilibrium characterization for heterogeneous, ambiguity-averse agents in structured interactions. Full article
(This article belongs to the Proceedings of The 1st International Electronic Conference on Games (IECGA 2025))
Show Figures

Figure 1

19 pages, 6992 KB  
Article
A Fault Identification Method for Micro-Motors Using an Optimized CNN-Based JMD-GRM Approach
by Yufang Bai, Zhengyang Gu, Junsong Yu and Junli Chen
Micromachines 2026, 17(1), 123; https://doi.org/10.3390/mi17010123 - 19 Jan 2026
Viewed by 432
Abstract
Micro-motors are widely used in industrial applications, which require effective fault diagnosis to maintain safe equipment operation. However, fault signals from micro-motors often exhibit weak signal strength and ambiguous features. To address these challenges, this study proposes a novel fault diagnosis method. Initially, [...] Read more.
Micro-motors are widely used in industrial applications, which require effective fault diagnosis to maintain safe equipment operation. However, fault signals from micro-motors often exhibit weak signal strength and ambiguous features. To address these challenges, this study proposes a novel fault diagnosis method. Initially, the Jump plus AM-FM Mode Decomposition (JMD) technique was utilized to decompose the measured signals into amplitude-modulated–frequency-modulated (AM-FM) oscillation components and discontinuous (jump) components. The proposed process extracts valuable fault features and integrates them into a new time-domain signal, while also suppressing modal aliasing. Subsequently, a novel Global Relationship Matrix (GRM) is employed to transform one-dimensional signals into two-dimensional images, thereby enhancing the representation of fault features. These images are then input into an Optimized Convolutional Neural Network (OCNN) with an AdamW optimizer, which effectively reduces overfitting during training. Experimental results demonstrate that the proposed method achieves an average diagnostic accuracy rate of 99.0476% for multiple fault types, outperforming four comparative methods. This approach offers a reliable solution for quality inspection of micro-motors in a manufacturing environment. Full article
(This article belongs to the Section E:Engineering and Technology)
Show Figures

Figure 1

20 pages, 344 KB  
Review
Chiral Symmetry in Implicit Regularization: A Review
by Adriano Cherchiglia, Ricardo J. C. Rosado, Marcos Sampaio and Brigitte Hiller
Symmetry 2026, 18(1), 160; https://doi.org/10.3390/sym18010160 - 15 Jan 2026
Viewed by 298
Abstract
Chiral interactions pose significant challenges for regularization due to the γ5 Dirac matrix, which is intrinsically four-dimensional. Dimensional regularizations, while widely employed in gauge theories, encounter challenges when treating γ5 in d4 dimensions, potentially leading to violations of chiral [...] Read more.
Chiral interactions pose significant challenges for regularization due to the γ5 Dirac matrix, which is intrinsically four-dimensional. Dimensional regularizations, while widely employed in gauge theories, encounter challenges when treating γ5 in d4 dimensions, potentially leading to violations of chiral symmetry and the emergence of spurious anomalies. In this work, we examine aspects of Implicit Regularization, a framework formulated to operate in the physical dimension, thereby potentially avoiding ambiguities associated with γ5. We discuss its implementation and implications for symmetry preservation in chiral gauge theories. Full article
(This article belongs to the Special Issue Advances of Asymmetry/Symmetry in High Energy Physics)
16 pages, 1115 KB  
Article
Classification of Beers Through Comprehensive Physicochemical Characterization and Multi-Block Chemometrics
by Paris Christodoulou, Eftichia Kritsi, Antonis Archontakis, Nick Kalogeropoulos, Charalampos Proestos, Panagiotis Zoumpoulakis, Dionisis Cavouras and Vassilia J. Sinanoglou
Beverages 2026, 12(1), 15; https://doi.org/10.3390/beverages12010015 - 15 Jan 2026
Cited by 2 | Viewed by 945
Abstract
This study addresses the ongoing challenge of accurately classifying beers by fermentation type and product category, an issue of growing importance for quality control, authenticity assessment, and product differentiation in the brewing sector. We applied a multiblock chemometric framework that integrates phenolic profiling [...] Read more.
This study addresses the ongoing challenge of accurately classifying beers by fermentation type and product category, an issue of growing importance for quality control, authenticity assessment, and product differentiation in the brewing sector. We applied a multiblock chemometric framework that integrates phenolic profiling obtained via GC–MS, antioxidant and antiradical activity derived from in vitro assays, and complementary colorimetric and physicochemical measurements. Principal Component Analysis (PCA) revealed clear compositional structuring within the dataset, with p-coumaric, gallic, syringic, and malic acids emerging as major contributors to variance. Supervised machine-learning classification demonstrated robust performance, achieving approximately 93% accuracy in discriminating top- from bottom-fermented beers, supported by a well-balanced confusion matrix (25 classified and 2 misclassified samples per group). When applied to ale–lager categorization, the model retained strong predictive ability, reaching 90% accuracy, largely driven by the C* chroma value and the concentrations of tyrosol, acetic acid, homovanillic acid, and syringic acid. The integration of multiple analytical blocks significantly enhanced class separation and minimized ambiguity between beer categories. Overall, these findings underscore the value of multi-block chemometrics as a powerful strategy for beer characterization, supporting brewers, researchers, and regulatory bodies in developing more reliable quality-assurance frameworks. Full article
Show Figures

Graphical abstract

24 pages, 3202 KB  
Article
Breaking the Cross-Sensitivity Degeneracy in FBG Sensors: A Physics-Informed Co-Design Framework for Robust Discrimination
by Fatih Yalınbaş and Güneş Yılmaz
Sensors 2026, 26(2), 459; https://doi.org/10.3390/s26020459 - 9 Jan 2026
Viewed by 532
Abstract
The simultaneous measurement of strain and temperature using Fiber Bragg Grating (FBG) sensors presents a significant challenge due to the intrinsic cross-sensitivity of the Bragg wavelength. While recent studies have increasingly employed “black-box” machine learning algorithms to address this ambiguity, such approaches often [...] Read more.
The simultaneous measurement of strain and temperature using Fiber Bragg Grating (FBG) sensors presents a significant challenge due to the intrinsic cross-sensitivity of the Bragg wavelength. While recent studies have increasingly employed “black-box” machine learning algorithms to address this ambiguity, such approaches often overlook the physical limitations of the sensor’s spectral response. This paper challenges the assumption that advanced algorithms alone can compensate for data that is physically ambiguous. We propose a “Sensor-Algorithm Co-Design” methodology, demonstrating that robust discrimination is achievable only when the sensor architecture exhibits a unique, orthogonal physical signature. Using a rigorous Transfer Matrix Method (TMM) and 4 × 4 polarization analysis, we evaluate three distinct architectures. Quantitative analysis reveals that a standard Quadratically Chirped FBG (QC-FBG) functions as an “ill-conditioned baseline” failing to distinguish measurands due to feature space collapse (Kcond>4600). Conversely, we validate two robust co-designs: (1) An Amplitude-Modulated Superstructure FBG (S-FBG) paired with an Artificial Neural Network (ANN), utilizing thermally induced duty-cycle variations to achieve high accuracy (~3.4 °C error) under noise; and (2) A Polarization-Diverse Inverse-Gaussian FBG (IG-FBG) paired with a 4 × 4 K-matrix, exploiting strain-induced birefringence (Kcond64). Furthermore, we address the data scarcity issue in AI-driven sensing by introducing a Physics-Informed Neural Network (PINN) strategy. By embedding TMM physics directly into the loss function, the PINN improves data efficiency by 2.2× compared to standard models, effectively bridging the gap between physical modeling and data-driven inference, addressing the critical data scarcity bottleneck identified in recent optical sensing roadmaps. Full article
(This article belongs to the Special Issue Advanced Optical Sensors Based on Machine Learning: 2nd Edition)
Show Figures

Figure 1

22 pages, 938 KB  
Review
Topology Meets Reactivity: Rationalizing Electron Rearrangements in Cycloadditions Through Thom’s Polynomials and Bonding Evolution Theory
by Leandro Ayarde-Henríquez, Cristian J. Guerra, Hans Lenes, Elizabeth Rincón and Eduardo Chamorro
Reactions 2026, 7(1), 1; https://doi.org/10.3390/reactions7010001 - 1 Jan 2026
Cited by 1 | Viewed by 1328
Abstract
This mini-review discusses recent advances in the rigorous application of Bonding Evolution Theory (BET) to elucidate electron rearrangements in cycloaddition reactions occurring in both ground and electronically excited states. Computational studies reveal that describing bond formation and cleavage through parametric polynomials derived from [...] Read more.
This mini-review discusses recent advances in the rigorous application of Bonding Evolution Theory (BET) to elucidate electron rearrangements in cycloaddition reactions occurring in both ground and electronically excited states. Computational studies reveal that describing bond formation and cleavage through parametric polynomials derived from the Catastrophe Theory (CT) provides a deeper and more coherent understanding of chemical bonding and reactivity. However, several existing BET applications have adopted CT concepts without fully incorporating the mathematical rigor on which BET is based, resulting in conceptual ambiguities and inaccurate interpretations. A proper implementation of BET requires evaluating the Hessian matrix at potentially degenerate critical points (CPs) of the Electron Localization Function (ELF) and assessing their relative evolution along the reaction coordinate. This systematic protocol integrates key CT principles within BET’s original framework, restoring its formal consistency. The resulting analyses have revealed correlations between electron-density symmetry and CT polynomials, relationships between these polynomials and the homolytic or heterolytic character of bond dissociation, and the development of a CT-based model for scaling bond polarity. These findings demonstrate that incorporating CT-derived functions into BET is not merely a formal refinement but a fundamental step toward achieving a more rigorous and predictive understanding of electron rearrangements in cycloadditions. Full article
Show Figures

Graphical abstract

18 pages, 3162 KB  
Article
Distributionally Robust Game-Theoretic Optimization Algorithm for Microgrid Based on Green Certificate–Carbon Trading Mechanism
by Chen Wei, Pengyuan Zheng, Jiabin Xue, Guanglin Song and Dong Wang
Energies 2026, 19(1), 206; https://doi.org/10.3390/en19010206 - 30 Dec 2025
Viewed by 434
Abstract
Aiming at multi-agent interest demands and environmental benefits, a distributionally robust game-theoretic optimization algorithm based on a green certificate–carbon trading mechanism is proposed for uncertain microgrids. At first, correlated wind–solar scenarios are generated using Kernel Density Estimation and copula theory and the probability [...] Read more.
Aiming at multi-agent interest demands and environmental benefits, a distributionally robust game-theoretic optimization algorithm based on a green certificate–carbon trading mechanism is proposed for uncertain microgrids. At first, correlated wind–solar scenarios are generated using Kernel Density Estimation and copula theory and the probability distribution ambiguity set is constructed combining 1-norm and -norm metrics. Subsequently, with gas turbines, renewable energy power producers, and an energy storage unit as game participants, a two-stage distributionally robust game-theoretic optimization scheduling model is established for microgrids considering wind and solar correlation. The algorithm is constructed by integrating a non-cooperative dynamic game with complete information and distributionally robust optimization. It minimizes a linear objective subject to linear matrix inequality (LMI) constraints and adopts the column and constraint generation (C&CG) algorithm to determine the optimal output for each device within the microgrid to enhance its overall system performance. This method ultimately yields a scheduling solution that achieves both equilibrium among multiple stakeholders’ interests and robustness. The simulation result verifies the effectiveness of the proposed method. Full article
(This article belongs to the Section A1: Smart Grids and Microgrids)
Show Figures

Figure 1

Back to TopTop