Sign in to use this feature.

Years

Between: -

Subjects

remove_circle_outline
remove_circle_outline
remove_circle_outline
remove_circle_outline
remove_circle_outline
remove_circle_outline
remove_circle_outline
remove_circle_outline
remove_circle_outline

Journals

remove_circle_outline
remove_circle_outline
remove_circle_outline
remove_circle_outline
remove_circle_outline
remove_circle_outline
remove_circle_outline
remove_circle_outline
remove_circle_outline
remove_circle_outline

Article Types

Countries / Regions

remove_circle_outline
remove_circle_outline
remove_circle_outline
remove_circle_outline
remove_circle_outline
remove_circle_outline

Search Results (1,420)

Search Parameters:
Keywords = active and reactive powers

Order results
Result details
Results per page
Select all
Export citation of selected articles as:
39 pages, 1462 KB  
Article
Assessing the Effectiveness of an Intelligent Algorithms-Based PII2 Controller in Enhancing the Quality of Power Output from a DFIG-Based Power System
by Habib Benbouhenni and Nicu Bizon
Energies 2025, 18(21), 5566; https://doi.org/10.3390/en18215566 (registering DOI) - 22 Oct 2025
Abstract
This paper proposes a novel methodology based on two intelligent algorithms for regulating the power output of a multi-rotor turbine system. A proportional-integral plus second-order integral regulator is utilized to regulate the energy output of an induction generator. The designed controller is characterized [...] Read more.
This paper proposes a novel methodology based on two intelligent algorithms for regulating the power output of a multi-rotor turbine system. A proportional-integral plus second-order integral regulator is utilized to regulate the energy output of an induction generator. The designed controller is characterized by its ease of configuration, cost-effectiveness, high robustness, and ease of implementation. The controller’s parameters are tuned using a genetic algorithm (GA) and a rooted tree optimization (RTO) algorithm, with the objective of maximizing operational performance and power quality. In accordance with the proposed design methodology, the optimal values for the parameters of the designed strategy are attained through the implementation of integral time-weighted absolute error (ITAE). The present controller has been designed to deviate from conventional controllers, and a comparison will be made between the two using MATLAB under various operating conditions. The operational performance was evaluated in comparison to the conventional algorithm in terms of current quality, torque ripples, threshold overshoot, system parameter changes, and so forth. The experimental results, as measured by the tests conducted, demonstrated that the proposed RTO-based regulator exhibited enhancements of up to 89.88% (traditional control) and 51.92% (GA) in active power ripples, 68.19% (compared to traditional control) in ITAE, 51.91% (traditional control) in reactive power overshoot, and 0.5% (compared to GA) in active power response time. Conversely, the proposed GA-based regulator yielded a steady-state error value that was 96.55% superior to the traditional approach and 86.48% more accurate than the RTO algorithm. Moreover, the efficacy of the RTO-based control system was found to be considerably augmented under variable system parameters. Total harmonic distortion improvements of 69% were observed compared to traditional control methods, and 1% compared to the GA technique. The findings of this study offer significant insights into enhancing the robustness of multi-rotor turbine systems and improving power quality. Full article
19 pages, 4823 KB  
Article
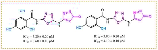
From Bench to Bioactivity: An Integrated Medicinal Development Based on Kinetic and Simulation Assessment of Pyrazolone-Oxadiazole Coupled Benzamide as Promising Inhibitors of Diabetes Mellitus
by Manal M. Khowdiary and Shifa Felemban
Pharmaceuticals 2025, 18(11), 1595; https://doi.org/10.3390/ph18111595 (registering DOI) - 22 Oct 2025
Abstract
Background: In this research work, novel pyrazolone-derived oxadiazole-based benzamide derivatives (1–10) were synthesized through unique and facile synthetic routes. Introduction: These scaffolds were designed to be therapeutically more effective and have fewer side effects. Methods: To confirm the structure of analogs [...] Read more.
Background: In this research work, novel pyrazolone-derived oxadiazole-based benzamide derivatives (1–10) were synthesized through unique and facile synthetic routes. Introduction: These scaffolds were designed to be therapeutically more effective and have fewer side effects. Methods: To confirm the structure of analogs in detail, we employed 1HNMR, 13CNMR, and HREI-MS spectroscopy. The potential of all derivatives was tested by screening them against alpha-amylase and alpha-glucosidase in comparison with reference anti-diabetic drug acarbose (4.50 ± 0.20 µM and 4.90 ± 0.30 µM). Results & Discussion: Among all tested analogs and standard drugs, derivative 3 proved to be the most promising candidate. It exhibited the most powerful inhibitory effect (IC50 = 3.20 ± 0.20 µM and 3.60 ± 0.10 µM). To further investigate its activity, the experimental results were supported by in silico investigations. Molecular docking demonstrated strong and viable interactions between enzymes and the most potent compound. DFT calculations validated the electronic configuration, stability, and reactivity of lead molecules. Furthermore, the ADMET profile predicted the favorable drug likeness properties and low toxicity. The results of docking were further confirmed via molecular dynamics analysis, whereas the pharmacophore model of analog 3 supports the formation of a stable hydrogen bond network of derivatives with the receptor site of the enzyme. Conclusions: Collectively in silico and in vitro results underscore the therapeutic potential of these derivatives for the effective treatment of diabetes in the future. Full article
(This article belongs to the Section Medicinal Chemistry)
Show Figures

Figure 1

35 pages, 3526 KB  
Article
Multi-Objective Optimization of Mobile Battery Energy Storage and Dynamic Feeder Reconfiguration for Enhanced Voltage Profiles in Active Distribution Systems
by Phuwanat Marksan, Krittidet Buayai, Ritthichai Ratchapan, Wutthichai Sa-nga-ngam, Krischonme Bhumkittipich, Kaan Kerdchuen, Ingo Stadler, Supapradit Marsong and Yuttana Kongjeen
Energies 2025, 18(20), 5515; https://doi.org/10.3390/en18205515 - 19 Oct 2025
Viewed by 134
Abstract
Active distribution systems (ADS) are increasingly strained by rising energy demand and the widespread deployment of distributed energy resources (DERs) and electric vehicle charging stations (EVCS), which intensify voltage deviations, power losses, and peak demand fluctuations. This study develops a coordinated optimization framework [...] Read more.
Active distribution systems (ADS) are increasingly strained by rising energy demand and the widespread deployment of distributed energy resources (DERs) and electric vehicle charging stations (EVCS), which intensify voltage deviations, power losses, and peak demand fluctuations. This study develops a coordinated optimization framework for Mobile Battery Energy Storage Systems (MBESS) and Dynamic Feeder Reconfiguration (DFR) to enhance network performance across technical, economic, and environmental dimensions. A Non-dominated Sorting Genetic Algorithm III (NSGA-III) is employed to minimize six objectives the active and reactive power losses, voltage deviation index (VDI), voltage stability index (FVSI), operating cost, and CO2 emissions while explicitly modeling the MBESS transportation constraints such as energy consumption and single-trip mobility within coupled IEEE 33-bus and 33-node transport networks, which provide realistic mobility modeling of energy storage operations. The Technique for Order Preference by Similarity to Ideal Solution (TOPSIS) is applied to select compromise solutions from Pareto fronts. Simulation results across six scenarios show that the coordinated MBESS–DFR operation reduces power losses by 27.8–30.1%, improves the VDI by 40.5–43.2%, and enhances the FVSI by 2.3–2.4%, maintaining all bus voltages within 0.95–1.05 p.u. with minimal cost (0.26–0.27%) and emission variations (0.31–0.71%). The MBESS alone provided limited benefits (5–12%), confirming that coordination is essential for improving efficiency, voltage regulation, and overall system sustainability in renewable-rich distribution networks. Full article
(This article belongs to the Special Issue Advances and Optimization of Electric Energy System—2nd Edition)
23 pages, 1784 KB  
Article
Active and Reactive Power Coordinated Optimization of Distribution Network–Microgrid Clusters Considering Three-Phase Imbalance Mitigation
by Zhenhui Ouyang, Hao Zhong, Yongjia Wang, Xun Li and Tao Du
Energies 2025, 18(20), 5514; https://doi.org/10.3390/en18205514 - 19 Oct 2025
Viewed by 118
Abstract
With the continuous increase in the penetration of single-phase microgrids in low-voltage distribution networks (LVDNs), the phase asymmetry of source–load distribution has made the problem of three-phase imbalance increasingly prominent. To address this issue, this paper proposes an active–reactive power coordinated optimization model [...] Read more.
With the continuous increase in the penetration of single-phase microgrids in low-voltage distribution networks (LVDNs), the phase asymmetry of source–load distribution has made the problem of three-phase imbalance increasingly prominent. To address this issue, this paper proposes an active–reactive power coordinated optimization model for distribution network–microgrid clusters considering three-phase imbalance mitigation. The model is formulated within a master–slave game framework: in the upper level, the distribution network acts as the leader, formulating time-of-use prices for active and reactive power based on day-ahead forecast data with the objective of minimizing operating costs. These price signals guide the flexible loads and photovoltaic (PV) inverters of the lower-level microgrids to participate in mitigating three-phase imbalance. In the lower level, each microgrid responds as the follower, minimizing its own operating cost by determining internal scheduling strategies and power exchange schemes with the distribution network. Finally, the resulting leader–follower game problem is transformed into a unified constrained model through strong duality theory and formulated as a mixed-integer second-order cone programming (MISOCP) problem, which is efficiently solved using the commercial solver Gurobi. Simulation results demonstrate that the proposed model fully exploits the reactive power compensation potential of PV inverters, significantly reducing the degree of three-phase imbalance. The maximum three-phase voltage unbalance factor decreases from 3.98% to 1.43%, corresponding to an overall reduction of 25.87%. The proposed coordinated optimization model achieves three-phase imbalance mitigation by leveraging existing resources without the need for additional control equipment, thereby enhancing power quality in the distribution network while ensuring economic efficiency of system operation. Full article
Show Figures

Figure 1

18 pages, 1386 KB  
Article
Coordinated Control Strategy for Active–Reactive Power in High-Proportion Renewable Energy Distribution Networks with the Participation of Grid-Forming Energy Storage
by Yiqun Kang, Zhe Li, Li You, Xuan Cai, Bingyang Feng, Yuxuan Hu and Hongbo Zou
Processes 2025, 13(10), 3271; https://doi.org/10.3390/pr13103271 - 14 Oct 2025
Viewed by 172
Abstract
The high proportion of renewable energy connected to the grid has resulted in insufficient consumption capacity in distribution networks, while the construction of new-type power distribution systems has imposed higher reliability requirements. With its flexible power synchronization control capabilities, grid-forming energy storage systems [...] Read more.
The high proportion of renewable energy connected to the grid has resulted in insufficient consumption capacity in distribution networks, while the construction of new-type power distribution systems has imposed higher reliability requirements. With its flexible power synchronization control capabilities, grid-forming energy storage systems possess the ability to both promote the consumption of distributed energy resources in new-type distribution networks and enhance their reliability. However, current control methods are still hindered by drawbacks such as high computational complexity and a singular optimization objective. To address this, this paper proposes an optimized strategy for unified active–reactive power coordinated control in high-proportion renewable energy distribution networks with the participation of multiple grid-forming energy storage systems. Firstly, to optimize the parameters of grid-forming energy storage systems more accurately, this paper employs an improved iterative self-organizing data analysis technique algorithm to generate typical scenarios consistent with the scheduling time scale. Quantile regression (QR) and Gaussian mixture model (GMM) clustering are utilized to generate typical scenarios for renewable energy output. Subsequently, considering operational constraints and equipment state constraints, a unified active–reactive power coordinated control model for the distribution network is established. Meanwhile, to ensure the optimality of the results, this paper adopts an improved northern goshawk optimization (NGO) algorithm to solve the model. Finally, the effectiveness and feasibility of the proposed method are validated and illustrated through an improved IEEE-33 bus test system tested on MATLAB 2024B. Through analysis, the proposed method can reduce the average voltage fluctuation by 6.72% and increase the renewable energy accommodation rate by up to 8.64%. Full article
Show Figures

Figure 1

22 pages, 1687 KB  
Article
Research on Distribution Network Harmonic Mitigation and Optimization Control Strategy Oriented by Source Tracing
by Xin Zhou, Zun Ma, Hongwei Zhao and Hongbo Zou
Processes 2025, 13(10), 3268; https://doi.org/10.3390/pr13103268 - 13 Oct 2025
Viewed by 360
Abstract
Against the backdrop of a high proportion of distributed renewable energy sources being integrated into the power grid, distribution networks are confronted with issues of grid-wide and decentralized harmonic pollution and voltage deviation, rendering traditional point-to-point governance methods inadequate for meeting collaborative governance [...] Read more.
Against the backdrop of a high proportion of distributed renewable energy sources being integrated into the power grid, distribution networks are confronted with issues of grid-wide and decentralized harmonic pollution and voltage deviation, rendering traditional point-to-point governance methods inadequate for meeting collaborative governance requirements. To address this problem, this paper proposes a source-tracing-oriented harmonic mitigation and optimization control strategy for distribution networks. Firstly, it identifies regional dominant harmonic source mitigation nodes based on harmonic and reactive power sensitivity indices as well as comprehensive voltage sensitivity indices. Subsequently, with the optimization objectives of reducing harmonic power loss and suppressing voltage fluctuation in the distribution network, it configures the quantity and capacity of voltage-detection-based active power filters (VDAPFs) and Static Var Generators (SVGs) and solves the model using an improved Spider Jump algorithm (SJA). Finally, the effectiveness and feasibility of the proposed method are validated through testing on an improved IEEE-33 standard node test system. Through analysis, the proposed method can reduce the voltage fluctuation rate and total harmonic distortion (THD) by 2.3% and 2.6%, respectively, achieving nearly 90% equipment utilization efficiency with the minimum investment cost. Full article
Show Figures

Figure 1

47 pages, 9806 KB  
Article
Optimal Control for On-Load Tap-Changers and Inverters in Photovoltaic Plants Applying Teaching Learning Based Optimization
by Rolando A. Silva-Quiñonez, Higinio Sánchez-Sainz, Pablo Garcia-Triviño, Raúl Sarrias-Mena, David Carrasco-González and Luis M. Fernández-Ramírez
Electronics 2025, 14(20), 3989; https://doi.org/10.3390/electronics14203989 - 12 Oct 2025
Viewed by 224
Abstract
This research presents an optimized control strategy for the coordinated operation of parallel grid connected photovoltaic (PV) plants and an On Load Tap Changer (OLTC) transformer. The proposed framework integrates inverter-level active and reactive power dispatch with OLTC tap control through an Energy [...] Read more.
This research presents an optimized control strategy for the coordinated operation of parallel grid connected photovoltaic (PV) plants and an On Load Tap Changer (OLTC) transformer. The proposed framework integrates inverter-level active and reactive power dispatch with OLTC tap control through an Energy Management System (EMS) based on an improved Teaching Learning Based Optimization (TLBO) algorithm. The EMS minimizes operational costs while maintaining voltage stability and respecting electrical and mechanical constraints. Comparative analyses with Monte Carlo, fmincon, and conventional TLBO methods demonstrate that the optimized TLBO achieves up to two orders of magnitude faster convergence and higher robustness, enabling more reliable performance under variable irradiance and load conditions. Simulation and Hardware-in-the-Loop (HIL) results confirm that the coordinated OLTC inverter control significantly enhances reactive power capability and voltage regulation. The proposed optimized TLBO based EMS offers an effective and computationally efficient solution for dynamic energy management in medium scale PV systems, supporting grid reliability and maximizing renewable energy utilization. Full article
Show Figures

Figure 1

23 pages, 460 KB  
Article
Coordinated Active–Reactive Power Scheduling of Battery Energy Storage in AC Microgrids for Reducing Energy Losses and Carbon Emissions
by Daniel Sanin-Villa, Luis Fernando Grisales-Noreña and Oscar Danilo Montoya
Sci 2025, 7(4), 147; https://doi.org/10.3390/sci7040147 - 11 Oct 2025
Viewed by 345
Abstract
This paper presents an optimization-based scheduling strategy for battery energy storage systems (BESS) in alternating current microgrids, considering both grid-connected and islanded operation. The study addresses two independent objectives: minimizing energy losses in the distribution network and reducing carbon dioxide emissions from dispatchable [...] Read more.
This paper presents an optimization-based scheduling strategy for battery energy storage systems (BESS) in alternating current microgrids, considering both grid-connected and islanded operation. The study addresses two independent objectives: minimizing energy losses in the distribution network and reducing carbon dioxide emissions from dispatchable power sources. The problem is formulated using a full AC power flow model that simultaneously manages active and reactive power flows in BESS located in the microgrid, while enforcing detailed operational constraints for network components, generation units, and storage systems. To solve it, a parallel implementation of the Particle Swarm Optimization (PPSO) algorithm is applied. The PPSO is integrated into the objective functions and evaluated through a 24-h scheduling horizon, incorporating a strict penalty scheme to guarantee compliance with technical and operational limits. The proposed method generates coordinated charging and discharging plans for multiple BESS units, ensuring voltage stability, current limits, and optimal reactive power support in both operating modes. Tests are conducted on a 33-node benchmark microgrid that represents the power demand and generation from Medellín, Colombia. This is compared with two methodologies reported in the literature: Parallel Crow Search and Parallel JAYA optimizer. The results demonstrate that the strategy produces robust schedules across objectives, identifies the most critical network elements for monitoring, and maintains safe operation without compromising performance. This framework offers a practical and adaptable tool for microgrid energy management, capable of aligning technical reliability with environmental goals in diverse operational scenarios. Full article
Show Figures

Figure 1

16 pages, 1122 KB  
Article
Optimal Power Flow of Unbalanced Distribution Networks Using a Novel Shrinking Net Algorithm
by Xun Xu, Liangli Xiong, Menghan Xiao, Haoming Liu and Jian Wang
Processes 2025, 13(10), 3226; https://doi.org/10.3390/pr13103226 - 10 Oct 2025
Viewed by 339
Abstract
The increasing penetration of distributed energy resources (DERs) in unbalanced distribution networks presents significant challenges for optimal operation, particularly concerning power loss minimization and voltage regulation. This paper proposes a comprehensive Optimal Power Flow (OPF) model that coordinates various assets, including on-load tap [...] Read more.
The increasing penetration of distributed energy resources (DERs) in unbalanced distribution networks presents significant challenges for optimal operation, particularly concerning power loss minimization and voltage regulation. This paper proposes a comprehensive Optimal Power Flow (OPF) model that coordinates various assets, including on-load tap changers (OLTCs), reactive power compensators, and controllable electric vehicles (EVs). To solve this complex and non-convex optimization problem, we developed the Shrinking Net Algorithm (SNA), a novel metaheuristic with mathematically proven convergence. The proposed framework was validated using the standard IEEE 123-bus test system. The results demonstrate significant operational improvements: total active power loss was reduced by 32.1%, from 96.103 kW to 65.208 kW. Furthermore, all node voltage violations were eliminated, with the minimum system voltage improving from 0.937 p.u. to a compliant 0.973 p.u. The findings confirm that the proposed SNA is an effective and robust tool for this application, highlighting the substantial economic and technical benefits of coordinated asset control for modern distribution system operators. Full article
Show Figures

Figure 1

23 pages, 3682 KB  
Article
Multiple Stakeholder Partition-Based Interactive-Game Voltage Control for Distribution Networks
by Wenchuan Sun, Zhongtang Zhou, Ming Du, Jiawei Huang, Rui Wang and Chuanliang Xiao
Processes 2025, 13(10), 3222; https://doi.org/10.3390/pr13103222 - 10 Oct 2025
Viewed by 397
Abstract
To address the overvoltage problem in distribution networks with large-scale photovoltaic (PV) integration, this paper proposes an interactive game-based voltage optimization control strategy based on microgrid cluster partitioning. A multi-agent control architecture is constructed, including a dynamic partitioning layer, a parallel independent optimization [...] Read more.
To address the overvoltage problem in distribution networks with large-scale photovoltaic (PV) integration, this paper proposes an interactive game-based voltage optimization control strategy based on microgrid cluster partitioning. A multi-agent control architecture is constructed, including a dynamic partitioning layer, a parallel independent optimization layer, and an interactive game optimization layer. In the dynamic partitioning layer, microgrid clusters are formed considering coupling degree, voltage regulation capability, and cluster scale. In the parallel optimization layer, a network reconfiguration-based control model is established for utility-owned microgrids, and a PV active/reactive power regulation model is developed for PV microgrids, enabling independent cluster-level control. In the game optimization layer, a non-cooperative game model is formulated to coordinate voltage regulation among clusters. The effectiveness of the proposed method is demonstrated on an actual 10 kV feeder system. Full article
(This article belongs to the Section Energy Systems)
Show Figures

Figure 1

19 pages, 3740 KB  
Article
Fault Ride-Through Optimization Scheme for Hybrid AC/DC Transmission Systems on the Same Tower
by Xu Chu, Qi Liu, Letian Fu, Shaoshuai Yu and Weidong Wang
Sensors 2025, 25(19), 6216; https://doi.org/10.3390/s25196216 - 7 Oct 2025
Viewed by 286
Abstract
Sensors in power systems utilize the detection results of fault signals to guide subsequent fault handling procedures. However, the traditional phase-shift restart strategy exhibits limitations such as power interruptions, reactive power redundancy, and intersystem fault clearance failures when addressing faults in the hybrid [...] Read more.
Sensors in power systems utilize the detection results of fault signals to guide subsequent fault handling procedures. However, the traditional phase-shift restart strategy exhibits limitations such as power interruptions, reactive power redundancy, and intersystem fault clearance failures when addressing faults in the hybrid AC/DC transmission system. To address these shortcomings, a power compensation-based fault ride-through (FRT) scheme and a protection-control cooperation FRT scheme are proposed, taking into account the operational characteristics of the symmetric monopole LCC-HVDC (SM-LCC-HVDC). The power compensation-based FRT scheme actively compensates for power, mitigating the impact of reactive power redundancy on the AC-side bus during faults. The protection-control cooperation FRT scheme is activated after sufficient AC components are detected on the DC side. It leverages the adjustability of the DC system to proactively activate protection for AC transmission lines. An electromagnetic transient simulation model of the hybrid AC/DC same-tower transmission system was developed in PSCAD/EMTDC. Simulation results validate the effectiveness and superiority of the proposed methods. Full article
(This article belongs to the Section Electronic Sensors)
Show Figures

Figure 1

26 pages, 4387 KB  
Article
Modeling, Analysis, and Classification of Asymmetrical DC Faults in a Bipolar Hybrid Cascaded Multi-Terminal HVDC System
by Muhammad Asim Mond, Zhou Li and Wenwen Mei
Symmetry 2025, 17(10), 1671; https://doi.org/10.3390/sym17101671 - 7 Oct 2025
Viewed by 269
Abstract
Hybrid cascaded multi-terminal HVDC systems represent a significant advancement in HVDC transmission technology. A notable real-world implementation of this concept is the bipolar hybrid cascaded multi-terminal high voltage direct current (MTDC) project in China, which successfully transmits hydropower from Baihetan to Jiangsu. This [...] Read more.
Hybrid cascaded multi-terminal HVDC systems represent a significant advancement in HVDC transmission technology. A notable real-world implementation of this concept is the bipolar hybrid cascaded multi-terminal high voltage direct current (MTDC) project in China, which successfully transmits hydropower from Baihetan to Jiangsu. This system combines MMCs for system support with LCCs for high-power transmission, offering both flexibility and efficiency in long-distance power delivery. This research explores the characteristics of main DC fault types in such systems, classifying faults based on sections and modes while analyzing their unique outcomes depending on DC fault locations. By focusing on the DC-side terminal behavior of the MMCs and LCCs, the main response processes to asymmetrical DC faults are investigated in detail. This study offers a detailed analysis of asymmetrical DC faults in bipolar HVDC systems, proposing a new classification based on fault characteristics such as current, voltage, active power, and reactive power. A supporting theoretical analysis is also presented. It identifies specific control demands needed for effective fault mitigation. PSCAD/EMTDC simulation results demonstrate that DC faults with similar characteristics can be consistently grouped into distinct categories by this new classification method. Each category is further linked to specific control demands, providing a strong basis for developing advanced protection strategies and practical solutions that enhance the stability and reliability of hybrid cascaded HVDC systems. Full article
Show Figures

Figure 1

16 pages, 587 KB  
Article
Portulaca oleracea as a Functional Ingredient in Organic Cooked Frankfurters: A Sustainable Approach to Shelf-Life Extension and Oxidative Stability Without Synthetic Nitrites
by Kadyrzhan Makangali, Gulnazym Ospankulova, Gulzhan Tokysheva, Aknur Muldasheva and Kalamkas Dairova
Processes 2025, 13(10), 3167; https://doi.org/10.3390/pr13103167 - 5 Oct 2025
Viewed by 394
Abstract
Consumer demand for organic and nitrite-free meat products has stimulated the search for sustainable alternatives to synthetic curing agents. Conventional nitrites are effective in stabilizing color, inhibiting lipid oxidation, and suppressing pathogens, but their use raises health concerns due to potential nitrosamine formation. [...] Read more.
Consumer demand for organic and nitrite-free meat products has stimulated the search for sustainable alternatives to synthetic curing agents. Conventional nitrites are effective in stabilizing color, inhibiting lipid oxidation, and suppressing pathogens, but their use raises health concerns due to potential nitrosamine formation. This study investigated the application of Portulaca oleracea powder as a multifunctional ingredient to fully replace sodium nitrite in organic cooked frankfurters. Two formulations were produced: control frankfurters with sodium nitrite and experimental frankfurters with purslane powder 1.2%. Physicochemical, oxidative, proteomic, and antioxidant parameters were monitored during refrigerated storage. Purslane incorporation improved the lipid profile by increasing α-linolenic acid and lowering the ω-6/ω-3 ratio, while peroxide, thiobarbituric acid reactive substances (TBARS), and acid values remained significantly lower than in nitrite-containing controls after 10 days. Protein oxidation was also reduced, and SDS-PAGE profiles confirmed that the major structural muscle proteins remained stable, indicating that purslane addition did not disrupt the core proteome. Antioxidant assays showed strong ferric-reducing antioxidant power (FRAP) activity 13.7 mg GAE/g and enhanced 2,2-diphenyl-1-picrylhydrazyl (DPPH) radical-scavenging capacity 22.3%, highlighting purslane’s contribution to oxidative stability. Although redness (a*) was lower than in nitrite controls, overall color stability (L*, b*) remained high. Taken together, purslane enhanced oxidative stability and quality attributes of nitrite-free organic frankfurters; microbiological validation is ongoing and will be reported separately. Full article
(This article belongs to the Special Issue Development of Innovative Processes in Food Engineering)
Show Figures

Figure 1

22 pages, 1664 KB  
Review
Potential and Future Therapeutic Applications of Eicosapentaenoic/Docosahexaenoic Acid and Probiotics in Chronic Low-Grade Inflammation
by Amedeo Amedei, Ingrid Lamminpää and Cinzia Parolini
Biomedicines 2025, 13(10), 2428; https://doi.org/10.3390/biomedicines13102428 - 4 Oct 2025
Viewed by 553
Abstract
Nowadays, two major pathways seem to be responsible for the development and progression of atherosclerosis, namely, high levels of low-density lipoprotein-cholesterol (LDL-C) and low-grade vascular inflammation. Indeed, the concentration of C-reactive protein (CRP), mirroring low-grade systemic inflammation, has been recognized as a more [...] Read more.
Nowadays, two major pathways seem to be responsible for the development and progression of atherosclerosis, namely, high levels of low-density lipoprotein-cholesterol (LDL-C) and low-grade vascular inflammation. Indeed, the concentration of C-reactive protein (CRP), mirroring low-grade systemic inflammation, has been recognized as a more powerful determinant of recurrent cardiovascular (CV) events, death, and all-cause mortality than LDL-C levels. Gut microbiota (GM) dysbiosis is a causal factor for the development of different inflammatory-based pathologies, such as CV disease (CVD). In addition, pre/probiotics showed beneficial effects on GM dysbiosis, by influencing both inflammation and immunity. It has been well documented that eicosapentaenoic acid (EPA) and docosahexaenoic acid (DHA) exert triglyceride (TG)-lowering and antithrombotic effects and play a seminal role in the resolution of inflammatory processes. We showed the recent studies indicating the relationship between pharmacological reduction in inflammatory cytokines and CV outcomes. The principal aim of our review is to highlight the anti-inflammatory and immune-modulatory activities of GM, EPA, and DHA. Then, we pointed out how developing patient-specific pre/probiotic and EPA/DHA interventions alongside the standard of care (SOC) is needed in order to answer several of the questions raised, ranging from diminishing drug toxicity to including frailty individuals. Therefore, hypothetical tailored clinical studies are presented, aiming to treat all the patients at high-risk of CV events, as well as aged people. Full article
(This article belongs to the Section Microbiology in Human Health and Disease)
Show Figures

Figure 1

17 pages, 1744 KB  
Article
Predicting Mortality in Older Adults Using Comprehensive Geriatric Assessment: A Comparative Study of Traditional Statistics and Machine Learning Approaches
by Esin Avsar Kucukkurt, Esra Tokur Sonuvar, Dilek Yapar, Yasemin Demir Avcı, Irem Tanriverdi, Andisha Behzad and Pinar Soysal
Diagnostics 2025, 15(19), 2491; https://doi.org/10.3390/diagnostics15192491 - 30 Sep 2025
Viewed by 546
Abstract
Objective: The objective was to evaluate the ability of Comprehensive Geriatric Assessment (CGA) parameters to predict all-cause mortality in older adults using both traditional statistical methods and machine learning (ML) approaches. Methods: A total of 1.974 older adults from a university hospital outpatient [...] Read more.
Objective: The objective was to evaluate the ability of Comprehensive Geriatric Assessment (CGA) parameters to predict all-cause mortality in older adults using both traditional statistical methods and machine learning (ML) approaches. Methods: A total of 1.974 older adults from a university hospital outpatient clinic were included in this study. Ninety-six CGA-related variables encompassing functional and nutritional status, frailty, mobility, cognition, mood, chronic conditions, and laboratory findings were assessed. Cox proportional hazards regression and six ML algorithms (logistic regression, support vector machine, decision tree, random forest, extreme gradient boosting, and artificial neural networks) were employed to identify mortality predictors. Model performance was evaluated using area under the curve (AUC), sensitivity, and F1-score. Results: During a median follow-up of 617 days (interquartile range [IQR]: 297–1015), 430 participants (21.7%) died. Lower Lawton instrumental activities of daily living scores, unintentional weight loss, slower gait speed, and elevated C-reactive protein levels were consistent mortality predictors across all models. The artificial neural network demonstrated the highest predictive performance (AUC = 0.970), followed by logistic regression (AUC = 0.851). SHapley Additive explanations (SHAP) analysis confirmed the relevance of these key features. Conclusions: CGA parameters provide robust prognostic information regarding mortality risk in older adults. Functional decline and inflammation markers offer greater predictive power than chronological age alone in assessing overall health and survival probability. Full article
(This article belongs to the Section Machine Learning and Artificial Intelligence in Diagnostics)
Show Figures

Figure 1

Back to TopTop