From Bench to Bioactivity: An Integrated Medicinal Development Based on Kinetic and Simulation Assessment of Pyrazolone-Oxadiazole Coupled Benzamide as Promising Inhibitors of Diabetes Mellitus
Abstract
1. Introduction
2. Results and Discussion
2.1. Chemistry
2.2. Biological Activities (SAR)
2.3. Kinetics Study
2.4. Docking Analysis (In Silico Approach)
2.5. Molecular Dynamics Simulation (MD)
2.6. Pharmacophore Modelling
2.7. MESP
2.8. FMO Approach
2.9. ADMET Investigation
3. Experimental
3.1. General Information
3.2. Synthetic Methodology
3.3. Protocols
4. Conclusions
Supplementary Materials
Author Contributions
Funding
Data Availability Statement
Acknowledgments
Conflicts of Interest
References
- Maurya, A.K.; Mulpuru, V.; Mishra, N. Discovery of novel coumarin analogs against the α-glucosidase protein target of diabetes mellitus: Pharmacophore-based QSAR, docking, and molecular dynamics simulation studies. ACS Omega 2020, 5, 32234–32249. [Google Scholar] [CrossRef]
- Sweeting, A.; Hannah, W.; Backman, H.; Catalano, P.; Feghali, M.; Herman, W.H.; Benhalima, K. Epidemiology and management of gestational diabetes. Lancet 2024, 404, 175–192. [Google Scholar] [CrossRef]
- Holt, R.I.; Cockram, C.S.; Ma, R.C.; Luk, A.O. Diabetes and infection: Review of the epidemiology, mechanisms and principles of treatment. Diabetologia 2024, 67, 1168–1180. [Google Scholar] [CrossRef]
- McElwain, C.J.; McCarthy, F.P.; McCarthy, C.M. Gestational diabetes mellitus and maternal immune dysregulation: What we know so far. Int. J. Mol. Sci. 2021, 22, 4261. [Google Scholar] [CrossRef] [PubMed]
- Choudhury, A.A.; Rajeswari, V.D. Gestational diabetes mellitus-A metabolic and reproductive disorder. Biomed. Pharmacother. 2021, 143, 112183. [Google Scholar] [CrossRef] [PubMed]
- Dirir, A.M.; Daou, M.; Yousef, A.F.; Yousef, L.F. A review of alpha-glucosidase inhibitors from plants as potential candidates for the treatment of type-2 diabetes. Phytochem. Rev. 2022, 21, 1049–1079. [Google Scholar] [CrossRef] [PubMed]
- Chaudhury, A.; Duvoor, C.; Dendi, V.S.R.; Kraleti, S.; Chada, A.; Ravilla, R. Clinical Review of Antidiabetic Drugs: Implications for Type 2 Diabetes. Mellitus Front. Endocrinol. 2017, 8, 6. [Google Scholar]
- Gachons, C.P.D.; Breslin, P.A.S. Salivary amylase digestion and metabolic syndrome. Curr. Diab. Rep. 2016, 16, 1. [Google Scholar]
- Ćorković, I.; Gašo-Sokač, D.; Pichler, A.; Šimunović, J.; Kopjar, M. Dietary polyphenols as natural inhibitors of α-amylase and α-glucosidase. Life 2022, 12, 1692. [Google Scholar] [CrossRef]
- Nair, S.S.; Kavrekar, V.; Mishra, A. In vitro studies on alpha amylase and alpha glucosidase inhibitory activities of selected plant extracts. Eur. J. Exp. Biol. 2013, 3, 128–132. [Google Scholar]
- Rahman, M.S.; Hossain, K.S.; Das, S.; Kundu, S.; Adegoke, E.O.; Rahman, A.; Hannan, A.; Uddin, J.; Pang, M.-G. Role of insulin in health and disease: An update. Int. J. Mol. Sci. 2021, 22, 6403. [Google Scholar] [CrossRef] [PubMed]
- Qadir, T.; Amin, A.; PK, S.; Jeelani, I.; Abe, H. A review on medicinally important heterocyclic compounds. Open Med. Chem. J. 2022, 16. [Google Scholar] [CrossRef]
- Salve, M.T.; Jadhav, S.B. Synthesis, characterization and antidiabetic evaluation of sulfonamide in corporated with 1,3,4-oxadiazole derivatives. Indian J. Pharm. Educ. Res. 2021, 55, 1145–1150. [Google Scholar] [CrossRef]
- Glomb, T.; Świątek, P. Antimicrobial activity of 1,3,4-oxadiazole derivatives. Int. J. Mol. Sci. 2021, 22, 6979. [Google Scholar] [CrossRef]
- Hamoud, M.M.; Osman, N.A.; Rezq, S.; Abd El-wahab, H.A.; Hassan, A.E.; Abdel-Fattah, H.A.; Romero, D.G.; Ghanim, A.M. Design and synthesis of novel 1,3,4-oxadiazole and 1,2,4-triazole derivatives as cyclooxygenase-2 inhibitors with anti-inflammatory and antioxidant activity in LPS-stimulated RAW264. 7 macrophages. Bioorganic Chem. 2022, 124, 105808. [Google Scholar] [CrossRef]
- Vanjare, B.D.; Choi, N.G.; Eom, Y.S.; Raza, H.; Hassan, M.; Lee, K.H.; Kim, S.J. Synthesis, carbonic anhydrase inhibition; anticancer activity, and molecular docking studies of 1,3,4-oxadiazole derivatives. Mol. Divers. 2023, 27, 193–208. [Google Scholar] [CrossRef]
- Fang, Y.; Hegazy, L.; Finck, B.N.; Elgendy, B. Recent advances in the medicinal chemistry of farnesoid X receptor. J. Med. Chem. 2021, 64, 17545–17571. [Google Scholar] [CrossRef]
- Ghomashi, S.; Ghomashi, R.; Aghaei, H.; Massah, A.R. Recent advances in biological active sulfonamide based hybrid compounds part B: Two-component sulfonamide hybrids. Curr. Med. Chem. 2023, 30, 604–665. [Google Scholar] [CrossRef]
- Sadiq, G.M.; Mohassab, A.M.; Abdel-Aziz, M.; Abuo-Rahma, G.E. Amidoximes and their Cyclized Analogue Oxadiazoles as New Frontiers in Chemical Biology: Mini Review. Lett. Drug Des. Discov. 2024, 21, 4161–4183. [Google Scholar] [CrossRef]
- Bhutani, R.; Pathak, D.P.; Kapoor, G.; Husain, A.; Iqbal, M.A. Novel Hybrids of Benzothiazole-1,3,4-Oxadiazole-4-Thiazolidinone: Synthesis, In Silico ADME Study, Molecular Docking and In Vivo Anti-Diabetic Assessment. Bioorg. Chem. 2019, 83, 6–19. [Google Scholar] [CrossRef]
- Ullah, H.; Uddin, I.; Ali, H.Z.; Hassan, W.; Mehnaz, G.; Maryam, L. A promising α-glucosidase and α-amylase inhibitors based on benzimidazole-oxadiazole hybrid analogues: Evidence based in vitro and in silico studies. Results Chem. 2024, 11, 101832. [Google Scholar] [CrossRef]
- Khan, S.; Iqbal, T. A new synthetic approach for determination of thiadiazole clubbed sulfonamide as diabetic therapeutic with in silico modeling and kinetic study. J. Mol. Struct. 2025, 1338, 142261. [Google Scholar] [CrossRef]
- Khan, S.; Iqbal, T.; Rehman, M.U.; Khan, M.B.; Islam, M.S.; Dahlous, K.A. Integrated insight and in silico investigation of hybrid bis-thiazolidinone derivatives along with anti-Alzheimer activity. 3 Biotech 2025, 15, 176. [Google Scholar] [CrossRef] [PubMed]
- Khan, S.; Hussain, R.; Khan, Y.; Iqbal, T.; Khan, M.B.; Al-Ahmary, K.M.; Mhyawi, S.R.A. Insight into role of triazole derived Schiff base bearing sulfonamide derivatives in targeting Alzheimer’s disease: Synthesis, characterization, in vitro and in silico assessment. J. Mol. Struct. 2024, 1315, 138845. [Google Scholar] [CrossRef]
- Frisch, M.; Clemente, F.; Gaussian; Revision, A.; Trucks, G.W.; Schlegel, H.B.; Scuseria, G.E.; Robb, M.A.; Cheeseman, J.R.; Scalmani, G.; et al. (Eds.) Gaussian 09; Petersson, Gaussian, Inc.: Wallingford, CT, USA, 2009; Available online: https://cir.nii.ac.jp/crid/1370298757422456580 (accessed on 13 October 2025).
- Khan, A.U.; Muhammad, S.; Khera, R.A.; Shehzad, R.A.; Ayub, K.; Iqbal, J. DFT study of superhalogen (AlF4) doped boron nitride for tuning their nonlinear optical properties. Optik 2021, 231, 166464. [Google Scholar] [CrossRef]
- Esrafili, M.D.; Saeidi, N. DFT calculations on the catalytic oxidation of CO over Si-doped (6,0) boron nitride nanotubes. Struct. Chem. 2015, 27, 595–604. [Google Scholar] [CrossRef]
- Khan, S.; Yar, M.; Kosar, N.; Ayub, K.; Arshad, M.; Zahid, M.N.; Mahmood, T. First-principles study for exploring the adsorption behavior of G-series nerve agents on graphdyine surface. Comput. Theor. Chem. 2020, 1191, 113043. [Google Scholar] [CrossRef]
- Prasad, O.; Sinha, L.; Kumar, N. Theoretical Raman and IR spectra of tegafur and comparison of molecular electrostatic potential surfaces, polarizability and hyerpolarizability of tegafur with 5-fluoro-uracil by density functional theory. J. At. Mol. Sci. 2010, 1, 201–214. [Google Scholar]
- Hagar, M.; Ahmed, H.A.; Aljohani, G.; Alhaddad, O.A. Investigation of Some Antiviral N-Heterocycles as COVID 19 Drug: Molecular Docking and DFT Calculations. Int. J. Mol. Sci. 2020, 21, 3922. [Google Scholar] [CrossRef]
- Liu, H.B.; Gao, W.W.; Tangadanchu, V.K.R.; Zhou, C.H.; Geng, R.X. Novel aminopyrimidinyl benzimidazoles as potentially antimicrobial agents: Design, synthesis and biological evaluation. Eur. J. Med. Chem. 2018, 143, 66–84. [Google Scholar] [CrossRef]
- Marinho, E.S.; Marinho, M.M. A DFT study of synthetic drug topiroxostat: MEP, HOMO, LUMO. Int. J. Sci. Eng. Res. 2016, 7, 1264–1270. [Google Scholar]
- Ellman, G.L.; Courtney, K.D.; Andres, J.V.; Featherstone, R.M. A new and rapid colorimetric determination of acetylcholinesterase activity. Biochem. Pharma. 1961, 7, 88–95. [Google Scholar] [CrossRef]
- Govindappa, M.; Hemashekhar, B.; Arthikala, M.; Rai, V.R.; Ramachandra, Y.L. Characterization, antibacterial, antioxidant, antidiabetic, antiinflammatory and antityrosinase activity of green synthesized silver nanoparticles using Calophyllum tomentosum leaves extract. Results Phys. 2018, 9, 400–408. [Google Scholar] [CrossRef]
- Ali, H.; Houghton, P.J.; Soumyanath, A. α-Amylase inhibitory activity of some Malaysian plants used to treat diabetes; with particular reference to Phyllanthus amarus. J. Ethnopharmacol. 2006, 107, 449–455. [Google Scholar] [CrossRef] [PubMed]
- Shoaib, K.; Hussain, R.; Khan, Y.; Iqbal, T.; Ullah, F.; Felemban, S.; Khowdiary, M.M. Facile benzothiazole-triazole based thiazole derivatives as novel thymidine phosphorylase and α-glucosidase inhibitors: Experimental and computational approaches. Enzyme Microb. Technol. 2024, 179, 110470. [Google Scholar]
- Frisch, M.J. Gaussian 98, Revision A.9; Gaussian INc.: Pittsburgh, PA, USA, 1998. [Google Scholar]
- El-Baz, A.F.; Sorour, N.M.; Shetaia, Y.M. Trichosporon jirovecii-mediated synthesis of cadmium sulfide nanoparticles. J. Basic Microbiol. 2016, 56, 520–530. [Google Scholar] [CrossRef] [PubMed]
- Becke, A.D. Density-functional exchange-energy approximation with correct asymptotic behavior. Phys. Rev. A 1988, 38, 3098–3100. [Google Scholar] [CrossRef]
- Lee, C.; Yang, W.; Parr, R.G. Development of the Colle-Salvetti correlation-energy formula into a functional of the electron density. Phys. Rev. B 1988, 37, 785–789. [Google Scholar] [CrossRef]
- Flurry, R.L., Jr. Molecular Orbital Theory of Bonding in Organic Molecules; Marcel Dekker: New York, NY, USA, 1968. [Google Scholar]
- Seboletswe, P.; Kumar, G.; Gcabashe, N.; Olofinsan, K.; Idris, A.; Islam, S.; Idris, A.; Singh, P. Benzylidenehydrazine Derivatives: Synthesis, Antidiabetic Evaluation, Antioxidation, Mode Of Inhibition, DFT And Molecular Docking Studies. Chem. Biodivers. 2025, 22, e202401556. [Google Scholar] [CrossRef]
- Rehman, M.T.; AlAjmi, M.F.; Hussain, A.; Rather, G.M.; Khan, M.A. High-Throughput Virtual Screening, Molecular Dynamics Simulation, and Enzyme Kinetics Identified ZINC84525623 as a Potential Inhibitor of NDM-1. Int. J. Mol. Sci. 2019, 20, 819. [Google Scholar] [CrossRef]
- AlAjmi, M.F.; Rehman, M.T.; Hussain, A.; Rather, G.M. Pharmacoinformatics approach for the identification of Polo-like kinase-1 inhibitors from natural sources as anti-cancer agents. Int. J. Biol. Macromol. 2018, 116, 173–181. [Google Scholar] [CrossRef]
- Brańka, A.C. Nosé-Hoover chain method for nonequilibrium molecular dynamics simulation. Phys. Rev. E 2000, 61, 4769–4773. [Google Scholar] [CrossRef]
- Martyna, G.J.; Tobias, D.J.; Klein, M.L. Constant pressure molecular dynamics algorithms. J. Chem. Phys. 1994, 101, 4177–4189. [Google Scholar] [CrossRef]





















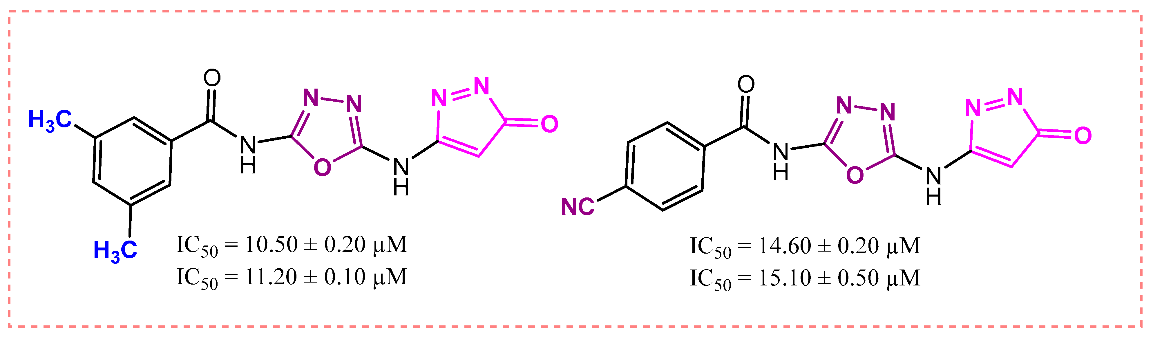
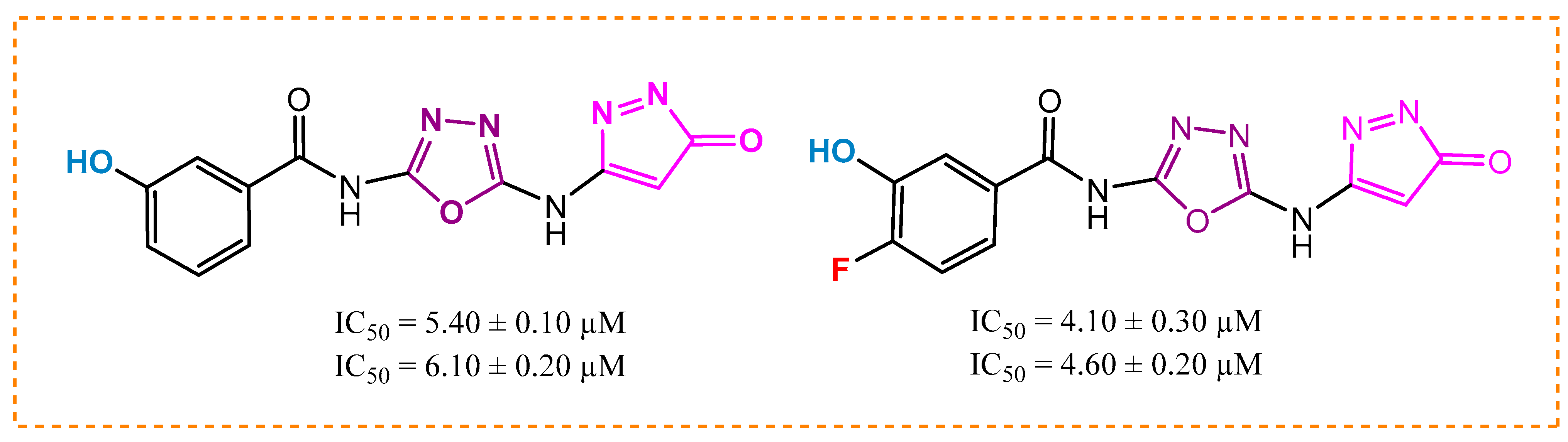
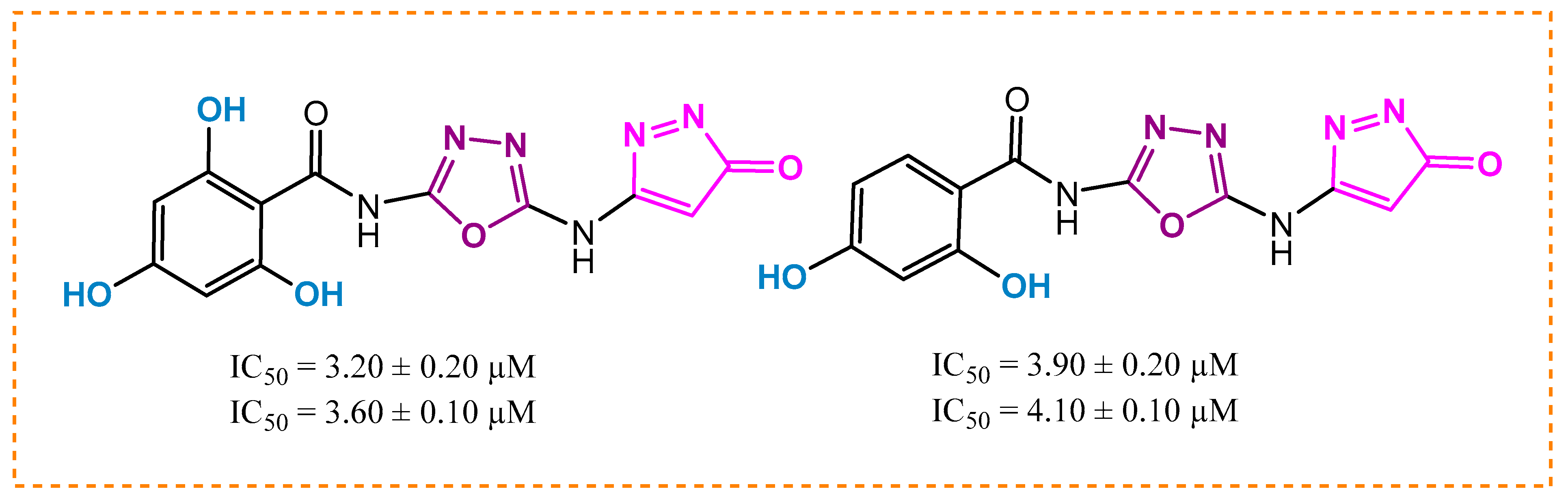
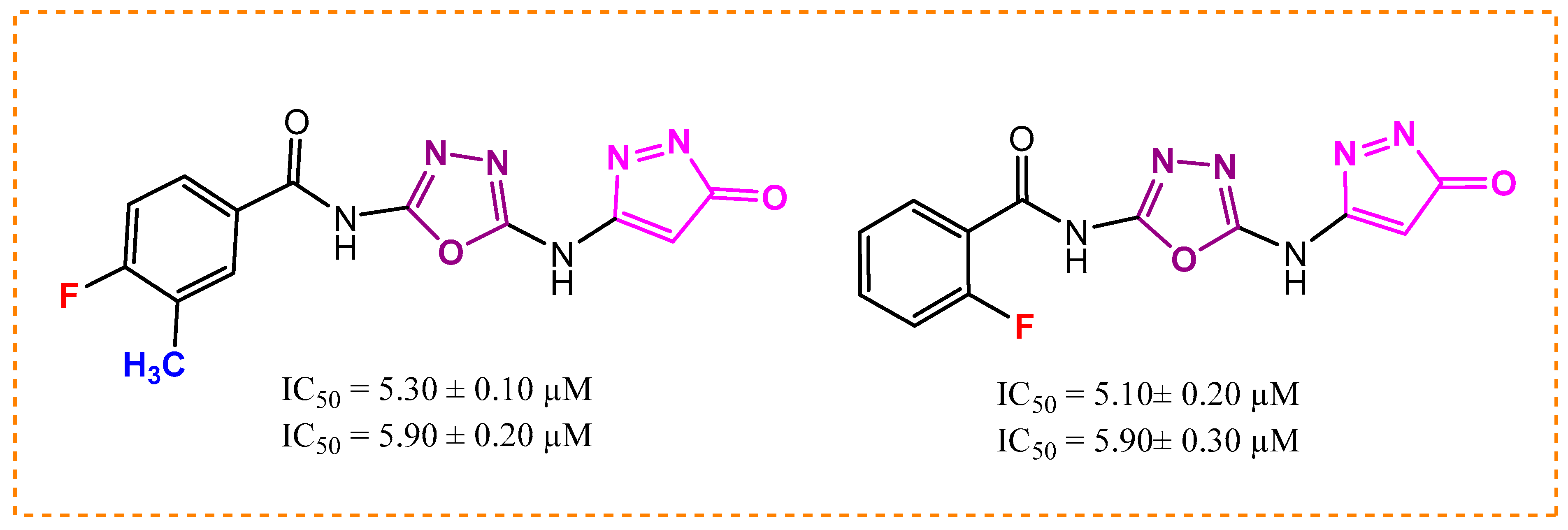
| S/No | Compounds | IC50 = α-amylase µM ± SEM | IC50 = α-glucosidase µM ± SEM |
|---|---|---|---|
| 1 | ![]() | 5.30 ± 0.10 | 5.90 ± 0.20 |
| 2 | ![]() | 10.50 ± 0.20 | 11.20 ± 0.10 |
| 3 | ![]() | 3.20 ± 0.20 | 3.60 ± 0.10 |
| 4 | ![]() | 5.10 ± 0.20 | 5.90 ± 0.30 |
| 5 | ![]() | 5.40 ± 0.10 | 6.10 ± 0.20 |
| 6 | ![]() | 14.60 ± 0.20 | 15.10 ± 0.50 |
| 7 | ![]() | 4.10 ± 0.30 | 4.60 ± 0.20 |
| 8 | ![]() | 11.70 ± 0.20 | 12.10 ± 0.10 |
| 9 | ![]() | 15.30 ± 0.10 | 16.10 ± 0.20 |
| 10 | ![]() | 3.90 ± 0.20 | 4.10 ± 0.10 |
| Standard drug acarbose | 4.50 ± 0.20 | 4.90 ± 0.30 | |
Disclaimer/Publisher’s Note: The statements, opinions and data contained in all publications are solely those of the individual author(s) and contributor(s) and not of MDPI and/or the editor(s). MDPI and/or the editor(s) disclaim responsibility for any injury to people or property resulting from any ideas, methods, instructions or products referred to in the content. |
© 2025 by the authors. Licensee MDPI, Basel, Switzerland. This article is an open access article distributed under the terms and conditions of the Creative Commons Attribution (CC BY) license (https://creativecommons.org/licenses/by/4.0/).
Share and Cite
Khowdiary, M.M.; Felemban, S. From Bench to Bioactivity: An Integrated Medicinal Development Based on Kinetic and Simulation Assessment of Pyrazolone-Oxadiazole Coupled Benzamide as Promising Inhibitors of Diabetes Mellitus. Pharmaceuticals 2025, 18, 1595. https://doi.org/10.3390/ph18111595
Khowdiary MM, Felemban S. From Bench to Bioactivity: An Integrated Medicinal Development Based on Kinetic and Simulation Assessment of Pyrazolone-Oxadiazole Coupled Benzamide as Promising Inhibitors of Diabetes Mellitus. Pharmaceuticals. 2025; 18(11):1595. https://doi.org/10.3390/ph18111595
Chicago/Turabian StyleKhowdiary, Manal M., and Shifa Felemban. 2025. "From Bench to Bioactivity: An Integrated Medicinal Development Based on Kinetic and Simulation Assessment of Pyrazolone-Oxadiazole Coupled Benzamide as Promising Inhibitors of Diabetes Mellitus" Pharmaceuticals 18, no. 11: 1595. https://doi.org/10.3390/ph18111595
APA StyleKhowdiary, M. M., & Felemban, S. (2025). From Bench to Bioactivity: An Integrated Medicinal Development Based on Kinetic and Simulation Assessment of Pyrazolone-Oxadiazole Coupled Benzamide as Promising Inhibitors of Diabetes Mellitus. Pharmaceuticals, 18(11), 1595. https://doi.org/10.3390/ph18111595











