Sign in to use this feature.

Years

Between: -

Subjects

remove_circle_outline
remove_circle_outline
remove_circle_outline
remove_circle_outline
remove_circle_outline
remove_circle_outline
remove_circle_outline
remove_circle_outline
remove_circle_outline

Journals

remove_circle_outline
remove_circle_outline
remove_circle_outline
remove_circle_outline
remove_circle_outline
remove_circle_outline
remove_circle_outline
remove_circle_outline
remove_circle_outline
remove_circle_outline

Article Types

Countries / Regions

remove_circle_outline
remove_circle_outline
remove_circle_outline
remove_circle_outline

Search Results (538)

Search Parameters:
Keywords = absolute quantification

Order results
Result details
Results per page
Select all
Export citation of selected articles as:
35 pages, 2985 KB  
Article
Decarbonizing Coastal Shipping: Voyage-Level CO2 Intensity, Fuel Switching and Carbon Pricing in a Distribution-Free Causal Framework
by Murat Yildiz, Abdurrahim Akgundogdu and Guldem Elmas
Sustainability 2026, 18(2), 723; https://doi.org/10.3390/su18020723 (registering DOI) - 10 Jan 2026
Abstract
Coastal shipping plays a critical role in meeting maritime decarbonization targets under the International Maritime Organization’s (IMO) Carbon Intensity Indicator (CII) and the European Union Emissions Trading System (EU ETS); however, operators currently lack robust tools to forecast route-specific carbon intensity and evaluate [...] Read more.
Coastal shipping plays a critical role in meeting maritime decarbonization targets under the International Maritime Organization’s (IMO) Carbon Intensity Indicator (CII) and the European Union Emissions Trading System (EU ETS); however, operators currently lack robust tools to forecast route-specific carbon intensity and evaluate the causal benefits of fuel switching. This study developed a distribution-free causal forecasting framework for voyage-level Carbon Dioxide (CO2) intensity using an enriched panel of 1440 real-world voyages across four Nigerian coastal routes (2022–2024). We employed a physics-informed monotonic Light Gradient Boosting Machine (LightGBM) model trained under a strict leave-one-route-out (LORO) protocol, integrated with split-conformal prediction for uncertainty quantification and Causal Forests for estimating heterogeneous treatment effects. The model predicted emission intensity on completely unseen corridors with a Mean Absolute Error (MAE) of 40.7 kg CO2/nm, while 90% conformal prediction intervals achieved 100% empirical coverage. While the global average effect of switching from heavy fuel oil to diesel was negligible (≈−0.07 kg CO2/nm), Causal Forests revealed significant heterogeneity, with effects ranging from −74 g to +29 g CO2/nm depending on route conditions. Economically, targeted diesel use becomes viable only when carbon prices exceed ~100 USD/tCO2. These findings demonstrate that effective coastal decarbonization requires moving beyond static baselines to uncertainty-aware planning and targeted, route-specific fuel strategies rather than uniform fleet-wide policies. Full article
(This article belongs to the Special Issue Sustainable Maritime Logistics and Low-Carbon Transportation)
22 pages, 1636 KB  
Article
Long-Term Time-Series Dynamics of Lake Water Storage on the Qinghai–Tibet Plateau via Multi-Source Remote Sensing and DEM-Based Underwater Bathymetry Reconstruction
by Xuteng Zhang, Ziyuan Xu, Changxian Qi, Dezhong Xu, Yao Chen and Haiyue Peng
Remote Sens. 2026, 18(2), 225; https://doi.org/10.3390/rs18020225 (registering DOI) - 9 Jan 2026
Abstract
Lakes on the Qinghai–Tibet Plateau are important indicators of global climate change, and variations in their water storage strongly influence regional hydrological cycles and ecosystems. However, existing studies have largely focused on relative changes in lake volume, while the precise quantification of absolute [...] Read more.
Lakes on the Qinghai–Tibet Plateau are important indicators of global climate change, and variations in their water storage strongly influence regional hydrological cycles and ecosystems. However, existing studies have largely focused on relative changes in lake volume, while the precise quantification of absolute water storage remains insufficient, largely due to the lack of long-term, high-accuracy water storage time series. Constrained by harsh natural conditions and limited in situ observations, conventional approaches struggle to achieve the accurate long-term monitoring of lake water storage across the Plateau. To address this challenge, we propose a DEM-based underwater topography extrapolation method. Under the assumption of continuity between surrounding onshore terrain and submerged lakebed morphology, nearshore DEM data are extrapolated to reconstruct lake bathymetry. By integrating multi-source remote sensing observations of lake area and water level, we estimate and reconstruct 30-year absolute water storage time series for 120 Plateau lakes larger than 50 km2. This method does not require measured water depth data and is particularly suitable for data-scarce, topographically complex, high-altitude lake regions, effectively overcoming key limitations of conventional methods used for absolute water storage monitoring. Validation shows strong agreement between our estimates and an independent validation dataset, with an overall correlation coefficient of 0.95; the reconstructed time series are highly reliable, with correlation coefficients exceeding 0.6. During the study period, the total lake water storage of the Qinghai–Tibet Plateau exhibited a significant increasing trend, with a cumulative growth of approximately 137.297 billion m3, representing a 20.73% increase, and showing notable spatial heterogeneity. The water storage dataset constructed in this study provides reliable data support for research on water cycles, climate change assessment, and regional water resource management on the Qinghai–Tibet Plateau. Full article
31 pages, 13729 KB  
Article
Stage-Wise SOH Prediction Using an Improved Random Forest Regression Algorithm
by Wei Xiao, Jun Jia, Wensheng Gao, Haibo Li, Hong Xu, Weidong Zhong and Ke He
Electronics 2026, 15(2), 287; https://doi.org/10.3390/electronics15020287 - 8 Jan 2026
Viewed by 66
Abstract
In complex energy storage operating scenarios, batteries seldom undergo complete charge–discharge cycles required for periodic capacity calibration. Methods based on accelerated aging experiments can indicate possible aging paths; however, due to uncertainties like changing operating conditions, environmental variations, and manufacturing inconsistencies, the degradation [...] Read more.
In complex energy storage operating scenarios, batteries seldom undergo complete charge–discharge cycles required for periodic capacity calibration. Methods based on accelerated aging experiments can indicate possible aging paths; however, due to uncertainties like changing operating conditions, environmental variations, and manufacturing inconsistencies, the degradation information obtained from such experiments may not be applicable to the entire lifecycle. To address this, we developed a stage-wise state-of-health (SOH) prediction approach that combined offline training with online updating. During the offline training phase, multiple single-cell experiments were conducted under various combinations of depth of discharge (DOD) and C-rate. Multi-dimensional health features (HFs) were extracted, and an accelerated aging probability pAA was defined. Based on the correlation statistics between HFs, kHF, the SOH, and pAA, all cells in the dataset were divided into general early, middle, and late aging stages. For each stage, cells were further classified by their longevity (long, medium, and short), and multiple models were trained offline for each category. The results show that models trained on cells following similar aging paths achieve significantly better performance than a model trained on all data combined. Meanwhile, HF optimization was performed via a three-step process: an initial screening based on expert knowledge, a second screening using Spearman correlation coefficients, and an automatic feature importance ranking using a random forest regression (RFR) model. The proposed method is innovative in the following ways: (1) The stage-wise multi-model strategy significantly improves the SOH prediction accuracy across the entire lifecycle, maintaining the mean absolute percentage error (MAPE) within 1%. (2) The improved model provides uncertainty quantification, issuing a warning signal at least 50 cycles before the onset of accelerated aging. (3) The analysis of feature importance from the model outputs allows the indirect identification of the primary aging mechanisms at different stages. (4) The model is robust against missing or low-quality HFs. If certain features cannot be obtained or are of poor quality, the prediction process does not fail. Full article
Show Figures

Figure 1

14 pages, 2415 KB  
Article
Improved Quantification of ICG Perfusion Through Motion Compensation in Fluorescence-Guided Surgery
by Sermed Ellebæk Nicolae, Thomas Baastrup Piper, Nikolaj Albeck Nerup, Michael Patrick Achiam and Morten Bo Søndergaard Svendsen
Diagnostics 2026, 16(2), 176; https://doi.org/10.3390/diagnostics16020176 - 6 Jan 2026
Viewed by 149
Abstract
Background/Objectives: Motion artifacts significantly distort fluorescence measurements during surgical perfusion assessment, potentially leading to incorrect clinical decisions. This study evaluates the efficacy of automated motion compensation (MC) in quantitative indocyanine green (q-ICG) imaging to improve the accuracy of perfusion assessment. Methods: [...] Read more.
Background/Objectives: Motion artifacts significantly distort fluorescence measurements during surgical perfusion assessment, potentially leading to incorrect clinical decisions. This study evaluates the efficacy of automated motion compensation (MC) in quantitative indocyanine green (q-ICG) imaging to improve the accuracy of perfusion assessment. Methods: Frames from ICG perfusion assessment during 17 pancreaticoduodenectomies were analyzed. Regions of interest (ROIs) were systematically placed on each frame series, and automated MC was applied to track tissue movement. Performance was evaluated by comparing MC with surgeon-adjusted placement using multiple image quality metrics and analyzing perfusion metrics on time–intensity curves. Principal Component Analysis (PCA) was applied to explore whether image patterns could distinguish between successful and unsuccessful motion compensation. Results: Automated motion compensation successfully corrected motion artifacts in 67.5% of frame sequences, achieving comparable performance to surgeon-guided adjustments. PCA demonstrated clear separation between sufficient and insufficient corrections (AUC = 0.80). At the population level, MC did not significantly change perfusion slope (t(59) = 1.60, p = 0.11) or time-to-peak (Tmax; t(58) = 0.81, p = 0.42). Bland–Altman analysis showed a mean bias of −0.54 (SD = 3.32) for slope and 24.95 (SD = 238.40) for Tmax. At the individual level, 86.7% of slope and 79.7% of Tmax values differed by ≥10% after MC, with mean absolute percentage changes of 108.5% (median 37.8%) and 431.5% (median 65.9%), respectively. Conclusions: MC effectively reduces motion artifacts in fluorescence-guided perfusion assessment. By improving the precision of ICG-derived parameters, this technology enhances measurement reliability and represents an enabler for accurate intraoperative perfusion quantification. Full article
(This article belongs to the Section Medical Imaging and Theranostics)
Show Figures

Figure 1

26 pages, 7417 KB  
Article
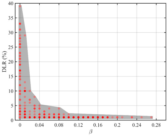
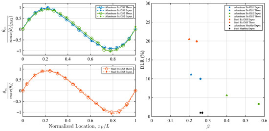
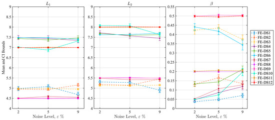
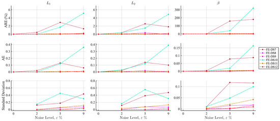
Beam Damage Detection and Characterization Using Rotation Response from a Moving Load and Damage Candidate Grid Search (DCGS)
by Muath Y. Alhumaidi and Brett A. Story
Appl. Sci. 2026, 16(1), 539; https://doi.org/10.3390/app16010539 - 5 Jan 2026
Viewed by 109
Abstract
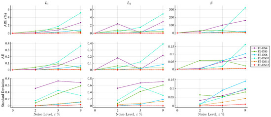
Structural health monitoring (SHM) increasingly contributes to the safety and durability of key infrastructure, especially bridges. This research introduces a rotation-based approach for damage detection and quantification using a damage candidate grid search technique (DCGS) on simply supported girder bridges under quasi-static or [...] Read more.
Structural health monitoring (SHM) increasingly contributes to the safety and durability of key infrastructure, especially bridges. This research introduces a rotation-based approach for damage detection and quantification using a damage candidate grid search technique (DCGS) on simply supported girder bridges under quasi-static or slowly moving loading conditions. Applying the principle of virtual work, the healthy and candidate-damaged rotation responses are analytically obtained and compared with the rotation observed directly at the moving load location. Damage is defined in terms of three key parameters: the start and the end of the damage, L1 and L2, respectively, and the damage severity β. The DCGS method is validated using finite element model simulations of 12 damage scenarios subjected to different noise levels. A statistical analysis and confidence interval characterize the accuracy and consistency of the top ten estimations produced by the DCGS method. A damage length ratio (DLR), defined from the span of the beam, L, and the damage location, L1 and L2, improves the robustness of the methodology against measurement noise by reducing possible false positive estimations. Additionally, the experimental results on two beam structures further validate the method. Absolute relative errors (AREs) of about 6% and absolute errors (AEs) of around 0.16 between the estimated and real damage parameters characterize the performance of the technique, considering damage location and damage severity, respectively. The results show that the DCGS methodology can effectively locate damage and estimate its severity in the presence of noise. The developed framework provides a sensitive and practical SHM tool that is suitable for early damage detection in railway and road bridges. Full article
(This article belongs to the Special Issue Advances in Structural Health Monitoring in Civil Engineering)
Show Figures

Figure 1

17 pages, 1161 KB  
Article
Dual-Stream STGCN with Motion-Aware Grouping for Rehabilitation Action Quality Assessment
by Zhejun Kuang, Zhaotin Yin, Yuheng Yang, Jian Zhao and Lei Sun
Sensors 2026, 26(1), 287; https://doi.org/10.3390/s26010287 - 2 Jan 2026
Viewed by 206
Abstract
Action quality assessment automates the evaluation of human movement proficiency, which is vital for applications like sports training and rehabilitation, where objective feedback enhances patient outcomes. Action quality assessment processes motion capture data to generate quality scores for action execution. In rehabilitation exercises, [...] Read more.
Action quality assessment automates the evaluation of human movement proficiency, which is vital for applications like sports training and rehabilitation, where objective feedback enhances patient outcomes. Action quality assessment processes motion capture data to generate quality scores for action execution. In rehabilitation exercises, joints typically work synergistically in functional groups. However, existing methods struggle to accurately model the collaborative relationships between joints. Fixed joint grouping is not flexible enough, while fully adaptive grouping lacks the guidance of prior knowledge. In this paper, based on rehabilitation theory in clinical medicine, we propose a dynamic, motion-aware grouping strategy. A two-stream architecture independently processes joint position and orientation information. Fused features are adaptively clustered into 6 functional groups by a joint motion energy-driven learnable mask generator, and intra-group temporal modeling and inter-group spatial projection are achieved through two-stage attention interaction. Our method achieves competitive results and obtains the best scores on most exercises of KIMORE, while remaining comparable on UI-PRMD. Experimental results using the KIMORE dataset show that the model outperforms current methods by reducing the mean absolute deviation by 26.5%. Ablation studies validate the necessity of dynamic grouping and the two-stream design. The core design principles of this study can be extended to fine-grained action-understanding tasks such as surgical operation assessment and motor skill quantification. Full article
Show Figures

Figure 1

16 pages, 1959 KB  
Article
Serum Bile Acid Profiling Across the Full Spectrum of HBV-Related Liver Diseases in Chinese Population: Implications for Diagnosis and Treatment Assessment
by Jiahua Mu, Deliang Huang, Lingyun Chen, Guilan Zhu, Guixue Hou, Liang Lin, Jiuxin Qu, Siqi Liu and Jun Chen
Biomedicines 2026, 14(1), 84; https://doi.org/10.3390/biomedicines14010084 - 31 Dec 2025
Viewed by 342
Abstract
Background/Objectives: Conventional serum biomarkers such as ALT and AST exhibit limited sensitivity and specificity in distinguishing the spectrum of HBV-related liver diseases, especially chronic hepatitis (CHB), cirrhosis (LC), and hepatocellular carcinoma (HCC). This study aimed to investigate the diagnostic potential of serum bile [...] Read more.
Background/Objectives: Conventional serum biomarkers such as ALT and AST exhibit limited sensitivity and specificity in distinguishing the spectrum of HBV-related liver diseases, especially chronic hepatitis (CHB), cirrhosis (LC), and hepatocellular carcinoma (HCC). This study aimed to investigate the diagnostic potential of serum bile acid profiles as novel metabolic discriminators to differentiate among healthy individuals, CHB, LC, HCC, and liver failure, thereby addressing a key unmet need in clinical practice. Methods: A total of 625 participants were recruited and serum concentrations of 15 bile acids were determined by LC-MS/MS using targeted absolute quantification. Machine learning was employed to establish the diagnostic panels for classifying the distinct stages of HBV-related diseases. Results: The combinations of taurolithocholic acid (TLCA) and taurochenodeoxycholic acid (TDCA) effectively differentiated healthy individuals from the patients with liver diseases (AUCs = 0.880–1.000 across subgroups), and the specific panel of four bile acids achieved discriminative AUCs of 0.874 between CHB and LC, and 0.825 between CHB and HCC, which outperformed conventional biomarkers. Bile acid profiles also demonstrated significant responsiveness to antiviral therapy, some bile acid concentrations consistently decreasing during the post-treatment periods. Conclusion: Serum bile acid panels thus offer a sensitive and reliable diagnostic performance that could significantly enhance clinical decision-making and patient management. Full article
Show Figures

Graphical abstract

12 pages, 3402 KB  
Article
Assessment of Changes in the Size Structure of Ichthyofauna Based on Hydroacoustic Studies, and the Possibility of Assessing Changes in the Ecological State of Lakes on the Example of Lake Dejguny
by Andrzej Hutorowicz
Limnol. Rev. 2026, 26(1), 1; https://doi.org/10.3390/limnolrev26010001 - 30 Dec 2025
Viewed by 159
Abstract
The ecological status of lakes based on ichthyofauna, as defined by the Water Framework Directive, is assessed using intercalibrated methods. However, the methods adopted (in Poland, the Lake Fish Index LFI-EN method, based on results of one-off fishing with multi-mesh gillnets) are labor-intensive [...] Read more.
The ecological status of lakes based on ichthyofauna, as defined by the Water Framework Directive, is assessed using intercalibrated methods. However, the methods adopted (in Poland, the Lake Fish Index LFI-EN method, based on results of one-off fishing with multi-mesh gillnets) are labor-intensive and do not allow for frequent repeat testing. Therefore, the concept of a simple model describing changes in the relative number of single traces in the vertical profile (according to the TS target strength distribution) in a lake is presented, as well as an index (the sum of deviations from such a model), enabling quantification of the similarity of TS distributions in lakes with this model. Preliminary analyses were conducted on acoustic data collected in Lake Dejguny. This lake—the condition of which could be estimated based on historical data using the relationships between LFI and the degree of lake eutrophication (expressed by Carlson’s TSI)—was assessed as having a good status in 2006, whereas in 2021, (based on LFI-EN) it had a moderate status. The study tested the TS distribution model, calculated as the arithmetic mean of the relative number of single traces in 2 m-thick layers. It was also shown that the proposed indicator can effectively signal deterioration of ecological status—the sum of the absolute values of the TS distribution deviations in 2021 (moderate status) from the model was more than seven times greater than the sum of the deviations of the distributions from which the model was built (good status). The obtained results confirmed the hypothesis about the possibility of determining a characteristic distribution of single traces in the vertical profile when the lake was classified as being in good condition. Full article
Show Figures

Figure 1

34 pages, 6954 KB  
Article
Natural Fatty Acids as Dual ACE2-Inflammatory Modulators: Integrated Computational Framework for Pandemic Preparedness
by William D. Lituma-González, Santiago Ballaz, Tanishque Verma, J. M. Sasikumar and Shanmugamurthy Lakshmanan
Int. J. Mol. Sci. 2026, 27(1), 402; https://doi.org/10.3390/ijms27010402 - 30 Dec 2025
Viewed by 217
Abstract
The COVID-19 pandemic exposed critical vulnerabilities in single-target antiviral strategies, highlighting the urgent need for multi-mechanism therapeutic approaches against emerging viral threats. Here, we present an integrated computational framework systematically evaluating natural fatty acids as potential dual ACE2 (Angiotension Converting Enzyme 2)-inflammatory modulators; [...] Read more.
The COVID-19 pandemic exposed critical vulnerabilities in single-target antiviral strategies, highlighting the urgent need for multi-mechanism therapeutic approaches against emerging viral threats. Here, we present an integrated computational framework systematically evaluating natural fatty acids as potential dual ACE2 (Angiotension Converting Enzyme 2)-inflammatory modulators; compounds simultaneously disrupting SARS-CoV-2 viral entry through allosteric ACE2 binding while suppressing host inflammatory cascades; through allosteric binding mechanisms rather than conventional competitive inhibition. Using molecular docking across eight ACE2 regions, 100 ns molecular dynamics simulations, MM/PBSA free energy calculations, and multivariate statistical analysis (PCA/LDA), we computationally assessed nine naturally occurring fatty acids representing saturated, monounsaturated, and polyunsaturated classes. Hierarchical dynamics analysis identified three distinct binding regimes spanning fast (τ < 50 ns) to slow (τ > 150 ns) timescales, with unsaturated fatty acids demonstrating superior binding affinities (ΔG = −6.85 ± 0.27 kcal/mol vs. −6.65 ± 0.25 kcal/mol for saturated analogs, p = 0.002). Arachidonic acid achieved optimal SwissDock affinity (−7.28 kcal/mol), while oleic acid exhibited top-ranked predicted binding affinity within the computational hierarchy (ΔGbind = −24.12 ± 7.42 kcal/mol), establishing relative prioritization for experimental validation rather than absolute affinity quantification. Energetic decomposition identified van der Waals interactions as primary binding drivers (65–80% contribution), complemented by hydrogen bonds as transient directional anchors. Comprehensive ADMET profiling predicted favorable safety profiles compared to synthetic antivirals, with ω-3 fatty acids showing minimal nephrotoxicity risks while maintaining excellent intestinal absorption (>91%). Multi-platform bioactivity analysis identified convergent anti-inflammatory mechanisms through eicosanoid pathway modulation and kinase inhibition. This computational investigation positions natural fatty acids as promising candidates for experimental validation in next-generation pandemic preparedness strategies, integrating potential therapeutic efficacy with sustainable sourcing. The framework is generalizable to fatty acids from diverse biological origins. Full article
(This article belongs to the Section Molecular Informatics)
Show Figures

Figure 1

29 pages, 8788 KB  
Article
A Data Prediction and Physical Simulation Coupled Method for Quantifying Building Adjustable Margin
by Bangpeng Xie, Liting Zhang, Wenkai Zhao, Yiming Yuan, Xiaoyi Chen, Xiao Luo, Chaoran Fu, Jiayu Wang, Fanyue Qian, Yongwen Yang and Sen Lin
Buildings 2026, 16(1), 170; https://doi.org/10.3390/buildings16010170 - 30 Dec 2025
Viewed by 233
Abstract
Buildings account for nearly 32% of global energy consumption and serve as key demand-side flexibility resources in power systems with high renewable penetration. However, their utilization is constrained by the lack of an integrated framework that can jointly quantify energy-adjustable margin (BAM) and [...] Read more.
Buildings account for nearly 32% of global energy consumption and serve as key demand-side flexibility resources in power systems with high renewable penetration. However, their utilization is constrained by the lack of an integrated framework that can jointly quantify energy-adjustable margin (BAM) and response duration (RD) under realistic operational and thermal comfort constraints. This study presents a coupled data–physical simulation framework integrating a Particle Swarm Optimization–Long Short-Term Memory–Random Forest (PSO-LSTM-RF) hybrid load forecasting model with EnergyPlus(24.1.0)-based building simulation. The PSO-LSTM-RF model achieves high-accuracy short-term load prediction, with an average R2 of 0.985 and mean absolute percentage errors of 1.92–5.75%. Predicted load profiles are mapped to physically consistent baseline and demand-response scenarios using a similar-day matching mechanism, enabling joint quantification of BAM and RD under explicit thermal comfort constraints. Case studies on offices, shopping malls, and hotels reveal significant heterogeneity: hotels exhibit the largest BAM (up to 579.27 kWh) and longest RD (up to 135 min), shopping malls maintain stable high flexibility, and offices show moderate BAM with minimal operational disruption. The framework establishes a closed-loop link between data-driven prediction and physics-based simulation, providing interpretable flexibility indicators to support demand-response planning, virtual power plant aggregation, and coordinated optimization of source–grid–load interactions. Full article
(This article belongs to the Section Building Energy, Physics, Environment, and Systems)
Show Figures

Figure 1

20 pages, 4596 KB  
Article
Comparative Impacts of Oral Amoxicillin, Azithromycin, and Clindamycin on Gut Microbiota and Intestinal Homeostasis
by Shanshan Li, Jing Sun, Yanfang Ren and Songlin Wang
Antibiotics 2026, 15(1), 24; https://doi.org/10.3390/antibiotics15010024 - 25 Dec 2025
Viewed by 382
Abstract
Background: Amoxicillin, clindamycin and azithromycin are the most frequently prescribed antibiotics for odontogenic infections, but their comparative effects on gut microbiota and intestinal homeostasis remain insufficiently understood. Disruption of gut microbiota, short-chain fatty acid (SCFA) production, and mucosal barrier integrity may contribute [...] Read more.
Background: Amoxicillin, clindamycin and azithromycin are the most frequently prescribed antibiotics for odontogenic infections, but their comparative effects on gut microbiota and intestinal homeostasis remain insufficiently understood. Disruption of gut microbiota, short-chain fatty acid (SCFA) production, and mucosal barrier integrity may contribute to gastrointestinal symptoms. We aimed to compare the impacts of these antibiotics on gut microbiota, SCFA levels, and colonic goblet cells. Methods: C57BL/6N mice were treated with oral amoxicillin, clindamycin, or azithromycin at clinically relevant dosages. Cecal index, fecal water content, and diarrhea index were assessed during treatment and recovery. Gut microbiota composition and absolute bacterial abundance were determined using 16S rRNA amplicon absolute quantification sequencing. SCFAs in cecal contents were quantified by gas chromatography–mass spectrometry. Goblet cell abundance and Muc2 mRNA expression in colon tissues were evaluated using Alcian blue staining and RT-PCR. Results: Amoxicillin caused moderate increases in cecal index, reduced Ligilactobacillus abundance, increased Escherichia-Shigella, lowered SCFA levels, and decreased goblet cells and Muc2 expression, with partial recovery after two weeks. Clindamycin induced more severe dysbiosis, including sustained Proteobacteria expansion, persistent loss of beneficial taxa, 86–90% reduction in SCFA production, and lasting decreases in goblet cells and Muc2 expression without recovery during the observation period. Azithromycin caused mild and reversible changes across all parameters. Conclusions: Among the three antibiotics, azithromycin had the least detrimental effects on gut microbiota, SCFA production, and mucosal barrier function, whereas clindamycin caused profound and persistent intestinal disruption. These findings provide comparative evidence to inform antibiotic selection in clinical practices. Full article
(This article belongs to the Section Antibiotics Use and Antimicrobial Stewardship)
Show Figures

Figure 1

24 pages, 7668 KB  
Article
A Study on the Optimization of the Dynamic Visual Quantitative Method for the External Spatial Form of Super-Large Cities’ High-Density Waterfront Iconic Building Clusters: A Case Study of Shanghai Lujiazui
by Jian Zhang, Di Chen and Run-Jie Huang
Buildings 2026, 16(1), 93; https://doi.org/10.3390/buildings16010093 - 25 Dec 2025
Viewed by 280
Abstract
The external spatial form and skyline of high-density waterfront iconic building clusters in super-large cities are the most distinctive features of urban image. However, traditional static research methods (such as fixed-point photography) cannot capture the continuous visual experience of people in motion, thereby [...] Read more.
The external spatial form and skyline of high-density waterfront iconic building clusters in super-large cities are the most distinctive features of urban image. However, traditional static research methods (such as fixed-point photography) cannot capture the continuous visual experience of people in motion, thereby imposing obvious limitations. This study proposes a dynamic visual quantification method that constructs a linear observation path using the parametric platform Grasshopper. The method calculates two core parameters in real-time: the vertical perspective angle (θ, reflecting the building’s “sense of height”) and the horizontal perspective angle (β, reflecting the “sense of density” of the building cluster), so as to realize the dynamic and continuous quantification of the building cluster’s form. Using Shanghai Lujiazui as a case study, this paper validates the method’s effectiveness. The results show that the visual perception of buildings is not only determined by their absolute height but also influenced by the distance from the observation point and spatial relationships. Furthermore, through variance analysis and an annealing algorithm, this study can identify “visually stable points” (suitable for arranging core landmarks) and “optimal viewing points” (suitable for setting up urban viewing platforms). This method provides a reproducible quantitative tool and specific guidance for the optimization of waterfront building layouts and the planning of urban viewing platforms. Full article
(This article belongs to the Section Architectural Design, Urban Science, and Real Estate)
Show Figures

Figure 1

20 pages, 9776 KB  
Article
iTRAQ-Based Proteomics Reveals the Potential Mechanisms Underlying Diet Supplementation with Stevia Isochlorogenic Acid That Alleviates Immunosuppression in Cyclophosphamide-Treated Broilers
by Jiatong Jin, Shuqi Zhao, Pengyu Zhao, Yushuo Zhang, Lifei Wu, Liangfu Zhou, Yasai Sun, Wen Zhao and Qian Zhou
Animals 2026, 16(1), 25; https://doi.org/10.3390/ani16010025 - 22 Dec 2025
Viewed by 309
Abstract
The extensive use of antibiotics in intensive farming weakens immunity and threatens food safety. Stevia isochlorogenic acid (SICA), a kind of dicaffeoylquinic acid derived from stevia residue, exhibits strong antioxidant activity. This study evaluated the ability of SICA to improve immune function in [...] Read more.
The extensive use of antibiotics in intensive farming weakens immunity and threatens food safety. Stevia isochlorogenic acid (SICA), a kind of dicaffeoylquinic acid derived from stevia residue, exhibits strong antioxidant activity. This study evaluated the ability of SICA to improve immune function in an immunosuppressed broiler model. SICA significantly increased the spleen, thymus, and bursa of Fabricius indices (p < 0.05), alleviated spleen damage, and elevated serum interleukin-2 (IL-2), IL-4, interferon-γ, IL-1β, tumor necrosis factor-α, immunoglobulins (IgA, IgM, IgG), and complement components C3 and C4 (p < 0.05). Isobaric tags for relative and absolute quantification-based proteomics indicated that SICA enhanced splenic immune function by activating cell adhesion molecules, phagosomes, and the intestinal immune network for IgA production pathways. Quantitative PCR analysis showed upregulation of mRNA and protein levels of B-cell receptor, major histocompatibility complex class II, protein tyrosine phosphatase receptor type C, and neutrophil cytosolic factor 2 (p67phox) and downregulation of C-C motif chemokine receptor 9. Molecular docking demonstrated the strongest binding affinity between SICA and p67phox. Overall, SICA effectively alleviated immunosuppression in broiler chickens and represents a promising natural alternative to antibiotic feed additives. Full article
(This article belongs to the Section Poultry)
Show Figures

Graphical abstract

22 pages, 4451 KB  
Article
Research on Aircraft Attitude Anomaly Auxiliary Decision-Making Method Based on Knowledge Graph and Predictive Model
by Zhe Yang, Senpeng He, Yugang Zhang and Wenqing Yang
Aerospace 2025, 12(12), 1117; https://doi.org/10.3390/aerospace12121117 - 18 Dec 2025
Viewed by 175
Abstract
A knowledge graph is constructed for flight test safety, which is conducive to enhancing the data deduction ability in flight test monitoring and offers efficient and highly complex decision-making support for safety monitoring. Based on this graph, an aircraft attitude predictive model is [...] Read more.
A knowledge graph is constructed for flight test safety, which is conducive to enhancing the data deduction ability in flight test monitoring and offers efficient and highly complex decision-making support for safety monitoring. Based on this graph, an aircraft attitude predictive model is established by employing neural network technology. This model can accurately predict the changes in aircraft attitude under pilot manipulation, with a mean absolute error of 0.18 degrees in the predicted angle of attack values. By integrating the knowledge graph and the predictive model, an auxiliary decision-making method for abnormal aircraft attitude situations is proposed. This method calculates the safety manipulation space of the aircraft under different flight states through risk quantification technology, providing a theoretical basis for the pilots’ manipulation decisions in abnormal attitude situations. The research is verified based on simulation data, which not only enhances the scientific rigor and practicability of flight test safety monitoring in simulated scenarios but also provides new theoretical support and technical approaches for the field of flight safety. Full article
(This article belongs to the Section Aeronautics)
Show Figures

Figure 1

16 pages, 3103 KB  
Article
Spinach (Spinacia oleracea L.) Flavonoids Are Hydrolyzed During Digestion and Their Bioaccessibility Is Under Stronger Genetic Control Than Raw Material Content
by Michael P. Dzakovich, Alvin L. Tak, Elaine A. Le, Rachel P. Dang, Benjamin W. Redan and Geoffrey A. Dubrow
Foods 2025, 14(24), 4314; https://doi.org/10.3390/foods14244314 - 15 Dec 2025
Viewed by 366
Abstract
Spinach (Spinacia oleracea L.) is a commonly consumed crop with a diverse array of unique flavonoids. These molecules likely contribute to the health benefits associated with spinach consumption. However, little is known about the genetic diversity of these molecules, their bioaccessibility, and [...] Read more.
Spinach (Spinacia oleracea L.) is a commonly consumed crop with a diverse array of unique flavonoids. These molecules likely contribute to the health benefits associated with spinach consumption. However, little is known about the genetic diversity of these molecules, their bioaccessibility, and the heritability of these traits. We assembled a diversity panel of 30 F1 and open-pollinated spinach accessions and cultivated them under controlled conditions over two periods. Quantification of 39 flavonoids revealed that their concentration is largely influenced by environmental factors, and at least two divergent branches in the spinach flavonoid biosynthesis pathway may exist. Despite generally similar trends in the amounts of major flavonoids, open-pollinated and F1 varieties of spinach could be distinguished based on the concentrations of minor flavonoid species. Broad-sense heritability estimates for absolute bioaccessibility accounted for more genetic variation than raw material content, suggesting that this trait is preferable for breeders seeking to alter the phytochemical profile of spinach. Lastly, we found that several spinach flavonoids are unstable under digestive conditions, which was made evident by the proportion of aglycones rising from 0.1% to approximately 15% of total flavonoids after digestion. Together, these data suggest that spinach flavonoid biosynthesis and bioaccessibility are complex and contextualize how these molecules may behave in vivo. Full article
Show Figures

Figure 1

Back to TopTop