Sign in to use this feature.

Years

Between: -

Subjects

remove_circle_outline
remove_circle_outline
remove_circle_outline
remove_circle_outline
remove_circle_outline
remove_circle_outline
remove_circle_outline
remove_circle_outline
remove_circle_outline

Journals

remove_circle_outline
remove_circle_outline
remove_circle_outline
remove_circle_outline
remove_circle_outline
remove_circle_outline
remove_circle_outline
remove_circle_outline
remove_circle_outline
remove_circle_outline
remove_circle_outline
remove_circle_outline

Article Types

Countries / Regions

Search Results (391)

Search Parameters:
Keywords = ULISES

Order results
Result details
Results per page
Select all
Export citation of selected articles as:
27 pages, 1630 KB  
Article
Sectoral Patterns of Arsenic, Boron, and Salinity Indicators in Groundwater from the La Yarada Los Palos Coastal Aquifer, Peru
by Luis Johnson Paúl Mori Sosa, Dante Ulises Morales Cabrera, Walter Dimas Florez Ponce De León, Hernán Rolando Salinas Palza and Edith Eva Cruz Pérez
Sustainability 2026, 18(2), 830; https://doi.org/10.3390/su18020830 (registering DOI) - 14 Jan 2026
Abstract
Groundwater is the main water source for irrigated agriculture, accounting for an increasing share of the domestic supply in the hyper-arid district of La Yarada Los Palos (Tacna, Peru); however, at the sector scale, concerns about arsenic, boron and salinity remain poorly quantified. [...] Read more.
Groundwater is the main water source for irrigated agriculture, accounting for an increasing share of the domestic supply in the hyper-arid district of La Yarada Los Palos (Tacna, Peru); however, at the sector scale, concerns about arsenic, boron and salinity remain poorly quantified. Arsenic and boron were selected as target contaminants because of their naturally elevated concentrations associated with coastal and volcanic hydrogeological settings, and their well-documented implications for human health and irrigation suitability. This study reports a 12-month monitoring program (September 2024–August 2025) in three irrigated sectors, in which wells were sampled monthly and analyzed by inductively coupled plasma–mass spectrometry (ICP-MS) for total arsenic, boron, lithium and sodium, along with electrical conductivity, pH, temperature and total dissolved solids. The sector–month total arsenic means ranged from 0.0089 to 0.0143 mg L−1, with 33 of 36 exceeding the 0.010 mg L−1 drinking water benchmark recommended by the World Health Organization (WHO). Total boron ranged from 1.11 to 2.76 mg L−1, meaning that all observations were above the 0.5 mg L−1 irrigation guideline for agricultural use proposed by the United Nations Food and Agriculture Organization (FAO). A marked salinity gradient was observed from the inland Sector 1-BH (median Na ≈ 77 mg L−1; EC ≈ 1.2 mS cm−1) to the coastal Sector 3-LC (median Na ≈ 251 mg L−1; EC ≈ 3.3 mS cm−1), with Sector 2-FS showing intermediate salinity but the highest median boron and lithium levels. Spearman rank correlations indicate that sodium, electrical conductivity and total dissolved solids define the main salinity axis, whereas arsenic is only moderately associated with boron and lithium and is not a simple function of bulk salinity. Taken together, these results show that groundwater from the monitored wells is not safe for drinking without treatment and is subject to at least moderate boron-related irrigation restrictions. The sector-resolved dataset provides a quantitative baseline for La Yarada Los Palos and a foundation for future work integrating expanded monitoring, health-risk metrics and management scenarios for arsenic, boron and salinity in hyper-arid coastal aquifers. Full article
Show Figures

Figure 1

14 pages, 1746 KB  
Article
Resistance Patterns in Gram-Negative Bacilli Isolated in a Secondary Care Hospital: A Therapeutic Challenge in Western Mexico
by César Ricardo Cortez-Álvarez, Benjamín de Jesús Gutiérrez-García, Pablo Ulises Romero-Mendoza, María del Rosario Cabral-Medina, Monserratt Abud-Gonzalez, Susana Olivia Guerra-Martínez, Livier Amalia Gutiérrez-Morales, María Luisa Muñoz-Almaguer, Santiago José Guevara-Martínez, Daniel Osmar Suárez-Rico, Marco Pérez-Cisneros and Martin Zermeño-Ruiz
Microbiol. Res. 2026, 17(1), 17; https://doi.org/10.3390/microbiolres17010017 - 10 Jan 2026
Viewed by 74
Abstract
Antimicrobial resistance (AMR) continues to represent a significant global public health concern. Gram-negative bacilli (GNB) are the primary causative agents of severe nosocomial infections and possess a notable capacity to develop resistance mechanisms that restrict therapeutic options. The objective of this study was [...] Read more.
Antimicrobial resistance (AMR) continues to represent a significant global public health concern. Gram-negative bacilli (GNB) are the primary causative agents of severe nosocomial infections and possess a notable capacity to develop resistance mechanisms that restrict therapeutic options. The objective of this study was to characterize the antimicrobial susceptibility profiles of GNB isolated at a secondary-level hospital in Guadalajara, Mexico, with the aim of identifying predominant resistance patterns and the most effective therapeutic alternatives. A descriptive, retrospective, cross-sectional study was conducted using clinical isolates of Acinetobacter spp., Pseudomonas spp., Escherichia coli, Klebsiella spp., Morganella morganii, Proteus spp., and Enterobacter spp. collected during 2024. The identification and susceptibility testing were carried out using the VITEK® 2 automated system, and the results were interpreted in accordance with CLSI guidelines. High resistance rates were observed in Acinetobacter spp. and Pseudomonas spp., particularly to carbapenems (>50% and >40%, respectively). Escherichia coli and Klebsiella spp. demonstrated resistance to third-generation cephalosporins and trimethoprim/sulfamethoxazole, exhibiting high susceptibility to amikacin and carbapenems (>90%). New-generation β-lactam/β-lactamase inhibitor combinations, such as ceftazidime/avibactam and ceftolozane/tazobactam, have demonstrated high efficacy against resistant strains. Overall, GNB isolates in this secondary-level hospital demonstrated elevated resistance levels, particularly to β-lactams and carbapenems, which pose a significant therapeutic challenge. Nevertheless, amikacin, carbapenems, and new-generation β-lactams persist as valuable therapeutic options. In order to contain the spread of multidrug-resistant organisms, it is imperative to strengthen local surveillance, optimize antibiotic stewardship, and reinforce infection control measures. Full article
Show Figures

Figure 1

15 pages, 1570 KB  
Article
NOTUM Enhances Cartilage Repair via Wnt/β-Catenin Modulation in a Rabbit Osteochondral Defect Model
by María López-Ramos, Gabriel Ciller, Cruz Rodríguez-Bobada, Patricia Quesada, Irene González-Guede, Ulises Gómez-Pinedo, Lydia Abasolo, Fernando Marco and Benjamín Fernández-Gutiérrez
Int. J. Mol. Sci. 2026, 27(2), 647; https://doi.org/10.3390/ijms27020647 - 8 Jan 2026
Viewed by 141
Abstract
Osteoarthritis (OA) is the most common multifactorial joint disease characterized by progressive cartilage degradation and impaired tissue repair. Osteochondral defects represent a major clinical challenge within OA, as damage to cartilage and underlying bone can initiate degenerative changes and contribute to joint deterioration. [...] Read more.
Osteoarthritis (OA) is the most common multifactorial joint disease characterized by progressive cartilage degradation and impaired tissue repair. Osteochondral defects represent a major clinical challenge within OA, as damage to cartilage and underlying bone can initiate degenerative changes and contribute to joint deterioration. The Wnt/β-catenin signaling pathway plays an important role in OA pathogenesis, and its dysregulation contributes to chondrocyte catabolism and cartilage loss. NOTUM, an extracellular Wnt inhibitor, has emerged as a potential therapeutic modulator capable of restoring signaling balance and promoting cartilage homeostasis. This study aimed to evaluate the efficacy of NOTUM compared with hyaluronic acid (HA), human adipose-derived mesenchymal stromal cells (hAd-MSCs), and Colchicine in a rabbit osteochondral defect model relevant to osteoarthritis. Twenty-seven New Zealand White rabbits underwent standardized femoral condyle injury and received single-dose treatments. Serum levels of cartilage biomarkers—Procollagen Type IIA N-terminal Propeptide (PIIANP) and Cartilage Oligomeric Matrix Protein (COMP)—were measured by ELISA at 4, 6, and 8 weeks post-surgery, and histological repair at week 12 was assessed using the modified O’Driscoll scoring system. NOTUM treatment significantly increased PIIANP and decreased COMP levels compared with HA, indicating enhanced cartilage synthesis and reduced degradation. Histological scores confirmed superior surface morphology and tissue composition in NOTUM-treated joints. These findings suggest that NOTUM performs a protective and regenerative effect through Wnt/β-catenin modulation, supporting the conclusion that it enhances osteochondral defect repair and motivating further studies of NOTUM as an OA therapy. Full article
(This article belongs to the Section Molecular Pathology, Diagnostics, and Therapeutics)
Show Figures

Figure 1

24 pages, 4047 KB  
Article
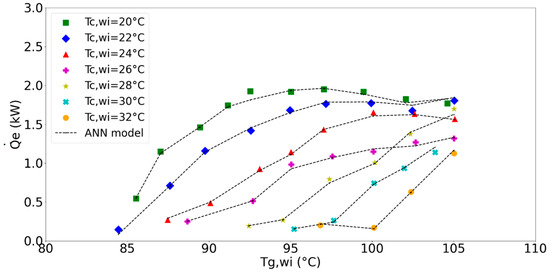
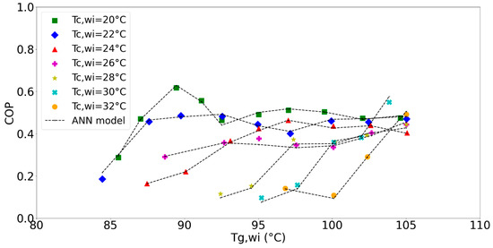
Optimization of an NH3-H2O Absorption Cooling System Using an Inverted Multivariate Function with Neural Networks and PSO
by Ulises Cruz-Jacobo, Roberto Agustin Conde-Gutiérrez, Wilfrido Rivera, Darío Colorado and José Camilo Jiménez-García
Processes 2026, 14(1), 177; https://doi.org/10.3390/pr14010177 - 5 Jan 2026
Viewed by 178
Abstract
Absorption systems offer a practical alternative to traditional compression systems, especially when low-grade heat sources are available. Their applications range from vaccine preservation to space conditioning, making performance optimization essential. This study employed a multivariate inverse artificial neural network with multiple parameters (ANNim-mp) [...] Read more.
Absorption systems offer a practical alternative to traditional compression systems, especially when low-grade heat sources are available. Their applications range from vaccine preservation to space conditioning, making performance optimization essential. This study employed a multivariate inverse artificial neural network with multiple parameters (ANNim-mp) to simultaneously enhance the cooling load and coefficient of performance in an experimental single-effect ammonia–water absorption cooling system. Optimization was carried out using particle swarm optimization. The results showed significant performance improvements: up to 100% in cooling load and 97% in COP when optimizing two variables. With four-variable optimization, improvements reached 98.7% and 106.7%, respectively. These results demonstrate the strong potential of the ANNim-mp approach in enhancing the efficiency of absorption cooling systems. Full article
(This article belongs to the Special Issue Application of Absorption Cycles in Renewable Energy)
Show Figures

Figure 1

34 pages, 1545 KB  
Review
Advances in Rice Agronomic Technologies in Latin America in the Face of Climate Change
by Sergio Salgado-Velázquez, Edwin Barrios-Gómez, Leonardo Hernández-Aragón, Pablo Ulises Hernández-Lara, Fabiola Olvera-Rincón, Dante Sumano-López, Hector Daniel Inurreta-Aguirre and David Julián Palma-Cancino
Crops 2026, 6(1), 8; https://doi.org/10.3390/crops6010008 - 4 Jan 2026
Viewed by 213
Abstract
Rice (Oryza sativa L.) is one of the most important crops globally. However, its production faces significant challenges due to climate change, reduced arable land, and increased demand. In this context, the present study conducted a systematic literature review (SLR) on technological [...] Read more.
Rice (Oryza sativa L.) is one of the most important crops globally. However, its production faces significant challenges due to climate change, reduced arable land, and increased demand. In this context, the present study conducted a systematic literature review (SLR) on technological advances in rice production in Latin America. Recognized scientific databases were consulted, and rigorous inclusion and exclusion criteria were applied to synthesize current knowledge on the subject. The results show that the main innovations include genetically improving varieties with greater resistance to biotic and abiotic stresses; implementing advanced water management techniques, such as intermittent irrigation; and applying biofertilizers and organic amendments to improve soil fertility. Additionally, precision agriculture tools, such as remote sensing and artificial intelligence-based modeling, have optimized crop monitoring and input efficiency. Brazil, Mexico, and Colombia are the main generators of rice production technologies in the region. Despite the progress made, challenges remain regarding the adoption of these innovations by producers, highlighting the need for comprehensive policies to facilitate technology transfer. This review establishes a foundation for researchers and policymakers interested in the sustainable development of rice production in Latin America. Full article
Show Figures

Figure 1

17 pages, 988 KB  
Article
Polygenic Risk and Linked Metabolic Profile in Systemic Lupus Erythematosus: Cross-Sectional Insights
by Andrea Higuera-Gómez, María Martínez-Urbistondo, Amanda Cuevas-Sierra, Begoña de Cuevillas, Ulises De la Cruz-Mosso, Carolina F. Nicoletti, Jhulia C. N. L. da Mota, Susana Mellor-Pita, Marta Alonso-Bernáldez, Barbara Vizmanos and J. Alfredo Martínez
Genes 2026, 17(1), 53; https://doi.org/10.3390/genes17010053 - 1 Jan 2026
Viewed by 364
Abstract
Background/Objectives: Systemic lupus erythematosus (SLE) is a complex autoimmune disease with a multifactorial origin involving genetic, epigenetic, and environmental determinants as well as some risk factors. Genetic predisposition has been quantified through polygenic risk scores (PRS), which integrate the cumulative effect of [...] Read more.
Background/Objectives: Systemic lupus erythematosus (SLE) is a complex autoimmune disease with a multifactorial origin involving genetic, epigenetic, and environmental determinants as well as some risk factors. Genetic predisposition has been quantified through polygenic risk scores (PRS), which integrate the cumulative effect of multiple single nucleotide variants (SNVs) associated with disease risk. Despite extensive research on immune and inflammatory pathways in SLE, the interplay between genetic susceptibility and metabolic dysfunction remains poorly understood. This study aimed to explore associations between SLE-related PRS and metabolic, inflammatory, and clinical parameters in adults participating in the METAINFLAMACIÓN-CM project (Hospital Universitario Puerta de Hierro Majadahonda, Madrid, Spain). Methods: Ninety-three participants were included: 56 SLE patients and 37 individuals with metabolic syndrome (MetS) as a reference group. PRS were computed based on validated lupus-associated SNVs. Results: SLE patients showed a distinct metabolic profile compared with the MetS group, characterized by lower BMI, visceral fat, blood pressure, glucose, and liver enzyme levels. Within the SLE cohort, PRS values varied markedly and correlated with specific clinical and biochemical features. Linear regression models revealed a significant inverse association between PRS in SLE and ferritin levels, whereas other metabolic and inflammatory markers (glucose, IL-6, LDL, CRP, neutrophils) were directly influenced by clinical factors. Conclusions: Polygenic predisposition contributes to variability in SLE metabolic phenotype but does not independently drive most inflammatory parameters. SLE patients displayed metabolic and inflammatory alterations relevant to cardiovascular risk, highlighting the importance of comprehensive cardiometabolic assessment. Integrating PRS with metabolic profiling may support precision personalized management and improve cardiovascular risk evaluation in SLE. Full article
(This article belongs to the Special Issue Genetic Aspects of Autoimmune Diseases)
Show Figures

Figure 1

24 pages, 1674 KB  
Systematic Review
Cell Therapy in Multiple Sclerosis: Clinical Advances, Limitations, and Future Perspectives from Clinical Studies—A Systematic Review
by Ola Mohamed Fathy Kamal, Doddy Denise Ojeda-Hernández, Belén Selma-Calvo, Marina García-Martín, María Teresa Larriba-González, Lucia Martin-Blanco, Jordi A. Matias-Guiu, Jorge Matias-Guiu and Ulises Gomez-Pinedo
Pharmaceutics 2026, 18(1), 30; https://doi.org/10.3390/pharmaceutics18010030 - 25 Dec 2025
Viewed by 360
Abstract
Background: Multiple sclerosis (MS) is a chronic autoimmune demyelinating disease of the central nervous system (CNS), characterised by inflammation, demyelination, and progressive neurodegeneration. Although current disease-modifying therapies (DMTs) can reduce relapse rates and inflammatory activity, they rarely stop long-term progression or repair neurological [...] Read more.
Background: Multiple sclerosis (MS) is a chronic autoimmune demyelinating disease of the central nervous system (CNS), characterised by inflammation, demyelination, and progressive neurodegeneration. Although current disease-modifying therapies (DMTs) can reduce relapse rates and inflammatory activity, they rarely stop long-term progression or repair neurological damage. In recent years, cell-based therapies have emerged as promising approaches to promote immune regulation and neuroregeneration in MS. Methods: This review summarises the current clinical evidence from studies in humans investigating cell-based treatments for MS, including autologous haematopoietic stem cell transplantation (AHSCT), mesenchymal stem cells (MSCs), and neural stem or progenitor cells (NSCs). A systematic literature search was performed using PubMed, Scopus, and ClinicalTrials.gov, focusing on human clinical trials that met specific inclusion criteria. Results: Prevailing findings show that AHSCT provides the most consistent benefit, achieving long-term immune reconstitution and remission in patients with highly active relapsing–remitting MS (RRMS), although it carries procedural risks. MSC therapies have demonstrated good safety and biological activity, especially when delivered intrathecally (IT) in progressive MS, though clinical results remain variable. Conclusions: NSC-based treatments are still at an early stage of clinical research but show potential for CNS repair. The main limitations across studies include differences in protocols, small sample sizes, and short follow-up periods. Further large-scale, randomised controlled trials are needed to confirm long-term efficacy, define optimal delivery methods, and establish standardised clinical protocols. Full article
(This article belongs to the Section Biologics and Biosimilars)
Show Figures

Graphical abstract

33 pages, 1063 KB  
Review
Corn-Based Fermented Beverages: Nutritional Value, Microbial Dynamics, and Functional Potential—An Overview
by Milagros López-Reynoso, Gloria A. Martínez-Medina, Liliana Londoño-Hernández, Pedro Aguilar-Zarate, Javier Ulises Hernández-Beltrán and Ayerim Y. Hernández-Almanza
Foods 2026, 15(1), 27; https://doi.org/10.3390/foods15010027 - 22 Dec 2025
Viewed by 622
Abstract
Interest in fermented beverages has increased in recent years due to evidence showing their health benefits. In Latin America, corn is the most widely consumed cereal and stands out for its genetic diversity, cultural importance, and nutraceutical potential. This review evaluates the effect [...] Read more.
Interest in fermented beverages has increased in recent years due to evidence showing their health benefits. In Latin America, corn is the most widely consumed cereal and stands out for its genetic diversity, cultural importance, and nutraceutical potential. This review evaluates the effect of grain pigmentation on its nutritional and bioactive composition, as well as its relationship with the production of traditional fermented beverages. Studies describing the composition of different corn varieties, fermentation processes, the microbiota involved, and safety-related aspects are considered. Evidence indicates that varieties differ in their carbohydrate, protein, mineral, and bioactive compound content, which influences the functional properties and microbiological and sensory characteristics of the resulting beverages. These beverages are produced through spontaneous or semi-controlled fermentation by lactic acid bacteria, fungi, and yeasts, which produce metabolites such as organic acids and bacteriocins that increase the nutritional and functional value and safety of the product. However, good manufacturing practices must be applied to ensure their safety. Even so, there are still gaps in our knowledge about the influence of different corn varieties on the final composition and acceptance of these beverages, highlighting the importance of further research. Full article
(This article belongs to the Section Food Biotechnology)
Show Figures

Figure 1

17 pages, 3041 KB  
Article
Electrospun Polycaprolactone/Carbon Nanotube Membranes for Transdermal Drug Delivery Systems
by Elizabeth Ortiz-Maldonado, Eduardo San Martin-Martínez, Ningel Omar Gama-Castañeda, Marquidia Pacheco, Ulises Figueroa-López, Andrea Guevara-Morales, Esmeralda Juárez, Andy Ruiz and Horacio Vieyra
Polymers 2026, 18(1), 15; https://doi.org/10.3390/polym18010015 - 21 Dec 2025
Viewed by 311
Abstract
The development of membranes and patches for controlled drug release to enhance therapeutic efficacy is a promising approach to addressing the challenge posed by poor adherence to pharmacological therapies for chronic diseases. In this study, we designed an electrospun polycaprolactone (PCL) nanofibrous membrane [...] Read more.
The development of membranes and patches for controlled drug release to enhance therapeutic efficacy is a promising approach to addressing the challenge posed by poor adherence to pharmacological therapies for chronic diseases. In this study, we designed an electrospun polycaprolactone (PCL) nanofibrous membrane reinforced with different concentrations (0.04%, 0.05%, 0.075%, and 0.2%) of functionalized multi-walled carbon nanotubes (f-MWCNTs) intended for biomedical applications, such as transdermal devices. We characterized the resulting composites using scanning electron microscopy (SEM), Fourier-transform infrared spectroscopy (FTIR), atomic force microscopy (AFM), and dynamic mechanical analysis (DMA) to evaluate their morphology, chemical composition, and mechanical properties. We also measured their cytotoxicity upon contact with peripheral blood mononuclear cells. The nanofibers had diameters below 100 nm and inclusions of microspheres, which were attributed to the electrospinning expansion phenomenon. Spectroscopic and mechanical analyses confirmed molecular interactions between the PCL matrix and the f-MWCNTs. Finally, biological tests demonstrated that both the dispersion of f-MWCNTs and the nanofiber sizing render the membranes biocompatible, supporting their potential use as drug-delivery systems. Full article
(This article belongs to the Section Polymer Applications)
Show Figures

Graphical abstract

22 pages, 1049 KB  
Article
Pilot Study on Risk Perception in Practices with Medical Cyclotrons in Radiopharmaceutical Centers in Latin American Countries: Diagnosis and Corrective Measures
by Frank Montero-Díaz, Antonio Torres-Valle and Ulises Jauregui-Haza
Int. J. Environ. Res. Public Health 2025, 22(12), 1885; https://doi.org/10.3390/ijerph22121885 - 18 Dec 2025
Viewed by 497
Abstract
Practices with medical cyclotrons to produce PET radiopharmaceuticals in Latin America represent a technological advance for the diagnosis and treatment of diseases such as cancer, but they involve occupational risks due to exposure to ionizing radiation. This study evaluates the perception of risk [...] Read more.
Practices with medical cyclotrons to produce PET radiopharmaceuticals in Latin America represent a technological advance for the diagnosis and treatment of diseases such as cancer, but they involve occupational risks due to exposure to ionizing radiation. This study evaluates the perception of risk in 46 radiopharmacy service workers in 13 countries in the region (Argentina, Bolivia, Brazil, Chile, Colombia, Costa Rica, Cuba, Ecuador, Mexico, Peru, Portugal, Dominican Republic and Venezuela), analyzing differences by gender and age. The questionnaire, validated by reliability analysis (Cronbach’s coefficient α > 0.7), was statistically analyzed with means, standard deviations (SD) and standard errors (SE), 95% confidence intervals (Student’s t-distribution), and coefficients of variation (CV) to assess the dispersion of each variable. The results reveal general underestimation in dimensions such as reversibility of consequences (SD = 0.7142, SE = 0.1053) and familiarity (SD = 0.8410, SE = 0.124), promoting complacency, while immediacy of consequences shows overestimation (SD = 0.9760, SE = 0.1439), amplifying anxiety. By gender, women tend to overestimate (e.g., immediacy = 2.5) and men underestimate (e.g., confidence = 1.78); by age, young people (26–45 years old) overestimate more than older people (≥46 years old). These deviations, with high QoL indicating heterogeneity, suggest interventions such as continuous training, real-time monitoring, and communication campaigns to balance perception. Practical recommendations include job rotations to reduce underestimation due to familiarity and simulations to mitigate emotional overestimation, which are aligned with IAEA regulations (GSR Part 3, SSG-46) to promote a sustainable safety culture. Full article
Show Figures

Figure 1

22 pages, 2167 KB  
Article
Assessment of Boron Phytotoxicity Risk and Its Relationship with Sodicity and Major Cations in Irrigation Groundwater from the La Yarada Los Palos Coastal Agroecosystem, Caplina Basin, Tacna, Peru
by Luis Johnson Paúl Mori Sosa, Dante Ulises Morales Cabrera and Walter Dimas Florez Ponce De León
Sustainability 2025, 17(24), 11104; https://doi.org/10.3390/su172411104 - 11 Dec 2025
Viewed by 258
Abstract
Across ten months of monitoring (1 October 2024–1 July 2025) at three drilled irrigation wells in the La Yarada Los Palos coastal aquifer, this study evaluates boron phytotoxicity risk and its interaction with salinity and sodicity in a hyper-arid coastal agroecosystem. Groundwater samples [...] Read more.
Across ten months of monitoring (1 October 2024–1 July 2025) at three drilled irrigation wells in the La Yarada Los Palos coastal aquifer, this study evaluates boron phytotoxicity risk and its interaction with salinity and sodicity in a hyper-arid coastal agroecosystem. Groundwater samples (n = 10 per well; n = 30) were analyzed for boron, major cations (Ca2+, Mg2+, Na+, K+) and EC. Salinity–sodicity indices (EC-based classes, SAR, Kelly Index, %Na, Mg/Ca ratio) were computed, and relationships among boron, cations, and EC/TDS were examined using correlation analysis and principal components. Boron concentrations ranged from 1.18 to 2.47 mg/L; all samples exceeded the FAO guideline for sensitive crops (0.7 mg/L), and 56.7% were ≥1.5 mg/L. Southern Border exhibited the highest boron (mean ≈ 2.10 mg/L), Ashlands intermediate (≈1.65 mg/L), and Bio Garden Los Palos the lowest (≈1.35 mg/L). EC remained ≈1–1.5 dS/m at Southern Border and Bio Garden Los Palos but reached ≈3–4 dS/m at Ashlands; all SAR values were <9, indicating low sodicity risk. Spearman correlations revealed weak associations between boron and EC/TDS, but moderate positive correlations with Ca2+ and Mg2+, highlighting partly decoupled controls on boron and salinity. For tolerant crops such as olive and orange, and more sensitive ones such as oregano and quinoa, these conditions imply risks that require combined management of salinity, boron, and cation balance. A risk-based monitoring scheme centered on EC, SAR, boron, and Ca–Mg–Na ratios is proposed to support irrigation decisions in La Yarada Los Palos and similar hyper-arid coastal agroecosystems. Full article
Show Figures

Figure 1

15 pages, 1968 KB  
Article
A New Disinfection Approach Using a Chitosan-Based Endodontic Irrigant
by Alejandra Itzel Lopez-Flores, Ulises Velazquez-Enriquez, Rogelio Jose Scougall-Vilchis, Laura Susana Acosta-Torres, Laura Emma Rodriguez-Vilchis, Rosalía Contreras-Bulnes, Paloma Netzayeli Serrano-Diaz and Rene Garcia-Contreras
Materials 2025, 18(24), 5552; https://doi.org/10.3390/ma18245552 - 10 Dec 2025
Viewed by 460
Abstract
The use of chitosan nanoparticles (CH-NPs) loaded with antibiotics as irrigants in endodontics offers a unique combination, demonstrating effective antibacterial activity and low toxicity. Therefore, the aim of this study was to develop chitosan nanoparticles loaded with metronidazole, ciprofloxacin, and minocycline for use [...] Read more.
The use of chitosan nanoparticles (CH-NPs) loaded with antibiotics as irrigants in endodontics offers a unique combination, demonstrating effective antibacterial activity and low toxicity. Therefore, the aim of this study was to develop chitosan nanoparticles loaded with metronidazole, ciprofloxacin, and minocycline for use as endodontic irrigants to improve antibacterial activity against Enterococcus faecalis and to evaluate their cytotoxicity in human dental pulp stem cells (hDPSCs). Methods: The CH-NPs loaded with antibiotics were synthesized and analyzed using Fourier Transform Infrared Spectroscopy (FTIR) and Ultraviolet-visible spectroscopy (UV-Vis). Agar diffusion and microdilution assays were performed to determine the minimum inhibitory concentration (MIC), and a cytotoxicity assay was conducted to establish the median cytotoxic dose. Results: Peaks corresponding to the functional groups of the chitosan-antibiotic complex’s chemical structure were identified. A one-way ANOVA (p ≤ 0.05) with Tukey’s post hoc test was used to analyze the antibacterial effect. CH-NPs-ciprofloxacin showed the greatest antibacterial activity against E. faecalis in both agar diffusion and microdilution assays. CH-NPs-metronidazole demonstrated lower cytotoxicity against hDPSCs. CH-NPs-minocycline showed superior antibacterial effects compared to plain chitosan in microdilution assays, although they exhibited greater cytotoxicity. Conclusions: The ongoing search for an irrigating solution with effective antibacterial properties and low cytotoxicity could transform traditional techniques. However, this field is still developing and underexplored. It is essential to reevaluate decisions about irrigation solutions, as evidence on the use of chitosan nanoparticles with antibiotics is limited. This study provides valuable data for endodontics and is a crucial step for future research. Full article
(This article belongs to the Section Biomaterials)
Show Figures

Figure 1

24 pages, 1540 KB  
Article
Temporal Variability of Arsenic in the Caplina Aquifer, La Yarada Los Palos, Peru: Implications for Risk-Based Drinking Water Management
by Luis Johnson Paúl Mori Sosa, Dante Ulises Morales Cabrera and Walter Dimas Florez Ponce De León
Sustainability 2025, 17(24), 11025; https://doi.org/10.3390/su172411025 - 9 Dec 2025
Viewed by 324
Abstract
Arsenic (As) in groundwater often fluctuates around the 10 µg/L health-based guideline, complicating compliance assessment and risk-based management. This study investigates the short-term temporal behavior of As and its implications for compliance at three supply wells in the Caplina aquifer (La Yarada Los [...] Read more.
Arsenic (As) in groundwater often fluctuates around the 10 µg/L health-based guideline, complicating compliance assessment and risk-based management. This study investigates the short-term temporal behavior of As and its implications for compliance at three supply wells in the Caplina aquifer (La Yarada Los Palos, Tacna, Peru), based on a one-year fortnightly time series. At each visit, in situ electrical conductivity (EC), total dissolved solids (TDS), pH, and temperature were measured, and total As was determined by inductively coupled plasma–mass spectrometry (ICP–MS). The dataset was evaluated using robust descriptive statistics, exceedance proportions with Wilson 95% confidence intervals, Spearman rank correlations, simple time-series diagnostics, and comparisons of deterministic monthly schemes against the fortnightly reference. Exceedances were widespread—100% at Point 1 and 91.7% at Points 2 and 3—yielding 94.4% at the network scale, with no consistent seasonal signal. Relative variability was low yet operationally decisive (coefficient of variation (CV) ≈ 7–10%; interquartile range ≈ 1.3–1.6 µg/L), and typical fortnightly oscillations of ~0.5–1.5 µg/L were sufficient to flip compliance labels under monthly sampling. Point-wise associations were generally weak, except for a moderate As–TDS correlation at Point 1, supporting an interpretation dominated by geogenic As under arid, alkaline, and saline conditions, modulated by redox processes, anion competition, and mixing/pumping dynamics. The findings support risk-based monitoring with a fortnightly baseline and adaptive escalation when predefined activation criteria and action thresholds are met, using EC/TDS, pH, and simple redox indicators as operational early warnings. To reduce exposure in such settings, priority should be given to source management, pre-oxidation of As(III) to As(V), and adsorption onto iron media (or membranes where appropriate), while future work should integrate high-frequency sensing, in situ or inline speciation, reactive-transport modeling, and locally trained risk mapping to strengthen contributions to Sustainable Development Goals 3 (Good Health and Well-Being) and 6 (Clean Water and Sanitation). Full article
Show Figures

Figure 1

16 pages, 5799 KB  
Article
Diagnosis of Nutritional Deficiencies in Coffee Plants Through Automated Analysis of Digital Images Using Deep Learning in Uncontrolled Agricultural Environments
by Carlos Calderón-Mosilot, Ulises Tapia-Gálvez, Juan Arcila-Diaz and Heber I. Mejia-Cabrera
AgriEngineering 2025, 7(12), 421; https://doi.org/10.3390/agriengineering7120421 - 8 Dec 2025
Viewed by 562
Abstract
This study aimed to develop a deep learning-based application for the automatic detection of nutritional deficiencies in coffee plants through the analysis of in-field leaf images. Images were collected from farms in the Shipasbamba district and classified into six deficiency types: nitrogen (N), [...] Read more.
This study aimed to develop a deep learning-based application for the automatic detection of nutritional deficiencies in coffee plants through the analysis of in-field leaf images. Images were collected from farms in the Shipasbamba district and classified into six deficiency types: nitrogen (N), phosphorus (P), potassium (K), calcium (Ca), magnesium (Mg), and iron (Fe). A total of 2643 leaves were labeled and preprocessed for model training. Several YOLO architectures were evaluated, with YOLO11x achieving the best performance after 100 epochs, reaching a precision of 88.98%, recall of 88.54%, F1-Score of 88.76%, and mAP50 of 92.68%. An interactive web application was developed to allow real-time image upload and processing, providing both graphical and textual feedback on detected deficiencies. These results demonstrate the model’s effectiveness for automated diagnosis and its potential to support coffee growers in timely, data-driven decision-making, ultimately improving nutrient management and reducing production losses. Full article
Show Figures

Figure 1

21 pages, 1871 KB  
Article
Determination of Bioactive Compounds, Antioxidant Capacity, Safety Assessment, and Antimicrobial Effect of Tristerix corymbosus Extracts
by Katia Fernández Moreno, Gabriela Maturana, Sofía Blanco-Haros, Ulises Norambuena-Jopia, Gabriela Valenzuela-Barra, María Carolina Zúñiga-López and Jessica Bravo Garrido
Molecules 2025, 30(23), 4610; https://doi.org/10.3390/molecules30234610 - 30 Nov 2025
Viewed by 347
Abstract
Quitral (Tristerix corymbosus), a Chilean and Argentine parasitic mistletoe, is traditionally used by Mapuche natives to treat stomach ulcers, nervous disorders, and cholesterol reduction, although scientific support is scarce. Methanolic and chloroform extracts from its leaves and stems were prepared. Chemical [...] Read more.
Quitral (Tristerix corymbosus), a Chilean and Argentine parasitic mistletoe, is traditionally used by Mapuche natives to treat stomach ulcers, nervous disorders, and cholesterol reduction, although scientific support is scarce. Methanolic and chloroform extracts from its leaves and stems were prepared. Chemical analysis included antioxidant capacity assays (ORAC-FL and DPPH) and chromatographic determinations. The antimicrobial activity was tested against nine bacteria and two yeast strains. Additionally, cytotoxicity (hemolysis) and toxicity (against Caenorhabditis elegans) assays were performed. The results revealed that the methanolic leaf extracts had the highest ORAC-FL value, with DPPH assays showing solvent-dependent differences. Thirty-one compounds were tentatively identified, of which 61% were phenolic compounds, primarily flavonoids like quercetin and its derivatives. Antimicrobial results showed activity against Gram-positive bacteria (Staphylococcus aureus, Listeria monocytogenes, Bacillus cereus, and Enterococcus faecalis), but not against yeast Candida guillermondii and Candida tropicalis. Methanolic extracts induced dose-dependent erythrocyte hemolysis, while chloroform extracts showed no relevant cytotoxicity. Toxicity against Caenorhabditis elegans was also dose-dependent for methanolic extracts; leaf extract reduced survival at 50 mg mL−1 after 24 h. These findings partially validate some traditional uses, highlight the importance of solvent polarity in extraction and biological effects, and establish quitral as a flavonoid source. Full article
Show Figures

Figure 1

Back to TopTop