Next Article in Journal
Experimental Study on Electrolytic Simulation of Production Capacity Interference in Asymmetric Fishbone Wells
Previous Article in Journal
A Study of the Environmental Challenges En Marche Towards Net-Zero: Case Study of Turkish Steel Industry
Previous Article in Special Issue
A Polygeneration System Based on an Absorption Heat Pump for the Simultaneous Production of Power, Cooling, and Desalinated Water That Operates with Geothermal Energy
 
 
Font Type:
Arial Georgia Verdana
Font Size:
Aa Aa Aa
Line Spacing:
Column Width:
Background:
Article

Optimization of an NH3-H2O Absorption Cooling System Using an Inverted Multivariate Function with Neural Networks and PSO

by
Ulises Cruz-Jacobo
1,
Roberto Agustin Conde-Gutiérrez
2,
Wilfrido Rivera
3,
Darío Colorado
2 and
José Camilo Jiménez-García
3,*
1
Centro de Investigación en Ingeniería y Ciencias Aplicadas (CIICAp), Universidad Autónoma del Estado de Morelos (UAEM), Av. Universidad 1001, Col. Chamilpa, Cuernavaca 62209, Morelos, Mexico
2
Centro de Investigación en Recursos Energéticos y Sustentables (CIRES), Universidad Veracruzana, Av. Universidad Veracruzana Km. 7.5, Col. Santa Isabel I, Coatzacoalcos 96538, Veracruz, Mexico
3
Instituto de Energías Renovables, Universidad Nacional Autónoma de México, Temixco 62580, Morelos, Mexico
*
Author to whom correspondence should be addressed.
Processes 2026, 14(1), 177; https://doi.org/10.3390/pr14010177
Submission received: 16 October 2025 / Revised: 18 December 2025 / Accepted: 24 December 2025 / Published: 5 January 2026
(This article belongs to the Special Issue Application of Absorption Cycles in Renewable Energy)

Abstract

Absorption systems offer a practical alternative to traditional compression systems, especially when low-grade heat sources are available. Their applications range from vaccine preservation to space conditioning, making performance optimization essential. This study employed a multivariate inverse artificial neural network with multiple parameters (ANNim-mp) to simultaneously enhance the cooling load and coefficient of performance in an experimental single-effect ammonia–water absorption cooling system. Optimization was carried out using particle swarm optimization. The results showed significant performance improvements: up to 100% in cooling load and 97% in COP when optimizing two variables. With four-variable optimization, improvements reached 98.7% and 106.7%, respectively. These results demonstrate the strong potential of the ANNim-mp approach in enhancing the efficiency of absorption cooling systems.

1. Introduction

An optimization method can improve relevant parameters such as performance and efficiency in processes, respecting specific criteria [1]. Solving optimization methods is complex and requires considerable time to find optimal values using conventional numerical methods. On the other hand, applying models based on artificial intelligence (AI) and meta-heuristic algorithms is an excellent alternative for approximating optimal values without requiring considerable calculation time [2]. The coupling of machine learning models with meta-heuristic algorithms has provided significant results in engineering, such as those reported by Yang et al. [3], who developed an inverse machine learning approach coupled with a genetic algorithm (GA) to optimize operating conditions and, in turn, maximize the chemical oxygen demand and total nitrogen of wastewater. Multivariate optimization was performed using a GA strategy of iterative evolution and global search. The results showed that both values were higher by 6.1% and 9.9% than the original degradation values. Zhou et al. [4] employed the Artificial Bee Colony (ABC) and particle swarm optimization (PSO) meta-heuristic algorithms to fit a multi-layer perceptron (MLP) model, enabling them to estimate the heating and cooling load ( Q ˙ e ) of efficient buildings for residential use. The experiment evaluated the importance of adjusting the heating, ventilation, and air conditioning system (HVAC). The prediction of heating and cooling loads was satisfactory, obtaining greater precision using the PSO algorithm for MLP optimization. Jokar et al. [5] simulated and optimized pulsed heat pipes using a multi-layer perceptron neural network. In the results, the optimal values of the filling ratio, input heat flux, and inclined angle were determined by applying a genetic algorithm.
On the other hand, the emergence of new or hybrid approaches to AI methodology has achieved novel results. An example is the inverse approach of artificial neural networks, which has been executed to extrapolate values from a limited amount of data, obtaining an estimate of the desired parameters of a process [6]. The adaptation of the inverse approach with meta-heuristic algorithms has consolidated an optimization strategy called multivariate inverse artificial neural network (ANNim). The development of this strategy has been applied in heat exchangers to obtain better efficiencies; artificial neural network inverse (ANNi) has been applied to increase the coefficient of performance (COP) of an absorption heat transformer (AHT) [7]. Ajbar et al. [8] applied a multivariate inverse artificial neural network coupled with the GA and PSO to increase the performance of a solar parabolic trough collector (PTC). In the results, the authors report a significant increase in the efficiency of the PTC when determining the optimal values of the rim angle, inlet temperature, and water flow. May Tzuc et al. [9] developed a multivariate inverse artificial neural network model to improve the mass transfer of ammonia in a plate heat exchanger-type absorber with NH3-H2O. The solution for the objective function was carried out using the Water Cycle Algorithm. The results report that the simultaneous optimization of the ammonia and diluted solution flow rates significantly improves absorption flow performance. In previous studies, the ANNim optimization strategy has been applied to extrapolate one desired value at a time. However, in the operation of complex systems, multiple parameters must be simultaneously evaluated to determine their performance.
Regarding optimization analyses applied to absorption systems for cooling, Asadi et al. [10] conducted multi-objective optimization of a solar absorption cooling system (ACS), exploring various solar collectors. Their approach involved utilizing a particle swarm optimization technique with five objective functions. Similarly, Gebreslassie et al. [11] analyzed seven solar collector models and a gas-fired heater for an ACS. Their optimization addressed a multi-objective multi-period mixed-integer nonlinear programming problem, aiming to minimize the cooling system’s cost and environmental impact. Nasruddin et al. [12] developed a combination of an artificial neural network (ANN) and a multi-objective genetic algorithm to optimize the operation of a two-chiller system in a building. In the results, the ANN model presented satisfactory correlation between the decisive variables. Additionally, the genetic algorithm model provided several optimal variables focused on thermal comfort and the annual energy consumption of the system.
Tugcu and Arslan [13], Hosseini [14], and Sharifi et al. [15] have contributed to the optimization of ACSs. However, although many optimization methodologies have been reported in the literature for purposes such as system design, control strategy optimization, performance prediction, and hybrid system analysis, many of these studies are based on theoretical models. Such models often involve simplifying assumptions that may lead to performance levels not attainable in real cases, or that may place greater emphasis on identifying optimal operating conditions rather than on achieving realistic and experimentally feasible performance parameters.
Various methods have been proposed in the literature to optimize cooling systems. However, most rely on multi-objective functions derived from theoretical equations that assume ideal conditions. Therefore, an ANN model is feasible because it learns patterns directly from the system’s experimental data. Another advantage of the ANN model is that it can focus on specific variables, reducing the number of sensors needed for parameter calculations. In addition, the ability of the ANN model to simulate the process by simultaneously considering more than one parameter allows the optimization of the input variables to be more complete. This study aims to develop an optimization strategy for the simultaneous increase in the Q ˙ e and COP of an experimental absorption cooling system through an inverted multivariate function. Due to the close relationship between the mentioned parameters, aiming to improve their values will enable us to evaluate the energy efficiency of absorption cooling systems. The formulation of the objective function proposed in this study is obtained from the ANNim-mp model. This model is trained from data obtained from an experimental prototype to optimize the system by integrating the adjusted coefficients into a single objective function. The optimization was achieved by applying particle swarm optimization to the resolution of the objective function, thus facilitating the search for the optimal set of operative conditions. In the search for the optimal variables, the conditions obtained during the operation of the absorption cooling system were respected to validate the extrapolations produced in specific experimental tests.
In summary, the main contributions of this study can be outlined as follows. First, an optimization methodology based on a multi-output inverted neural network was developed and applied to a new context, improving the parallel efficiency of the absorption cooling system. Second, an objective function was proposed to simultaneously maximize Q ˙ e and COP under actual operating conditions. Third, the influence of input variables on the system’s performance was analyzed and validated through the implementation of an artificial neural network. Finally, it was demonstrated that the ANNim-mp methodology, when solved using the PSO algorithm, can generate reliable projections under different experimental conditions for effective control of the absorption cooling system.

2. System Description

2.1. Absorption Cooling System’s Operation

The cycle starts with the generator receiving a heating load from an external source to carry out desorption of the refrigerant from the absorbent. From the desorption process, an ammonia–water mixture in a vapor phase is passed to the rectifier (to reduce the amount of water) and then to the condenser, where it is condensed by cooling water circulating through the component. The liquid ammonia with traces of water passes through a throttling device, reducing its pressure and temperature. Under these conditions, the refrigerant enters the evaporator, producing the cooling effect. Then, the refrigerant flows to the absorber to be absorbed by the solution coming from the generator. Finally, the solution with a high refrigerant concentration is pumped back into the generator to complete the cycle. A schematic diagram of this cycle operating with the NH3-H2O is shown in Figure 1. Additionally, the system includes an economizer designed to exchange heat between incoming and outgoing solution flows from the generator to improve the system’s performance.
The relevant performance parameters of an ACS are the cooling load and the COP. The cooling load contributes to performance due to the ability to extract heat from the medium to reduce the temperature of the working fluid. On the other hand, the COP indicates the first-law performance of a cooling system through the relationship between the cooling load and the supplied energy to the generator and to the pump. These parameters are defined as follows:
Q ˙ e = m ˙ 19 C p , e T 19 T 18
where Q ˙ e is the cooling load delivered by the absorption system ( k W ) ; m ˙ 19 is the mass flow rate of water flowing through the evaporator k g / s ; C p , e is the mean specific heat for that stream of water ( k J / k g   ° C ); and T 19 and T 18   ( ° C ) are the water temperatures at the inlet and outlet ports of the evaporator, respectively.
Q ˙ g = m ˙ 15 C p , g T 15 T 14  
where Q ˙ g is the thermal load supplied by the external heating media to the absorption system at the generator ( k W ) ; m ˙ 15 is the mass flow rate of water flowing through the generator k g / s ; C p , g is the mean specific heat of the heating water ( k J / k g   ° C ); and T 15 and T 14   ( ° C ) are the water temperatures at the inlet and outlet ports of the generator, respectively.
C O P = Q ˙ e Q ˙ g + W ˙ P
where COP is the coefficient of performance for an absorption cooling system (dimensionless), and W ˙ P is the power consumed by the pump to move the working fluid from the absorber to the generator, determined during experimentation as a constant value approximated to 0.3   k W .

2.2. Experimental Facilities

The system consists of a generator, an absorber, a condenser, an evaporator, an economizer, a solution pump, an expansion valve, two storage tanks, and a rectifier operating with the NH3-H2O mixture, and was built using commercial plate heat exchangers (PHEs). Figure 2a shows the ACS prototype, while Figure 2b depicts a schematic diagram of the main components’ location for better clarity.
Three auxiliary systems were used to assess the system’s performance under controlled conditions: a heating system, a cooling water system, and a chilled water system. More detailed information about the system’s characteristics and the auxiliary systems is provided by Jiménez-García and Rivera [16].

2.3. Instrumentation

A comprehensive array of instruments were employed to assess the ACS’s performance, including flowmeters, temperature sensors, and pressure transducers. Pressure measurements were taken at key components such as the generator, condenser, evaporator, absorber, and rectifier, using piezoelectric transducers. Various sensor types were utilized for mass flow rates within the absorption system. Coriolis Flow Meters were employed to determine the refrigerant produced and diluted solution mass flow rates, while the concentrated solution was measured using a rotameter. The external mass flow rates of water were recorded using three turbine flow meters. Temperature readings for each internal stream were obtained at the inlet and outlet ports of each plate heat exchanger (PHE) with PT1000 resistance temperature detectors (RTDs).
All measuring devices underwent calibration using appropriate standards, and calibration equations were established. The outlet signals from the sensors were then collected, processed, and stored by a data acquisition system running Agilent VEE Pro 9.3 software. The calibration equations were incorporated into the software to calculate the expected values. Table 1 provides details on the uncertainty associated with each measuring instrument used in the experimental assessment.
Temperature, flow, and pressure measurements using the instruments described were recorded at 10 s intervals during the steady-state operation of the experimental prototype (described in the following section). Temperature was measured at the inlet and outlet ports of each system component, and the mass flow rates and operating pressures were recorded at strategically selected points within the system to quantify each stream and to determine the pressure in the main components (generator, condenser, evaporator, and absorber). All variables were recorded simultaneously during the operation of the cooling system.
Following the experimental stage, and during the processing of the collected data, one of the activities undertaken was the determination of the uncertainty (µ) of the performance parameters associated with the recorded variables. For this purpose, the procedure and equations described by Jiménez-García et al. [17] were followed. The results of the uncertainty analysis were graphically presented by Jiménez-García and Rivera [16] and are provided in Table 2 for the main performance parameters of the system. It is important to note that the uncertainty values reported in Table 2 for each variable are representative of the tests presented in this research work.

2.4. Experimental Methodology

The system’s driving parameters include the temperatures of cooling water through the condenser and absorber ( T c , w i and T a , w i ), the temperature of the water to be chilled in the evaporator ( T e , w i ), the heating water temperature in the generator ( T g , w i ), the expansion valve configuration, the mass flow rates of the heating, cooling, and chilled water streams and of the concentrated solution ( m ˙ c o n c ), and the initial concentration of the mixture ( X ). Key output parameters include system pressures, the desorbed refrigerant mass flow rate, the thermal loads in the different heat exchangers, and the system’s performance.
During the experimental test, the system’s driving parameters were kept constant at predefined values, while the output parameters were monitored over a defined period. The cooling system assessment revealed that once steady-state operation was achieved, the results were consistent regardless of whether a test lasted 10 or 60 min. For practicality, a standard duration of 20 min per test was chosen. After each test, one driving parameter was adjusted, and the process was repeated. This approach enabled a systematic evaluation of how changing a single parameter affected system performance. Table 3 presents the driving parameters used in the experimental assessment. From these data, it is clear that the tests were specifically designed to analyze the effect of cooling and heating water temperatures on system performance, while other driving parameters were deliberately excluded.
For each experimental test, T c , w i was kept constant while T g , w i was gradually increased in increments of approximately 3 °C within the specified range in Table 3, allowing the system to reach steady-state operation under each condition. This procedure was repeated for each cooling water temperature, which was increased in 2 °C intervals.
The system’s operating variables, including both driving and output parameters, were recorded at 10 s intervals, yielding a total of 6388 data points under the steady-state conditions previously described. However, due to the intermittent operation of the auxiliary heating and cooling systems used to maintain constant fluid temperatures in the absorption system, slight temperature fluctuations were observed. To ensure that the experimental data were representative of each operating condition, a filtering criterion was established to limit these variations. Specifically, an allowable operating range of ±0.5 °C around the target heating and cooling water temperatures was defined for each condition. The initial stage of data processing involved discarding data points outside these limits and calculating statistically representative values for the remaining data. After this preprocessing step, 4515 experimental data points were retained for each recorded variable. Additional data processing was subsequently performed for optimization purposes, as described in the following section.

3. Methodology

The development of the ANNim-mp methodology consists of two parts. First, the structure–learning process and the proposal of the ANN model are carried out to model the refrigeration system with more than one output parameter. Then, the incorporation of the adjusted coefficients of the ANN model into an objective function is carried out to improve more than one parameter at a time by applying a meta-heuristic algorithm.

3.1. Development of Artificial Neural Network

3.1.1. Structure and Learning Process of ANN Model

In general, an ANN model is structured in three layers capable of modeling cooling systems [19,20]. Each of these layers’ functions is similar to the human brain, transmitting information through neural connections. In the first layer, each of the selected input variables p of the system is assigned a weight coefficient W i , and their respective sum is compensated with a value called bias b 1 . The output for each neuron s established in the second layer can be represented as follows:
n j = k = 1 N W i s , k · p k + b 1 s
where N is the total number of input variables used to train the model.
In the second layer (known as the hidden layer), transfer functions are incorporated to process the information from the previous layer. The number of neurons in this layer depends on the fit of the data during the learning process. The set of information generated in the input layer with the transfer function ( f ) of the hidden layer can be described by the following:
a j = f k = 1 N W i s , k · p k + b 1 s
where a j represents each of the outputs of the hidden layer.
The tangential–sigmoidal transfer function (TANSIG) is commonly used to predict results with a nonlinear nature [20], expressed as follows:
T A N S I G = 2 1 + e 2 n j 1
In the third layer, the integration of the previous connections is weighted by output coefficients ( W o ) corresponding to each of the outputs to be simulated ( l ). Finally, a second compensation is introduced through the output layer ( b 2 ). The linear function considered to obtain the final prediction of the ANN model is described by the following:
O u t i = s = 1 S W o l , s · a j + b 2 l
Data processing is a process before the learning process of the ANN model. The normalization of each variable ( p ) in the database in specific intervals is intended to avoid coefficients with high weights. The interval of the normalized variables is [0.1–0.9] since, according to the literature, it has shown a better fit compared to other intervals [21]. The following equation is used to standardize the variables:
p = 0.8 · c c m i n c m a x c m i n + 0.1
where c m i n is the minimum value and c m a x is the maximum value obtained for each set of data to be normalized; c is the present (real) value.
When training the ANN model, a statistical criterion is used to quantify the error obtained between the real and simulated data. The Root Mean Square Error (RMSE) value is used as a criterion to fit the data in each iteration. Subsequently, other statistical criteria, such as the coefficient of determination (R2) and the mean absolute percentage error (MAPE), are applied to corroborate the correlation and difference between the data, respectively. The statistical criteria to evaluate the precision of the model are as follows:
R M S E = i = 1 n y ANN i y r e a l i 2 n
R 2 = 1 i = 1 n y real i y A N N i 2 i = 1 n y real i y ¯ r e a l 2
M A P E = i = 1 n y real i y A N N i y real i n × 100 %
where y ¯ =   1 n i = 1 n y i corresponds to the mean from a set; y A N N i is the output mapped from the trained model and y real i is the real value obtained from the experimental data set; and n is the total number of observations.

3.1.2. Proposal of Trained ANN Model

An experimental base with 4515 data with different operating conditions of the cooling system was integrated. The base was randomly divided into 60% for training (2709 data points), 20% for testing (903 data points), and 20% for validation (903 data points). The input variables to train the ANN model were selected according to their relevance to the parameters to be simulated, among which the following stand out: the temperatures of the water supplied at the inlet and outlet of the generator ( T g , w i ,   T g , w o ), condenser ( T c , w i ,   T c , w o ), evaporator ( T e , w i ,   T e , w o ), and absorber ( T a , w i ,   T a , w o ), all of them being external parameters, the mass flow rate of the concentrated solution, and the concentration of the working fluid ( X ).
Once the training–learning process has been carried out, the best architecture to simultaneously predict the cooling power and the performance coefficient can be established with five neurons in the hidden layer, as illustrated in Figure 3.
The Levenberg–Marquardt algorithm was applied in the learning process to minimize the error between the data and thus adjust the coefficients using the back-propagation method. The efficiency of the Levenberg–Marquardt algorithm has been demonstrated in the simulation of heat transfer processes in fins [22]. On the other hand, the convergence of the algorithm is reflected in the prediction of simultaneous outputs, such as thermal efficiency, heat transfer coefficient, and the friction factor of a solar collector [23].
Table 4 presents the error minimization between the real data and those simulated by the ANN model, combined with the increase in correlation by gradually applying neurons in the hidden layer, generating the best result with RMSE = 0.0327, 0.0147, and R2 = 0.9959, 0.9852 for the simulation of Q ˙ e and COP, respectively.
Once the coefficients of the best ANN architecture have been integrated, it is possible to predict the values of Q ˙ e and COP through the following mathematical formulation:
n 1 = [ 1.6173 · T g , w i + 0.0604 · T g , w o + 0.0154 · T c , w i + 0.9278 · T c , w o + 4.6231 · T e , w i + 1.5244 · T e , w o + 1.7877 · T a , w i + 1.3291 · T a , w o + 1.8463 · m ˙ + 2.5262 · X ] + 3.8885 n 2 = [ 0.0770 · T g , w i + 0.0829 · T g , w o + 0.0436 · T c , w i + 0.0842 · T c , w o         + 1.2737 · T e , w i + 1.6619 · T e , w o + 0.0322 · T a , w i         + 0.0807 · T a , w o + ( 0.0166 · m ˙ ) + 0.0706 · X ] 0.0034 n 3 = [ 11.8168 · T g , w i + 11.5080 · T g , w o + 0.2305 · T c , w i + 0.2152 · T c , w o       + 1.7778 · T e , w i + 2.2562 · T e , w o + 0.2159 · T a , w i       + 0.3427 · T a , w o + 0.0895 · m ˙ + 0.0840 · X ] 1.3035 n 4 = [ 6.4356 · T g , w i + 6.1219 · T g , w o + 0.8076 · T c , w i + 1.5178 · T c , w o         + 5.1810 · T e , w i + 6.7961 · T e , w o + 0.6462 · T a , w i         + 1.5423 · T a , w o + 0.1828 · m ˙ + 0.1408 · X ] 3.4088 n 5 = [ 1.4519 · T g , w i + 1.3933 · T g , w o + 0.4536 · T c , w i + 0.4875 · T c , w o + 1.7476 · T e , w i + 1.6449 · T e , w o + 0.3779 · T a , w i + 0.3358 · T a , w o + 0.2230 · m ˙ + 0.5279 · X ] + 1.0466
In Equation (12), the weights W i and bias b 1 generated in the first layer are integrated according to the number of neurons used in the hidden layer.
Q ˙ e = 2 · 0.0599 1 + e 2 · n 1 + 4.5354 1 + e 2 · n 2 + 0.3942 1 + e 2 · n 3 + ( 0.8840 ) 1 + e 2 · n 4 + 1.2064 1 + e 2 · n 5 ( 0.0599 + 4.5354 + 0.3942 0.8840 + 1.2064 ) + 0.4504
C O P = 2 · 0.0249 1 + e 2 · n 1 + 0.7748 1 + e 2 · n 2 + 5.7901 1 + e 2 · n 3 + ( 4.1014 ) 1 + e 2 · n 4 + 0.2791 1 + e 2 · n 5 ( 0.0249 + 0.7748 + 5.7901 4.1014 + 0.2791 ) + 1.8100
In Equations (13) and (14), the weights ( W o ) and bias b 2   obtained in the third layer of the ANN model are integrated to generate each of the outputs to be predicted.
Figure 4 presents a global comparison of the experimental data concerning those simulated by the ANN model for the values of (a)   Q ˙ e and (b) COP. The agreement between the data is satisfactory, reporting an MAPE value < 2.58% for both parameters.
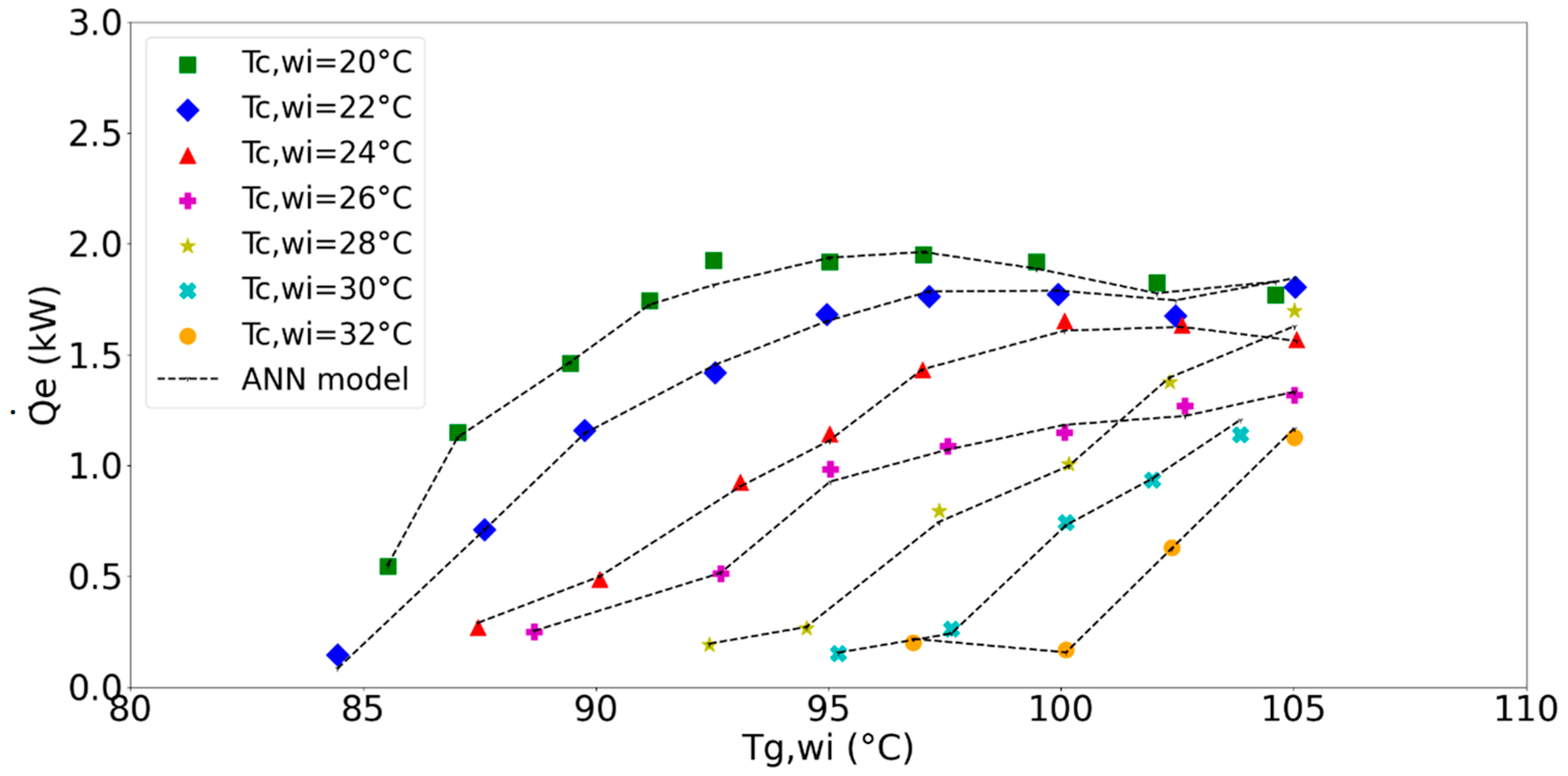
In this work, seven experimental tests were selected from the entire database due to the gradual increase in the inlet temperature in the condenser. However, the values of the remaining variables were heterogeneous, demonstrating the fit of the ANN model. In addition, the heterogeneous behavior of these tests was necessary to ensure that the parameter optimization process encompasses multiple initial operating conditions. As shown in Figure 5 and Figure 6, the proposed ANN model successfully captures the nonlinear behavior of the cooling system across different operating regimes, as evidenced by the validation of selected tests using the generator inlet temperature as the reference variable.
The impact of each input variable on the simulated parameters was determined through a sensitivity analysis applying the equation proposed by Garson [24]. This analysis is focused exclusively on the partition of the weights of the ANN model and serves to identify those variables with a significant impact on the desired outputs [25,26]. The general formulation of the weights partition is described below:
I j = m = 1 m = N h W j m i h k = 1 N i W k m i h W m n h o k = 1 k = N i m = 1 m = N h W k m i h k = 1 N i W k m i h W m n h o
where I j is the relative importance with respect to the j t h input variable on the output variable, N h ,   N i are the number of corresponding neurons in the layers, and W is the weight of the connection in the network. The superscripts i ,   h , and o refer to input, hidden, and output layers, respectively, while subscripts k ,   m , and n refer to input, hidden, and output neurons, respectively.
Figure 7 demonstrates that the evaporator inlet and outlet temperatures have a greater influence on the Q ˙ e value. However, the generator inlet and outlet temperatures are of greater importance concerning the COP value. The distinction between these variables is essential to justify the choice of variables in the optimization process.

3.2. Approach to Multivariate Inverse Artificial Neural Network with Multiple Outputs

3.2.1. Objective Function

The objective function approach is a substantial part of the optimization strategy, which integrates the coefficients fitted by the ANN model. The ANNim-mp methodology consists of improving two parameters in a refrigeration system based on the specification of multiple optimal variables, which are found once the objective function is solved. The desired parameters to be improved are the external values of Q ˙ e and COP, which means that the parameters are calculated based on the auxiliary fluids previously described. These parameters are indicators that characterize the operation of the evaporator and, in turn, the overall performance of the system, respectively.
The objective function seeks to optimize both the COP of the absorption refrigeration system and the generator’s power output. The proposed formulation is not multi-objective; instead, it is restricted to the search space defined by the generator ( T g , w i , T g , w o ) and evaporator ( T e , w i , T e , w o ) inlet and outlet temperatures. This search space is explored using the PSO heuristic algorithm. All evaluations are constrained by the physical limitations of the cooling system, as summarized in Table 3.
On the other hand, the choice of input variables to optimize the system is based on the sensitivity analysis presented previously. The temperatures corresponding to the evaporator and generator had a notable impact on the parameters to be improved. The application of the ANNim-mp methodology was gradual, considering the search for two optimal values at a time and subsequently searching for four optimal values. Methodological resolution is achieved by minimizing the objective function as close to zero as possible between the desired values of Q ˙ e and COP and those obtained by the search for optimal conditions.
Equation (16) presents the objective function formulated to obtain the desired values based on the optimization of the evaporator inlet and outlet temperatures.
m i n f x 1 , x 2 , = Q ˙ e , D e s i r e d C O P D e s i r e d 2 · 0.0599 1 + e 2 · n 1 + 4.5354 1 + e 2 · n 2 + 0.3942 1 + e 2 · n 3 + 0.8840 1 + e 2 · n 4 + 1.2064 1 + e 2 · n 5 0.0599 + 4.5354 + 0.3942 0.8840 + 1.2064 + 0.4504 2 · 0.0249 1 + e 2 · n 1 + 0.7748 1 + e 2 · n 2 + 5.7901 1 + e 2 · n 3 + 4.1014 1 + e 2 · n 4 + 0.2791 1 + e 2 · n 5 0.0249 + 0.7748 + 5.7901 4.1014 + 0.2791 + 1.8100
n 1 = [ 1.6173 · T g , w i + 0.0604 · T g , w o + 0.0154 · T c , w i + 0.9278 · T c , w o + 4.6231 · x 1 + 1.5244 · x 2 + 1.7877 · T a , w i + 1.3291 · T a , w o + 1.8463 · m ˙ + 2.5262 · X ] + 3.8885 n 2 = [ 0.0770 · T g , w i + 0.0829 · T g , w o + 0.0436 · T c , w i + 0.0842 · T c , w o + 1.2737 · x 1     + 1.6619 · x 2 + 0.0322 · T a , w i + 0.0807 · T a , w o + ( 0.0166 · m ˙ )     + 0.0706 · X ] 0.0034 n 3 = [ 11.8168 · T g , w i + 11.5080 · T g , w o + 0.2305 · T c , w i + 0.2152 · T c , w o + 1.7778 · x 1     + 2.2562 · x 2 + 0.2159 · T a , w i + 0.3427 · T a , w o + 0.0895 · m ˙     + 0.0840 · X ] 1.3035 n 4 = [ 6.4356 · T g , w i + 6.1219 · T g , w o + 0.8076 · T c , w i + 1.5178 · T c , w o + 5.1810 · x 1     + 6.7961 · x 2 + 0.6462 · T a , w i + 1.5423 · T a , w o + 0.1828 · m ˙     + 0.1408 · X ] 3.4088 n 5 = [ 1.4519 · T g , w i + 1.3933 · T g , w o + 0.4536 · T c , w i + 0.4875 · T c , w o + 1.7476 · x 1     + 1.6449 · x 2 + 0.3779 · T a , w i + 0.3358 · T a , w o + 0.2230 · m ˙     + 0.5279 · X ] + 1.0466
Subsequently, Equation (18) presents an objective function similar to the previous approach, with the difference being considering the inlet and outlet temperatures of the evaporator and the generator.
m i n f x 1 , x 2 , = Q ˙ e , D e s i r e d C O P D e s i r e d 2 · 0.0599 1 + e 2 · n 1 + 4.5354 1 + e 2 · n 2 + 0.3942 1 + e 2 · n 3 + 0.8840 1 + e 2 · n 4 + 1.2064 1 + e 2 · n 5 0.0599 + 4.5354 + 0.3942 0.8840 + 1.2064 + 0.4504 2 · 0.0249 1 + e 2 · n 1 + 0.7748 1 + e 2 · n 2 + 5.7901 1 + e 2 · n 3 + 4.1014 1 + e 2 · n 4 + 0.2791 1 + e 2 · n 5 0.0249 + 0.7748 + 5.7901 4.1014 + 0.2791 + 1.8100
n 1 = [ 1.6173 · x 3 + 0.0604 · x 4 + 0.0154 · T c , w i + 0.9278 · T c , w o + 4.6231 · x 1   + 1.5244 · x 2 + 1.7877 · T a , w i + 1.3291 · T a , w o + 1.8463 · m ˙   + 2.5262 · X ] + 3.8885 n 2 = [ 0.0770 · x 3 + 0.0829 · x 4 + 0.0436 · T c , w i + 0.0842 · T c , w o + 1.2737 · x 1   + 1.6619 · x 2 + 0.0322 · T a , w i + 0.0807 · T a , w o + ( 0.0166 · m ˙ )   + 0.0706 · X ] 0.0034 n 3 = [ 11.8168 · x 3 + 11.5080 · x 4 + 0.2305 · T c , w i + 0.2152 · T c , w o + 1.7778 · x 1   + 2.2562 · x 2 + 0.2159 · T a , w i + 0.3427 · T a , w o + 0.0895 · m ˙   + 0.0840 · X ] 1.3035 n 4 = [ 6.4356 · x 3 + 6.1219 · x 4 + 0.8076 · T c , w i + 1.5178 · T c , w o + 5.1810 · x 1   + 6.7961 · x 2 + 0.6462 · T a , w i + 1.5423 · T a , w o + 0.1828 · m ˙   + 0.1408 · X ] 3.4088 n 5 = [ 1.4519 · x 3 + 1.3933 · x 4 + 0.4536 · T c , w i + 0.4875 · T c , w o + 1.7476 · x 1   + 1.6449 · x 2 + 0.3779 · T a , w i + 0.3358 · T a , w o + 0.2230 · m ˙   + 0.5279 · X ] + 1.0466
The objective functions (Equations (16) and (18)) are characterized by the formulation of the subtraction of matrices, with the particularity of extrapolating more than one desired parameter at a time using the coefficients trained by the ANN model. The restrictions for searching for optimal values are outlined as follows:
19.090 x 1 T e , w i 25.843
16.521 x 2 T e , w o 25.249
83.844 x 3 T g , w i 105.278
82.644 x 4 T g , w o 103.427
Each restriction indicated corresponds to the intervals obtained during the experimental tests, respecting the operation of the refrigeration system and ensuring that the extrapolation is reliable.

3.2.2. Resolution with Particle Swarm Optimization

The formulated objective function is too complex to be solved by using conventional methods due to the number of desired outputs, coefficients, and optimal conditions that need to be determined. Therefore, implementing an optimization algorithm that can minimize the objective function in the shortest possible time is required. PSO is a meta-heuristic algorithm applied in process optimization to find the best solution via approximation. In cooling systems, the PSO algorithm has been shown to improve COP values and exergy efficiency by coupling machine learning models [27] and to provide energy savings by optimizing parameters [28]. Figure 8 schematically shows the application of the PSO algorithm in the multivariate inverse artificial neural network with multiple outputs. Implementing the PSO algorithm in the ANNim-mp methodology produces a complete optimization strategy that improves an absorption cooling system based on the data recorded from the experimental equipment.
The PSO algorithm is a search method inspired by social interactions and collective work among a flock of birds aiming to carry out specific functions [29]. The design of the PSO algorithm consists of finding an optimal location through a multidimensional space, where each particle in the initial population flies at a speed based on its own experiences and those of its peers [27]. The equations describing the update for the ith particle are as follows:
vi = wvi (t) + c1r1 (pbestixi(t)) r1 + c2 (gbestx(t))
x i = x i + v i
where v i = v i 1 , v i 2 , , v i D and x i = x i 1 , x i 2 , , x i D correspond to the speed and position of the ith particle; w is the weighted inertia, c 1 and c 2 are acceleration coefficients; r 1 and r 2 are random numbers generated in the interval [0, 1].
The PSO algorithm was programmed to minimize the objective function as close to zero as possible from a set of initial variables. The evaluation criterion is satisfied when the desired values approach those obtained by searching for optimal values. Algorithm 1 presents the pseudocode used for programming the PSO algorithm. Table 5 shows the best set of parameters for solving the ANNim-mp methodology.
Algorithm 1. The pseudocode and parameters of the PSO algorithm applied in the resolution of the ANNim-mp methodology.
1:Starting for individual 1 to N
Position xi (0) ∀ i ∈ 1:N
Velocity vi (0) ∀ i ∈ 1:N
r2 = aleatory (0, 1)
r1 = aleatory (0, 1)
2:Calculate the inertia weight ‘w’ for the current iteration ‘t’. ‘w’ decreases linearly from w1 to w2
For each t do
w = w1 − (t/ns) * (w1 − w2)
3:To calculate the fitness of everyone, it is calculated from the equation ƒ(xj(0)) ≥ ƒ(xi(0)) ∀ i ≠ j initializes, the global best as g = xj(0)
4:The ending criteria value are:
Q ˙ e Desired and COP Desired
while these criteria are not met
5:Update velocity by particle using equation
vi = wvi (t) + c1r1 (pbesti − xi(t)) r1 + c2 (gbest − x(t))
6:Update the particle position using equation:
xi = xi + vi
7:Evaluate fitness of the particle ƒ (xi (t + 1))
8:   if ƒ (xi (t + 1)) ≥ ƒ(pi), update particle best: pbesti = xi (t + 1)
9:   if ƒ (xi (t + 1)) ≥ ƒ(gi), update global best: gbesti = xi (t + 1)
10:end.
11:Best position found among all positions gbest = pbesti

4. Results

In this section, the main results from the optimization analysis of the Q ˙ e and COP values of the ACS are presented and discussed. Table 6 shows the conditions of the seven experimental tests used to apply the ANNim-mp-PSO methodology. These tests were chosen due to the different Q ˙ e and COP values reported.
In Figure 7, it was demonstrated that Q ˙ e and C O P depend mainly on the evaporator temperatures followed by the generator temperatures, while the contribution of the rest of the variables was minimal. Thus, the optimization process was carried out in two steps. First, the optimization process was performed based on two variables ( T e , w i and T e , w o ), while in the second step, four variables ( T e , w i , T e , w o , T g , w i , and T g , w o ) were considered.
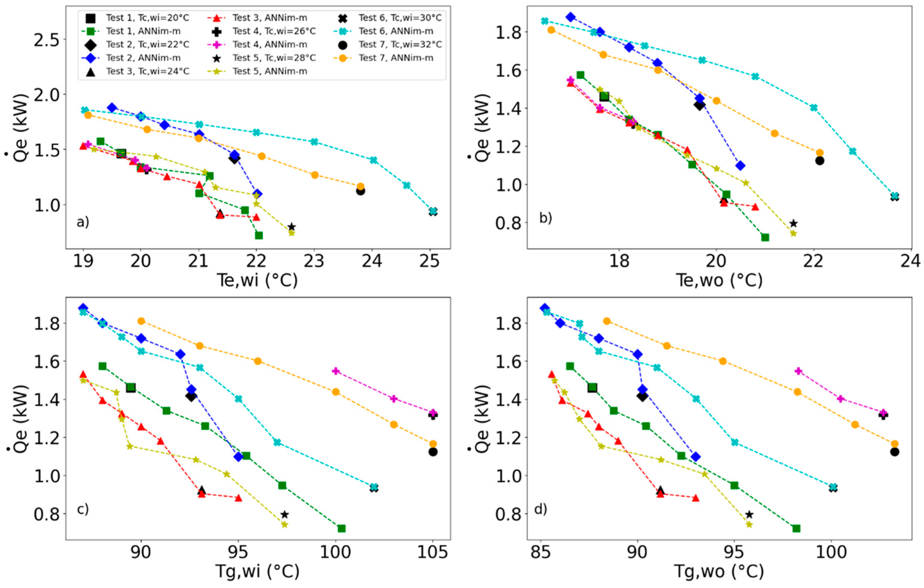
Figure 9 shows the results of the optimization process for Q ˙ e as a function of two variables ( T e , w i and T e , w o ). In Figure 9a,b, the black marks indicate the values obtained experimentally, while the marks and lines in color indicate the results obtained from the optimization for each of the seven tests. During system testing, all of the operative parameters were kept constant. Optimization was carried out by changing the evaporation temperatures. Figure 9a shows how, for test no. 6, the experimental cooling load obtained at T e , w i = 25   ° C is 0.9 kW, but through the optimization process (marks and line in blue color), this parameter is augmented as T e , w i decreases, achieving a maximum value of 1.9 kW at T e , w i = 19   ° C . Similar trends were found using the optimization process with two variables for each experimental test. In some cases, such as tests 2 and 3, the experimental values are not the lowest. In such cases, the algorithm determined how Q ˙ e increases as T e , w i decreases, but also showed that if T e , w i increases, Q ˙ e decreases, following the same trends as in the other tests. In Figure 9b, a similar process is shown but for Q ˙ e as a function of T e , w o . As can be seen, Q ˙ e also increases as T e , w o decreases. The maximum Q ˙ e is around 1.9 kW at T e , w o = 16.5   ° C , 16.8   ° C , and 16.5   ° C for tests 2, 3, and 7, respectively.
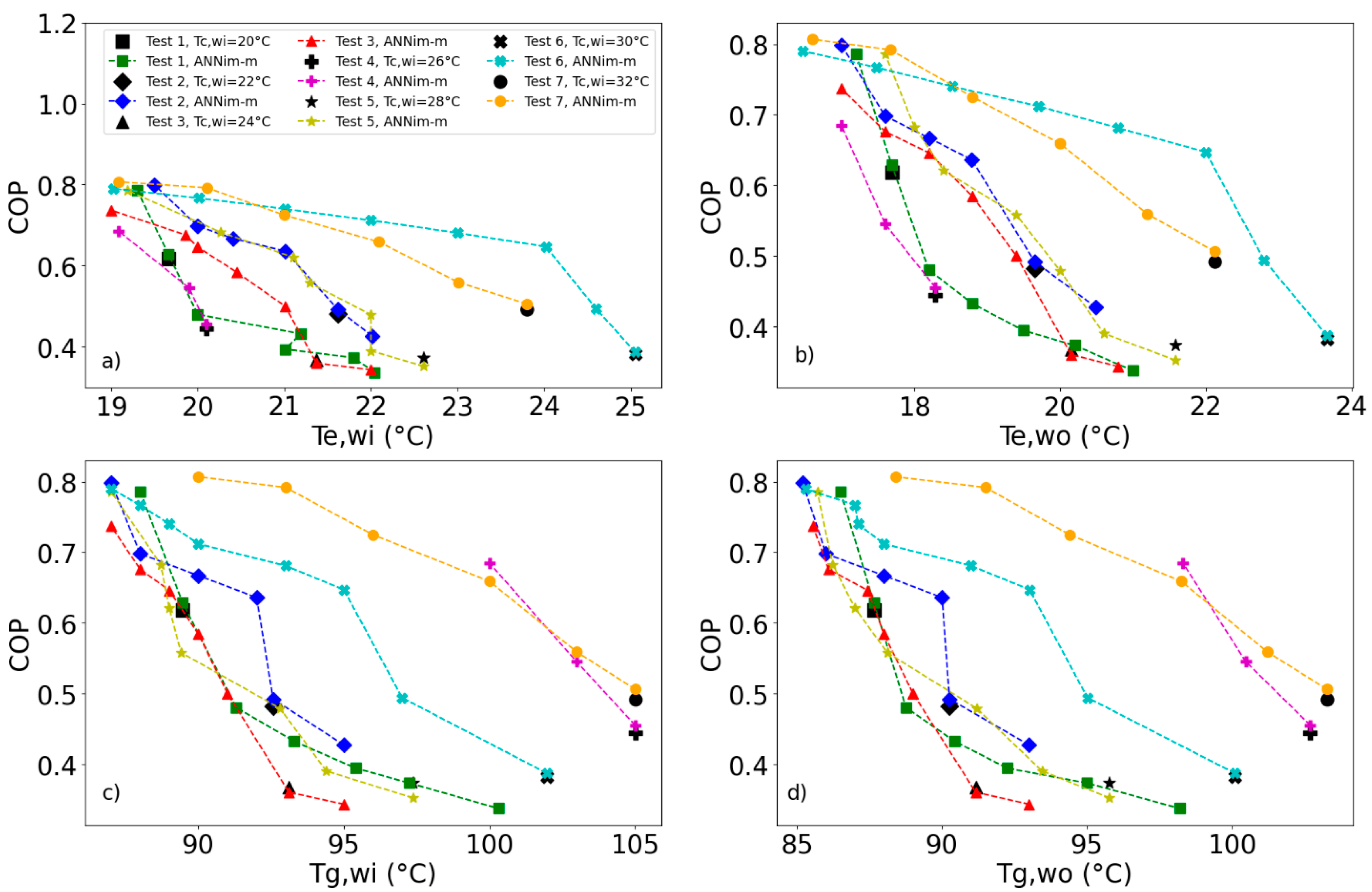
The results from the optimization of the COP as a function of the two variables ( T e , w i and T e , w o ) are shown in Figure 10a and Figure 10b, respectively. In these figures, the black marks represent the experimental data. Figure 10a shows how the COP increases as T e , w i decreases, similar to the behavior of Q ˙ e shown in Figure 9a. These results were expected since the value of the COP is directly proportional to Q ˙ e . From Figure 10a, it can be observed that at higher evaporator temperatures (between 22.6 °C and 23.8 °C), the COP varies between 0.35 and 0.5, while if the system is optimized and T e , w i = 19   ° C , the COP can reach values between 0.72 and 0.77. Figure 10b shows the trends for the COP as a function of T e , w o . It is observed that for all the experimental tests, the maximum COP can be achieved when T e , w o = 17     ° C .
Figure 11 shows the results of the optimization process as a function of four variables ( T e , w i , T e , w o , T g , w i , and T g , w o ). The trends are similar to those observed in Figure 9a,b since Q ˙ e increases as T e , w i decreases, but Q ˙ e also decreases with an increment in the generator temperatures. This decrease occurs since, at higher generator temperatures, the heat losses in the components are higher, thus decreasing Q ˙ e . From Figure 11, it is not clear which of the four variables contributes the most to the increment in Q ˙ e since, for all cases, values between 1.5 kW and 1.9 kW are achieved at the minimum evaporator and generator temperatures.
Figure 12 shows the results from the optimization of the COP utilizing the four variables previously analyzed in Figure 11. It is possible to see that the COP increases as the evaporator and generator temperatures decrease. At the highest evaporator and generator temperatures, the COP values vary around 0.4, while after optimization at the lowest temperatures, the COP achieves values between 0.7 and 0.8. Additionally, it can be observed that, in general, as shown in Figure 12a,b, the highest COP is obtained for test no. 6, while when the COP is optimized as a function of the generator temperatures, better values are obtained for test no. 7. This occurs because temperatures T g , w i and T g , w o in test no. 7 have a greater degree of freedom compared to in test no. 6 when applying the ANNim-mp-PSO methodology, according to the limit established by Equations (20)–(23), thus achieving a higher COP. Therefore, the simultaneous increase in the Q ˙ e and COP values depends on the degrees of freedom of the variables for each experimental test.
Figure 13 compares the Q ˙ e values obtained experimentally with those obtained from the optimization process. The values represented by the green and red bars (corresponding to the two- and four-variable optimizations) refer to the maximum value obtained at different temperatures in the evaporator and generator, respectively. It can be observed that for all the tests, with both optimization processes, it is possible to achieve better cooling load values, demonstrating the convenience of the optimization analysis. For test no. 1, at the lowest generation temperature ( T g , w i = 89.5   ° C ), the cooling load shows a minimum increment; however, for tests 5, 6, and 7 at higher generation temperatures, Q ˙ e is considerably improved after the optimization process. As previously mentioned, the significant increase in these tests is related to the degrees of freedom of the variables set in Equations (20)–(23). This advantage enables tests 5, 6, and 7 to elevate the desired parameter values. Additionally, it can be observed that there are no significant differences in the results obtained by using two or four variables in the optimization analyses.
Figure 14 compares the COP values obtained experimentally with those obtained from the optimization process with two and four variables. Similar to the case of Q ˙ e , the COP is, in all cases, higher than the experimental values once optimized; however, with the four-variable optimization, it is possible to achieve better values than with the two-variable process. This result was expected since, as shown in Figure 7, even if the system’s performance depends mainly on the evaporator’s temperatures, it is also influenced by the generator’s temperatures.
Figure 15 shows the improvement percentage for Q ˙ e for all the analyzed tests as a result of both processes: two- and four-variable optimization. It can be observed that there is high variability in the improvement achieved since it varies from 10% up to about 100%. Moreover, it is observed that with the optimization of two variables, it is possible to achieve slightly higher percentages than those obtained with the four-variable analysis. This behavior was expected since Q ˙ e mainly depends on the inlet and outlet evaporator temperatures ( T e , w i and T e , w o ), which are the parameters considered in the two-variable optimization, and the refrigerant mass flow rate, which is kept constant in the analysis.
Figure 16 compares the improvement percentage of the COP when employing optimization with two and four variables. It is seen that there is high variability in the improvement percentage for the analyzed tests, varying from 13% up to 97.1%, when optimizing two variables at the same time. However, it can be observed that with the four-variable optimization, it is possible to achieve higher COP values in comparison to those obtained with the two-variable analysis, varying from 27% up to 111%. Experimental test no. 6 achieved the best simultaneous increase in Q ˙ e and COP values, with 100% and 97%, when optimizing two variables; the same test obtained the best simultaneous result in the optimization of four variables, showing improvements up to 98.7% and 106.7% for the Q ˙ e and COP values, respectively. These results were also expected since the COP is the ratio between the heat removed in the evaporator and the heat supplied to the generator. Hence, both the evaporator temperatures and the generator temperatures play an important role in determining the COP values.
Finally, this work can be integrated as a reference to demonstrate the capacity of artificial intelligence to simulate and optimize cooling processes. The precision (R2 > 0.9852; MAPE < 2.58%) obtained during data adjustment was satisfactory and competitive with that reported in other processes focused on the application of the ANN model, as reported by Nguyen et al. [30], who presented the prediction of corrosion in mechanically stabilized earth walls (R = 0.878). Tomassetti et al. [31] proposed the estimation of the dynamic viscosity of low-global-warming-potential refrigerants in the liquid phase (average absolute relative deviation = 0.86%).

5. Conclusions

This study presents the development of a computational methodology focused on achieving the simultaneous increase in the cooling load and the coefficient of performance of an NH3-H2O absorption cooling system by optimizing multiple variables. The execution of the methodology was composed of three stages: system modeling using ANN, the use of a multivariate inverted function to determine multiple outputs, and the integration of the PSO algorithm. The ANN model was trained to predict the cooling load and COP using the water temperatures at the inlets and outlets of the heat exchangers ( T g , w i ,   T g , w o , T c , w i ,   T c , w o , T e , w i ,   T e , w o , T a , w i ,   T a , w o ), the mass flow rate of the concentrated solution, and the concentration of the working fluid.
An architecture of five neurons in the hidden layer established in the ANN model demonstrated the best fit in the simultaneous prediction, obtaining values of RMSE = 0.0327, 0.0147 and R2 = 0.9959, 0.9852 for the parameters Q ˙ e and COP, respectively, when comparing between the experimental and simulated data. Subsequently, the sensitivity analysis specified that the variables with the most impact on the Q ˙ e parameter were the evaporator inlet and outlet temperature ( T e , w i ,   T e , w o ); in the case of the COP, the generator inlet and outlet temperature ( T g , w i ,   T g , w o ,) were most influential. Therefore, an inverted multivariate function with multiple outputs was proposed to optimize the ACS considering the generator and evaporator temperatures. The PSO algorithm was integrated to determine the optimal set of variables needed to achieve the desired parameters. The ANNim-mp-PSO methodology was applied in seven experimental tests under different operating conditions when optimizing two and four variables. Optimizing two variables at a time for test no. 6 with experimental parameters of Q ˙ e = 0.93 and COP = 0.38 resulted in the best parameter value, with an increase of 100% and 97%, respectively. These values were found by extrapolating the experimental temperatures from T e , w i , = 25   ° C , T e , w o = 23.6   ° C to 19 °C, 16.5 °C. When optimizing four variables at a time, test no. 6 presented an increase of 98.7% and 106.7% in the Q ˙ e and COP values, respectively. These parameters were produced as a result of the decrease in experimental temperatures ( T g , w i = 101.9   ° C , T g , w o = 100   ° C , T e , w i = 25 ° , T e , w o = 23.6   ° C ) to optimal variables of 87 °C, 85.3 °C, 19 °C, and 16.5 °C, respectively. The reduction in temperatures is justified by the relationship between the power and the cooling of the evaporator; in the case of the COP, reducing the temperature of the generator reflects energy savings in the system. Finally, the ANNim-mp-PSO methodology has demonstrated the ability to extrapolate the experimental tests using artificial intelligence to generate new information for the optimal operation of absorption refrigeration systems.

Author Contributions

Conceptualization, U.C.-J.; methodology, U.C.-J. and R.A.C.-G.; formal analysis, R.A.C.-G.; investigation, J.C.J.-G. and D.C.; resources, U.C.-J., W.R. and R.A.C.-G.; data curation, U.C.-J. and J.C.J.-G.; writing—original draft preparation, U.C.-J., J.C.J.-G., D.C., W.R. and R.A.C.-G.; writing—review and editing, J.C.J.-G., D.C., R.A.C.-G. and W.R.; visualization, D.C., U.C.-J. and R.A.C.-G.; supervision, W.R.; project administration, U.C.-J. and J.C.J.-G.; funding acquisition, J.C.J.-G. All authors have read and agreed to the published version of the manuscript.

Funding

This work was supported by the Dirección General de Asuntos del Personal Académico (DGAPA) of the Universidad Nacional Autónoma de México (UNAM) through the PAPIIT project IA106423, entitled “Evaluación experimental de sistemas de enfriamiento por absorción con mezclas de trabajo alternativas”.

Data Availability Statement

The data from this research can be shared upon request.

Acknowledgments

The authors are grateful for the contributions and help provided by V. H. Gómez during the system’s setting up and testing. The authors also thank the SECIHTI-SNII program for the support provided. Furthermore, some of the operating condition data (temperatures and flow rates), along with the measurement instrument uncertainties reported in this work, were previously described by Galindo Luna et al. [18] and Jiménez-García and Rivera [16]. The authors gratefully acknowledge these works for providing such information.

Conflicts of Interest

The authors declare that they have no known competing financial interests or personal relationships that could have appeared to influence the work reported in this paper.

Abbreviations

The following abbreviations are used in this manuscript:
ABCArtificial Bee Colony
ACSAbsorption Cooling System
AHTAbsorption Heat Transformer
ANNArtificial Neural Network
ANNiInverse Artificial Neural Network
ANNimMultivariate Inverse Artificial Neural Network
ANNim-mpMultivariate Inverse Artificial Neural Network with Multiple Parameters
COPCoefficient of Performance
GAGenetic Algorithm
HVACHeating, Ventilation, and Air Conditioning
MAPEMean Absolute Percentage Error
MLPMulti-Layer Perceptron
PHEPlate Heat Exchanger
PSOParticle Swarm Optimization
Q ˙ e Cooling Load
R2Coefficient of Determination
RMSERoot Mean Square Error
RTDResistance Temperature Detector
TANSIGTangential–Sigmoidal Transfer Function

References

  1. Dbouk, T. A Review about the Engineering Design of Optimal Heat Transfer Systems Using Topology Optimization. Appl. Therm. Eng. 2017, 112, 841–854. [Google Scholar] [CrossRef]
  2. Villarrubia, G.; De Paz, J.F.; Chamoso, P.; la Prieta, F. De Artificial Neural Networks Used in Optimization Problems. Neurocomputing 2018, 272, 10–16. [Google Scholar] [CrossRef]
  3. Yang, J.; Jia, J.; Wang, J.; Zhou, Q.; Zheng, R. Multivariate Optimization of the Electrochemical Degradation for COD and TN Removal from Wastewater: An Inverse Computation Machine Learning Approach. Sep. Purif. Technol. 2022, 295, 121129. [Google Scholar] [CrossRef]
  4. Zhou, G.; Moayedi, H.; Bahiraei, M.; Lyu, Z. Employing Artificial Bee Colony and Particle Swarm Techniques for Optimizing a Neural Network in Prediction of Heating and Cooling Loads of Residential Buildings. J. Clean. Prod. 2020, 254, 120082. [Google Scholar] [CrossRef]
  5. Jokar, A.; Godarzi, A.A.; Saber, M.; Shafii, M.B. Simulation and Optimization of a Pulsating Heat Pipe Using Artificial Neural Network and Genetic Algorithm. Heat. Mass. Transf. 2016, 52, 2437–2445. [Google Scholar] [CrossRef]
  6. Abdallah El Hadj, A.; Laidi, M.; Si-Moussa, C.; Hanini, S. Novel Approach for Estimating Solubility of Solid Drugs in Supercritical Carbon Dioxide and Critical Properties Using Direct and Inverse Artificial Neural Network (ANN). Neural Comput. Appl. 2017, 28, 87–99. [Google Scholar] [CrossRef]
  7. Conde-Gutiérrez, R.A.; Cruz-Jacobo, U.; Huicochea, A.; Casolco, S.R.; Hernández, J.A. Optimal Multivariable Conditions in the Operation of an Absorption Heat Transformer with Energy Recycling Solved by the Genetic Algorithm in Artificial Neural Network Inverse. Appl. Soft Comput. 2018, 72, 218–234. [Google Scholar] [CrossRef]
  8. Ajbar, W.; Parrales, A.; Cruz-Jacobo, U.; Conde-Gutiérrez, R.A.; Bassam, A.; Jaramillo, O.A.; Hernández, J.A. The Multivariable Inverse Artificial Neural Network Combined with GA and PSO to Improve the Performance of So-lar Parabolic Trough Collector. Appl. Therm. Eng. 2021, 189, 116651. [Google Scholar] [CrossRef]
  9. May Tzuc, O.; Chan-González, J.J.; Castañeda-Robles, I.E.; Lezama-Zárraga, F.; Moheno-Barrueta, M.; Jiménez Torres, M.; Best, R. Multivariate Inverse Artificial Neural Network to Analyze and Improve the Mass Transfer of Ammonia in a Plate Heat Exchanger-Type Absorber with NH3 /H2O for Solar Cooling Applications. Energy Explor. Exploit. 2022, 40, 1686–1711. [Google Scholar] [CrossRef]
  10. Asadi, J.; Amani, P.; Amani, M.; Kasaeian, A.; Bahiraei, M. Thermo-Economic Analysis and Multi-Objective Op-timization of Absorption Cooling System Driven by Various Solar Collectors. Energy Convers. Manag. 2018, 173, 715–727. [Google Scholar] [CrossRef]
  11. Gebreslassie, B.H.; Jimenez, M.; Guillén-Gosálbez, G.; Jiménez, L.; Boer, D. Multi-Objective Optimization of Solar Assisted Absorption Cooling System. Comput. Aided Chem. Eng. 2010, 28, 1033–1038. [Google Scholar]
  12. Satrio, P.; Mahlia, T.M.I.; Giannetti, N.; Saito, K. Optimization of HVAC System Energy Consumption in a Building Using Artificial Neural Network and Multi-Objective Genetic Algorithm. Sustain. Energy Technol. Assess. 2019, 35, 48–57. [Google Scholar] [CrossRef]
  13. Tugcu, A.; Arslan, O. Optimization of Geothermal Energy Aided Absorption Refrigeration System—GAARS: A Novel ANN-Based Approach. Geothermics 2017, 65, 210–221. [Google Scholar] [CrossRef]
  14. Hosseini, P. Deep-Learning Neural Network Prediction of a Solar-Based Absorption Chiller Cooling System Per-formance Using Waste Heat. Sustain. Energy Technol. Assess. 2022, 53, 102683. [Google Scholar] [CrossRef]
  15. Sharifi, S.; Nozad Heravi, F.; Shirmohammadi, R.; Ghasempour, R.; Petrakopoulou, F.; Romeo, L.M. Comprehen-sive Thermodynamic and Operational Optimization of a Solar-Assisted LiBr/Water Absorption Refrigeration System. Energy Rep. 2020, 6, 2309–2323. [Google Scholar] [CrossRef]
  16. Jiménez-García, J.C.; Rivera, W. Parametric Analysis on the Experimental Performance of an Ammonia/Water Absorption Cooling System Built with Plate Heat Exchangers. Appl. Therm. Eng. 2019, 148, 87–95. [Google Scholar] [CrossRef]
  17. Jiménez-García, J.C.; Martínez-Vite, V.X.; Gómez-Espinoza, V.H.; Rivera, W. Experimental Assessment of a Single-Effect Absorption Cooling System Operating with the NH3-H2O-LiBr Mixture and Its Comparison with NH3-H2O. Int. J. Refrig. 2024, 167, 35–46. [Google Scholar] [CrossRef]
  18. Galindo Luna, Y.; Gómez Franco, W.; Dehesa Carrasco, U.; Romero Domínguez, R.; Jiménez García, J. Integration of the Experimental Results of a Parabolic Trough Collector (PTC) Solar Plant to an Absorption Air-Conditioning System. Appl. Sci. 2018, 8, 2163. [Google Scholar] [CrossRef]
  19. Jani, D.B.; Mishra, M.; Sahoo, P.K. Application of Artificial Neural Network for Predicting Performance of Solid Desiccant Cooling Systems—A Review. Renew. Sustain. Energy Rev. 2017, 80, 352–366. [Google Scholar] [CrossRef]
  20. Pérez-Gomariz, M.; López-Gómez, A.; Cerdán-Cartagena, F. Artificial Neural Networks as Artificial Intelligence Technique for Energy Saving in Refrigeration Systems—A Review. Clean. Technol. 2023, 5, 116–136. [Google Scholar] [CrossRef]
  21. Reyes-Téllez, E.D.; Parrales, A.; Ramírez-Ramos, G.E.; Hernández, J.A.; Urquiza, G.; Heredia, M.I.; Sierra, F.Z. Analysis of Transfer Functions and Normalizations in an ANN Model That Predicts the Transport of Energy in a Parabolic Trough Solar Collector. Desalination Water Treat. 2020, 200, 23–41. [Google Scholar] [CrossRef]
  22. Tian, Z.; Qian, C.; Gu, B.; Yang, L.; Liu, F. Electric Vehicle Air Conditioning System Performance Prediction Based on Artificial Neural Network. Appl. Therm. Eng. 2015, 89, 101–114. [Google Scholar] [CrossRef]
  23. Sundar, L.S.; Chandra Mouli, K.V.V. Experimental Analysis and Levenberg-Marquardt Artificial Neural Network Predictions of Heat Transfer, Friction Factor, and Efficiency of Thermosyphon Flat Plate Collector with MgO/Water Nanofluids. Int. J. Therm. Sci. 2023, 194, 108555. [Google Scholar] [CrossRef]
  24. Garson, G.D. Interpreting Neural-Network Connection Weights. AI Expert 1991, 6, 46–51. [Google Scholar]
  25. Conde-Gutiérrez, R.A.; Colorado, D.; Gonzalez-Flores, P.B.; López-Martínez, A.; Moreno-Gómez, I. Simultaneous Prediction of the Performance Coefficients in a Compact Absorption Heat Transformer Using New Neural Net-work Configurations. J. Braz. Soc. Mech. Sci. Eng. 2023, 45, 426. [Google Scholar] [CrossRef]
  26. Serrano, D.; Castelló, D. Tar Prediction in Bubbling Fluidized Bed Gasification through Artificial Neural Net-works. Chem. Eng. J. 2020, 402, 126229. [Google Scholar] [CrossRef]
  27. Al-Rbaihat, R.; Alahmer, H.; Alahmer, A.; Altork, Y.; Al-Manea, A.; Awwad, K.Y.E. Energy and Exergy Analysis of a Subfreezing Evaporator Environment Ammonia-Water Absorption Refrigeration Cycle: Machine Learning and Parametric Optimization. Int. J. Refrig. 2023, 154, 182–204. [Google Scholar] [CrossRef]
  28. Ghorbani, B.; Mafi, M.; Shirmohammadi, R.; Hamedi, M.-H.; Amidpour, M. Optimization of Operation Parame-ters of Refrigeration Cycle Using Particle Swarm and NLP Techniques. J. Nat. Gas. Sci. Eng. 2014, 21, 779–790. [Google Scholar] [CrossRef]
  29. Kennedy, J.; Eberhart, R. Particle Swarm Optimization. In Proceedings of the ICNN’95-International Conference on Neural Networks, Perth, Australia, 27 November–1 December; IEEE: Piscataway, NJ, USA, 1995; pp. 1942–1948. [Google Scholar]
  30. Nguyen, T.-H.; Chau, T.-L.; Hoang, T.; Nguyen, T. Developing Artificial Neural Network Models to Predict Corro-sion of Reinforcement in Mechanically Stabilized Earth Walls. Neural Comput. Appl. 2023, 35, 6787–6799. [Google Scholar] [CrossRef]
  31. Tomassetti, S.; Muciaccia, P.F.; Pierantozzi, M.; Di Nicola, G. Dynamic Viscosity of Low GWP Refrigerants in the Liquid Phase: An Empirical Equation and an Artificial Neural Network. Int. J. Refrig. 2024, 164, 95–104. [Google Scholar] [CrossRef]
Figure 1. A schematic diagram of the absorption cooling system operating with the NH3-H2O mixture.
Figure 1. A schematic diagram of the absorption cooling system operating with the NH3-H2O mixture.
Processes 14 00177 g001
Figure 2. (a) Absorption cooling prototype; (b) Schematic diagram for the proposed configuration.
Figure 2. (a) Absorption cooling prototype; (b) Schematic diagram for the proposed configuration.
Processes 14 00177 g002
Figure 3. Optimal ANN model structure to simulate ACS’s Q ˙ e and COP values.
Figure 3. Optimal ANN model structure to simulate ACS’s Q ˙ e and COP values.
Processes 14 00177 g003
Figure 4. Global confrontation between the experimental data and those simulated by the ANN model for (a) Q ˙ e and (b) COP.
Figure 4. Global confrontation between the experimental data and those simulated by the ANN model for (a) Q ˙ e and (b) COP.
Processes 14 00177 g004
Figure 5. Validation of the ANN model to predict the cooling load as a function of the heating water temperature.
Figure 5. Validation of the ANN model to predict the cooling load as a function of the heating water temperature.
Processes 14 00177 g005
Figure 6. Validation of the ANN model to predict the COP as a function of the heating water temperature.
Figure 6. Validation of the ANN model to predict the COP as a function of the heating water temperature.
Processes 14 00177 g006
Figure 7. Percentage of importance of each input variable on predicted values.
Figure 7. Percentage of importance of each input variable on predicted values.
Processes 14 00177 g007
Figure 8. A schematic diagram of the adaptation of the ANNim-mp methodology with the PSO algorithm to extrapolate relevant parameters of an absorption cooling system.
Figure 8. A schematic diagram of the adaptation of the ANNim-mp methodology with the PSO algorithm to extrapolate relevant parameters of an absorption cooling system.
Processes 14 00177 g008
Figure 9. Improvement in the cooling load as a function of the optimal temperatures at the evaporator’s (a) inlet and (b) outlet.
Figure 9. Improvement in the cooling load as a function of the optimal temperatures at the evaporator’s (a) inlet and (b) outlet.
Processes 14 00177 g009
Figure 10. Improvement in the COP as a function of the optimal temperatures at the evaporator’s (a) inlet and (b) outlet.
Figure 10. Improvement in the COP as a function of the optimal temperatures at the evaporator’s (a) inlet and (b) outlet.
Processes 14 00177 g010
Figure 11. Improvement in the cooling load as a function of the optimal temperatures at the (a) evaporator’s inlet and (b) outlet and (c) the generator’s inlet and (d) outlet.
Figure 11. Improvement in the cooling load as a function of the optimal temperatures at the (a) evaporator’s inlet and (b) outlet and (c) the generator’s inlet and (d) outlet.
Processes 14 00177 g011
Figure 12. Improvement in the COP as a function of the optimal temperatures at the (a) evaporator’s inlet and (b) outlet and (c) the generator’s inlet and (d) outlet.
Figure 12. Improvement in the COP as a function of the optimal temperatures at the (a) evaporator’s inlet and (b) outlet and (c) the generator’s inlet and (d) outlet.
Processes 14 00177 g012
Figure 13. Comparison of the experimental tests of the Q ˙ e value and the data obtained from the ANNim-mp-PSO strategy with two and four-variable optimization.
Figure 13. Comparison of the experimental tests of the Q ˙ e value and the data obtained from the ANNim-mp-PSO strategy with two and four-variable optimization.
Processes 14 00177 g013
Figure 14. Comparison of the experimental tests of the COP value and the data obtained from the ANNim-mp-PSO strategy with two and four-variable optimization.
Figure 14. Comparison of the experimental tests of the COP value and the data obtained from the ANNim-mp-PSO strategy with two and four-variable optimization.
Processes 14 00177 g014
Figure 15. Comparison of the improvement in the Q ˙ e value as a percentage when optimizing two and four variables at the same time using the ANNim-mp-PSO methodology.
Figure 15. Comparison of the improvement in the Q ˙ e value as a percentage when optimizing two and four variables at the same time using the ANNim-mp-PSO methodology.
Processes 14 00177 g015
Figure 16. Comparison of the increase in the COP value as a percentage when optimizing two and four variables at the same time using the ANNim-mp-PSO methodology.
Figure 16. Comparison of the increase in the COP value as a percentage when optimizing two and four variables at the same time using the ANNim-mp-PSO methodology.
Processes 14 00177 g016
Table 1. Instrument uncertainties according to Jiménez-García and Rivera [16].
Table 1. Instrument uncertainties according to Jiménez-García and Rivera [16].
InstrumentUncertainty
Pressure transducer±1%
RTD±0.3 °C
Omega rotameter±1%
Turbine flowmeter±1%
Elite Coriolis flowmeter±0.10%
Table 2. Performance parameters’ uncertainties for selected experimental tests.
Table 2. Performance parameters’ uncertainties for selected experimental tests.
N° Test1234567
Main ValueµMain ValueµMain ValueµMain ValueµMain ValueµMain ValueµMain Valueµ
T e , i
(°C)
−15.3±0.03−12.8±0.03−12±0.03−14±0.03−14.5±0.03−10.5±0.03−7.8±0.03
Q ˙ e (kW)1.5±0.31.4±0.30.9±0.311.3±0.150.8±0.310.9±0.311.1±0.31
Q ˙ g (kW)2.4±0.52.4±0.52.3±0.482.5±0.181.7±0.481.99±0.132.0±0.12
COP (dim)0.6±0.050.5±0.090.4±0.090.5±0.050.4±0.050.4±0.050.5±0.05
Table 3. Driving parameter values during experimental tests [18].
Table 3. Driving parameter values during experimental tests [18].
Driving ParameterValue
Cooling water temperature ( T c , w i )20–32 °C
Heating water temperature ( T g , w i )85–105 °C
Temperature of water to be chilled ( T e , w i )20 °C
Cooling water mass flow rate ( a ,   c )12 kg/min
Heating water mass flow rate ( g )16 kg/min
Chilled water mass flow rate ( e )10 kg/min
Concentrated solution mass flow rate ( c o n c )0.8 kg/min
Mass fraction of NH3 in mixture38%
Table 4. Determination of the best architecture of the ANN model to predict the values of Q ˙ e and COP.
Table 4. Determination of the best architecture of the ANN model to predict the values of Q ˙ e and COP.
OutputNumber of NeuronsRMSER2
TANSIG
Q ˙ e 10:01:020.03680.9948
COP0.08610.4860
Q ˙ e 10:02:020.03410.9955
COP0.02490.9594
Q ˙ e 10:03:020.03380.9956
COP0.02120.9698
Q ˙ e 10:04:020.03280.9958
COP0.01900.9754
Q ˙ e 10:05:020.03270.9959
COP0.01470.9852
Q ˙ e 10:06:020.03290.9958
COP0.02760.9487
Q ˙ e 10:07:020.03380.9956
COP0.02840.9449
Table 5. Parameters of PSO algorithm.
Table 5. Parameters of PSO algorithm.
ParametersValue
Number of steps (ns)100
Number of particles (N)250
Cognitive component (c1)2
Social component (c2)2
Low bound Inertia weight (w1)0.9
Upper bound Inertia weight (w2)0.2
Table 6. The selected experimental data used to simultaneously improve the Q ˙ e and COP values using the ANNim-mp-PSO strategy.
Table 6. The selected experimental data used to simultaneously improve the Q ˙ e and COP values using the ANNim-mp-PSO strategy.
N° Test T g , w i
(°C)
T g , w o
(°C)
T c , w i
(°C)
T c , w o
(°C)
T e , w i
(°C)
T e , w o
(°C)
T a , w i
(°C)
T a , w o
(°C)
m ˙
(kg/min)
X
(kg/kg)
Q ˙ e
(kW)
COP
(dim)
189.587.720.523.119.717.718.222.60.70.51.50.6
292.690.322.224.421.619.619.823.70.60.51.40.5
393.191.224.325.721.420.122.025.50.50.40.90.4
4105.0102.726.228.620.118.323.527.90.60.41.30.5
597.495.828.329.222.621.625.629.00.60.40.80.4
6102.0100.130.331.525.123.727.431.10.60.40.90.4
7105.0103.332.333.523.822.129.332.90.60.51.10.5
Disclaimer/Publisher’s Note: The statements, opinions and data contained in all publications are solely those of the individual author(s) and contributor(s) and not of MDPI and/or the editor(s). MDPI and/or the editor(s) disclaim responsibility for any injury to people or property resulting from any ideas, methods, instructions or products referred to in the content.

Share and Cite

MDPI and ACS Style

Cruz-Jacobo, U.; Conde-Gutiérrez, R.A.; Rivera, W.; Colorado, D.; Jiménez-García, J.C. Optimization of an NH3-H2O Absorption Cooling System Using an Inverted Multivariate Function with Neural Networks and PSO. Processes 2026, 14, 177. https://doi.org/10.3390/pr14010177

AMA Style

Cruz-Jacobo U, Conde-Gutiérrez RA, Rivera W, Colorado D, Jiménez-García JC. Optimization of an NH3-H2O Absorption Cooling System Using an Inverted Multivariate Function with Neural Networks and PSO. Processes. 2026; 14(1):177. https://doi.org/10.3390/pr14010177

Chicago/Turabian Style

Cruz-Jacobo, Ulises, Roberto Agustin Conde-Gutiérrez, Wilfrido Rivera, Darío Colorado, and José Camilo Jiménez-García. 2026. "Optimization of an NH3-H2O Absorption Cooling System Using an Inverted Multivariate Function with Neural Networks and PSO" Processes 14, no. 1: 177. https://doi.org/10.3390/pr14010177

APA Style

Cruz-Jacobo, U., Conde-Gutiérrez, R. A., Rivera, W., Colorado, D., & Jiménez-García, J. C. (2026). Optimization of an NH3-H2O Absorption Cooling System Using an Inverted Multivariate Function with Neural Networks and PSO. Processes, 14(1), 177. https://doi.org/10.3390/pr14010177

Note that from the first issue of 2016, this journal uses article numbers instead of page numbers. See further details here.

Article Metrics

Back to TopTop