Sign in to use this feature.

Years

Between: -

Subjects

remove_circle_outline
remove_circle_outline
remove_circle_outline
remove_circle_outline
remove_circle_outline
remove_circle_outline
remove_circle_outline
remove_circle_outline

Journals

Article Types

Countries / Regions

Search Results (141)

Search Parameters:
Keywords = Tent chaotic mapping

Order results
Result details
Results per page
Select all
Export citation of selected articles as:
31 pages, 7912 KB  
Article
A FIG-IWOA-BiGRU Model for Bus Passenger Flow Fluctuation Trend and Spatial Prediction
by Jie Zhang, Qingling He, Xiaojuan Lu, Shungen Xiao and Ning Wang
Mathematics 2025, 13(19), 3204; https://doi.org/10.3390/math13193204 - 6 Oct 2025
Viewed by 216
Abstract
To capture bus passenger flow fluctuations and address the problems of slow convergence and high error in machine learning parameter optimization, this paper develops an improved Whale Optimization Algorithm (IWOA) integrated with a Bidirectional Gated Recurrent Unit (BiGRU). First, a Logistic–Tent chaotic mapping [...] Read more.
To capture bus passenger flow fluctuations and address the problems of slow convergence and high error in machine learning parameter optimization, this paper develops an improved Whale Optimization Algorithm (IWOA) integrated with a Bidirectional Gated Recurrent Unit (BiGRU). First, a Logistic–Tent chaotic mapping is introduced to generate a diverse and high-quality initial population. Second, a hybrid mechanism combining elite opposition-based learning and Cauchy mutation enhances population diversity and reduces premature convergence. Third, a cosine-based adaptive convergence factor and inertia weight strategy improve the balance between global exploration and local exploitation. Based on the correlation analysis between bus passenger flow and weather condition data in Harbin, and combined with the fluctuation characteristics of bus passenger flow, the data were divided into windows with a 7-day weekly cycle and processed by fuzzy information granulation to obtain three groups of fuzzy granulated window data, namely LOW, R, and UP, representing the fluctuation trend and spatial characteristics of bus passenger flow. The IWOA was employed to optimize and solve parameters such as the hidden layer weights and bias vectors of the BiGRU, thereby constructing a bus passenger flow fluctuation trend and spatial prediction model based on FIG-IWOA-BiGRU. Simulation experiments with 21 benchmark functions and real bus data verified its effectiveness. Results show that IWOA significantly improves optimization accuracy and convergence speed. For bus passenger flow forecasting, the average MAE, RMSE, and MAPE of LOW, R, and UP data are 2915, 3075, and 8.1%, representing improvements over existing classical models. The findings provide reliable decision support for bus scheduling and passenger travel planning. Full article
Show Figures

Figure 1

35 pages, 10740 KB  
Article
Contextual Real-Time Optimization on FPGA by Dynamic Selection of Chaotic Maps and Adaptive Metaheuristics
by Rabab Ouchker, Hamza Tahiri, Ismail Mchichou, Mohamed Amine Tahiri, Hicham Amakdouf and Mhamed Sayyouri
Appl. Sci. 2025, 15(19), 10695; https://doi.org/10.3390/app151910695 - 3 Oct 2025
Viewed by 354
Abstract
In dynamic and information-rich contexts, systems must be capable of making instantaneous, context-aware decisions. Such scenarios require optimization methods that are both fast and flexible. This paper introduces an innovative hardware-based intelligent optimization framework, deployed on FPGAs, designed to support autonomous decisions in [...] Read more.
In dynamic and information-rich contexts, systems must be capable of making instantaneous, context-aware decisions. Such scenarios require optimization methods that are both fast and flexible. This paper introduces an innovative hardware-based intelligent optimization framework, deployed on FPGAs, designed to support autonomous decisions in real-time systems. In contrast to conventional methods based on a single chaotic map, our scheme brings together six separate chaotic generators in simultaneous operation, orchestrated by an adaptive voting system based on past results. The system, in conjunction with the Secretary Bird Optimization Algorithm (SBOA), constantly adjusts its optimization approach according to the changing profile of the objective function. This delivers first-rate, timely solutions with improved convergence, resistance to local minima, and a high degree of adaptability to a variety of decision-making contexts. Simulations carried out on reference standards and engineering problems have demonstrated the scalability, responsiveness, and efficiency of the proposed model. These characteristics make it particularly suitable for use in embedded intelligence applications in sectors such as intelligent production, robotics, and IoT-based infrastructures. The suggested solution was tested using post-synthesis simulations on Vivado 2022.2 and experimented on three concrete engineering challenges: welded beam design, pressure equipment design, and tension/compression spring refinement. In each situation, the adaptive selection process dynamically determined the most suitable chaotic map, such as the logistics map for the Welded Beam Design Problem (WBDP) and the Tent map for the Pressure Vessel Design Problem (PVDP). This led to ideal results that exceed both conventional static methods and recent references in the literature. The post-synthesis results on the Nexys 4 DDR (Artix-7 XC7A100T, Digilent Inc., Pullman, WA, USA) show that the initial Q16.16 implementation exceeded the device resources (128% LUTs and 100% DSPs), whereas the optimized Q4.8 representation achieved feasible deployment with 80% LUT utilization, 72% DSP usage, and 3% FF occupancy. This adjustment reduced resource consumption by more than 25% while maintaining sufficient computational accuracy. Full article
Show Figures

Figure 1

21 pages, 4360 KB  
Article
Chaos-Enhanced Harris Hawks Optimizer for Cascade Reservoir Operation with Ecological Flow Similarity
by Zhengyang Tang, Shuai Liu, Hui Qin, Yongchuan Zhang, Xin Zhu, Xiaolin Chen and Pingan Ren
Sustainability 2025, 17(19), 8616; https://doi.org/10.3390/su17198616 - 25 Sep 2025
Viewed by 244
Abstract
In the pursuit of sustainable development, optimizing water resources management while maintaining ecological balance is crucial. This study introduces a Chaos-enhanced Harris Hawks Optimizer (CEHHO) aimed at optimizing natural flow patterns in cascade reservoirs. First, an ecological scheduling model considering ensuring guaranteed output [...] Read more.
In the pursuit of sustainable development, optimizing water resources management while maintaining ecological balance is crucial. This study introduces a Chaos-enhanced Harris Hawks Optimizer (CEHHO) aimed at optimizing natural flow patterns in cascade reservoirs. First, an ecological scheduling model considering ensuring guaranteed output is established based on the similarity of ecological flows. Subsequently, the CEHHO algorithm is proposed, which uses tilted skew chaos mapping for population initialization, improving the quality of the initial population. In the exploration phase, an adaptive strategy enhances the efficiency of group search algorithms, enabling effective navigation of the complex solution space. A random difference mutation strategy, combined with the Q-learning algorithm, mitigates premature convergence and maintains algorithmic diversity. Comparative analysis with the existing technology under different typical hydrological frequency shows that the search accuracy and convergence efficiency of the proposed method are significantly improved. Under the guaranteed output limit of 1000 MW, the proposed method enhances the optimal, median, mean, and worst values by 293.92, 493.23, 422.14, and 381.15, respectively, compared to the HHO. Furthermore, the results of the multi-purpose guaranteed output scenario highlight the superior detection and exploitation capabilities of this algorithm. These findings highlight the great potential of the proposed method for practical engineering applications, providing a reliable tool for optimizing water resources management while maintaining ecological balance. Full article
(This article belongs to the Section Energy Sustainability)
Show Figures

Figure 1

25 pages, 2551 KB  
Article
Optimal Low-Carbon Economic Dispatch Strategy for Active Distribution Networks with Participation of Multi-Flexible Loads
by Xu Yao, Kun Zhang, Chenghui Liu, Taipeng Zhu, Fangfang Zhou, Jiezhang Li and Chong Liu
Processes 2025, 13(9), 2972; https://doi.org/10.3390/pr13092972 - 18 Sep 2025
Viewed by 342
Abstract
Optimization dispatch with flexible load participation in new power systems significantly enhances renewable energy accommodation, though the potential of flexible loads remains underexploited. To improve renewable utilization efficiency, promote wind/PV consumption and reduce carbon emissions, this paper establishes a low-carbon economic optimization dispatch [...] Read more.
Optimization dispatch with flexible load participation in new power systems significantly enhances renewable energy accommodation, though the potential of flexible loads remains underexploited. To improve renewable utilization efficiency, promote wind/PV consumption and reduce carbon emissions, this paper establishes a low-carbon economic optimization dispatch model for active distribution networks incorporating flexible loads and tiered carbon trading. First, a hybrid SSA (Sparrow Search Algorithm)–CNN-LSTM model is adopted for accurate renewable generation forecasting. Meanwhile, multi-type flexible loads are categorized into shiftable, transferable and reducible loads based on response characteristics, with tiered carbon trading mechanism introduced to achieve low-carbon operation through price incentives that guide load-side participation while avoiding privacy leakage from direct control. Considering the non-convex nonlinear characteristics of the dispatch model, an improved Beluga Whale Optimization (BWO) algorithm is developed. To address the diminished solution diversity and precision in conventional BWO evolution, Tent chaotic mapping is introduced to resolve initial parameter sensitivity. Finally, modified IEEE-33 bus system simulations demonstrate the method’s validity and feasibility. Full article
(This article belongs to the Special Issue Applications of Smart Microgrids in Renewable Energy Development)
Show Figures

Figure 1

22 pages, 580 KB  
Article
Fuzzy Classifier Based on Mamdani Inference and Statistical Features of the Target Population
by Miguel Antonio Caraveo-Cacep, Rubén Vázquez-Medina and Antonio Hernández Zavala
Modelling 2025, 6(3), 106; https://doi.org/10.3390/modelling6030106 - 18 Sep 2025
Viewed by 426
Abstract
Classifying study objects into groups is facilitated by fuzzy classifiers based on a set of rules and membership functions. Typically, the characteristics of the study objects are used to establish the criteria for classification. This work arises from the need to design fuzzy [...] Read more.
Classifying study objects into groups is facilitated by fuzzy classifiers based on a set of rules and membership functions. Typically, the characteristics of the study objects are used to establish the criteria for classification. This work arises from the need to design fuzzy classifiers in contexts where real data is scarce or highly random, proposing a design based on statistics and chaotic maps that simplifies the design process. This study introduces the development of a fuzzy classifier, assuming that three features of the population to be classified are random variables. A Mamdani fuzzy inference system and three pseudorandom number generators based on one-dimensional chaotic maps are utilized to achieve this. The logistic, Bernoulli, and tent chaotic maps are implemented to emulate the random features of the target population, and their statistical distribution functions serve as input to the fuzzy inference system. Four experimental tests were conducted to demonstrate the functionality of the proposed classifier. The results show that it is possible to achieve a symmetric and robust classification through simple adjustments to membership functions, without the need for supervised training, which represents a significant methodological contribution, especially because this indicates that designers with minimal experience can build effective classifiers in just a few steps. Real applications of the proposed design may focus on the classification of biomedical signals (sEMG), network traffic, and personalized medical assistance systems, where data exhibits high variability and randomness. Full article
Show Figures

Graphical abstract

28 pages, 5802 KB  
Article
An Autonomous Operation Path Planning Method for Wheat Planter Based on Improved Particle Swarm Algorithm
by Shuangshuang Du, Yunjie Zhao, Yongqiang Tian and Taihong Zhang
Sensors 2025, 25(17), 5468; https://doi.org/10.3390/s25175468 - 3 Sep 2025
Viewed by 660
Abstract
To address the issues of low efficiency, insufficient coverage, and high energy consumption in wheat sowing path planning for large-scale irregular farmland, this study proposes an improved hybrid particle swarm optimization algorithm (TLG-PSO) for autonomous operational path planning. Building upon the standard PSO, [...] Read more.
To address the issues of low efficiency, insufficient coverage, and high energy consumption in wheat sowing path planning for large-scale irregular farmland, this study proposes an improved hybrid particle swarm optimization algorithm (TLG-PSO) for autonomous operational path planning. Building upon the standard PSO, the proposed method introduces a Tent chaotic mapping initialization mechanism, a Logistic-based dynamic inertia weight adjustment strategy, and adaptive Gaussian perturbation optimization to achieve precise control of the agricultural machinery’s driving orientation angle. A comprehensive path planning model is constructed with the objectives of minimizing the effective operation path length, reducing turning frequency, and maximizing coverage rate. Furthermore, cubic Bézier curves are employed for path smoothing, effectively controlling path curvature and ensuring the safety and stability of agricultural operations. The simulation experiment results demonstrate that the TLG-PSO algorithm achieved exceptional full-coverage operation performance across four categories of typical test fields. Compared to conventional fixed-direction path planning strategies, the algorithm reduced average total path length by 6228 m, improved coverage rate by 1.31%, achieved average labor savings of 96.32%, and decreased energy consumption by 6.45%. In large-scale comprehensive testing encompassing 1–27 field plots, the proposed algorithm reduced average total path length by 8472 m (a 5.45% decrease) and achieved average energy savings of 44.21 kW (a 5.48% reduction rate). Comparative experiments with mainstream intelligent optimization algorithms, including GA, ACO, PSO, BreedPSO, and SecPSO, revealed that TLG-PSO reduced path length by 0.16%–0.74% and decreased energy consumption by 0.53%–2.47%. It is worth noting that for large-scale field operations spanning hundreds of acres, even an approximately 1% path reduction translates to substantial fuel and operational time savings, which holds significant practical implications for large-scale agricultural production. Furthermore, TLG-PSO demonstrated exceptional performance in terms of algorithm convergence speed and computational efficiency. The improved TLG-PSO algorithm provides a feasible and efficient solution for autonomous operation of large-scale agricultural machinery. Full article
(This article belongs to the Special Issue Robotic Systems for Future Farming)
Show Figures

Figure 1

23 pages, 1377 KB  
Article
High-Value Patents Recognition with Random Forest and Enhanced Fire Hawk Optimization Algorithm
by Xiaona Yao, Huijia Li and Sili Wang
Biomimetics 2025, 10(9), 561; https://doi.org/10.3390/biomimetics10090561 - 23 Aug 2025
Viewed by 645
Abstract
High-value patents are a key indicator of new product development, the emergence of innovative technology, and a source of innovation incentives. Multiple studies have shown that patent value exhibits a significantly skewed distribution, with only about 10% of patents having high value. Identifying [...] Read more.
High-value patents are a key indicator of new product development, the emergence of innovative technology, and a source of innovation incentives. Multiple studies have shown that patent value exhibits a significantly skewed distribution, with only about 10% of patents having high value. Identifying high-value patents from a large volume of patent data in advance has become a crucial problem that needs to be addressed urgently. However, current machine learning methods often rely on manual hyperparameter tuning, which is time-consuming and prone to suboptimal results. Existing optimization algorithms also suffer from slow convergence and local optima issues, limiting their effectiveness on complex patent datasets. In this paper, machine learning and intelligent optimization algorithms are combined to process and analyze the patent data. The Fire Hawk Optimization Algorithm (FHO) is a novel intelligence algorithm suggested in recent years, inspired by the process in nature where Fire Hawks capture prey by setting fires. This paper firstly proposes the Enhanced Fire Hawk Optimizer (EFHO), which combines four strategies, namely adaptive tent chaotic mapping, hunting prey, adding the inertial weight, and enhanced flee strategy to address the weakness of FHO development. Benchmark tests demonstrate EFHO’s superior convergence speed, accuracy, and robustness across standard optimization benchmarks. As a representative real-world application, EFHO is employed to optimize Random Forest hyperparameters for high-value patent recognition. While other intelligent optimizers could be applied, EFHO effectively overcomes common issues like slow convergence and local optima trapping. Compared to other classification methods, the EFHO-optimized Random Forest achieves superior accuracy and classification stability. This study fills a research gap in effective hyperparameter tuning for patent recognition and demonstrates EFHO’s practical value on real-world patent datasets. Full article
(This article belongs to the Special Issue Biomimicry for Optimization, Control, and Automation: 3rd Edition)
Show Figures

Figure 1

26 pages, 8071 KB  
Article
Path Planning for Full Coverage of Farmland Operations in Hilly and Mountainous Areas Based on the Dung Beetle Optimization Algorithm
by Xinlan Lin, Jin Yan, Huamin Du and Fujun Zhou
Appl. Sci. 2025, 15(16), 9157; https://doi.org/10.3390/app15169157 - 20 Aug 2025
Viewed by 479
Abstract
This study aims to address the issues of full-coverage path planning in single fields and optimal traversal order in multi-fields in hilly, mountainous areas. To this end, it proposes a full-coverage path planning method based on an improved DBO algorithm. Using the digital [...] Read more.
This study aims to address the issues of full-coverage path planning in single fields and optimal traversal order in multi-fields in hilly, mountainous areas. To this end, it proposes a full-coverage path planning method based on an improved DBO algorithm. Using the digital elevation model to construct the farmland model, the energy consumption model is introduced into single-field planning to determine the optimal operating direction angle for full-coverage path planning with optimal energy consumption. To address the issues of the traditional DBO algorithm easily falling into a local optimum and the lack of information interaction among populations, a multi-strategy improved DBO algorithm is proposed to determine the optimal traversal sequence for multiple fields. Tent chaotic mapping is used to initialize the population and the Osprey optimization algorithm and adaptive T-perturbation distribution strategy are integrated to enhance the foraging behavior of small dung beetles. This gives the algorithm good global exploration capabilities in the initial stage and strong local exploitation capabilities in the later stage. The simulation results show that the total energy consumption of energy-optimal path planning is 5.62 × 104 J, which is 19.93% less than the optimal path length. The traversal order solved by the improved DBO algorithm saves 9.2% more energy than the original algorithm, demonstrating a significant energy-saving effect. Full article
Show Figures

Figure 1

16 pages, 1734 KB  
Article
Image Encryption Using Chaotic Maps: Development, Application, and Analysis
by Alexandru Dinu and Madalin Frunzete
Mathematics 2025, 13(16), 2588; https://doi.org/10.3390/math13162588 - 13 Aug 2025
Cited by 2 | Viewed by 1171
Abstract
Image encryption plays a critical role in ensuring the confidentiality and integrity of visual information, particularly in applications involving secure transmission and storage. While traditional cryptographic algorithms like AES are widely used, they may not fully exploit the properties of image data, such [...] Read more.
Image encryption plays a critical role in ensuring the confidentiality and integrity of visual information, particularly in applications involving secure transmission and storage. While traditional cryptographic algorithms like AES are widely used, they may not fully exploit the properties of image data, such as high redundancy and spatial correlation. In recent years, chaotic systems have emerged as promising candidates for lightweight and secure encryption schemes, but comprehensive comparisons between different chaotic maps and standardized methods are still lacking. This study investigates the use of three classical chaotic systems—Henon, tent, and logistic maps—for image encryption, and evaluates their performance both visually and statistically. The research is motivated by the need to assess whether these well-known chaotic systems, when used with proper statistical sampling, can match or surpass conventional methods in terms of encryption robustness and complexity. We propose a key generation method based on chaotic iterations, statistically filtered for independence, and apply it to a one-time-pad-like encryption scheme. The encryption quality is validated over a dataset of 100 JPEG images of size 512×512, using multiple evaluation metrics, including MSE, PSNR, NPCR, EQ, and UACI. Results are benchmarked against the AES algorithm to ensure interpretability and reproducibility. Our findings reveal that while the AES algorithm remains the fastest and most uniform in histogram flattening, certain chaotic systems, such as the tent and logistic maps, offer comparable or superior results in visual encryption quality and pixel-level unpredictability. The analysis highlights that visual encryption performance does not always align with statistical metrics, underlining the importance of multi-faceted evaluation. These results contribute to the growing body of research in chaos-based image encryption and provide practical guidelines for selecting encryption schemes tailored to specific application requirements, such as efficiency, visual secrecy, or implementation simplicity. Full article
Show Figures

Figure 1

20 pages, 1732 KB  
Article
Transformer Fault Diagnosis Using Hybrid Feature Selection and Improved Black-Winged Kite Optimized SVM
by Jifang Li and Feiyang Wang
Electronics 2025, 14(16), 3160; https://doi.org/10.3390/electronics14163160 - 8 Aug 2025
Cited by 1 | Viewed by 493
Abstract
In order to solve the problems of difficulty in extracting effective features from dissolved gases in transformer oil and limited recognition accuracy of the fault diagnosis model, a feature selection and improved black-winged kite algorithm (IBKA) optimized support vector machine (SVM) transformer fault [...] Read more.
In order to solve the problems of difficulty in extracting effective features from dissolved gases in transformer oil and limited recognition accuracy of the fault diagnosis model, a feature selection and improved black-winged kite algorithm (IBKA) optimized support vector machine (SVM) transformer fault diagnosis method based on dissolved gas analysis (DGA) in oil is proposed. Firstly, a hybrid feature selection method is used to perform quantitative analysis on the constructed 20-dimensional fault candidate feature set, thereby achieving the selection of feature variables. Then, the Tent chaotic mapping, the Gompertz growth model, and the Morlet wavelet variation strategy are introduced to improve the Black-Winged Kite Algorithm (BKA) to enhance its optimization searching performance; then, the IBKA is used to optimize the hyperparameters such as kernel function and penalty factor of SVM to improve the accuracy of model diagnosis results. Finally, case analysis based on 410 sets of IEC TC10 transformer fault data shows that the fault diagnosis accuracy of the proposed method reaches 98.37%, which verifies the effectiveness of the proposed method for classifying faults according to the IEC TC10 method. Full article
Show Figures

Figure 1

26 pages, 12108 KB  
Article
Image Encryption Algorithm Based on an Improved Tent Map and Dynamic DNA Coding
by Wei Zhou, Xianwei Li and Zhenghua Xin
Entropy 2025, 27(8), 796; https://doi.org/10.3390/e27080796 - 26 Jul 2025
Viewed by 707
Abstract
As multimedia technologies evolve, digital images have become increasingly prevalent across various fields, highlighting an urgent demand for robust image privacy and security mechanisms. However, existing image encryption algorithms (IEAs) still face limitations in balancing strong security, real-time performance, and computational efficiency. Therefore, [...] Read more.
As multimedia technologies evolve, digital images have become increasingly prevalent across various fields, highlighting an urgent demand for robust image privacy and security mechanisms. However, existing image encryption algorithms (IEAs) still face limitations in balancing strong security, real-time performance, and computational efficiency. Therefore, we proposes a new IEA that integrates an improved chaotic map (Tent map), an improved Zigzag transform, and dynamic DNA coding. Firstly, a pseudo-wavelet transform (PWT) is applied to plain images to produce four sub-images I1, I2, I3, and I4. Secondly, the improved Zigzag transform and its three variants are used to rearrange the sub-image I1, and then the scrambled sub-image is diffused using XOR operation. Thirdly, an inverse pseudo-wavelet transform (IPWT) is employed on the four sub-images to reconstruct the image, and then the reconstructed image is encoded into a DNA sequence utilizing dynamic DNA encoding. Finally, the DNA sequence is scrambled and diffused employing DNA-level index scrambling and dynamic DNA operations. The experimental results and performance evaluations, including chaotic performance evaluation and comprehensive security analysis, demonstrate that our IEA achieves high key sensitivity, low correlation, excellent entropy, and strong resistance to common attacks. This highlights its potential for deployment in real-time, high-security image cryptosystems, especially in fields such as medical image security and social media privacy. Full article
(This article belongs to the Section Multidisciplinary Applications)
Show Figures

Figure 1

19 pages, 4037 KB  
Article
A Rolling Bearing Fault Diagnosis Method Based on Wild Horse Optimizer-Enhanced VMD and Improved GoogLeNet
by Xiaoliang He, Feng Zhao, Nianyun Song, Zepeng Liu and Libing Cao
Sensors 2025, 25(14), 4421; https://doi.org/10.3390/s25144421 - 16 Jul 2025
Viewed by 553
Abstract
To address the challenges of weak fault features and strong non-stationarity in early-stage vibration signals, this study proposes a novel fault diagnosis method combining enhanced variational mode decomposition (VMD) with a structurally improved GoogLeNet. Specifically, an improved wild horse optimizer (IWHO) with tent [...] Read more.
To address the challenges of weak fault features and strong non-stationarity in early-stage vibration signals, this study proposes a novel fault diagnosis method combining enhanced variational mode decomposition (VMD) with a structurally improved GoogLeNet. Specifically, an improved wild horse optimizer (IWHO) with tent chaotic mapping is employed to automatically optimize critical VMD parameters, including the number of modes K and the penalty factor α, enabling precise decomposition of non-stationary signals to extract weak fault features. The vibration signal is decomposed, and the top five intrinsic mode functions (IMFs) are selected based on the kurtosis criterion. Time–frequency features are then extracted from these IMFs and input into a modified GoogLeNet classifier. The GoogLeNet structure is improved by replacing standard n × n convolution kernels with cascaded 1 × n and n × 1 kernels, and by substituting the ReLU activation function with a parameterized TReLU function to enhance adaptability and convergence. Experimental results on two public rolling bearing datasets demonstrate that the proposed method effectively handles non-stationary signals, achieving 99.17% accuracy across four fault types and maintaining over 95.80% accuracy under noisy conditions. Full article
Show Figures

Figure 1

26 pages, 4750 KB  
Article
Service Composition and Optimal Selection for Industrial Software Integration with QoS and Availability
by Yangzhen Cao, Shanhui Liu, Chaoyang Li, Hongen Yang and Yuanyang Wang
Appl. Sci. 2025, 15(14), 7754; https://doi.org/10.3390/app15147754 - 10 Jul 2025
Viewed by 412
Abstract
To address the growing demand for industrial software in the digital transformation of small and medium-sized enterprises (SMEs) in the manufacturing sector, and to ensure the stable integration and operation of multi-source heterogeneous industrial software under complex conditions—such as heterogeneous compatibility, component dependencies, [...] Read more.
To address the growing demand for industrial software in the digital transformation of small and medium-sized enterprises (SMEs) in the manufacturing sector, and to ensure the stable integration and operation of multi-source heterogeneous industrial software under complex conditions—such as heterogeneous compatibility, component dependencies, and uncertainty disturbances—this study established a comprehensive evaluation index system for service composition and optimal selection (SCOS). The system incorporated key criteria including service time, service cost, service reputation, service delivery quality, and availability. Based on this, a bi-objective SCOS model was established with the goal of maximizing both quality of service (QoS) and availability. To efficiently solve the proposed model, a hybrid enhanced multi-objective Gray Wolf Optimizer (HEMOGWO) was developed. This algorithm integrated Tent chaotic mapping and a Levy flight-enhanced differential evolution (DE) strategy. Extensive experiments were conducted, including performance evaluation on 17 benchmark functions and case studies involving nine industrial software integration scenarios of varying scales. Comparative results against state-of-the-art, multi-objective, optimization algorithms—such as MOGWO, MOEA/D_DE, MOPSO, and NSGA-III—demonstrate the effectiveness and feasibility of the proposed approach. Full article
Show Figures

Figure 1

22 pages, 5363 KB  
Article
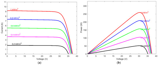
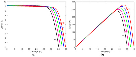
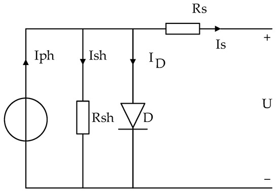
Research on Maximum Power Point Tracking Based on an Improved Harris Hawks Optimization Algorithm
by Jinming Rong, Shaozhen Li and Shitao Xiang
Electronics 2025, 14(11), 2157; https://doi.org/10.3390/electronics14112157 - 26 May 2025
Viewed by 589
Abstract
This paper proposes an improved Harris Hawks Optimization (IHHO) algorithm to enhance maximum power point tracking (MPPT) performance in photovoltaic (PV) systems operating under various conditions. The IHHO introduces Tent chaotic mapping to improve population diversity and avoid premature convergence, a nonlinear decreasing [...] Read more.
This paper proposes an improved Harris Hawks Optimization (IHHO) algorithm to enhance maximum power point tracking (MPPT) performance in photovoltaic (PV) systems operating under various conditions. The IHHO introduces Tent chaotic mapping to improve population diversity and avoid premature convergence, a nonlinear decreasing inertia weight to dynamically balance exploration and exploitation, and a hybrid perturbation mechanism based on differential evolution to enhance local refinement. Additionally, a dynamic step-size adjustment and an escape energy mechanism responsive to irradiance changes improve real-time tracking adaptability. Parallel computing is employed to accelerate fitness evaluations and improve computational efficiency. Simulation results under multiple static and dynamic shading scenarios demonstrate that the proposed IHHO algorithm consistently achieves faster convergence, higher tracking accuracy, and stronger robustness than conventional methods such as particle swarm optimization (PSO) and Jaya. These results confirm the effectiveness of IHHO for reliable MPPT control in practical PV applications under diverse and challenging environmental conditions. Full article
Show Figures

Figure 1

26 pages, 11136 KB  
Article
Composition Optimization of Coating Machine Oven Manufacturing Services Based on Improved Sparrow Search Algorithm
by Zhenjie Gao, Shanhui Liu, Langze Zhu, Chaoyang Li, Yangzhen Cao and Gan Shi
Coatings 2025, 15(6), 636; https://doi.org/10.3390/coatings15060636 - 25 May 2025
Viewed by 515
Abstract
Aiming at the problem of the low collaborative efficiency of outsourced processing of coating machine oven parts under the network collaborative manufacturing mode, this paper proposes a composition optimization method for coating machine oven-manufacturing services based on an improved sparrow search algorithm. We [...] Read more.
Aiming at the problem of the low collaborative efficiency of outsourced processing of coating machine oven parts under the network collaborative manufacturing mode, this paper proposes a composition optimization method for coating machine oven-manufacturing services based on an improved sparrow search algorithm. We establish a framework for the service composition optimization problem on the oven manufacturing service platform; complete an evaluation of the manufacturing service quality of service indicators (QoS) and energy consumption indicators; construct a dual-objective service composition optimization mathematical model considering the QoS and energy consumption indicators; and embed the Tent chaotic mapping, elite reverse learning, and Lévy flight improvement differential evolution strategies into the sparrow search algorithm. We named this algorithm the LCSSA_DE algorithm, using it to solve the mathematical model of the manufacturing service combination problem of coating machine ovens, and obtain the optimal manufacturing service combination recommendation scheme. The experimental results demonstrate that this algorithm can effectively improve the convergence speed compared with the suboptimal multi-objective artificial vulture optimization algorithm (MOAVOA), with the average convergence time improved by 7.26%, avoiding falling into the local optimum during the search, while 69%–77% of the test points are more in line with the preference criteria of the Pareto frontier, and can be adapted to the optimization of the coating machine oven manufacturing service composition optimization problem at different scales. Full article
(This article belongs to the Section Surface Characterization, Deposition and Modification)
Show Figures

Figure 1

Back to TopTop