Abstract
This paper proposes an improved Harris Hawks Optimization (IHHO) algorithm to enhance maximum power point tracking (MPPT) performance in photovoltaic (PV) systems operating under various conditions. The IHHO introduces Tent chaotic mapping to improve population diversity and avoid premature convergence, a nonlinear decreasing inertia weight to dynamically balance exploration and exploitation, and a hybrid perturbation mechanism based on differential evolution to enhance local refinement. Additionally, a dynamic step-size adjustment and an escape energy mechanism responsive to irradiance changes improve real-time tracking adaptability. Parallel computing is employed to accelerate fitness evaluations and improve computational efficiency. Simulation results under multiple static and dynamic shading scenarios demonstrate that the proposed IHHO algorithm consistently achieves faster convergence, higher tracking accuracy, and stronger robustness than conventional methods such as particle swarm optimization (PSO) and Jaya. These results confirm the effectiveness of IHHO for reliable MPPT control in practical PV applications under diverse and challenging environmental conditions.
1. Introduction
Energy is hailed as the lifeblood of modern industrial society and is an indispensable foundation for daily human existence [1,2]. The prolonged overconsumption of conventional fossil fuels [3] has not only resulted in severe environmental contamination, but also raised sustainability concerns due to their finite reserves and non-renewable nature. Against the backdrop of achieving dual carbon goals and addressing energy security challenges, the comprehensive development and utilization of renewable energy resources [4,5] has emerged as a global consensus. Among these alternatives, solar energy has demonstrated the most rapid advancement in renewable energy applications [6,7]. With continuous technological iterations in photovoltaic systems and sustained cost reductions, solar photovoltaic power generation has evolved into a highly competitive emerging electricity source. In photovoltaic power generation systems, enhancing power conversion efficiency and achieving precise MPPT [8] have consistently constituted the central research focus in this domain. The output power characteristics of photovoltaic systems exhibit significant dependence on environmental factors, particularly under partial shading conditions where the power–voltage (P-V) characteristic curve of photovoltaic arrays typically demonstrates multiple peak phenomena. In such scenarios, traditional MPPT, such as perturbation and observation [9,10] and incremental conductance (INC) [11], although performing well under uniform illumination conditions, often converge to local optima in the presence of partial shading. This convergence hinders their ability to accurately locate the global maximum power point. Consequently, this limitation not only restricts the power generation efficiency of the system, but may also lead to prolonged power losses and energy wastage.
To address these challenges, researchers have developed a series of intelligent optimization algorithm-based improved MPPT strategies in recent years [12,13,14,15,16,17]. Notable examples include modified cuckoo search algorithms [18], butterfly optimization algorithms [19], and grey wolf optimization algorithms [20,21].
In particular, Ref. [22] introduced a fuzzy logic-based variable-step incremental conductance method, which enhances dynamic and steady-state performance, but suffers from complex parameter tuning. Building upon this foundation, Ref. [23] presented a distributed cuckoo search algorithm that improves global maximum power point (GMPP) tracking accuracy under partial shading, though its convergence is sensitive to initial parameters. The butterfly optimization algorithm in Ref. [24] shows good stability in real-world applications, but lacks responsiveness to environmental changes. Further developments include an extended grey wolf optimizer [25], which achieves fast convergence and minimal power oscillation under dynamic conditions, but involves increased parameter tuning and computational complexity. Ref. [26] proposed a Lévy flight-based fruit fly optimization algorithm that reduces the risk of local entrapment, but remains structurally complex. Ref. [27] highlights the potential of intelligent optimization in improving tracking accuracy, yet common issues, such as premature convergence and poor adaptability, persist. Ref. [28] proposed a hybrid PSO-based MPPT algorithm that combines conventional perturb-and-observe logic with particle swarm optimization, demonstrating improved convergence speed and enhanced adaptability to irradiance fluctuations. Similarly, Ref. [29] introduced variable step-size MPPT methods based on grey wolf optimization (GWO) and the whale optimization algorithm (WOA), showing significant improvements in tracking accuracy, ripple reduction, and power stability both in simulation and real-world experiments. However, despite the performance improvements achieved by these algorithms, studies have highlighted persistent limitations, such as complex parameter tuning, sensitivity to initial conditions, and structural complexity that restrict real-time deployment. These challenges are especially pronounced under dynamic and partially shaded conditions, where fast convergence and adaptability are critical. Therefore, there remains a need for MPPT strategies that are not only robust and accurate, but also computationally efficient and structurally streamlined.
To address these issues, this study proposes an IHHO algorithm that integrates several targeted enhancements. Specifically, Tent chaotic mapping is used to improve initial population diversity and mitigate premature convergence. A nonlinear decreasing inertia weight guides the global exploration phase, while differential evolution-based hybrid perturbation enhances local exploitation. An adaptive escape energy mechanism is introduced to improve responsiveness under changing irradiance. Although not part of the core algorithm structure, parallel computing is also employed during implementation to accelerate fitness evaluations. These improvements work in concert to achieve faster convergence, higher accuracy, and improved robustness under real-world conditions.
A comparative overview of selected representative algorithms is summarized in Table 1, outlining their advantages, limitations, and how they contrast with the proposed IHHO algorithm.
Table 1.
Comparison of representative MPPT optimization algorithms.
2. Photovoltaic Cell Output Characteristic Analysis
2.1. Mathematical Equivalent Model of Photovoltaic Cells
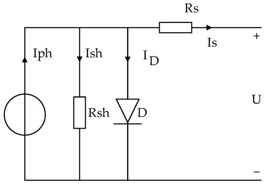
Photovoltaic cells are one of the core components of photovoltaic power generation systems. Among the various equivalent circuit models used for PV cells [30,31], the single-diode equivalent circuit model is widely adopted. A schematic diagram of this model is shown in Figure 1.
Figure 1.
Equivalent circuit diagram of a photovoltaic cell. : Current source current, : Anti-parallel diode, : Equivalent parallel resistance (Ω), : Reverse saturation current of the photovoltaic cell, : Equivalent series resistance (Ω).
The I-V characteristic equation of the photovoltaic cell is given by:
where represents the electron charge (1.6 × 10−19 C), denotes the reverse saturation current of the diode (A), is the diode ideality factor, represents the Boltzmann constant (K = 1.38 × J/K), and T is the absolute temperature of the photovoltaic cell (K). By simplifying the circuit model, an engineering–practical mathematical model for the photovoltaic cell is derived as follows:
where is the open-circuit voltage, is the short-circuit current, is the maximum power point voltage, and is the maximum power point current. These parameters are provided by the photovoltaic cell manufacturer.
In practical applications, the external environmental factors exert a significant influence on PV cells, making it inappropriate to consider the environmental conditions as constant. To enhance measurement accuracy and compensate for the impact of environmental variations, a calibration process is applied to the PV cells. The parameter settings for this calibration are presented in Table 2, ensuring the accuracy and reliability of the calibration process.
Table 2.
Preset parameter values for the photovoltaic (PV) cell.
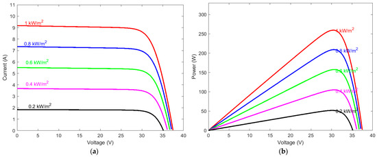
To comprehensively analyze the impact of external environmental conditions on the output characteristics of PV cells, this study establishes a set of specific experimental conditions. The experiment was conducted at a fixed ambient temperature of 25 °C, with irradiance levels set at 1000 W/m2, 800 W/m2, 600 W/m2, 400 W/m2, and 200 W/m2, respectively. Based on these conditions, the I-V and P-V characteristic curves of the PV cell under different irradiance levels were obtained through simulation. The results are presented in Figure 2, providing insights into the influence of irradiance variation on PV cell performance and serving as a theoretical basis for optimizing photovoltaic systems.
Figure 2.
Output characteristic curves under different irradiance conditions. (a) I-V; (b) P-V.
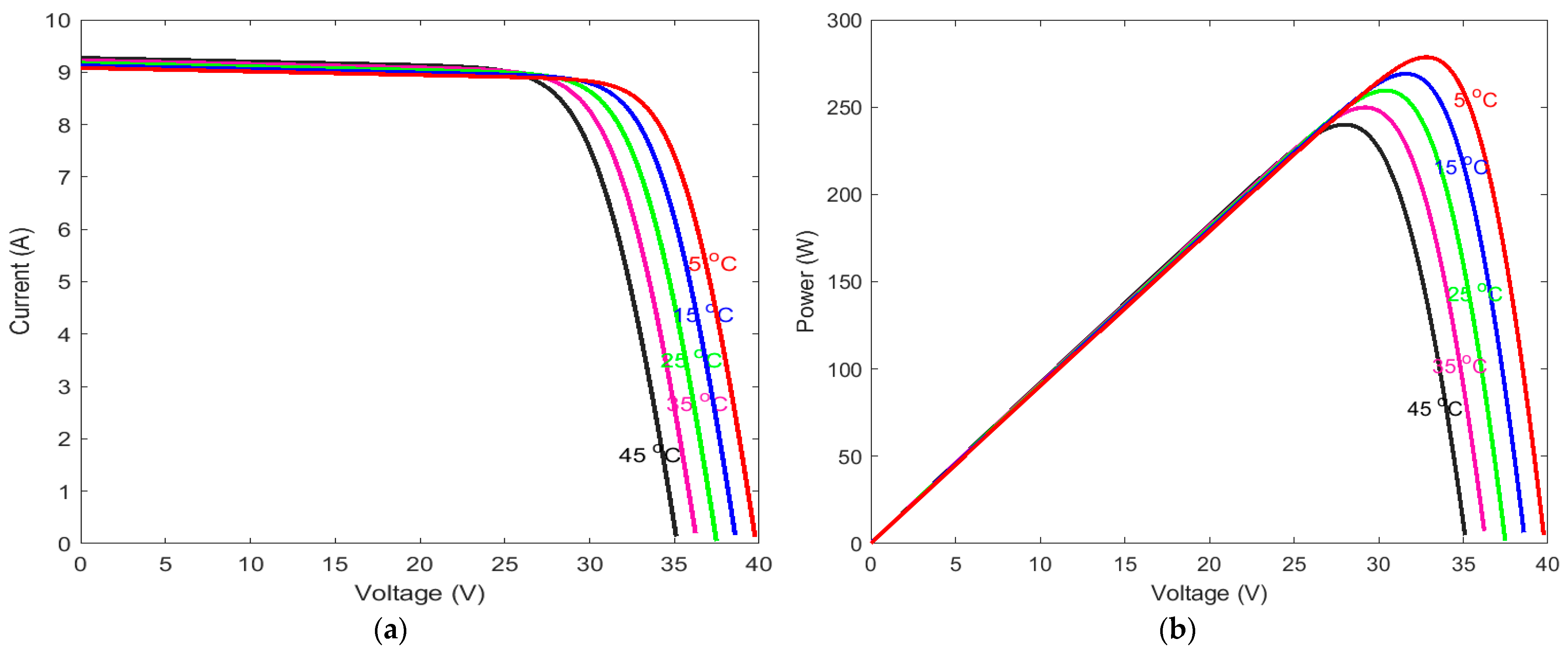
As illustrated in Figure 3a, when the temperature is maintained at 25 °C and the irradiance is 1000 W/m2, the MPP voltage () is 30.4 V, with an output power () of 260.22 W. When the irradiance decreases to 800 W/m2, the at MPP is 30.5 V, while decreases to 209.19 W.
Figure 3.
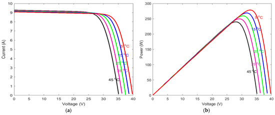
Output characteristic curves at different temperatures. (a) I-V; (b) P-V.
Figure 3 presents the P-V and I-V characteristics of the photovoltaic cell under a constant irradiance of 1000 W/m2. The ambient temperature is varied across five levels: 5 °C, 15 °C, 25 °C, 35 °C, and 45 °C.
As observed in Figure 3, with increasing temperature, the of the photovoltaic cell shifts left, and the voltage at the maximum power point also decreases, leading to a reduction in the overall maximum power output. However, compared with the effect of irradiance variation, the temperature change has a relatively smaller impact on the PV characteristics.
The results show that, under constant temperature conditions, increasing irradiance increases both the open-circuit voltage () and the short-circuit current (), which in turn increases the difference in MPP power. This indicates that irradiance has a more significant effect on the power output () of PV cells. In summary, irradiance exerts a stronger influence on the output characteristics of PV cells than temperature, making the analysis of PV cell performance under varying irradiance conditions particularly important.
2.2. Characteristic Curves of a Photovoltaic Array Under Partial Shading
Under partial shading conditions, the output power curve of a PV array typically exhibits a multi-peak phenomenon, which results from the non-uniform irradiation of PV modules. Such shading can occur due to various static or dynamic obstructions, including tree branches, neighboring buildings, chimneys, utility poles, and even localized debris, like bird droppings. These shading scenarios can be classified into typical patterns such as uniform shading, gradient shading, central or spot shading, and diagonal partial shading. Each of these patterns leads to distinct P-V behaviors due to differing irradiance levels across PV modules.
To effectively reflect real-world conditions, this study investigates a 3 × 1 PV array [32] and analyzes the impact of four different partial shading distributions on its output characteristics. Each scenario is carefully designed to represent a specific shading mode. For instance, uniform and gradient shading patterns mimic scenarios such as cloud cover or shadows cast by tall objects, while centralized shading simulates vertical obstructions like poles or narrow walls. A simulation model is developed using the MATLAB/Simulink platform to simulate and analyze the photovoltaic array’s P-U characteristic curve, aiming to examine the effects of partial shading on PV array performance. The structure of the 3 × 1 PV array, illustrating its series configuration, is shown in Figure 4.
Figure 4.
Series model of photovoltaic cell modules. Green solid arrows indicate the direction of current flow from each PV module and Black dashed arrows represent the direction of incoming shading effects from environmental factors such as leaf shading, cloudy weather, and building shadow.
In this study, four partial shading scenarios were carefully designed to evaluate the impact of different irradiance patterns on the performance of PV modules. Each scenario consists of three PV modules connected in series, with varying irradiance levels applied to simulate realistic outdoor shading conditions. As summarized in Table 3, Scenario 1 represents a heavily shaded condition, where all three modules receive reduced irradiance levels: PV1 at 800 W/m2, PV2 at 200 W/m2, and PV3 at 100 W/m2. This scenario mimics an overcast or complex shading environment, such as under tree canopies or near tall structures. Scenario 2 represents a gradient shading pattern: PV1 receives full sunlight at 1000 W/m2, PV2 receives partial shading at 600 W/m2, and PV3 is more heavily shaded at 200 W/m2. This configuration simulates fixed obstacles gradually covering the modules. In Scenario 3, PV1 and PV3 receive uniform full irradiance (1000 W/m2), while only PV2 is partially shaded at 600 W/m2, representing a typical central shading case, such as from a vertical obstruction. Scenario 4 is the ideal case with no shading, where all three modules operate under full irradiance at 1000 W/m2. These scenarios were constructed to capture a range of realistic partial shading conditions and to observe their effects on the power–voltage characteristics and GMPP behavior of the PV array. Their output characteristics are illustrated in Figure 5.
Table 3.
Four different irradiance distribution scenarios of the photovoltaic array.
Figure 5.
P-U characteristic curves under different irradiance levels.
Based on the photovoltaic array characteristic curves shown in Figure 5, it can be observed that, under ideal conditions without shading (Scenario 4), the P-V curve exhibits a single global peak. This indicates that the system can easily identify the MPP, thereby achieving optimal energy output. However, when partial shading occurs, as seen in Scenarios 1–3, multiple local maxima appear on the P-V curve due to the non-uniform distribution of solar irradiance across the series-connected PV modules. Each module generates a current according to its received irradiance, but in a series configuration, the overall current is constrained by the module with the lowest irradiance. This mismatch leads to electrical imbalance. To prevent reverse bias and potential damage in shaded modules, bypass diodes are typically used. When a module becomes significantly shaded, its bypass diode activates, effectively excluding the module from the power path. This results in voltage discontinuities and the formation of multiple power peaks on the P-V curve. Each local peak corresponds to a different configuration of active and bypassed modules. The number and height of these peaks depend on the shading pattern, the severity of irradiance differences, and the activation thresholds of the bypass diodes. Under such complex conditions, conventional MPPT algorithms such as P&O and INC may converge to a local maximum instead of the GMPP, significantly reducing the energy harvesting efficiency. Therefore, advanced global optimization techniques are often required to reliably track the true GMPP under partial shading scenarios.
To overcome this issue, intelligent algorithms with global search capabilities, such as genetic algorithms (GAs) and PSO, must be employed. These algorithms can escape local extrema and effectively locate the global optimal solution, ensuring that the photovoltaic system achieves maximum power output, even under complex environmental conditions. This is of significant importance for enhancing the overall operational efficiency of the system and maximizing long-term energy yield.
3. MPPT Control Strategy Based on the Improved Harris Hawks Optimization Algorithm
3.1. Mathematical Modeling of the MPPT Optimization Problem
In order to systematically analyze the MPPT problem, we reformulate it as a bounded global optimization task. This section defines the objective function, outlines practical constraints, and discusses the multimodal characteristics of the problem. Based on this formulation, we provide a rationale for adopting a metaheuristic strategy, particularly the IHHO algorithm, to effectively address these challenges.
3.1.1. Objective Function
In PV systems integrated with DC–DC converters, the output power of the system depends on the converter’s duty cycle , which determines the operating voltage of the PV array. The primary objective of MPPT is to identify the optimal duty cycle D* ∈ [0, 1] that maximizes the instantaneous output power , defined as the product of array voltage and current:
where and denote the PV array voltage and current corresponding to the converter’s duty cycle , respectively. Due to the highly nonlinear and dynamic characteristics of PV systems under varying environmental conditions, lacks a closed-form analytical expression and must be evaluated through numerical simulation or real-time system measurement. Thus, the MPPT task becomes a black-box optimization problem.
3.1.2. Constraints
The optimization process is subject to the following physical and operational constraints:
These constraints ensure that the duty cycle remains within the feasible range of the converter, and the electrical outputs remain physically meaningful. The optimization domain for is therefore a closed interval [0, 1], and the response surface is strongly influenced by nonlinear effects, such as irradiance-induced mismatches and bypass diode activation.
3.1.3. Problem Characteristics
The formulated MPPT optimization problem exhibits the following challenging properties:
Black-box nature: The function cannot be expressed in an explicit mathematical form; its evaluation requires simulation of a nonlinear system or real-time data acquisition.
Multimodality: Under partial shading conditions, the P-V curve of PV arrays may contain multiple local maxima, rendering conventional local search methods ineffective.
Non-differentiability: Due to system switching behaviors and model discontinuities (e.g., diode conduction transitions), the power curve is not differentiable, disqualifying gradient-based algorithms.
These characteristics classify the MPPT task as a bounded, multimodal, non-convex global optimization problem, consistent with the types of problems described by Kvasov et al. [33], who employed global optimization strategies for controller tuning in complex nonlinear systems.
3.1.4. Justification for Algorithm Selection
To effectively address the non-differentiable, multimodal, and black-box nature of the MPPT problem, a population-based metaheuristic optimization method is adopted in this study. Specifically, the HHO algorithm is selected due to its adaptive switching between exploration and exploitation phases and its demonstrated efficacy in handling high-dimensional, multimodal search spaces. Furthermore, the choice of the HHO algorithm in this study is motivated by its strong global search capability, adaptive transition between exploration and exploitation, and suitability for complex, multimodal optimization problems such as MPPT under partial shading conditions. Compared with other metaheuristics, HHO demonstrates greater robustness in avoiding local optima and faster convergence when tuned appropriately. The key contributions of this paper include: (1) the incorporation of Tent chaotic mapping to enhance population diversity, (2) a nonlinear decreasing inertia weight to improve dynamic balance, (3) a hybrid differential evolution-based perturbation to escape local optima, and (4) an adaptive escape energy mechanism that increases responsiveness to environmental changes. Together, these strategies significantly improve the tracking speed and accuracy under challenging conditions.
Nonetheless, the proposed IHHO algorithm introduces some computational complexity due to its hybrid components and parallel evaluation scheme, which may require more computational resources. Despite this, the trade-off is acceptable in high-accuracy MPPT applications, especially when real-time adaptability is critical.
3.2. Fundamental Principles
The Harris Hawks Optimization algorithm is a nature-inspired heuristic algorithm based on the cooperative hunting behavior of Harris hawks. It was proposed by Mirjalili et al. in 2019 [34]. This algorithm simulates the coordinated predation strategies of Harris hawks when hunting prey and is particularly suitable for solving various optimization problems. It has demonstrated exceptional performance in global optimization, especially for high-dimensional and multimodal functions.
The HHO algorithm simulates the searching and encircling behaviors of Harris hawks during hunting in nature. It approximates the global optimal solution through the interaction between the prey and the predators. The algorithm primarily consists of two main phases—exploration and exploitation—which collectively mimic the cooperative hunting process of the hawk group.
3.2.1. Initialization Phase
At the initial stage, the positions of each Harris hawk in the population are randomly generated:
where represents the position of the ith Harris hawk, denotes the dimensionality of the problem, and is the population size. The initial positions are randomly generated within the defined search space.
Calculate the fitness for each position and determine the current optimal solution (prey position):
3.2.2. Exploration Phase
In the exploration phase, the hawk swarm randomly explores positions around the prey to enhance population diversity. The position update formula for the hawk swarm is given by:
where represents the position of a randomly selected hawk, are random numbers within the range [0, 1], and q is a random number used to control the selection of different strategies. and denote the upper and lower bounds of the problem, respectively, while represents the average position of the current population.
3.2.3. Exploitation Phase
Upon entering the exploitation phase, the behavior of Harris hawks is determined by the prey’s escape response, leading to the selection of different encirclement strategies. The exploitation phase consists of four distinct scenarios, which are detailed as follows:
- Soft Encirclement
When the prey can easily escape, the hawk swarm employs a mild encirclement strategy:
where represents the positional difference between the prey and the hawk, denotes the encirclement intensity of the hawk swarm, and is a random number used to simulate the prey’s stochastic escape behavior.
- 2.
- Hard Encirclement
When the prey is completely trapped by the hawk swarm:
- 3.
- Soft Encirclement with Sudden Attack
To simulate the prey’s intense reaction when escaping under encirclement, the position update formula is applied:
where represents the step size simulating random jumps, and denotes the direction of the prey.
- 4.
- Hard Encirclement with Sudden Attack
When the prey is tightly surrounded and attempts a sudden escape:
represents the energy of the hawk, which gradually decreases with the number of iterations, indicating the variation in the hawk’s encirclement capability.
where is the initial energy, is the current iteration number, and is the maximum number of iterations.
It is worth noting that the classical HHO algorithm is inherently suitable for solving bounded, multimodal, and black-box optimization problems, where the objective function cannot be expressed analytically and must be evaluated through numerical simulation. This characteristic closely matches the nature of MPPT tasks in PV systems under partial shading conditions, where the P-V curve exhibits multiple local maxima and lacks differentiability. Therefore, the use of HHO offers a promising foundation for tackling the complex landscape of real-time power tracking in photovoltaic environments.
3.3. Improved Harris Hawks Optimization Algorithm
To enhance the global search capability, convergence speed, and robustness of the classical HHO algorithm in MPPT scenarios, this study proposes an improved version of HHO—referred to as IHHO. The improvements target key limitations of the original algorithm, such as premature convergence, poor adaptability to multimodal search landscapes, and lack of real-time dynamic responsiveness. The proposed IHHO algorithm introduces the following three main mechanisms:
3.3.1. Tent Chaotic Mapping for Population Initialization
Instead of randomly initializing the hawk population, IHHO employs Tent chaotic mapping to generate the initial positions. The Tent map is a simple yet effective chaotic sequence defined as:
where ∈ (0,1) controls the nonlinearity. The chaotic nature of the Tent map improves the diversity and ergodicity of the initial population, ensuring better coverage of the search space and reducing the risk of premature convergence in the early stages of optimization.
Additionally, the output power of the PV array is defined as the fitness function, expressed as: , where and represent the PV voltage and current, respectively. The fitness function is used to evaluate the quality of each individual’s position within the search space.
3.3.2. Nonlinear Decreasing Inertia Weight Strategy
To dynamically balance global exploration and local exploitation, IHHO integrates a nonlinear decreasing inertia weight that adjusts over the course of iterations:
where and are the upper and lower bounds of the weight, is the current iteration number, and is the maximum number of iterations. This function allows the algorithm to favor exploration at early iterations and gradually transition to local refinement as the search progresses, thereby accelerating convergence near global optima.
3.3.3. Differential Evolution-Based Hybrid Perturbation
To enhance the algorithm’s ability to escape from local optima and traverse complex search landscapes, a hybrid perturbation strategy based on differential evolution (DE) is introduced. For selected hawks, the position update is modified as follows:
where , , and are randomly selected hawk positions, and is a mutation scaling factor. This perturbation introduces structured randomness, helping the algorithm to jump out of local basins of attraction, especially in multimodal landscapes caused by partial shading conditions in PV systems.
Finally, to avoid oscillations caused by frequent adjustments during the MPPT process, an exponential moving average method is introduced:
where is the smoothing coefficient, used to control the weight between the current duty cycle and the previous duty cycle.
While the aforementioned mechanisms constitute the core structural enhancements of the IHHO algorithm, it is important to note that parallel computing is applied during implementation to speed up fitness evaluations. Although not part of the algorithm’s intrinsic design, this parallel evaluation framework improves computational responsiveness in real-time MPPT applications.
3.4. Improvements and Their Connection to MPPT Stages
The IHHO algorithm introduces several key improvements to enhance the MPPT control process, specifically in tracking the MPP under partial shading conditions. These improvements are directly connected to the various stages of the MPPT process and interact with the power point variations of the PV array.
3.4.1. Initialization Enhancement Using Tent Chaotic Mapping
The IHHO algorithm employs Tent Chaotic Mapping for initializing the hawk population. This non-linear initialization improves the diversity and ergodicity of the population, reducing the risk of premature convergence. By ensuring a more uniform distribution of initial positions, it enhances the algorithm’s global exploration ability during the initialization phase of MPPT, allowing for more accurate identification of the global maximum power point (GMPP). As the algorithm explores different candidate duty cycles, it evaluates the corresponding power outputs from the PV array, with each candidate position representing a potential operating point on the P-V curve.
3.4.2. Global Exploration with Nonlinear Inertia Weight
To balance global exploration and local exploitation, the IHHO algorithm integrates a nonlinear decreasing inertia weight. This adjustment helps the algorithm to explore the search space effectively in the global exploration phase, ensuring the avoidance of local optima and better tracking of the GMPP. The interaction between the hawk positions (duty cycles) and the PV array’s power point variations allows the algorithm to rapidly adapt to changes in the irradiance patterns and shift toward the global optimum power point.
3.4.3. Local Exploitation and Perturbation Strategy
During the local exploitation phase, the IHHO algorithm applies a differential evolution-based hybrid perturbation strategy. This strategy helps the algorithm to escape local optima and refine the duty cycle, improving the accuracy of MPP tracking. As the algorithm converges toward the optimum, the power variations from the PV array inform the hawk’s movement, ensuring that the system accurately follows the changes in the MPP under different shading conditions.
3.4.4. Adaptive Escape Energy Mechanism
The IHHO algorithm introduces an adaptive escape energy mechanism, which adjusts the escape energy threshold based on irradiance changes. This mechanism ensures that the algorithm can efficiently track the GMPP under dynamic environmental conditions, particularly during rapid changes in irradiance. The power point variations of the PV array serve as feedback for the escape energy adjustment, enabling the algorithm to remain responsive to shifts in the power curve caused by fluctuating shading conditions.
3.4.5. Parallel Computing for Computational Efficiency
Although parallel computing is not part of the algorithm’s structural design, it is employed during implementation to accelerate fitness evaluations. By evaluating multiple candidate solutions simultaneously, this approach enhances computational efficiency and supports real-time MPPT performance under dynamic environmental conditions. The flowchart of the improved algorithm is shown in Figure 6.
Figure 6.
Flowchart of the IHHO algorithm.
3.5. Parameter Settings of MPPT Algorithms
For clarity and reproducibility, the parameter settings for each MPPT algorithm are explicitly listed below. The chosen values follow commonly adopted configurations in prior MPPT studies and were empirically validated in our experiments.
IHHO: The initial population consists of 10 hawks, initialized using Tent chaotic mapping within the range [0, 0.7]. The algorithm operates in two stages: the first 5 iterations use classical HHO global exploration guided by the top three solutions (alpha, beta, delta), followed by an adaptive local refinement phase. In this phase, the duty cycle is adjusted using a power-difference-driven correction term and smoothed using exponential smoothing with a coefficient α = 0.3. The duty cycle is constrained within [0, 0.95].
PSO: A swarm of 3 particles is initialized with fixed duty cycle values: 0.2, 0.5, and 0.8. The velocity update uses an inertia weight w = 0.1, cognitive coefficient = 1, and social coefficient = 2. Position updates occur every 300 evaluations, and duty cycles are limited to the range [0.05, 0.95].
Jaya Algorithm: Three candidate duty cycles are initialized across low, medium, and high value ranges. Every 300 steps, the algorithm updates each candidate based on the best and worst performers, using randomized weighting factors to guide the search. If a candidate’s performance degrades, the previous duty value is retained. All duty cycles are bounded within [0.05, 0.95].
These configurations ensure a consistent evaluation framework and allow fair performance comparisons across different MPPT strategies.
4. Simulation Results and Analysis
To validate the effectiveness of the improved algorithm, a complete photovoltaic array maximum power point tracking system model was built on the MATLAB/Simulink platform, as shown in Figure 7. The model primarily consists of a 3 × 1 configured photovoltaic array, a boost conversion circuit, an MPPT controller, and a load.
Figure 7.
Structure diagram of the MPPT system.
The PV system primarily consists of five key components: the PV array, a DC–DC converter, an inverter, an MPPT controller, and a load. Among these, the MPPT controller plays a crucial role. It continuously monitors the current () and voltage () of the PV array in real-time, and calculates the optimal control output using the MPPT algorithm. This control output is typically the duty cycle of the PWM signal, which regulates the operation of the MOSFET in the DC–DC converter to switch between boost and buck control modes. By adjusting the of the DC–DC converter, the MPPT controller modifies the effective load resistance to match the impedance of the PV array with that of the load. This process ensures that the PV array operates close to its MPP at all times. Consequently, maximizing the energy output of the PV system is the primary responsibility of the MPPT controller discussed in this paper.
In this experiment, we conducted multiple independent simulations under the conditions of Scenario 1 to account for the stochastic nature of metaheuristic algorithms. The initial population consists of 10 hawks, with each hawk’s position (i.e., duty cycle) uniformly distributed between 0 and 0.7. To ensure diversity within the search space, the Tent Chaotic Mapping method is employed for initialization. This method generates a chaotic random sequence that enhances the coverage of the initial population, preventing premature convergence during the early stages of optimization. As the algorithm progresses through iterations, the hawk population gradually converges, with the relative distances between the hawks decreasing. This is because, during the exploration phase, the hawks update their positions based on the global best, second-best, and local best solutions, thereby accelerating the convergence process. The values reported in Table 4 represent the average convergence behavior of the hawks’ positions over 20 independent runs, providing a statistically representative view of the algorithm’s performance. The number of iterations and the position of each hawk are shown in Table 4.
Table 4.
Optimization data of the improved Harris hawks algorithm.
As shown in Table 4, the optimization process of the IHHO algorithm progresses through multiple iterations, refining the position of each hawk in the population. The iterative improvement in the duty cycle values, from initial random positions to more optimized values, reflects the algorithm’s ability to converge toward the optimal solution for MPPT. The final iteration data in Table 4 demonstrate the stabilization of the duty cycle at approximately 0.5945, signifying the algorithm’s successful convergence toward an efficient operating point. On average, the algorithm requires five iterations to achieve convergence. The duty cycle of the IHHO algorithm is shown in Figure 8.
Figure 8.
Simulation waveforms of the IHHO for duty ratio.
Figure 8 provides the corresponding simulation waveforms for the duty ratio during the tracking process under Scenario 1. The graphical representation of the duty ratio over time illustrates the dynamic adjustments made by the IHHO algorithm as it iteratively approaches the optimal maximum power point. These waveforms provide a clear visualization of the algorithm’s fast convergence and precise tracking performance, highlighting the algorithm’s ability to adapt to environmental changes and quickly stabilize at the desired duty cycle.
In addition, we conducted multiple independent runs under Scenario 1 to calculate the average Root Mean Square Error (RMSE) of the IHHO, PSO, and Jaya algorithms at each iteration. RMSE is calculated as follows:
where: is the theoretical optimal value, is the total number of individuals in the population.
As shown in Figure 9, the RMSE of IHHO drops more rapidly than that of PSO and Jaya between the third and fourth iterations, reaching a lower error value earlier. This indicates that IHHO achieves faster convergence.
Figure 9.
Convergence curve for algorithms in scenario 1.
4.1. Power Tracking Under Static Shading
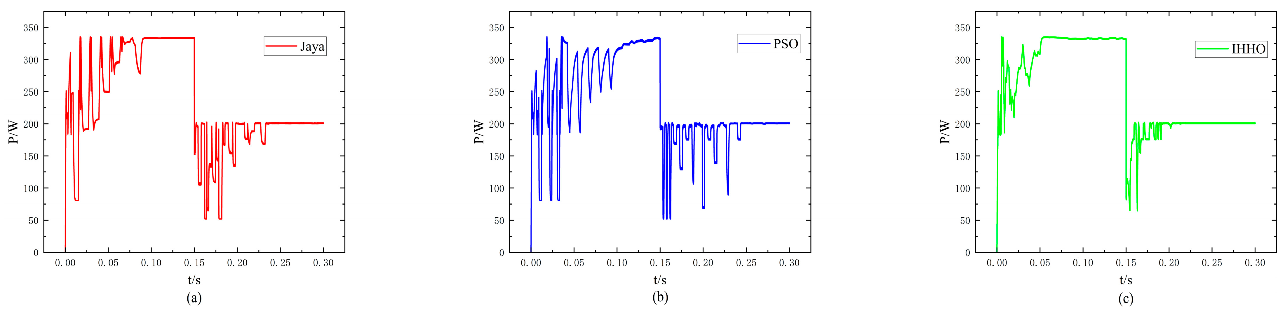
To validate the effectiveness of the proposed composite algorithm, a comparison was performed between the composite algorithm, the PSO algorithm, and the Jaya algorithm under the four scenarios defined earlier in Table 3. These scenarios are as follows: Scenario 1 (PV1 at 800 W/m2, PV2 at 200 W/m2, and PV3 at 100 W/m2), Scenario 2 (PV1 at 1000 W/m2, PV2 at 600 W/m2, and PV3 at 200 W/m2), Scenario 3 (PV1 and PV3 at 1000 W/m2, and PV2 at 600 W/m2), and Scenario 4 (PV1, PV2, and PV3 all at 1000 W/m2). The parameters of the photovoltaic cells and the simulation environment conditions were maintained consistent with those presented in this paper, with a simulation duration of 0.3 s. The simulation results are presented in Figure 10, Figure 11, Figure 12 and Figure 13.
Figure 10.
Simulation under Scenario 1. (a) Jaya; (b) PSO; (c) IHHO.
Figure 11.
Simulation under Scenario 2. (a) Jaya; (b) PSO; (c) IHHO.
Figure 12.
Simulation under Scenario 3. (a) Jaya; (b) PSO; (c) IHHO.
Figure 13.
Simulation under Scenario 4. (a) Jaya; (b) PSO; (c) IHHO.
As shown in Figure 10 and Table 5, the IHHO algorithm is able to quickly and accurately find the MPP of the photovoltaic array under partial shading conditions, with a tracking time of 0.05 s. The maximum power tracked is 200.1 W, with an efficiency of 99.95%. Compared with the other two algorithms, the IHHO algorithm achieves a faster convergence to the maximum power point.
Table 5.
Comparison of MPPT control performance of different algorithms.
Figure 11 shows that, under different partial shading conditions, the MPP of 333.4 W is tracked in 0.07 s, with an efficiency of 99.94%. Similarly, under Scenario 3 and Scenario 4, the IHHO algorithm also demonstrates excellent performance.
4.2. Power Tracking Under Dynamic Shadows
To verify the robustness of the IHHO algorithm under abrupt changes in solar irradiance conditions, this study sets the irradiance scenario to transition from Scenario 2 to Scenario 1 within 0.15 s. The simulation results are presented in Figure 14. The simulation results indicate that the IHHO algorithm tracks the vicinity of the MPP with the fastest speed, requiring only 0.05 s, and achieves a tracking accuracy of 99.96%. Although the other two algorithms are also able to track the MPP vicinity, their tracking speeds are significantly lower compared with that of IHHO. This demonstrates the superiority and effectiveness of the IHHO algorithm in terms of optimization speed, convergence accuracy, and robustness.
Figure 14.
Constant temperature and light mutation. (a) Jaya; (b) PSO; (c) IHHO.
4.3. Power Tracking Under Temperature Changes
To gain deeper insights into how external environmental factors affect the behavior at the MPP, in order to assess the effect of temperature under Scenario 4, simulations were conducted at 25 °C, 35 °C, and 45 °C. The resulting outputs are illustrated in Figure 15.
Figure 15.
Under different temperature conditions. (a) Jaya; (b) PSO; (c) IHHO.
Under varying temperature conditions, the simulation results demonstrate that the IHHO algorithm exhibits superior MPPT performance in terms of both convergence speed and output power stability. Compared with Jaya and PSO, IHHO reaches the maximum power point in the shortest time (0.04 s) and maintains the most stable output around 750 W with negligible oscillations. The PSO algorithm also performs well, achieving relatively fast convergence (0.10 s) with minor fluctuations. However, the Jaya algorithm shows significant initial instability and slower convergence (0.13 s), making it less suitable for environments with frequent temperature variations.
Building upon the previous single-factor test cases involving irradiance or temperature variation, this study further introduces a compound scenario to more accurately reflect real-world operating conditions. In this scenario, the irradiance is designed to transition from Scenario 4 to Scenario 2 within 0.15 s, accompanied by simultaneous temperature variations from a constant 25 °C to 25 °C, 35 °C and 45 °C, respectively. This setup aims to emulate typical environmental disturbances, such as cloud-induced shading in conjunction with rapid ambient temperature changes. Figure 16 presents the tracking curves of the three algorithms under the test scenario, while Table 6 summarizes their corresponding performance metrics for comparative evaluation.
Figure 16.
Sudden variations in both temperature and irradiance. (a) Jaya; (b) PSO; (c) IHHO.
Table 6.
Algorithm performance under abrupt irradiance and temperature variations.
As shown in Figure 16 and Table 6, under sudden changes in both irradiance and temperature, the proposed IHHO algorithm exhibited the fastest convergence (0.05/0.20 s) and highest tracking accuracy (99.94/99.87%), maintaining stable output power with minimal oscillations. In contrast, Jaya and PSO showed slower convergence and more pronounced power fluctuations, particularly during transitions. These results confirm the superior robustness and adaptability of IHHO in compound environmental conditions.
5. Conclusions
In photovoltaic systems operating under partial shading, the P-V characteristics typically exhibit multiple local maxima, posing significant challenges for conventional MPPT techniques. To address this issue, this study proposes an IHHO algorithm specifically tailored to global maximum power point tracking.
The proposed IHHO integrates multiple enhancements, including Tent chaotic mapping for population diversity, nonlinear decreasing inertia weight for adaptive control, a hybrid differential evolution-based perturbation mechanism for refined local search, and an escape energy strategy to improve responsiveness under environmental disturbances. In addition, parallel computing techniques were introduced at the implementation level to accelerate fitness evaluation, reinforcing the algorithm’s applicability for real-time embedded control.
Extensive simulations conducted under various conditions—such as uniform irradiance, dynamic partial shading, temperature variation, and compound disturbances—demonstrate that IHHO significantly outperforms classical algorithms such as PSO and Jaya in terms of convergence speed, tracking accuracy, and robustness. In particular, the IHHO achieved a convergence time of approximately 0.06 s and tracking accuracy exceeding 99.80%, validating its suitability for real-time MPPT applications in complex environments.
While this study focuses on comparison with conventional baseline algorithms, it is worth noting that recent MPPT research has introduced a range of hybrid and adaptive optimization techniques with promising performance, such as the hybrid PSO method proposed by Yousaf et al. and the variable step-size GWO/WOA methods developed by Zemmit et al. Although direct quantitative benchmarking with these recent approaches was not conducted due to differences in system assumptions and evaluation criteria, the IHHO algorithm shares similar design goals and demonstrates comparable or superior characteristics in terms of accuracy and response time. Moreover, IHHO maintains a relatively streamlined algorithmic structure and reduced computational complexity, enhancing its potential for real-world implementation.
Future work will expand the comparative scope to include these and other recent MPPT techniques, enabling more comprehensive benchmarking and further validating the generalizability and competitiveness of the IHHO approach under broader operating conditions.
Author Contributions
Conceptualization, J.R. and S.X.; methodology, J.R.; software, J.R.; validation, J.R., S.L. and S.X.; formal analysis, J.R.; investigation, J.R.; resources, J.R.; data curation, S.L.; writing—original draft preparation, J.R.; writing—review and editing, S.X.; visualization, J.R.; supervision, S.X.; project administration, S.X.; funding acquisition, S.X. All authors have read and agreed to the published version of the manuscript.
Funding
Research Funding of Wuhan Polytechnic University No. 2024RZ063.
Data Availability Statement
The original contributions presented in the study are included in the article, further inguiries can be directed to the corresponding author.
Conflicts of Interest
The authors declare no conflict of interest.
References
- Recalde, C.; López, D.; Aguay, D.; García, V.J. Environmental Sensing in High-Altitude Mountain Ecosystems Powered by Sedimentary Microbial Fuel Cells. Sensors 2023, 23, 2101. [Google Scholar] [CrossRef] [PubMed]
- Li, P.; Lin, Z.; Du, H.; Feng, T.; Zuo, J. Do environmental taxes reduce air pollution? Evidence from fossil-fuel power plants in China. J. Environ. Manag. 2021, 295, 113112. [Google Scholar] [CrossRef]
- Qiu, T.; Wang, L.; Lu, Y.; Zhang, M.; Qin, W.; Wang, S.; Wang, L. Potential assessment of photovoltaic power generation in China. Renew. Sustain. Energy Rev. 2022, 154, 111900. [Google Scholar] [CrossRef]
- Maka, A.O.; Alabid, J.M. Solar energy technology and its roles in sustainable development. Clean Energy 2022, 6, 476–483. [Google Scholar] [CrossRef]
- Mukhammadiev, M.; Urishev, B.; Almardanov, O.; Karimova, N.; Murodov, H. The Role of Renewable Energy Sources in Providing the Efficiency of the Power System in the Conditions of Digital Energy Transformation; AIP Conference Proceedings; AIP Publishing: Melville, NY, USA, 2023. [Google Scholar]
- Izam, N.S.M.N.; Itam, Z.; Sing, W.L.; Syamsir, A. Sustainable development perspectives of solar energy technologies with focus on solar Photovoltaic—A review. Energies 2022, 15, 2790. [Google Scholar] [CrossRef]
- Yang, Z.; Xiao, Z. A review of the sustainable development of solar photovoltaic tracking system technology. Energies 2023, 16, 7768. [Google Scholar] [CrossRef]
- Belhachat, F.; Larbes, C. PV array reconfiguration techniques for maximum power optimization under partial shading conditions: A review. Sol. Energy 2021, 230, 558–582. [Google Scholar] [CrossRef]
- Çakmak, F.; Aydoğmuş, Z.; Tür, M.R. Analysis of open circuit voltage MPPT method with analytical analysis with perturb and observe (P&O) MPPT method in PV systems. Electr. Power Compon. Syst. 2024, 52, 1528–1542. [Google Scholar] [CrossRef]
- AlZubaidi, A.A.; Khaliq, L.A.; Hamad, H.S.; Al-Azzawi, W.K.; Jabbar, M.S.; Shihab, T.A. MPPT implementation and simulation using developed P&O algorithm for photovoltaic system concerning efficiency. Bull. Electr. Eng. Inform. 2022, 11, 2460–2470. [Google Scholar] [CrossRef]
- Chevtchenko, S.F.; Barbosa, E.J.; Cavalcanti, M.C.; Azevedo, G.M.; Ludermir, T.B. Combining PPO and incremental conductance for MPPT under dynamic shading and temperature. Appl. Soft Comput. 2022, 131, 109748. [Google Scholar] [CrossRef]
- Liu, T.; Liu, S.; Yu, H.; Wu, Z.; Tong, J.; Yuan, Q. Research on Hybrid Approach for Maximum Power Point Tracking of Photovoltaic Systems under Various Operating Conditions. Electronics 2024, 13, 3880. [Google Scholar] [CrossRef]
- Phan, B.C.; Lai, Y.-C.; Lin, C.E. A deep reinforcement learning-based MPPT control for PV systems under partial shading condition. Sensors 2020, 20, 3039. [Google Scholar] [CrossRef] [PubMed]
- Chou, K.-Y.; Yang, S.-T.; Chen, Y.-P. Maximum power point tracking of photovoltaic system based on reinforcement learning. Sensors 2019, 19, 5054. [Google Scholar] [CrossRef]
- Villegas-Mier, C.G.; Rodriguez-Resendiz, J.; Álvarez-Alvarado, J.M.; Rodriguez-Resendiz, H.; Herrera-Navarro, A.M.; Rodríguez-Abreo, O. Artificial neural networks in MPPT algorithms for optimization of photovoltaic power systems: A review. Micromachines 2021, 12, 1260. [Google Scholar] [CrossRef] [PubMed]
- Mazumdar, D.; Sain, C.; Biswas, P.K.; Sanjeevikumar, P.; Khan, B. Overview of solar photovoltaic MPPT methods: A state of the art on conventional and artificial intelligence control techniques. Int. Trans. Electr. Energy Syst. 2024, 2024, 8363342. [Google Scholar] [CrossRef]
- Eltamaly, A.M. A novel musical chairs algorithm applied for MPPT of PV systems. Renew. Sustain. Energy Rev. 2021, 146, 111135. [Google Scholar] [CrossRef]
- Eltamaly, A.M. An improved cuckoo search algorithm for maximum power point tracking of photovoltaic systems under partial shading conditions. Energies 2021, 14, 953. [Google Scholar] [CrossRef]
- Aygül, K.; Cikan, M.; Demirdelen, T.; Tumay, M. Butterfly optimization algorithm based maximum power point tracking of photovoltaic systems under partial shading condition. Energy Sources Part A Recovery Util. Environ. Eff. 2023, 45, 8337–8355. [Google Scholar] [CrossRef]
- Yazıcı, İ.; Yaylacı, E.K. Modified grey wolf optimizer based MPPT design and experimentally performance evaluations for wind energy systems. Eng. Sci. Technol. Int. J. 2023, 46, 101520. [Google Scholar] [CrossRef]
- Babypriya, B.; Renoald, A.J.; Shyamalagowri, M.; Kannan, R. An experimental simulation testing of single-diode PV integrated MPPT grid-tied optimized control using grey wolf algorithm. J. Intell. Fuzzy Syst. 2022, 43, 5877–5896. [Google Scholar] [CrossRef]
- Wei, L.; Yu, B. Maximum power point tracking of photovoltaic power generation based on improved fuzzy control and conductance increment method. Clean Energy 2022, 6, 787–796. [Google Scholar] [CrossRef]
- Bentata, K.; Mohammedi, A.; Benslimane, T. Development of rapid and reliable cuckoo search algorithm for global maximum power point tracking of solar PV systems in partial shading condition. Arch. Control. Sci. 2021, 31, 495–526. [Google Scholar] [CrossRef]
- Sowthily, C. Butterfly Optimisation of MPPT for Solar PV under Shading Conditions. In Proceedings of the 2023 5th International Conference on Energy, Power and Environment: Towards Flexible Green Energy Technologies (ICEPE), Shillong, India, 15–17 June 2023; IEEE: Piscataway, NJ, USA, 2023; pp. 1–6. [Google Scholar]
- Silaa, M.Y.; Barambones, O.; Bencherif, A.; Rahmani, A. A new MPPT-based extended grey wolf optimizer for stand-alone PV system: A performance evaluation versus four smart MPPT techniques in diverse scenarios. Inventions 2023, 8, 142. [Google Scholar] [CrossRef]
- Satheesh Krishnan, G.; Sundareswaran, K.; Simon, S.P. Increased Energy Harvesting from shaded PV power plant using a fast converging Fruit fly Algorithm. J. Inst. Eng. Ser. B 2022, 103, 1217–1227. [Google Scholar] [CrossRef]
- Rawa, M.; Abusorrah, A.; Al-Turki, Y.; Calasan, M.; Micev, M.; Ali, Z.M.; Mekhilef, S.; Bassi, H.; Sindi, H.; Aleem, S.H.A. Estimation of parameters of different equivalent circuit models of solar cells and various photovoltaic modules using hybrid variants of honey badger algorithm and artificial gorilla troops optimizer. Mathematics 2022, 10, 1057. [Google Scholar] [CrossRef]
- Yousaf, M.Z.; Koondhar, M.A.; Zaki, Z.A.; Ahmed, E.M.; Alaas, Z.M.; Mahariq, I.; Guerrero, J.M. Improved MPPT of solar PV Systems under different Environmental conditions utilizes a Novel Hybrid PSO. Renew. Energy 2025, 244, 122709. [Google Scholar] [CrossRef]
- Zemmit, A.; Loukriz, A.; Belhouchet, K.; Alharthi, Y.Z.; Alshareef, M.; Paramasivam, P.; Ghoneim, S.S. GWO and WOA variable step MPPT algorithms-based PV system output power optimization. Sci. Rep. 2025, 15, 7810. [Google Scholar] [CrossRef]
- Liu, L.; Zhang, X.; Zhou, J.; Niu, K.; Guo, Z.; Zhao, Y.; Zhang, M. Adaptive Switching Redundant-Mode Multi-Core System for Photovoltaic Power Generation. Sensors 2024, 24, 7561. [Google Scholar] [CrossRef]
- Gong, L.; Hou, G.; Huang, C. A two-stage MPPT controller for PV system based on the improved artificial bee colony and simultaneous heat transfer search algorithm. ISA Trans. 2023, 132, 428–443. [Google Scholar] [CrossRef]
- Yang, B.; Ye, H.; Wang, J.; Li, J.; Wu, S.; Li, Y.; Shu, H.; Ren, Y.; Ye, H. PV arrays reconfiguration for partial shading mitigation: Recent advances, challenges and perspectives. Energy Convers. Manag. 2021, 247, 114738. [Google Scholar] [CrossRef]
- Kvasov, D.; Menniti, D.; Pinnarelli, A.; Sergeyev, Y.D.; Sorrentino, N. Tuning fuzzy power-system stabilizers in multi-machine systems by global optimization algorithms based on efficient domain partitions. Electr. Power Syst. Res. 2008, 78, 1217–1229. [Google Scholar] [CrossRef]
- Heidari, A.A.; Mirjalili, S.; Faris, H.; Aljarah, I.; Mafarja, M.; Chen, H. Harris hawks optimization: Algorithm and applications. Future Gener. Comput. Syst. 2019, 97, 849–872. [Google Scholar] [CrossRef]
Disclaimer/Publisher’s Note: The statements, opinions and data contained in all publications are solely those of the individual author(s) and contributor(s) and not of MDPI and/or the editor(s). MDPI and/or the editor(s) disclaim responsibility for any injury to people or property resulting from any ideas, methods, instructions or products referred to in the content. |
© 2025 by the authors. Licensee MDPI, Basel, Switzerland. This article is an open access article distributed under the terms and conditions of the Creative Commons Attribution (CC BY) license (https://creativecommons.org/licenses/by/4.0/).















