Sign in to use this feature.

Years

Between: -

Subjects

remove_circle_outline
remove_circle_outline
remove_circle_outline
remove_circle_outline
remove_circle_outline
remove_circle_outline
remove_circle_outline
remove_circle_outline
remove_circle_outline

Journals

remove_circle_outline
remove_circle_outline
remove_circle_outline
remove_circle_outline
remove_circle_outline
remove_circle_outline

Article Types

Countries / Regions

remove_circle_outline
remove_circle_outline
remove_circle_outline
remove_circle_outline

Search Results (324)

Search Parameters:
Keywords = SOI technology

Order results
Result details
Results per page
Select all
Export citation of selected articles as:
24 pages, 2590 KB  
Article
Soy Flour and Radish Leaf-Enriched Steamed Dumplings (Manti): Technological, Nutritional, and Sensory Characteristics
by Yurii Syromiatnykov, Shakhista Ishniyazova, Dildora Nurvafaeva, Zuxra Saidmuradova, Abdusator Yusupov, Giyos Tursunov, Ulmas Safarov, Shaxnoza Shamsieva and Shuxrat Yusupov
Foods 2026, 15(2), 243; https://doi.org/10.3390/foods15020243 - 9 Jan 2026
Abstract
This study investigated the technological, nutritional, and sensory effects of incorporating soybean flour and radish leaves into steamed manti, with emphasis on moisture-loss kinetics, protein denaturation, true retention (TR), and relative nutrient density (RND). Four formulations were examined: potato control (PC), [...] Read more.
This study investigated the technological, nutritional, and sensory effects of incorporating soybean flour and radish leaves into steamed manti, with emphasis on moisture-loss kinetics, protein denaturation, true retention (TR), and relative nutrient density (RND). Four formulations were examined: potato control (PC), potato + soy (PS), greens control (GC), and greens + soy (GS). Steaming induced compositional increases in dry matter, ash, protein, and fat due to moisture reduction rather than absolute changes in solids. Greens-based formulations exhibited significantly lower moisture-loss and protein-denaturation rate constants, indicating stronger hydration stability and structural resistance during thermal processing. These kinetic advantages translated into higher TR values for protein and fat in GC and GS compared with potato-based samples. Soy flour substantially increased protein and lipid content and improved dough cohesiveness but did not influence thermal behavior or moisture-loss kinetics within the same matrix. When nutrient delivery was normalized to energy content, soy- and greens-enriched manti showed the highest RND values, reflecting a favorable combination of nutrient retention and lower caloric density. Sensory evaluation confirmed that soy enhanced textural attributes, while radish leaves contributed desirable juiciness and aroma. Overall, the combined use of radish leaves and soybean flour offers a sustainable approach to producing nutrient-dense, sensory-acceptable traditional foods while supporting the valorisation of leafy by-products. Full article
Show Figures

Figure 1

29 pages, 24222 KB  
Article
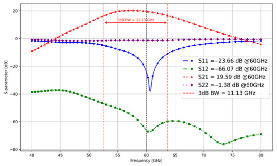
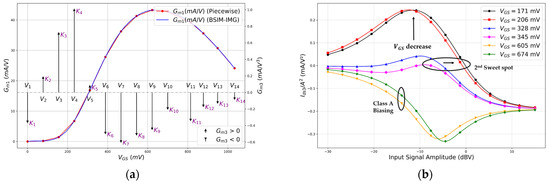
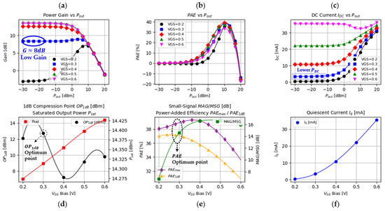
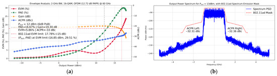
A 60-GHz Current Combining Class-AB Power Amplifier in 22 nm FD-SOI CMOS
by Dimitrios Georgakopoulos, Vasileios Manouras and Ioannis Papananos
Microwave 2026, 2(1), 2; https://doi.org/10.3390/microwave2010002 - 27 Dec 2025
Viewed by 178
Abstract
This work presents a fully integrated, two-stage, deep class-AB power amplifier (PA) operating at a center frequency of 60 GHz. High efficiency and suppression of third-order intermodulation products are targeted, achieving improved linearity compared to reported state-of-the-art designs. A current combining architecture is [...] Read more.
This work presents a fully integrated, two-stage, deep class-AB power amplifier (PA) operating at a center frequency of 60 GHz. High efficiency and suppression of third-order intermodulation products are targeted, achieving improved linearity compared to reported state-of-the-art designs. A current combining architecture is also employed to enhance the output power capability. The PA is designed in a 22 nm FD-SOI CMOS technology and is optimized through a complete schematic-to-layout design flow. Post-layout simulations indicate that the PA achieves a peak power-added efficiency (PAE) of 28%, a saturated output power (Psat) of 20.2 dBm, and a maximum large-signal gain (Gmax) of 19.6 dB at 60 GHz, evaluated at an operating temperature of 60 °C. The design maintains high linearity across the targeted output power range, exhibiting effective suppression of third-order intermodulation distortion (IMD3), which enhances its suitability for spectrally efficient modulation schemes. Full article
Show Figures

Figure 1

21 pages, 1093 KB  
Article
Social Planning for eBRT Innovations: Multi-Criteria Evaluation of Societal Impacts
by Maria Morfoulaki, Maria Chatziathanasiou and Iliani Styliani Anapali
World Electr. Veh. J. 2025, 16(12), 661; https://doi.org/10.3390/wevj16120661 - 6 Dec 2025
Viewed by 593
Abstract
This paper develops and applies an ex-ante methodological framework to assess the societal optimisation of eBRT innovations within the Horizon Europe eBRT2030 project, using Multi-Criteria Decision Analysis (MCDA) and the PROMETHEE method. The study evaluates 11 eBRT innovations to be deployed in five [...] Read more.
This paper develops and applies an ex-ante methodological framework to assess the societal optimisation of eBRT innovations within the Horizon Europe eBRT2030 project, using Multi-Criteria Decision Analysis (MCDA) and the PROMETHEE method. The study evaluates 11 eBRT innovations to be deployed in five demonstration sites in Europe and one in Colombia. Twenty social parameters, including 10 risks and 10 benefits, were weighted and scored through expert and stakeholder engagement, to calculate the Societal Optimisation Index (SOI). Positive SOI values indicate that societal benefits outweigh risks, and negative values indicate the opposite, while close-to-zero values indicate socially neutral or ambiguous options requiring case-specific judgement. The results indicate that innovations such as Adaptive Fleet Scheduling and Planning, Intelligent Driver Support Systems, and IoT Monitoring Platforms provide strong societal benefits with manageable risks, while charging-related innovations are associated with social concerns. The study emphasises the importance of social impact assessment prior to implementing innovations, to enable inclusive decision-making for policymakers and transport planners and enable the development of socially optimised eBRT systems. Embedding experts’ perspectives and social criteria ensures that technological innovations are aligned with societal needs, assisting the transition towards more equitable, low-carbon transport systems. Full article
(This article belongs to the Special Issue Zero Emission Buses for Public Transport)
Show Figures

Graphical abstract

21 pages, 744 KB  
Review
Can Plant-Based Milk Alternatives Fully Replicate UHT Cow Milk? A Review of Sensory and Physicochemical Attributes
by Anesu A. Magwere, Amy Logan, Shirani Gamlath, Joanna M. Gambetta, Sonja Kukuljan and Russell Keast
Beverages 2025, 11(6), 171; https://doi.org/10.3390/beverages11060171 - 1 Dec 2025
Viewed by 1145
Abstract
Plant-based milk alternatives (PBMA) have emerged as popular substitutes for cow milk, driven by health, environmental, and ethical considerations. However, their ability to replicate the sensory and physicochemical properties of dairy remains a critical challenge for industry. This review critically examines the extent [...] Read more.
Plant-based milk alternatives (PBMA) have emerged as popular substitutes for cow milk, driven by health, environmental, and ethical considerations. However, their ability to replicate the sensory and physicochemical properties of dairy remains a critical challenge for industry. This review critically examines the extent to which almond, soy, and oat PBMA replicate key sensory attributes of ultra-high temperature (UHT) full cream cow milk, focusing on appearance, texture, and flavour. Furthermore, it explores the relationship between these sensory attributes and the physicochemical properties of PBMA to elucidate the underlying reasons for the observed differences. A comparative analysis of compositional differences reveals fundamental limitations linked to plant protein functionality, carbohydrate structure, fat composition, and mineral fortification, all of which contribute to disparities in creaminess, mouthfeel, colour, and flavour. Technological strategies such as particle size reduction, enzymatic hydrolysis, and flavour masking have improved specific attributes, yet no PBMA fully replicates the holistic sensory experience of dairy. Emerging approaches, including blended formulations, precision fermentation, and artificial intelligence (AI)-driven optimisation, show promise in narrowing these gaps. Nonetheless, a complete replication of UHT cow milk remains elusive, highlighting the need for continued research and innovation to either approximate dairy properties more closely or enhance PBMA’s unique qualities to drive consumer acceptance. Full article
Show Figures

Figure 1

20 pages, 3446 KB  
Article
Reduction in Soybean Flour Allergenicity Through Ball Milling Combined with γ-Aminobutyric Acid Treatment
by Lianzhou Jiang, Xiaosha Liu, Miaomiao Liu, Zhishuang Xing, Qingfeng Ban, Xiujuan Li, Zhongjiang Wang and Linyi Zhou
Foods 2025, 14(23), 4097; https://doi.org/10.3390/foods14234097 - 28 Nov 2025
Viewed by 371
Abstract
Soybean flour (SF) allergy is a common food allergy reaction that significantly impacts patients’ daily diet and quality of life. This study used a combination of physical ball milling technology and γ-Aminobutyric acid (GABA) treatment to reduce the antigenicity of SF. When the [...] Read more.
Soybean flour (SF) allergy is a common food allergy reaction that significantly impacts patients’ daily diet and quality of life. This study used a combination of physical ball milling technology and γ-Aminobutyric acid (GABA) treatment to reduce the antigenicity of SF. When the material ball ratio was 1:14 (w/w), SF after ball milling treatment exhibited the smallest average particle size, and the highest solubility, bulk density, and antioxidant capacity. The functional properties of SF were further enhanced by adding GABA. Meanwhile, SF with 0.4% added GABA exhibited the smallest average particle size, the highest solubility, and the highest antioxidant capacity. The antigen content in soybean flour was determined using the soy glycinin ELISA kit and β-conglycinin ELISA kit. Compared with the original SF, the antigen contents of globulin and β-conglycinin decreased by 89.11% and 89.61%, respectively, in SF with the addition of 0.4% GABA after ball milling treatment. These results indicate that the addition of GABA not only further optimizes the solubility and antioxidant properties of SF, but also significantly reduces its antigen content. This study developed a combined treatment method to reduce allergenicity, overcoming the limitations of a single physical or biological treatment and providing a new technical approach for developing soybean flour products with low allergenicity. Full article
(This article belongs to the Section Food Nutrition)
Show Figures

Figure 1

12 pages, 2825 KB  
Article
A 39 GHz Phase Shifter in 28 nm FD-SOI CMOS Technology for mm-Wave Wireless Communications
by Alessandro Domenico Minnella, Giuseppe Papotto, Alessandro Finocchiaro, Alessandro Parisi, Alessandro Castorina and Giuseppe Palmisano
Electronics 2025, 14(22), 4433; https://doi.org/10.3390/electronics14224433 - 13 Nov 2025
Viewed by 483
Abstract
This paper presents a 0–360° phase shifter in 28 nm FD-SOI CMOS technology, suitable for radar applications and mm-wave wireless communication systems, which adopt high-efficiency transmitter architectures. It exploits a novel switching vector modulator based on a double-balanced Gilbert cell, which guarantees high-resolution [...] Read more.
This paper presents a 0–360° phase shifter in 28 nm FD-SOI CMOS technology, suitable for radar applications and mm-wave wireless communication systems, which adopt high-efficiency transmitter architectures. It exploits a novel switching vector modulator based on a double-balanced Gilbert cell, which guarantees high-resolution phase control while exhibiting inherently high robustness against process and temperature variations. The phase control is performed by merely changing the currents in the Gilbert cells using digitally controlled current generators. The proposed phase shifter operates at 39 GHz and provides RMS phase and gain errors of 2.7–4.7° and 0.3–0.5 dB, respectively, while drawing 13 mA from a 1 V supply voltage. Full article
(This article belongs to the Special Issue CMOS Integrated Circuits Design)
Show Figures

Figure 1

13 pages, 1835 KB  
Review
In Vivo and In Vitro Mechanisms of Equol Synthesis and Key Influencing Factors: A Critical Review
by Tianmeng Zhang, Botao Wang, Chen Wang, Junying Bai, Jingwen Zhou and Jian Chen
Nutrients 2025, 17(21), 3449; https://doi.org/10.3390/nu17213449 - 31 Oct 2025
Viewed by 1229
Abstract
Background: Equol exists in two enantiomers of S-equol and R-equol. The results of cell and animal experiments, as well as clinical trials, have supported its protective effects on menopausal symptoms, aging, and cardiovascular diseases, especially S-equol, which is a naturally occurring, non-racemic isomer [...] Read more.
Background: Equol exists in two enantiomers of S-equol and R-equol. The results of cell and animal experiments, as well as clinical trials, have supported its protective effects on menopausal symptoms, aging, and cardiovascular diseases, especially S-equol, which is a naturally occurring, non-racemic isomer produced by intestinal bacteria. However, the selective response of host microorganisms to soy isoflavones limits the exploitation of equol-producing bacterial resources. Additionally, factors such as low efficiency, byproduct generation, and environmental pollution hinder the further development and the application of traditional equol synthesis techniques. Methods: Therefore, in this review, we aimed to describe the forms and scope of equol, key influencing factors (e.g., hydrogen and dietary factors) of in vivo and in vitro equol synthesis, and potential molecular mechanisms of equol produced by microorganisms. Notably, the traditional synthesis technology has effectively improved the synthesis efficiency of equol (85–96%), but the substrates and microbial species (such as Escherichia coli) remain the key influencing factors. Results: This review suggests that breakthroughs based on synthetic biology and gene editing technology will support the efficient in vitro synthesis of equol. Conclusions: This review serves as a valuable reference for future research. Full article
(This article belongs to the Section Nutrition and Metabolism)
Show Figures

Figure 1

10 pages, 1724 KB  
Article
Fabrication Process Research for Silicon-Waveguide-Integrated Cavity Optomechanical Devices Using Magnesium Fluoride Protection
by Chengwei Xian, Pengju Kuang, Ning Fu, Zhe Li, Changsong Wang, Yi Zhang, Rudi Zhou, Guangjun Wen, Boyu Fan and Yongjun Huang
Micromachines 2025, 16(11), 1217; https://doi.org/10.3390/mi16111217 - 26 Oct 2025
Viewed by 2675
Abstract
As an emerging platform for high-precision sensing, integrated silicon-waveguide-based cavity optomechanical devices face a critical fabrication challenge in the co-fabrication of silicon-on-insulator (SOI) micromechanical structures and optical waveguides: the silicon oxide (SiO2) layer beneath the waveguides is susceptible to etching during [...] Read more.
As an emerging platform for high-precision sensing, integrated silicon-waveguide-based cavity optomechanical devices face a critical fabrication challenge in the co-fabrication of silicon-on-insulator (SOI) micromechanical structures and optical waveguides: the silicon oxide (SiO2) layer beneath the waveguides is susceptible to etching during hydrofluoric acid (HF) release of the microstructures, leading to waveguide collapse and significantly reducing production yields. This study proposes a novel selective protection process based on a magnesium fluoride (MgF2) thin film to address the critical challenge of long-range waveguide collapse during hydrofluoric acid (HF) etching. By depositing a MgF2 protective layer over the waveguide regions via optical coating technology, localized protection of specific SiO2 areas during HF etching is achieved. The experimental results demonstrate the successful release of silicon waveguides with lengths of up to 5000 μm and a significant improvement in production yield. This work provides a compatible and efficient strategy for the fabrication of robust photonic–microelectromechanical integrated devices. Full article
Show Figures

Figure 1

26 pages, 663 KB  
Article
Probiotic Sheep Milk: Physicochemical Properties of Fermented Milk and Viability of Bacteria Under Simulated Gastrointestinal Conditions
by Małgorzata Pawlos, Katarzyna Szajnar and Agata Znamirowska-Piotrowska
Nutrients 2025, 17(21), 3340; https://doi.org/10.3390/nu17213340 - 24 Oct 2025
Viewed by 916
Abstract
Background/Objectives: Within the spectrum of lactic acid bacteria, Lacticaseibacillus casei and Lactobacillus johnsonii are of particular technological and nutritional significance. Protein fortification of fermented dairy systems offers dual benefits: it improves product quality while enhancing probiotic resilience. Supplementary proteins supply bioavailable nitrogen and [...] Read more.
Background/Objectives: Within the spectrum of lactic acid bacteria, Lacticaseibacillus casei and Lactobacillus johnsonii are of particular technological and nutritional significance. Protein fortification of fermented dairy systems offers dual benefits: it improves product quality while enhancing probiotic resilience. Supplementary proteins supply bioavailable nitrogen and peptides that stimulate bacterial metabolism and contribute to a viscoelastic gel matrix that buffers cells against gastric acidity and bile salts. The aim of this study was to clarify the functional potential of such formulations by assessing probiotic survival under in vitro digestion simulating oral, gastric, and intestinal phases. Methods: Sheep milk was fermented with L. casei 431 or L. johnsonii LJ in the presence of whey protein isolate (WPI), soy protein isolate (SPI), or pea protein isolate (PPI) at concentrations of 1.5% and 3.0%. Physicochemical parameters (pH, titratable acidity, color, syneresis), organoleptic properties, and microbiological counts were evaluated. The viability of L. casei and L. johnsonii was determined at each digestion stage, and probiotic survival rates were calculated. Results: Samples with L. johnsonii consistently exhibited lower pH values compared to L. casei. Across both bacterial strains, the addition of 1.5% protein isolate more effectively limited syneresis than 3.0%, regardless of protein type. Samples fortified with WPI at 1.5% (JW1.5) and 3.0% (JW3.0) were rated highest by the panel, demonstrating smooth, homogeneous textures without grittiness. The greatest bacterial survival (>70%) was observed in WPI-fortified samples (JW1.5, JW3.0) and in SPI-fortified JS3. Conclusions: Protein isolates of diverse origins are suitable for the enrichment of fermented sheep milk, with 1.5% supplementation proving optimal. Such formulations maintained desirable fermentation dynamics and, in most cases, significantly improved the survival of L. casei and L. johnsonii under simulated gastrointestinal conditions, underscoring their potential in the development of functional probiotic dairy products. Full article
(This article belongs to the Special Issue Probiotics, Postbiotics, Gut Microbiota and Gastrointestinal Health)
Show Figures

Figure 1

27 pages, 1751 KB  
Systematic Review
Therapeutic Efficacy of Soy-Derived Bioactives: A Systematic Review of Nutritional Potency, Bioactive Therapeutics, and Clinical Biomarker Modulation
by Zara Fatima, Nizwa Itrat, Beenish Israr and Abdul Momin Rizwan Ahmad
Foods 2025, 14(19), 3447; https://doi.org/10.3390/foods14193447 - 9 Oct 2025
Cited by 1 | Viewed by 6492
Abstract
Soybeans (Glycine max) are nutrient-dense legumes and a high-quality plant-based protein source containing all essential amino acids. With a protein content of 36–40%, soy surpasses many other plant-derived proteins in nutritional value. Its bioactive components, particularly peptides and isoflavones, contribute to [...] Read more.
Soybeans (Glycine max) are nutrient-dense legumes and a high-quality plant-based protein source containing all essential amino acids. With a protein content of 36–40%, soy surpasses many other plant-derived proteins in nutritional value. Its bioactive components, particularly peptides and isoflavones, contribute to reducing inflammation, oxidative stress, and the risk of chronic diseases. In undernourished regions such as Pakistan, where protein-energy malnutrition is prevalent among women and children, soy offers a sustainable and cost-effective nutritional intervention. This review synthesizes findings from biochemical analyses, nutritional profiling, and clinical trials evaluating the impact of soybean protein and its bioactive compounds on growth, metabolic health, immune function, and disease prevention. Emphasis was placed on studies relevant to food-insecure populations and technological innovations enhancing soy product bioavailability. Soy protein has been shown to have positive effects on hormonal regulation, cardiovascular health, cognitive function, and immune support. Technological approaches such as fortification and fermentation improve nutritional bioavailability and sensory acceptance. The integration of soy into local diets enhanced nutritional adequacy, promoted environmental sustainability, and aligned with Sustainable Development Goals. Soybeans represent a sustainable, nutrient-rich solution to combat protein-energy malnutrition in vulnerable communities. Their high-quality protein profile, therapeutic properties, and adaptability to local food systems make them an effective strategy for improving public health and supporting environmental resilience. Full article
Show Figures

Figure 1

14 pages, 12512 KB  
Article
Integration of Er3+ Emitters in Silicon-on-Insulator Nanodisk Metasurface
by Joshua Bader, Hamed Arianfard, Vincenzo Ciavolino, Mohammed Ashahar Ahamad, Faraz A. Inam, Shin-ichiro Sato and Stefania Castelletto
Nanomaterials 2025, 15(19), 1499; https://doi.org/10.3390/nano15191499 - 1 Oct 2025
Viewed by 694
Abstract
Erbium (Er3+) emitters are relevant for optical applications due to their narrow emission line directly in the telecom C-band due to the 4I13/24I15/2 transition at 1.54 μm. Additionally, they are promising candidates for [...] Read more.
Erbium (Er3+) emitters are relevant for optical applications due to their narrow emission line directly in the telecom C-band due to the 4I13/24I15/2 transition at 1.54 μm. Additionally, they are promising candidates for future quantum technologies when embedded in thin film silicon-on-insulator (SOI) to achieve fabrication scalability and CMOS compatibility. In this paper we integrate Er3+ emitters in SOI metasurfaces made of closely spaced arrays of nanodisks, to study their spontaneous emission via room and cryogenic temperature confocal microscopy, off-resonance and in-resonance photoluminescence excitation at room temperature and time-resolved spectroscopy. This work demonstrates the possibility to adopt CMOS-compatible and fabrication-scalable metasurfaces for controlling and improving the collection efficiency of the spontaneous emission from the Er3+ transition in SOI and that they could be adopted in similar technologically advanced materials. Full article
(This article belongs to the Section Nanophotonics Materials and Devices)
Show Figures

Graphical abstract

19 pages, 1317 KB  
Review
Integrated High-Voltage Bidirectional Protection Switches with Overcurrent Protection: Review and Design Guide
by Justin Pabot, Mostafa Amer, Yvon Savaria and Ahmad Hassan
Electronics 2025, 14(19), 3819; https://doi.org/10.3390/electronics14193819 - 26 Sep 2025
Viewed by 1184
Abstract
Protecting sensitive electronic interfaces is critical in industrial applications, where exposure to harsh conditions and fault events is common. This paper reviews and compares circuit techniques for the design of bidirectional protection switches, highlighting key features such as analog switching, high-voltage capability, thermal [...] Read more.
Protecting sensitive electronic interfaces is critical in industrial applications, where exposure to harsh conditions and fault events is common. This paper reviews and compares circuit techniques for the design of bidirectional protection switches, highlighting key features such as analog switching, high-voltage capability, thermal shutdown, galvanic input isolation, and adjustable current limiting. Based on this review, we propose a universal architecture that combines the most suitable building blocks identified in the literature, with a focus on options that would enable monolithic integration in high-voltage silicon-on-insulator (SOI) technology and capable of delivering up to 2 A at a maximum voltage of 200 V. The proposed architecture is intended as a design guide for realizing a universal switch, rather than a fabricated implementation. To demonstrate system-level interactions, behavioral MATLAB/Simulink (R2024b) simulations are presented using generic components, which show expected functional responses but are not tied to process-specific device models. Full article
Show Figures

Figure 1

10 pages, 1653 KB  
Article
Silicon-on-Insulator (SOI) Lateral Power-Reduced Surface Field FinFET with High-Power Figure of Merit of 239.3 MW/cm2
by Chang Woo Song, Taeeun Lee, Dongyeon Kim, Sinsu Kyoung and Sola Woo
Micromachines 2025, 16(10), 1080; https://doi.org/10.3390/mi16101080 - 24 Sep 2025
Viewed by 706
Abstract
In this study, we propose a lateral power-reduced surface field FinFET (LPR-FinFET) to achieve high breakdown voltage and low on-resistance. We investigate the electric field distribution within the reduced surface field (RESURF) structure under reverse-biased conditions, as well as forward transfer and output [...] Read more.
In this study, we propose a lateral power-reduced surface field FinFET (LPR-FinFET) to achieve high breakdown voltage and low on-resistance. We investigate the electric field distribution within the reduced surface field (RESURF) structure under reverse-biased conditions, as well as forward transfer and output characteristics using TCAD simulation. The proposed LPR-FinFET demonstrates a high breakdown voltage of 247 V and a low specific on-resistance of 0.255 mΩ·cm2 with a high-power figure of merit of 239.3 MW/cm2. The superior characteristics of our proposed LPR-FinFET show the potential for applications as a lateral power semiconductor using silicon-on-insulator (SOI) technology. Full article
(This article belongs to the Special Issue Power Semiconductor Devices and Applications, 3rd Edition)
Show Figures

Figure 1

19 pages, 5854 KB  
Article
Exploration and Analysis of GaN-Based FETs with Varied Doping Concentration in Nano Regime for Biosensing Application
by Abhishek Saha, Sneha Singh, Rudra Sankar Dhar, Kajjwal Ghosh, A. Y. Seteikin, Amit Banerjee and I. G. Samusev
Biosensors 2025, 15(9), 613; https://doi.org/10.3390/bios15090613 - 16 Sep 2025
Viewed by 723
Abstract
This study conducts a comprehensive examination of a GaN channel-based nanobiosensor featuring a dielectrically modulated trigate FinFET structure, incorporating both uniform and Gaussian channel doping. The proposed device incorporates a nanocavity structure situated beneath the gate region, intended for the analysis of diverse [...] Read more.
This study conducts a comprehensive examination of a GaN channel-based nanobiosensor featuring a dielectrically modulated trigate FinFET structure, incorporating both uniform and Gaussian channel doping. The proposed device incorporates a nanocavity structure situated beneath the gate region, intended for the analysis of diverse biomolecules in biosensing applications. The proposed biosensor employs HfO2 as the gate dielectric, characterized by a dielectric constant of 25, leading to an enhanced switching ratio for the device. This study examines the electrical properties relevant to biomolecule identification, including the switching ratio, DIBL, threshold swing, threshold voltage, and transconductance. The sensitivity of these properties concerning the drain current is subsequently assessed. Enhanced sensitivity increases the likelihood of detecting biomolecules. The electrical property of a biomolecule is examined in the absence of another biomolecule within the cavity. The apparatus is designed to detect neutral biomolecules. Simultaneously, further investigational research has been undertaken regarding the linearity behavior of GAA FET, nanobiosensors, and dielectrically modulated TGFinFET. This study’s results have been compared with those of GaN-based FinFET and GaN SOI FinFET technologies. The data indicates approximately ∼103% and ∼42% improvements in IOFF and Switching ratio, respectively, when compared to IRDS 2025. The nanobiosensor (GAA FET) demonstrates enhanced linear performance concerning higher-order voltage and current intercept points, including VIP2, VIP3, IIP3, and P1dB. Full article
(This article belongs to the Section Biosensor and Bioelectronic Devices)
Show Figures

Figure 1

19 pages, 3410 KB  
Article
Optimization of Gluten-Free Bread Formulation Using Whole Sorghum-Based Flour by Response Surface Methodology
by Melissa Rodríguez-España, Claudia Yuritzi Figueroa-Hernández, Mirna Leonor Suárez-Quiroz, Fátima Canelo-Álvarez, Juan de Dios Figueroa-Cárdenas, Oscar González-Ríos, Patricia Rayas-Duarte and Zorba Josué Hernández-Estrada
Foods 2025, 14(17), 3113; https://doi.org/10.3390/foods14173113 - 5 Sep 2025
Viewed by 3204
Abstract
The growing awareness of celiac disease and gluten sensitivities has generated interest in gluten-free products. Whole sorghum (Sorghum bicolor) is an excellent source of nutrients and is gluten-free. However, the absence of gluten makes it technologically challenging to produce leavened products. [...] Read more.
The growing awareness of celiac disease and gluten sensitivities has generated interest in gluten-free products. Whole sorghum (Sorghum bicolor) is an excellent source of nutrients and is gluten-free. However, the absence of gluten makes it technologically challenging to produce leavened products. This research aims to utilize a response surface methodology to optimize the specific loaf volume and crumb firmness of a whole sorghum-based gluten-free bread formulation, evaluating different levels of milk powder, egg white, yeast, sugar, psyllium husk powder, xanthan gum, and soy lecithin. The models fit achieved an R280%. The optimized formulation increased the specific loaf volume from 1.7 to 2.8 cm3 g−1 and decreased crumb firmness from 10.6 to 3.7 N compared to the initial gluten-free bread formulation (C1). Egg white, milk powder, and psyllium contribute to the formation of a gluten-like network, which enables gas retention, dough expansion, and volume increase. In addition, soy lecithin, among hydrocolloids, enhances dough stability and moisture retention, resulting in a softer crumb. Sensory evaluation indicated good consumer acceptability (average score of 7 on a 9-point hedonic scale), particularly for texture and flavor. These findings suggest that optimal formulation of sorghum achieves both technological and sensory properties, supporting its potential as a viable gluten-free bread alternative. Full article
(This article belongs to the Special Issue Functional Foods, Gut Microbiota, and Health Benefits)
Show Figures

Graphical abstract

Back to TopTop