Sign in to use this feature.

Years

Between: -

Subjects

remove_circle_outline
remove_circle_outline
remove_circle_outline
remove_circle_outline
remove_circle_outline
remove_circle_outline
remove_circle_outline
remove_circle_outline
remove_circle_outline

Journals

remove_circle_outline
remove_circle_outline
remove_circle_outline
remove_circle_outline
remove_circle_outline
remove_circle_outline
remove_circle_outline
remove_circle_outline
remove_circle_outline
remove_circle_outline
remove_circle_outline
remove_circle_outline

Article Types

Countries / Regions

remove_circle_outline
remove_circle_outline
remove_circle_outline
remove_circle_outline
remove_circle_outline

Search Results (1,194)

Search Parameters:
Keywords = Open-FOAM

Order results
Result details
Results per page
Select all
Export citation of selected articles as:
19 pages, 1290 KB  
Article
Electrochemical Evaluation of an Alkali Activated Eco-Cellular Geopolymer Concrete for the Mitigation of Reinforcing Steel Corrosion in Chloride Containing Environments
by Willian Aperador, Giovany Orozco-Hernández and Melquisedec Cortés-Zambrano
Corros. Mater. Degrad. 2026, 7(1), 15; https://doi.org/10.3390/cmd7010015 - 26 Feb 2026
Abstract
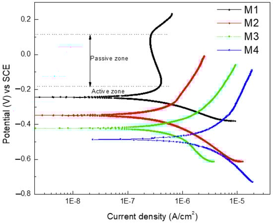
The present study evaluates the electrochemical behaviour of reinforcing steel embedded in an alkali-activated eco-cellular geopolymer concrete designed for applications in environments with high chloride exposure. The material was formulated using a ternary precursor composed of fluid catalytic cracking residue (FCC), Class F [...] Read more.
The present study evaluates the electrochemical behaviour of reinforcing steel embedded in an alkali-activated eco-cellular geopolymer concrete designed for applications in environments with high chloride exposure. The material was formulated using a ternary precursor composed of fluid catalytic cracking residue (FCC), Class F fly ash, and ground granulated blast furnace slag (BFS), activated with an alkaline solution and combined with preformed foam to generate a microstructure characterised by predominantly closed porosity and low capillary connectivity. The electrochemical response of the system was assessed through open circuit potential (OCP) measurements, Tafel polarisation curves, electrochemical impedance spectroscopy (EIS), and potentiodynamic tests under accelerated exposure to NaCl solutions. The results demonstrate a markedly improved electrochemical performance, evidenced by shifts in OCP towards more noble values, reductions of 45–65% in corrosion current density (Icorr), and increases of up to fourfold in charge transfer resistance (Rct), together with the development of broader and more stable passive regions. This behaviour is attributed to the synergistic interaction between the formation of dense N-(C)-A-S-H (sodium/calcium–aluminosilicate hydrate) and C-(A)-S-H (calcium–aluminosilicate hydrate) gels, the eco-cellular architecture with low capillary connectivity, and the stable high alkalinity of the activated matrix, which collectively restrict ionic transport and promote the passive stability of the reinforcing steel—defined here by noble OCP values, low Icorr, high Rct, and sustained passive domains in polarisation curves. Overall, the findings position the developed eco-cellular geopolymer concrete as a sustainable, high-performance alternative for infrastructure exposed to chloride-rich environments. Full article
Show Figures

Figure 1

13 pages, 3715 KB  
Article
Eco-Fabrication of Rigid Lignofoams with Porous Cellular Channels Coated by Polypropylene Films for Thermal Insulation Materials
by Qiangu Yan, Neda Arabzadeh Nosratabad, Timothy Ketelboeter, Craig Clemons, Liu Liu, Caixia Wan, Peter Kitin and Zhiyong Cai
Polymers 2026, 18(5), 548; https://doi.org/10.3390/polym18050548 - 25 Feb 2026
Abstract
This paper introduced a simple, efficient method to prepare mechanically strong lignin-based foams (lignofoams) with open-cell structures using a facile baking technique. The self-expansion of lignin occurred without any additional chemical blowing agents, foaming agents, plasticizers, or lubricants. During heating, kraft lignin softened, [...] Read more.
This paper introduced a simple, efficient method to prepare mechanically strong lignin-based foams (lignofoams) with open-cell structures using a facile baking technique. The self-expansion of lignin occurred without any additional chemical blowing agents, foaming agents, plasticizers, or lubricants. During heating, kraft lignin softened, and the internal water, either initially adsorbed or generated in situ through the dehydration of hydroxyl groups, acted as a natural blowing agent for foaming a porous foam structure. Incorporating a small amount of polypropylene (PP) enhanced mechanical properties by coating the inner walls of open cells. The porous, softened composite was then cooled to room temperature and solidified into the self-expanded lignofoam. The resulting lignofoams exhibited tunable densities ranging from 0.21 to 0.49 g/cm3 and a maximum compressive strength of 3.6 MPa. The lignofoam also showed excellent thermal insulation properties with low thermal conductive coefficients (0.057–0.098 W/mK). These features highlight the great potential of lignofoam for a bio-based thermal insulation material for construction applications. Full article
(This article belongs to the Special Issue Valorization of Biopolymer from Renewable Biomass, 2nd Edition)
Show Figures

Graphical abstract

27 pages, 1437 KB  
Article
Three-Dimensional Infinite Cluster Function as a Descriptor of Through-Plane Effective Conductivity in Porous Electrodes of Membrane Electrode Assemblies
by Abimael Rodriguez, Jaime Ortegón, Abraham Rios, Carlos Couder and Romeli Barbosa
Materials 2026, 19(5), 835; https://doi.org/10.3390/ma19050835 - 24 Feb 2026
Viewed by 20
Abstract
Through-plane electronic transport in porous membrane electrode assembly (MEA) electrodes is governed by the three-dimensional (3D) connectivity of the conducting phase. Here, we quantify the role of the spanning-cluster fraction P, defined as the fraction of conducting-phase voxels that belong to [...] Read more.
Through-plane electronic transport in porous membrane electrode assembly (MEA) electrodes is governed by the three-dimensional (3D) connectivity of the conducting phase. Here, we quantify the role of the spanning-cluster fraction P, defined as the fraction of conducting-phase voxels that belong to the z-spanning connected component in a finite reconstructed volume, on effective conductivity using scanning electron microscopy (SEM)-informed 3D reconstructions of four archetypal morphologies: a granular catalyst layer (CL), labeled CL1; a fibrous gas diffusion layer (GDL), labeled GDL1; an open-cell foam (OCF); and a micro-fibrous non-woven (MFM), labeled MFM1. Each morphology is reconstructed on a 150 × 150 × 150 voxel grid, and z-spanning connectivity is identified with a 26-neighbor flood-fill algorithm. Steady-state conduction is solved by a finite-volume method (FVM) with an imposed potential difference between the z—faces and no-flux lateral boundaries. Although all samples exhibit through-thickness connectivity, the normalized conductivity σeff/σbulk varies widely, from ≈0.134 (MFM1) to ≈0.706 (OCF). The corresponding (P, σeff/σbulk) pairs are (0.996, ≈ 0.306) for CL1, (0.999, ≈ 0.303) for GDL1, (0.997, ≈ 0.706) for OCF, and (0.901, ≈ 0.134) for MFM1. OCF exhibits the highest response due to vertically coherent channels, whereas MFM1 underperforms due to laminated constrictions; CL1 and GDL1 lie in an intermediate regime with nearly isotropic skeletons. Overall, the results show that while a z-spanning connected component is required for measurable conduction, the magnitude of σeff is dictated by percolating-skeleton quality (bottlenecks, cross-sectional constrictions, and pathway alignment) rather than phase amount alone. The proposed descriptors therefore enable percolation-aware screening metrics for designing and comparing MEA-relevant GDL and CL microstructures. Full article
(This article belongs to the Section Materials Simulation and Design)
26 pages, 6282 KB  
Article
Biomechanical Evaluation of Head Acceleration and Kinematics in Boxing: The Role of Gloves and Helmets—A Pilot Study
by Monika Ratajczak, Dariusz Leśnik, Rafał Kubacki, Claudia Sbriglio and Mariusz Ptak
Appl. Sci. 2026, 16(4), 1999; https://doi.org/10.3390/app16041999 - 17 Feb 2026
Viewed by 266
Abstract
Head injuries remain one of the major health concerns in contact sports such as boxing. Despite the widespread use of protective gloves and helmets, their biomechanical effectiveness in mitigating head acceleration and reducing brain injury risk remains uncertain. This study aims to biomechanically [...] Read more.
Head injuries remain one of the major health concerns in contact sports such as boxing. Despite the widespread use of protective gloves and helmets, their biomechanical effectiveness in mitigating head acceleration and reducing brain injury risk remains uncertain. This study aims to biomechanically assess available boxing equipment solutions and identify the brain–skull system’s response to physical forces from a boxing punch. A dedicated experimental setup was developed using mini triaxial accelerometers and a high-speed camera to measure head accelerations in a Primus unbreakable dummy. Tests were performed using gloves of different masses (0 oz, 10 oz, and 16 oz) and three head protection configurations: no helmet, rugby helmet, and boxing helmet. The resultant accelerations were analyzed and compared across test conditions. Peak wrist accelerations ranged from 195.00 to 271.77 m/s2, while head accelerations did not exceed biomechanical injury thresholds. The boxing helmet, composed of multilayer polyurethane foam, did not consistently decrease acceleration; in some cases, it produced higher overloads due to increased head mass and moment of inertia. A rugby helmet made of open-cell EVA (ethylene vinyl acetate) foam with lower density exhibited more favorable energy-dissipation characteristics under low-impact conditions. Glove mass also influenced acceleration differently between male and female participants, likely due to variations in punch velocity and force generation. This work is a pilot study using two trained adult volunteers to validate the combined IMU–video measurement framework. The results serve as hypothesis-generating mechanistic observations rather than population-level effect estimates. Protective effectiveness in boxing depends on a complex interaction between material properties, geometry, and user biomechanics. Optimal equipment design should balance energy absorption and mass to minimize both linear and rotational accelerations. Future studies should integrate advanced material modeling and finite element simulations to support the development of adaptive, lightweight protective systems. Full article
(This article belongs to the Special Issue Physiology and Biomechanical Monitoring in Sport)
Show Figures

Figure 1

19 pages, 11697 KB  
Article
A CFD Description of the Breach Flow of an Overtopped Embankment Dam
by Rui M. L. Ferreira, Nuno M. C. Martins, Teresa Alvarez and Teresa Viseu
Infrastructures 2026, 11(2), 57; https://doi.org/10.3390/infrastructures11020057 - 9 Feb 2026
Viewed by 171
Abstract
We investigate the flow over a breached dam through combined measurements and numerical simulations, revealing key topological features of the mean flow, including separation and stagnation surfaces, attached vortices, secondary currents, and boundary layer development. PIV measurements of velocities are complemented with simulations [...] Read more.
We investigate the flow over a breached dam through combined measurements and numerical simulations, revealing key topological features of the mean flow, including separation and stagnation surfaces, attached vortices, secondary currents, and boundary layer development. PIV measurements of velocities are complemented with simulations with the interFoam solver of OpenFOAM-v2106 (URANS with k-ω SST closure model and rough-wall corrections). We show the development of the boundary layer over the crest, influenced by the breach crest wall curvature and strong lateral flow convergence. Three-dimensional separation is observed in the plunging pool. Two different attached vortices develop along the bottom and side walls of the breach, where underscouring is known to be strong. The first is associated with an adverse pressure gradient while the second results from the flow curvature imposed by the evolving geometry of the plunging pool. A counter rotating vortex pair is observed in the flow exiting the dam breach channel. We discuss the significance of these structures for hydraulic erosion and underscouring. We also provide recommendations for CFD modeling of dam breaches. Full article
(This article belongs to the Special Issue Preserving Life Through Dams)
Show Figures

Figure 1

9 pages, 1474 KB  
Proceeding Paper
State Road Pavement Maintenance
by Karolina Vukelić and Sanja Dimter
Eng. Proc. 2026, 125(1), 17; https://doi.org/10.3390/engproc2026125017 - 5 Feb 2026
Viewed by 180
Abstract
This paper focuses on a section of the state road D28, Bjelovar northern bypass, Republic of Croatia, which was opened to traffic in 2002. Following the expiration of the 20-year design service life, it was determined that the section required reconstruction, as visual [...] Read more.
This paper focuses on a section of the state road D28, Bjelovar northern bypass, Republic of Croatia, which was opened to traffic in 2002. Following the expiration of the 20-year design service life, it was determined that the section required reconstruction, as visual inspections indicated a significant deterioration in ride comfort. To define the appropriate reconstruction strategy, specifically the strengthening of the pavement structure, reliable data on pavement bearing capacity were needed. Historical design thicknesses were compared with current measurements, and deflection data obtained using a Falling Weight Deflectometer (FWD) were analyzed for sections where visual assessments suggested reduced structural capacity. Based on the calculated modulus of elasticity, a pavement structure was designed and subsequently strengthened through the addition of an extra load-bearing layer composed of a cold-recycled mixture with foamed bitumen. Full article
Show Figures

Figure 1

12 pages, 2105 KB  
Article
Resolved Large Eddy Simulations of a Settling or Rising Spherical Microplastic Particle
by Koray Deniz Goral, Bjarke Eltard Larsen, Hasan Gokhan Guler, Stefan Carstensen, Erik Damgaard Christensen and David R. Fuhrman
Microplastics 2026, 5(1), 26; https://doi.org/10.3390/microplastics5010026 - 5 Feb 2026
Viewed by 381
Abstract
The settling and rising of spherical microplastic particles with different Reynolds numbers, Re, were studied using a fully coupled large eddy simulation–discrete element method (LES-DEM) model, where the particles were treated using the immersed boundary method. Twelve different simulations were performed [...] Read more.
The settling and rising of spherical microplastic particles with different Reynolds numbers, Re, were studied using a fully coupled large eddy simulation–discrete element method (LES-DEM) model, where the particles were treated using the immersed boundary method. Twelve different simulations were performed to find the drag coefficient CD, particle trajectories, and wake patterns of both settling and rising microplastic particles. Results were compared to experimental findings from the literature and the comparisons show that the present LES-DEM model produces accurate values for CD when Re310 and qualitatively captures both wake patterns and particle trajectories for 1Re5235. Full article
Show Figures

Figure 1

29 pages, 11735 KB  
Article
Study of the Effects of Waves on the Evolution of Scour Under a Tidal Turbine by Two-Phase Numerical Modeling
by Arbaz Khalid, Fatima Khaled and Sylvain S. Guillou
J. Mar. Sci. Eng. 2026, 14(3), 308; https://doi.org/10.3390/jmse14030308 - 4 Feb 2026
Viewed by 251
Abstract
Tidal turbines have emerged as a promising alternative to fossil-fuel-based energy generation, with estuarine environments identified as potential sites for their deployment. However, estuaries are sensitive ecosystems, and understanding the impacts of turbine installation on local hydrodynamics and sediment transport is critical. While [...] Read more.
Tidal turbines have emerged as a promising alternative to fossil-fuel-based energy generation, with estuarine environments identified as potential sites for their deployment. However, estuaries are sensitive ecosystems, and understanding the impacts of turbine installation on local hydrodynamics and sediment transport is critical. While previous studies have shown the influence of turbines on seabed morphology under steady current conditions, the effects of combined wave–current loading remain insufficiently explored. In this study, we present a novel numerical modeling framework to predict seabed evolution in the vicinity of tidal turbines subjected to wave–current interactions. The approach integrates Blade Element Theory (BET) to represent turbine-induced forces, an Euler–Euler multiphase model for sediment transport, and the first-order wave theory to capture wave dynamics, all implemented within the OpenFOAM-based solver. Wave effects are incorporated as source terms in the momentum equations, and wave velocities are added to the current field at the velocity inlet boundary condition. Results demonstrate that wave–current loading induces oscillatory sediment transport, but net scouring remains significant in the vicinity of the turbine. The proposed framework is validated component-wise (wave forcing and rotor loading) and then demonstrated on mobile-bed simulations to quantify how oscillatory wave–current forcing modifies near-bed transport and early-stage scour development around a tidal turbine. While the present simulations focus on short morphodynamic times, the approach provides a physics-based basis for exploring wave effects on turbine-induced sediment dynamics. Full article
(This article belongs to the Special Issue Challenges of Marine Energy Development and Facilities Engineering)
Show Figures

Figure 1

35 pages, 10631 KB  
Article
Advancing CFD Simulations Through Machine-Learning-Enabled Mesh Refinement Analysis
by Charles Patrick Bounds and Mesbah Uddin
Fluids 2026, 11(2), 43; https://doi.org/10.3390/fluids11020043 - 30 Jan 2026
Viewed by 359
Abstract
As computational fluid dynamics (CFD) has become more mainstream in production engineering workflows, new demands have been introduced that require high-quality meshes to accurately capture the complex geometries. This evolution has created the need for mesh generation frameworks that help engineers design optimized [...] Read more.
As computational fluid dynamics (CFD) has become more mainstream in production engineering workflows, new demands have been introduced that require high-quality meshes to accurately capture the complex geometries. This evolution has created the need for mesh generation frameworks that help engineers design optimized meshing structures for each new geometry. However, many simulation workflows rely on the experience and intuition of senior engineers rather than systematic frameworks. In this paper, a novel technique for determining mesh convergence is created using machine learning (ML). This method seeks to provide process engineers with a visual feedback mechanism of flow regions that require mesh refinement. The work was accomplished by creating three grid sensitivity studies on various geometries: zero-pressure-gradient flat plate, bump in channel, and axisymmetric free jet. The cases were then simulated using the Reynolds Averaged Navier-Stokes (RANS) models in OpenFOAM (v2306) and had the ML method applied post-hoc using Python (v3.12.6). To apply the method to each case, the flow field was regionalized and clustered using an unsupervised ML model. The ML clustering results were then converted into a similarity score, which compares two grid levels to inform the user whether the region of the flow had converged. To prove this framework, the similarity scores were compared to flow field probes used to determine mesh convergence at key points in the flow. The method was found to be in agreement with the flow field probes on the level of mesh refinement that created convergence. The approach was also seen to provide refinement region recommendations in regions of the flow that align with human intuition of the physics of the flow. Full article
Show Figures

Figure 1

25 pages, 4399 KB  
Article
Numerical Investigation of the Coupled Effects of External Wind Directions and Speeds on Surface Airflow and Convective Heat Transfer in Open Dairy Barns
by Wei Liang, Jun Deng and Hao Li
Agriculture 2026, 16(3), 315; https://doi.org/10.3390/agriculture16030315 - 27 Jan 2026
Viewed by 227
Abstract
Natural ventilation is a common cooling strategy in open dairy barns, but its efficiency largely depends on external wind directions and speeds. Misalignment between external airflow and fan jets often led to non-uniform air distribution, reduced local cooling efficiency, and an elevated risk [...] Read more.
Natural ventilation is a common cooling strategy in open dairy barns, but its efficiency largely depends on external wind directions and speeds. Misalignment between external airflow and fan jets often led to non-uniform air distribution, reduced local cooling efficiency, and an elevated risk of heat stress in cows. However, few studies have systematically examined the combined effects of wind directions and speeds on airflow and heat dissipation. Most research isolates natural or mechanical ventilation effects, neglecting their interaction. Accurate computational fluid dynamics (CFD) modeling of the coupling between outdoor and indoor airflow is crucial for designing and evaluating mixed ventilation systems in dairy barns. To address this gap, this study systematically analyzed the effects of external wind directions (0°, 45°, 90°, 135°, 180°) and speeds (1, 3, 5, 7, 10 m s−1) on fan jet distribution and convective heat transfer around dairy cows using the open-source CFD platform OpenFOAM. By evaluating body surface airflow and regional convective heat transfer coefficients (CHTCs), this study quantitatively linked barn-scale airflow to animal heat dissipation. Results showed that both wind directions and speeds markedly influenced airflow and heat exchange. Under 0° wind direction, dorsal airflow reached 6.2 m s−1 and CHTCs increased nearly linearly with wind speeds, indicating strong synergy between the fan jet and external wind. Crosswinds (90° wind direction) enhanced abdominal airflow (approximately 5.2 m s−1), whereas oblique and opposing winds (135–180°) caused stagnation and reduced convection. The dorsal-to-abdominal CHTCs ratio (Rd/a) increased to about 1.6 under axial winds but decreased to 1.1 under cross-flow, reflecting reduced thermal asymmetry. Overall, combining axial and lateral airflow paths improves ventilation uniformity in naturally or mechanically ventilated dairy barns. The findings provide theoretical and technical support for optimizing ventilation design, contributing to energy efficiency, animal welfare, productivity, and the sustainable development of dairy farming under changing climatic conditions. Full article
(This article belongs to the Section Farm Animal Production)
Show Figures

Figure 1

25 pages, 4548 KB  
Article
Bio-Inspired Microstructural Engineering of Polyurethane Foams with Luffa Fibers for Synergistic Optimization of Ergonomic Support and Hygrothermal Comfort
by Mengsi Zhang, Juan Zhou, Nuofan Tang, Yijun Hu, Fuchao Yan, Yuxia Chen, Yong Guo and Daowu Tu
Polymers 2026, 18(3), 320; https://doi.org/10.3390/polym18030320 - 25 Jan 2026
Viewed by 364
Abstract
Traditional flexible polyurethane (PU) foams frequently exhibit limited mechanical support and suboptimal moisture–heat regulation, which can compromise the microenvironmental comfort required for high-quality sleep. In this study, natural luffa fibers (LF) were incorporated as a microstructural modifier to simultaneously enhance the mechanical and [...] Read more.
Traditional flexible polyurethane (PU) foams frequently exhibit limited mechanical support and suboptimal moisture–heat regulation, which can compromise the microenvironmental comfort required for high-quality sleep. In this study, natural luffa fibers (LF) were incorporated as a microstructural modifier to simultaneously enhance the mechanical and moisture–heat regulation performance of PU foams. PU/LF composite foams with varying LF loadings were prepared via in situ polymerization, and their foaming kinetics, cellular morphology evolution, and physicochemical characteristics were systematically investigated. The results indicate that LF functions both as a reinforcing skeleton and as a heterogeneous nucleation site, thereby promoting more uniform bubble formation and controlled open-cell development. At an optimal loading of 4 wt%, the composite foam developed a highly interconnected porous architecture, leading to a 7.9% increase in tensile strength and improvements of 19.4% and 22.6% in moisture absorption and moisture dissipation rates, respectively, effectively alleviating the heat–moisture accumulation typically observed in unmodified PU foams. Ergonomic pillow prototypes fabricated from the optimized composite further exhibited enhanced pressure-relief performance, as evidenced by reduced peak cervical pressure and improved uniformity of contact-area distribution in human–pillow pressure mapping, together with an increased SAG factor, indicating improved load-bearing adaptability under physiological sleep postures. Collectively, these findings elucidate the microstructural regulatory role of biomass-derived luffa fibers within porous polymer matrices and provide a robust material basis for developing high-performance, sustainable, and ergonomically optimized sleep products. Full article
(This article belongs to the Section Polymer Applications)
Show Figures

Graphical abstract

15 pages, 3939 KB  
Article
Super-Hydrophobic Polyurethane/Activated Biochar Composites with Polydimethylsiloxane Coating for High-Efficiency Organic Liquid Uptake
by Rafik Elarslene Dra, Badra Mahida, Malika Medjahdi, Belaid Mechab, Nadia Ramdani and Dominique Baillis
Materials 2026, 19(2), 415; https://doi.org/10.3390/ma19020415 - 21 Jan 2026
Viewed by 248
Abstract
The aim of this work is to develop structurally enhanced and highly hydrophobic polyurethane (PU) foams for the efficient remediation of liquid organic pollutants. For this purpose, PU foams were modified with renewable activated biochar derived from marine algae (AC) and a hydrophobic [...] Read more.
The aim of this work is to develop structurally enhanced and highly hydrophobic polyurethane (PU) foams for the efficient remediation of liquid organic pollutants. For this purpose, PU foams were modified with renewable activated biochar derived from marine algae (AC) and a hydrophobic polydimethylsiloxane (PDMS) coating, producing four systems: pristine PU, PU-AC, PU/PDMS, and the hybrid PU-AC/PDMS composite. The study evaluates how AC incorporation and PDMS surface functionalization influence the microstructure, chemical composition, wettability, thermal stability, and sorption behavior of the foams. SEM images revealed progressive reductions in pore size from 420 ± 80 μm (PU) to 360 ± 85 μm (PU-AC/PDMS), with AC introducing heterogeneity while PDMS preserved open-cell morphology. FTIR confirmed the presence of urethane linkages, carbonaceous structures, and PDMS siloxane groups. Surface hydrophobicity increased markedly from 88.53° (PU) to 148.25° (PU-AC/PDMS). TGA results showed that PDMS improved thermal stability through silica-rich char formation, whereas AC slightly lowered degradation onset. Sorption tests using petroleum-derived oils and hydrophobic organic liquids demonstrated a consistent performance hierarchy (PU < PU/PDMS < PU-AC < PU-AC/PDMS). The ternary composite achieved the highest uptake capacities, reaching 44–56 g/g for oils and up to 35 g/g for hydrophobic solvents, while maintaining reusability. These findings demonstrate that combining activated biochar with PDMS significantly enhances the functional properties of PU foams, offering an efficient and sustainable material for oil–water separation and organic pollutant remediation. Full article
Show Figures

Graphical abstract

22 pages, 56816 KB  
Article
Three-Dimensional CFD Simulations of the Flow Around an Infinitely Long Cylinder from Subcritical to Postcritical Reynolds Regimes Using DES
by Marielle de Oliveira, Fábio Saltara, Adrian Jackson, Mark Parsons and Bruno S. Carmo
Fluids 2026, 11(1), 26; https://doi.org/10.3390/fluids11010026 - 20 Jan 2026
Viewed by 392
Abstract
The flow around circular cylinders is a classic problem in fluid mechanics with significant implications for offshore engineering. While extensive numerical and experimental research has focused on the subcritical and critical Reynolds regimes, the supercritical and postcritical regimes remain challenging and relatively unexplored, [...] Read more.
The flow around circular cylinders is a classic problem in fluid mechanics with significant implications for offshore engineering. While extensive numerical and experimental research has focused on the subcritical and critical Reynolds regimes, the supercritical and postcritical regimes remain challenging and relatively unexplored, primarily due to the complex nature of turbulence and the high computational requirements. In this study, we perform three-dimensional detached eddy simulations using the finite volume method in OpenFOAM v1906, employing Menter’s k-ω SST turbulence model, to systematically investigate the flow past an infinitely long smooth cylinder from the subcritical through the postcritical regimes. The numerical setup ensures accurate near-wall resolution and reliable representation of unsteady flow features. We present a detailed analysis of vortex shedding patterns, wake evolution, and statistical properties of lift and drag coefficients for selected Reynolds numbers representative of each regime. The simulation results are benchmarked against experimental data from the literature, demonstrating good agreement for Strouhal number and mean drag. Special emphasis is placed on the evolution of wake topology and force coefficients as the flow transitions from laminar to fully turbulent conditions. The findings contribute to the limited numerical literature on flow around circular cylinders across subcritical, critical, supercritical, and postcritical Reynolds number regimes, providing insights that are fundamentally relevant to the broader scope of understanding vortex shedding phenomena. Full article
(This article belongs to the Section Mathematical and Computational Fluid Mechanics)
Show Figures

Figure 1

17 pages, 3422 KB  
Article
Binder-Free Spinel Co2CuO4 Nanosheet Electrodes with Cu-Driven Kinetic Enhancement for Alkaline OER Applications
by Abu Talha Aqueel Ahmed, Momin M. Mujtaba, Abu Saad Ansari and Sangeun Cho
Materials 2026, 19(2), 301; https://doi.org/10.3390/ma19020301 - 12 Jan 2026
Cited by 2 | Viewed by 334
Abstract
Developing electrocatalysts that are efficient and durable for the oxygen evolution reaction (OER) is essential for improving the energy efficiency of alkaline water splitting. Spinel-type transition-metal oxides have emerged as promising non-noble alternatives; however, their catalytic performance is often limited by sluggish charge [...] Read more.
Developing electrocatalysts that are efficient and durable for the oxygen evolution reaction (OER) is essential for improving the energy efficiency of alkaline water splitting. Spinel-type transition-metal oxides have emerged as promising non-noble alternatives; however, their catalytic performance is often limited by sluggish charge transport and insufficient utilization of active sites. Herein, we present a systematic comparative study of electrodeposited Co3O4 (CO-300) and Cu-substituted Co2CuO4 (CCO-300) nanosheet films directly grown on Ni foam. Structural, morphological, and spectroscopic analyses reveal that Cu2+ integration into Co-oxide spinel lattice modifies the local electronic environment and produces a more open and interconnected nanosheet architecture, thereby enhancing conductivity and increasing the density of accessible redox-active sites. As a result, the optimized CCO-300 exhibits superior catalytic performance at higher current densities, along with a smaller Tafel slope (44 mV dec–1), a larger electrochemically active surface area (ECSA), and reduced charge-transfer resistance compared to CCO-300, indicating accelerated reaction kinetics and improved electron-ion transport. Furthermore, the multistep chronopotentiometry measurements and long-term stability tests over 100 h at current densities of 10 and 250 mA cm–2 highlight the excellent operational stability of the CCO-300 catalyst. Full article
(This article belongs to the Section Energy Materials)
Show Figures

Graphical abstract

22 pages, 3541 KB  
Article
Bio-Based Pectin-Calcium Film and Foam Adsorbents with Immobilized Fe–BTC MOF for Water Contaminant Removal
by Francesco Coin, Carolina Iacovone and Silvina Cerveny
Polymers 2026, 18(2), 171; https://doi.org/10.3390/polym18020171 - 8 Jan 2026
Viewed by 540
Abstract
Metal-organic frameworks (MOFs) offer high porosity for water remediation but face challenges in handling as powders. We address these limitations by physically immobilizing Fe–BTC MOF within calcium-crosslinked low-methoxyl pectin matrices (PE–Ca–MOF). Solvent-cast films and freeze-dried foams were fabricated using water-based and polyvinylpyrrolidone (PVP)-assisted [...] Read more.
Metal-organic frameworks (MOFs) offer high porosity for water remediation but face challenges in handling as powders. We address these limitations by physically immobilizing Fe–BTC MOF within calcium-crosslinked low-methoxyl pectin matrices (PE–Ca–MOF). Solvent-cast films and freeze-dried foams were fabricated using water-based and polyvinylpyrrolidone (PVP)-assisted Fe–BTC dispersions, preserving MOF and pectin structures confirmed by FT–IR. PVP improved Fe–BTC dispersion and reduced particle size, enhancing distribution and plasticizing the matrix proved by DSC. Incorporation of water-dispersed Fe–BTC increased the equilibrium adsorption capacity but reduced the initial adsorption rate, while the PVP-assisted foam further enhanced uptake in comparative batch tests through its more open porous structure. At pH 7, PE–Ca–5%MOF films showed high adsorption capacities and removal efficiencies for paraquat (35.5 mg/g, 70.6%) and tetracycline (14.5 mg/g, 46.8%), while maintaining Zn2+ uptake compared to calcium-pectin films without MOF. Adsorption followed pseudo-first-order kinetics and Langmuir isotherms. Green regeneration with acetic acid enabled >80% capacity retention over five adsorption–desorption cycles. Foam architectures increased porosity and active-site accessibility (SEM), improving performance even at lower MOF loadings. Overall, controlling MOF dispersion and composite morphology enables efficient, reusable, and environmentally friendly bio-based adsorbents for water purification. Full article
(This article belongs to the Section Polymer Membranes and Films)
Show Figures

Graphical abstract

Back to TopTop