Sign in to use this feature.

Years

Between: -

Subjects

remove_circle_outline
remove_circle_outline
remove_circle_outline
remove_circle_outline
remove_circle_outline
remove_circle_outline
remove_circle_outline
remove_circle_outline
remove_circle_outline

Journals

Article Types

Countries / Regions

Search Results (32)

Search Parameters:
Keywords = N/S co-doped graphene

Order results
Result details
Results per page
Select all
Export citation of selected articles as:
11 pages, 2408 KB  
Article
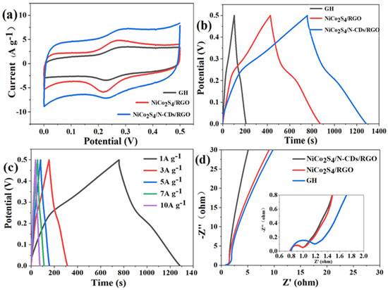
Lignin-Based N-Carbon Dots Anchoring NiCo2S4/Graphene Hydrogel Exhibits Excellent Performance as Anodes for Hybrid Supercapacitor
by Linlin Cui, Hanping Xu, Long Zhang and Xiaojuan Jin
Polymers 2024, 16(21), 2959; https://doi.org/10.3390/polym16212959 - 22 Oct 2024
Cited by 6 | Viewed by 1670
Abstract
A NiCo2S4/N-CDs/RGO ternary composite hydrogel was prepared via a one-step hydrothermal method, utilizing lignin-based nitrogen-doped carbon dots as a bridge connecting NiCo2S4 and graphene. The specific capacitance of NiCo2S4/N-CDs/RGO significantly outperforms that [...] Read more.
A NiCo2S4/N-CDs/RGO ternary composite hydrogel was prepared via a one-step hydrothermal method, utilizing lignin-based nitrogen-doped carbon dots as a bridge connecting NiCo2S4 and graphene. The specific capacitance of NiCo2S4/N-CDs/RGO significantly outperforms that of the GH and NiCo2S4/RGO electrodes, achieving 1050 F g−1. The 3D mesh porous hydrogel structure mitigates NiCo2S4 nanoparticle aggregation, providing a larger specific surface area for enhanced charge storage. The abundant functional groups of N-CDs interact with Ni (II) and Co (III) cations, favoring NiCo2S4 particle synthesis. Additionally, an assembled solid-state asymmetric supercapacitor employing NiCo2S4/N-CDs/RGO as the positive electrode exhibited excellent energy density (68.4 Wh kg−1) and cycle stability (82% capacitance retention after 10,000 constant current charge–discharge cycles). Full article
(This article belongs to the Section Polymer Applications)
Show Figures

Figure 1

23 pages, 8608 KB  
Article
Green Preparation of S, N Co-Doped Low-Dimensional C Nanoribbon/C Dot Composites and Their Optoelectronic Response Properties in the Visible and NIR Regions
by Xingfa Ma, Xintao Zhang, Mingjun Gao, You Wang and Guang Li
Materials 2024, 17(17), 4167; https://doi.org/10.3390/ma17174167 - 23 Aug 2024
Cited by 1 | Viewed by 1704
Abstract
The green production of nanocomposites holds great potential for the development of new materials. Graphene is an important class of carbon-based materials. Despite its high carrier mobility, it has low light absorption and is a zero-bandgap material. In order to tune the bandgap [...] Read more.
The green production of nanocomposites holds great potential for the development of new materials. Graphene is an important class of carbon-based materials. Despite its high carrier mobility, it has low light absorption and is a zero-bandgap material. In order to tune the bandgap and improve the light absorption, S, N co-doped low-dimensional C/C nanocomposites with polymer and graphene oxide nanoribbons (the graphene oxide nanoribbons were prepared by open zipping of carbon nanotubes in a previous study) were synthesized by one-pot carbonization through dimensional-interface and phase-interface tailoring of nanocomposites in this paper. The resulting C/C nanocomposites were coated on untreated A4 printing paper and the optoelectronic properties were investigated. The results showed that the S, N co-doped C/C nanoribbon/carbon dot hybrid exhibited enhanced photocurrent signals of the typical 650, 808, 980, and 1064 nm light sources and rapid interfacial charge transfer compared to the N-doped counterpart. These results can be attributed to the introduction of lone electron pairs of S, N elements, resulting in more transition energy and the defect passivation of carbon materials. In addition, the nanocomposite also exhibited some electrical switching response to the applied strain. The photophysical and doping mechanisms are discussed. This study provides a facile and green chemical approach to prepare hybrid materials with external stimuli response and multifunctionality. It provides some valuable information for the design of C/C functional nanocomposites through dimensional-interface and phase-interface tailoring and the interdisciplinary applications. Full article
(This article belongs to the Special Issue Nanoarchitectonics in Materials Science, Second Edition)
Show Figures

Figure 1

12 pages, 3269 KB  
Article
The Adsorption Behavior of Gas Molecules on Mn/N- and Mn-Doped Graphene
by Tingyue Xie, Cuifeng Tian, Ping Wang and Guozheng Zhao
Nanomaterials 2024, 14(16), 1353; https://doi.org/10.3390/nano14161353 - 15 Aug 2024
Cited by 5 | Viewed by 1788
Abstract
By using density functional theory (DFT), the adsorption behavior of gas molecules on defective graphene doped with manganese and nitrogen were investigated. The geometric structure, electronic structure, and magnetic properties of two substrates were calculated and the sensing mechanism was also analyzed. The [...] Read more.
By using density functional theory (DFT), the adsorption behavior of gas molecules on defective graphene doped with manganese and nitrogen were investigated. The geometric structure, electronic structure, and magnetic properties of two substrates were calculated and the sensing mechanism was also analyzed. The results indicate that the MnSV-GP and MnN3-GP have stronger structural stability, in which Mn atoms and their coordination atoms will become the adsorption point for five gas molecules (CH2O, CO, N2O, SO2, and NH3), respectively. Moreover, at room temperature (298 K), the recovery time of the MnSV-GP sensor for N2O gas molecules is approximately 1.1 s. Therefore, it can be concluded that the MnSV-GP matrix as a magnetic gas sensor has a promising potential for detecting N2O. These results also provide a new pathway for the potential application of Mn-doped graphene in the field of gas sensors. Full article
Show Figures

Figure 1

17 pages, 6132 KB  
Article
Preparation and Lithium-Ion Capacitance Performance of Nitrogen and Sulfur Co-Doped Carbon Nanosheets with Limited Space via the Vermiculite Template Method
by Fang Yang, Pingzheng Jiang, Qiqi Wu, Wei Dong, Minghu Xue and Qiao Zhang
Molecules 2024, 29(2), 536; https://doi.org/10.3390/molecules29020536 - 22 Jan 2024
Cited by 2 | Viewed by 1942
Abstract
Nitrogen and sulfur co-doped graphene-like carbon nanosheets (CNSs) with a two-dimensional structure are prepared by using methylene blue as a carbon source and expanded vermiculite as a template. After static negative pressure adsorption, high-temperature calcination, and etching in a vacuum oven, they are [...] Read more.
Nitrogen and sulfur co-doped graphene-like carbon nanosheets (CNSs) with a two-dimensional structure are prepared by using methylene blue as a carbon source and expanded vermiculite as a template. After static negative pressure adsorption, high-temperature calcination, and etching in a vacuum oven, they are embedded in the limited space of the vermiculite template. The addition of an appropriate number of mixed elements can improve the performance of a battery. Via scanning electron microscopy, it is found that the prepared nitrogen–sulfur-co-doped carbon nanosheets exhibit a thin yarn shape. The XPS results show that there are four elements of C, N, O, and S in the carbon materials (CNS-600, CNS-700, CNS-800, CNS-900) prepared at different temperatures, and the N atom content shows a gradually decreasing trend. It is mainly doped into a graphene-like network in four ways (graphite nitrogen, pyridine nitrogen, pyrrole nitrogen, and pyridine nitrogen oxide), while the S element shows an increasing trend, mainly in the form of thiophene S and sulfur, which is covalently linked to oxygen. The results show that CNS-700 has a discharge-specific capacity of 460 mAh/g at a current density of 0.1 A/g, and it can still maintain a specific capacity of 200 mAh/g at a current density of 2 A/g. The assembled lithium-ion capacitor has excellent energy density and power density, with a maximum power density of 20,000 W/kg. Full article
(This article belongs to the Special Issue Advanced Functional Nanomaterials for Energy Conversion and Storage)
Show Figures

Graphical abstract

22 pages, 2616 KB  
Article
Exploring the Potential of Heteroatom-Doped Graphene Nanoribbons as a Catalyst for Oxygen Reduction
by Eduardo S. F. Cardoso, Guilherme V. Fortunato, Clauber D. Rodrigues, Marcos R. V. Lanza and Gilberto Maia
Nanomaterials 2023, 13(21), 2831; https://doi.org/10.3390/nano13212831 - 26 Oct 2023
Cited by 7 | Viewed by 2697
Abstract
In this study, we created a series of N, S, and P-doped and co-doped carbon catalysts using a single graphene nanoribbon (GNR) matrix and thoroughly evaluated the impact of doping on ORR activity and selectivity in acidic, neutral, and alkaline conditions. The results [...] Read more.
In this study, we created a series of N, S, and P-doped and co-doped carbon catalysts using a single graphene nanoribbon (GNR) matrix and thoroughly evaluated the impact of doping on ORR activity and selectivity in acidic, neutral, and alkaline conditions. The results obtained showed no significant changes in the GNR structure after the doping process, though changes were observed in the surface chemistry in view of the heteroatom insertion and oxygen depletion. Of all the dopants investigated, nitrogen (mainly in the form of pyrrolic-N and graphitic-N) was the most easily inserted and detected in the carbon matrix. The electrochemical analyses conducted showed that doping impacted the performance of the catalyst in ORR through changes in the chemical composition of the catalyst, as well as in the double-layer capacitance and electrochemically accessible surface area. In terms of selectivity, GNR doped with phosphorus and sulfur favored the 2e ORR pathway, while nitrogen favored the 4e ORR pathway. These findings can provide useful insights into the design of more efficient and versatile catalytic materials for ORR in different electrolyte solutions, based on functionalized carbon. Full article
Show Figures

Graphical abstract

15 pages, 7498 KB  
Article
Probing the Activity Enhancement of Carbocatalyst with the Anchoring of Atomic Metal
by Zhe Zhang, Jie Huang, Wei Chen, Jufang Hao, Jiangbo Xi, Jian Xiao, Baojiang He and Jun Chen
Nanomaterials 2023, 13(17), 2434; https://doi.org/10.3390/nano13172434 - 27 Aug 2023
Cited by 8 | Viewed by 2002
Abstract
Enhanced catalysis for organic transformation is essential for the synthesis of high-value compounds. Atomic metal species recently emerged as highly effective catalysts for organic reactions with high activity and metal utilization. However, developing efficient atomic catalysts is always an attractive and challenging topic [...] Read more.
Enhanced catalysis for organic transformation is essential for the synthesis of high-value compounds. Atomic metal species recently emerged as highly effective catalysts for organic reactions with high activity and metal utilization. However, developing efficient atomic catalysts is always an attractive and challenging topic in the modern chemical industry. In this work, we report the preparation and activity enhancement of nitrogen- and sulfur-codoped holey graphene (NSHG) with the anchoring of atomic metal Pd. When employed as the catalyst for nitroarenes reduction reactions, the resultant Pd/NSHG composite exhibits remarkably high catalytic activity due to the co-existence of dual-active components (i.e., catalytically active NSHG support and homogeneous dispersion of atomic metal Pd). In the catalytic 4-nitrophenol (4-NP) reduction reaction, the efficiency (turnover frequency) is 3.99 × 10−2 mmol 4-NP/(mg cat.·min), which is better than that of metal-free nitrogen-doped holey graphene (NHG) (2.3 × 10−3 mmol 4-NP/(mg cat.·min)) and NSHG carbocatalyst (3.8 × 10−3 mmol 4-NP/(mg cat.·min)), the conventional Pd/C and other reported metal-based catalysts. This work provides a rational design strategy for the atomic metal catalysts loaded on active doped graphene support. The resultant Pd/NSHG dual-active component catalyst (DACC) is also anticipated to bring great application potentials for a broad range of organic fields, such as organic synthesis, environment treatment, energy storage and conversion. Full article
(This article belongs to the Special Issue Carbon-Based Nanomaterials for Highly Efficient Catalysis)
Show Figures

Figure 1

22 pages, 4063 KB  
Article
The Influence of Reduced Graphene Oxide on the Texture and Chemistry of N,S-Doped Porous Carbon. Implications for Electrocatalytic and Energy Storage Applications
by Samantha K. Samaniego Andrade, Shiva Shankar Lakshmi, István Bakos, Szilvia Klébert, Robert Kun, Miklós Mohai, Balázs Nagy and Krisztina László
Nanomaterials 2023, 13(16), 2364; https://doi.org/10.3390/nano13162364 - 18 Aug 2023
Cited by 5 | Viewed by 2830
Abstract
In this work, we study the influence of reduced graphene oxide (rGO) on the morphology and chemistry of highly porous N,S-doped carbon cryogels. Simultaneously, we propose an easily upscalable route to prepare such carbons by adding graphene oxide (GO) in as-received suspended form [...] Read more.
In this work, we study the influence of reduced graphene oxide (rGO) on the morphology and chemistry of highly porous N,S-doped carbon cryogels. Simultaneously, we propose an easily upscalable route to prepare such carbons by adding graphene oxide (GO) in as-received suspended form to the aqueous solution of the ι-carrageenan and urea precursors. First, 1.25–5 wt% GO was incorporated into the dual-doped polymer matrix. The CO2, CO, and H2O emitted during the thermal treatments resulted in the multifaceted modification of the textural and chemical properties of the porous carbon. This facilitated the formation of micropores through self-activation and resulted in a substantial increase in the apparent surface area (up to 1780 m2/g) and pore volume (up to 1.72 cm3/g). However, adding 5 wt% GO led to overactivation. The incorporated rGO has an ordering effect on the carbon matrix. The evolving oxidative species influence the surface chemistry in a complex way, but sufficient N and S atoms (ca. 4 and >1 at%, respectively) were preserved in addition to the large number of developing defects. Despite the complexity of the textural and chemical changes, rGO increased the electrical conductivity monotonically. In alkaline oxygen reduction reaction (ORR) tests, the sample with 1.25 wt% GO exhibited a 4e mechanism and reasonable stability, but a higher rGO content gradually compromised the performance of the electrodes. The sample containing 5 wt% GO was the most sensitive under oxidative conditions, but after stabilization it exhibited the highest gravimetric capacitance. In Li-ion battery tests, the coulombic efficiency of all the samples was consistently above 98%, indicating the high potential of these carbons for efficient Li-ion insertion and reinsertion during the charge–discharge process, thereby providing a promising alternative for graphite-based anodes. The cell from the 1.25 wt% GO sample showed an initial discharge capacity of 313 mAh/g, 95.1% capacity retention, and 99.3% coulombic efficiency after 50 charge–discharge cycles. Full article
(This article belongs to the Special Issue 2D and Carbon Nanomaterials for Energy Conversion and Storage)
Show Figures

Figure 1

16 pages, 6377 KB  
Article
Effect of Carbon Nanoparticles on the Porous Texture of ι-Carrageenan-Based N-Doped Nanostructured Porous Carbons and Implications for Gas Phase Applications
by Samantha K. Samaniego Andrade, Alfréd Menyhárd, Szilvia Klébert, Miklós Mohai, Balázs Nagy and Krisztina László
C 2023, 9(3), 68; https://doi.org/10.3390/c9030068 - 12 Jul 2023
Cited by 3 | Viewed by 3014
Abstract
S and N double-doped high surface area biomass-derived carbons were obtained from marine biomass-derived ι-carrageenan. Adding carbon nanoparticles (CNPs), namely graphene oxide (GO) or carbon nanotubes (CNTs), in the early stage of the synthesis leads to a modified porous texture and surface chemistry. [...] Read more.
S and N double-doped high surface area biomass-derived carbons were obtained from marine biomass-derived ι-carrageenan. Adding carbon nanoparticles (CNPs), namely graphene oxide (GO) or carbon nanotubes (CNTs), in the early stage of the synthesis leads to a modified porous texture and surface chemistry. The porous textures were characterized by N2 (−196.15 °C) and CO2 (0 °C) isotherms. The best GO- and CNT-added carbons had an apparent surface area of 1780 m2/g and 1170 m2/g, respectively, compared to 1070 m2/g for the CNP-free matrix. Analysis of the Raman spectra revealed that CNT was more efficient in introducing new defects than GO. Based on XPS, the carbon samples contain 2–4.5 at% nitrogen and 1.1 at% sulfur. The Dubinin–Radushkevich (DR) and Henry models were used to assess the strength of the interactions between various gases and the surface. The N2/H2 and CO2/CH4 selectivities were estimated with ideal adsorbed solution theory (IAST). While the CNPs, particularly GO, had a remarkable influence on the porous texture and affected the surface chemistry, their influence on the separation selectivity of these gases was more modest. Full article
(This article belongs to the Special Issue Carbons for Health and Environmental Protection)
Show Figures

Figure 1

19 pages, 5376 KB  
Article
The Role of the Precursor on the Electrochemical Performance of N,S Co-Doped Graphene Electrodes in Aqueous Electrolytes
by Rodrigo Braga, Diana M. Fernandes, Alberto Adán-Más, Teresa M. Silva and M. F. Montemor
Batteries 2023, 9(3), 168; https://doi.org/10.3390/batteries9030168 - 13 Mar 2023
Cited by 8 | Viewed by 2887
Abstract
The introduction of pillared agents or dopants to the graphene used as the electroactive material in supercapacitor electrodes can be an efficient way to facilitate ion transfer, mitigate re-stacking, and improve electrochemical performance. We evaluated the effect of different precursors containing nitrogen (N) [...] Read more.
The introduction of pillared agents or dopants to the graphene used as the electroactive material in supercapacitor electrodes can be an efficient way to facilitate ion transfer, mitigate re-stacking, and improve electrochemical performance. We evaluated the effect of different precursors containing nitrogen (N) and sulfur (S) atoms to dope graphene flake (GF) lattices. The electrochemical performance of the doped GF was assessed in 1 M KOH and 1 M Na2SO4 electrolytes. N- and S-doped GF flakes were synthesized via mechanochemical synthesis, also known as ball milling. After being ground, the materials were calcined under N2. The physicochemical characterization of the materials evidenced the co-doping of both S and N into the graphene backbone, as corroborated by the results of Raman spectroscopy, X-ray diffraction (XRD), X-ray photoelectron spectroscopy (XPS), and transmission electron microscopy (TEM). As shown by the results, the nature of the precursors influences the ratio of S and N in the doped graphene flakes and, consequently, the response of the electroactive electrode material. The co-doping obtained using 4-amino-3-hydrazino-5-mercapto-1,2,4-triazole revealed a specific capacitance of 48 F.g−1 at 1.0 A∙g−1 and over 90% capacitance retention after 10,000 cycles at 10.0 A∙g−1 in Na2SO4. Full article
(This article belongs to the Special Issue Feature Papers to Celebrate the First Impact Factor of Batteries)
Show Figures

Figure 1

12 pages, 1983 KB  
Article
Mesoporous Surface-Sulfurized Fe–Co3O4 Nanosheets Integrated with N/S Co-Doped Graphene as a Robust Bifunctional Electrocatalyst for Oxygen Evolution and Reduction Reactions
by Lingxue Meng, Yige Wang, Wenwei Liu, Chunlei Fan, Haoxiong Nan, Jiang Wang and Jia Yu
Molecules 2023, 28(5), 2221; https://doi.org/10.3390/molecules28052221 - 27 Feb 2023
Cited by 3 | Viewed by 2834
Abstract
Playing a significant role in electrochemical energy conversion and storage systems, heteroatom-doped transition metal oxides are key materials for oxygen-involving reactions. Herein, mesoporous surface-sulfurized Fe–Co3O4 nanosheets integrated with N/S co-doped graphene (Fe–Co3O4–S/NSG) were designed as composite [...] Read more.
Playing a significant role in electrochemical energy conversion and storage systems, heteroatom-doped transition metal oxides are key materials for oxygen-involving reactions. Herein, mesoporous surface-sulfurized Fe–Co3O4 nanosheets integrated with N/S co-doped graphene (Fe–Co3O4–S/NSG) were designed as composite bifunctional electrocatalysts for the oxygen evolution reaction (OER) and the oxygen reduction reaction (ORR). Compared with the Co3O4–S/NSG catalyst, it exhibited superior activity in the alkaline electrolytes by delivering an OER overpotential of 289 mV at 10 mA cm−2 and an ORR half-wave potential of 0.77 V vs. RHE. Additionally, Fe–Co3O4–S/NSG kept stable at 4.2 mA cm−2 for 12 h without significant attenuation to render robust durability. This work not only demonstrates the satisfactory effect of the transition-metal cationic modification represented by iron doping on the electrocatalytic performance of Co3O4, but it also provides a new insight on the design of OER/ORR bifunctional electrocatalysts for efficient energy conversion. Full article
(This article belongs to the Special Issue Energy-Relevant Advanced Materials)
Show Figures

Figure 1

22 pages, 9480 KB  
Article
Biomass-Derived Hard Carbon and Nitrogen-Sulfur Co-Doped Graphene for High-Performance Symmetric Sodium Ion Capacitor Devices
by Vediyappan Thirumal, T. V. M. Sreekanth, Kisoo Yoo and Jinho Kim
Energies 2023, 16(2), 802; https://doi.org/10.3390/en16020802 - 10 Jan 2023
Cited by 22 | Viewed by 4952
Abstract
An inexpensive bio-mass-derived hard carbon from tamarind pods was used as an anode, and nitrogen and nitrogen (N)/sulfur (S) co-doped graphene were used as a cathode for novel hybrid Na-ion supercapacitors. The structural and surface morphological analyses are investigated using a range of [...] Read more.
An inexpensive bio-mass-derived hard carbon from tamarind pods was used as an anode, and nitrogen and nitrogen (N)/sulfur (S) co-doped graphene were used as a cathode for novel hybrid Na-ion supercapacitors. The structural and surface morphological analyses are investigated using a range of techniques. The 3D network of the heteroatom-doped graphene skeleton edges for N and NS-doping conformations were assigned as N-RGOs (N1s-5.09 at.%) and NS-RGOs (N1s-7.66 at.% and S1s-2.22 at.%) based on energy dispersive X-ray spectroscopy elemental mapping. The negative electrode (T-HC) hard carbon was pre-treated by pre-sodiation with a half-cell process by galvanostatic charge–discharge in a sodium-ion battery at 0.01–2.5 V vs. Na/Na+. The T-HC//NS-RGO, T-HC//N-RGO, and T-HC//RGO were used to construct the Na-ion supercapacitor device. In the CV experiments, the electrochemical galvanostatic charge–discharge was studied at 1.0–4.2 V. The specific capacitance was 352.18 F/g for the T.HC/NS-RGO device and 180.93 F/g for the T.HC/N-RGO device; both were symmetric devices. T.HC/NS-RGO device performance revealed excellent cycling stability, with T-HC//NS-RGO showing 89.26% capacitance retention over 5000 cycles. A carbon–carbon symmetric device, such as a Na-ion hybrid capacitor, can exhibit the characteristics of both batteries and supercapacitors for future electric vehicles. Full article
(This article belongs to the Section L: Energy Sources)
Show Figures

Figure 1

12 pages, 3658 KB  
Article
Identifying the Active Sites of Heteroatom Graphene as a Conductive Membrane for the Electrochemical Filtration of Organic Contaminants
by Meilan Pan, Junjian Li and Bingjun Pan
Int. J. Mol. Sci. 2022, 23(23), 14967; https://doi.org/10.3390/ijms232314967 - 29 Nov 2022
Cited by 4 | Viewed by 1948
Abstract
The dopants of sulfur, nitrogen, or both, serving as the active sites, into the graphitic framework of graphene is an efficient strategy to improve the electrochemical performance of electrochemical membrane filtration. However, the covalent bonds between the doped atoms and the substrate that [...] Read more.
The dopants of sulfur, nitrogen, or both, serving as the active sites, into the graphitic framework of graphene is an efficient strategy to improve the electrochemical performance of electrochemical membrane filtration. However, the covalent bonds between the doped atoms and the substrate that form different functional groups have a significant role in the specific activity for pollutant degradation. Herein, we found that the singly doped heteroatom graphene (NG and SG) achieved superior removal efficiency of pollutants as compared with that of the double doped heteroatom graphene (SNG). Mechanism studies showed that the doped N of NG presented as graphitic N and substantially increased electron transfer, whereas the doped S of SG posed as -C-SOx-C- provided more adsorption sites to improve electrochemical performance. However, in the case of SNG, the co-doped S and N cannot form the efficient graphitic N and -C-SOx-C- for electrochemical degradation, resulting in a low degradation efficiency. Through the fundamental insights into the bonding of the doped heteroatom on graphene, this work furnishes further directives for the design of desirable heteroatom graphene for membrane filtration. Full article
Show Figures

Figure 1

13 pages, 17629 KB  
Article
Functionalized GO Membranes for Efficient Separation of Acid Gases from Natural Gas: A Computational Mechanistic Understanding
by Quan Liu, Zhonglian Yang, Gongping Liu, Longlong Sun, Rong Xu and Jing Zhong
Membranes 2022, 12(11), 1155; https://doi.org/10.3390/membranes12111155 - 16 Nov 2022
Cited by 5 | Viewed by 3311
Abstract
Membrane separation technology is applied in natural gas processing, while a high-performance membrane is highly in demand. This paper considers the bright future of functionalized graphene oxide (GO) membranes in acid gas removal from natural gas. By molecular simulations, the adsorption and diffusion [...] Read more.
Membrane separation technology is applied in natural gas processing, while a high-performance membrane is highly in demand. This paper considers the bright future of functionalized graphene oxide (GO) membranes in acid gas removal from natural gas. By molecular simulations, the adsorption and diffusion behaviors of several unary gases (N2, CH4, CO2, H2S, and SO2) are explored in the 1,4-phenylenediamine-2-sulfonate (PDASA)-doped GO channels. Molecular insights show that the multilayer adsorption of acid gases evaluates well by the Redlich-Peterson model. A tiny amount of PDASA promotes the solubility coefficient of CO2 and H2S, respectively, up to 4.5 and 5.3 mmol·g−1·kPa−1, nearly 2.5 times higher than those of a pure GO membrane, which is due to the improved binding affinity, great isosteric heat, and hydrogen bonds, while N2 and CH4 only show single-layer adsorption with solubility coefficients lower than 0.002 mmol·g−1·kPa−1, and their weak adsorption is insusceptible to PDASA. Although acid gas diffusivity in GO channels is inhibited below 20 × 10−6 cm2·s−1 by PDASA, the solubility coefficient of acid gases is certainly high enough to ensure their separation efficiency. As a result, the permeabilities (P) of acid gases and their selectivities (α) over CH4 are simultaneously improved (PCO2 = 7265.5 Barrer, αCO2/CH4 = 95.7; P(H2S+CO2) = 42075.1 Barrer, αH2S/CH4 = 243.8), which outperforms most of the ever-reported membranes. This theoretical study gives a mechanistic understanding of acid gas separation and provides a unique design strategy to develop high-performance GO membranes toward efficient natural gas processing. Full article
(This article belongs to the Special Issue Preparation and Application of Advanced Functional Membranes)
Show Figures

Graphical abstract

17 pages, 5338 KB  
Article
Deep-Eutectic-Solvent-Assisted Synthesis of a Z-Scheme BiVO4/BiOCl/S,N-GQDS Heterojunction with Enhanced Photocatalytic Degradation Activity under Visible-Light Irradiation
by Hengxin Ren, Kuilin Lv, Wenbin Liu, Pengfei Li, Yu Zhang and Yuguang Lv
Micromachines 2022, 13(10), 1604; https://doi.org/10.3390/mi13101604 - 27 Sep 2022
Cited by 9 | Viewed by 3016
Abstract
Z-scheme heterojunction photocatalytic nanomaterial designs have attracted attention due to their high catalytic performance. Deep eutectic solvents (DESs) have been used as green, sustainable media, acting as solvents and structure inducers in the synthesis of nanomaterials. In this work, a novel visible-light-absorption-enhanced bismuth [...] Read more.
Z-scheme heterojunction photocatalytic nanomaterial designs have attracted attention due to their high catalytic performance. Deep eutectic solvents (DESs) have been used as green, sustainable media, acting as solvents and structure inducers in the synthesis of nanomaterials. In this work, a novel visible-light-absorption-enhanced bismuth vanadate/bismuth oxychloride/sulfur, nitrogen co-doped graphene quantum dot (BiVO4/BiOCl/S,N-GQDS) heterojunction photocatalyst was prepared in a deep eutectic solvent. The photosynthetic activity of the BiVO4/BiOCl/S,N-GQDS composite was determined by the photocatalytic degradation of rhodamine B (RhB) under visible-light irradiation. The results showed that the highest photocatalytic activity of BiVO4/BiOCl/S,N-GQDS was achieved when the doping amount of S,N-GQDS was 3%, and the degradation rate of RhB reached 70% within 5 h. The kinetic and photocatalytic cycles showed that the degradation of Rhb was in accordance with the quasi-primary degradation kinetic model, and the photocatalytic performance remained stable after four photocatalytic cycles. Ultraviolet–visible diffuse reflectance (UV-DRS) and photoluminescence (PL) experiments confirmed that BiVO4/BiOCl/S,N-GQDS ternary heterojunctions have a narrow band gap energy (2.35 eV), which can effectively improve the separation efficiency of the photogenerated electron–hole pairs and suppress their complexation. This is due to the construction of a Z-scheme charge process between the BiVO4/BiOCl binary heterojunction and S,N-GQDS, which achieves effective carrier separation and thus a strong photocatalytic capability. This work not only provides new insights into the design of catalysts using a green solvent approach but also provides a reference for the study of heterojunction photocatalytic materials based on bismuth vanadate, as well as new ideas for other photocatalytic materials. Full article
Show Figures

Figure 1

9 pages, 1676 KB  
Article
Secondary-Heteroatom-Doping-Derived Synthesis of N, S Co-Doped Graphene Nanoribbons for Enhanced Oxygen Reduction Activity
by Bing Li, Tingting Xiang, Yuqi Shao, Fei Lv, Chao Cheng, Jiali Zhang, Qingchao Zhu, Yifan Zhang and Juan Yang
Nanomaterials 2022, 12(19), 3306; https://doi.org/10.3390/nano12193306 - 23 Sep 2022
Cited by 7 | Viewed by 2598
Abstract
The rareness and weak durability of Pt-based electrocatalysts for oxygen reduction reactions (ORRs) have hindered the large-scale application of fuel cells. Here, we developed an efficient metal-free catalyst consisting of N, S co-doped graphene nanoribbons (N, S-GNR-2s) for ORRs. GNRs were firstly synthesized [...] Read more.
The rareness and weak durability of Pt-based electrocatalysts for oxygen reduction reactions (ORRs) have hindered the large-scale application of fuel cells. Here, we developed an efficient metal-free catalyst consisting of N, S co-doped graphene nanoribbons (N, S-GNR-2s) for ORRs. GNRs were firstly synthesized via the chemical unzipping of carbon nanotubes, and then N, S co-doping was conducted using urea as the primary and sulfourea as the secondary heteroatom sources. The successful incorporation of nitrogen and sulfur was confirmed by elemental mapping analysis as well as X-ray photoelectron spectroscopy. Electrochemical testing revealed that N, S-GNR-2s exhibited an Eonset of 0.89 V, E1/2 of 0.79 V and an average electron transfer number of 3.72, as well as good stability and methanol tolerance. As a result, N, S-GNR-2s displayed better ORR property than either N-GNRs or N, S-GNRs, the control samples prepared with only a primary heteroatom source, strongly clarifying the significance of secondary-heteroatom-doping on enhancing the catalytic activity of carbon-based nanomaterials. Full article
(This article belongs to the Special Issue Advances in Nano-Electrochemical Materials and Devices)
Show Figures

Graphical abstract

Back to TopTop