Sign in to use this feature.

Years

Between: -

Subjects

remove_circle_outline
remove_circle_outline
remove_circle_outline
remove_circle_outline
remove_circle_outline
remove_circle_outline
remove_circle_outline
remove_circle_outline
remove_circle_outline

Journals

remove_circle_outline
remove_circle_outline
remove_circle_outline
remove_circle_outline
remove_circle_outline
remove_circle_outline
remove_circle_outline

Article Types

Countries / Regions

remove_circle_outline
remove_circle_outline
remove_circle_outline
remove_circle_outline
remove_circle_outline
remove_circle_outline

Search Results (1,388)

Search Parameters:
Keywords = Mann–Kendall Test

Order results
Result details
Results per page
Select all
Export citation of selected articles as:
17 pages, 1285 KB  
Article
Impact of Forest Restoration on Reducing Soil and Water Loss in a Bare Catchment of the Purple Soil Region, Southwestern China
by Junxia Yan, Zhenzhao Lan, Jiangkun Zheng, Xinyi Xiang, Xin Chen, Yuhe Chen and Zhaofu Ge
Forests 2026, 17(1), 29; https://doi.org/10.3390/f17010029 (registering DOI) - 25 Dec 2025
Abstract
Soil erosion in the purple soil region presents severe challenges with complex driving mechanisms. At the same time, evaluation and prediction of runoff and sediment dynamics are lacking for natural vegetation restoration in bare areas. The Mann–Kendall and Pettitt tests were employed to [...] Read more.
Soil erosion in the purple soil region presents severe challenges with complex driving mechanisms. At the same time, evaluation and prediction of runoff and sediment dynamics are lacking for natural vegetation restoration in bare areas. The Mann–Kendall and Pettitt tests were employed to identify abrupt shift points in runoff and sediment dynamics, utilizing monitoring data from the Suining Soil and Water Conservation Experimental Station over the period from 1984 to 2018. Therefore, the research periods were divided into a baseline period (1984–1992) and an evaluation period (1993–2018). Subsequently, encompassing rainfall, runoff, sediment, topography, soil properties, and vegetation parameters, a Water Erosion Prediction Project (WEPP) model was established to quantify the reduction benefits of runoff and sediment during the period of forest restoration. We found that the calibrated WEPP model demonstrated satisfactory performance based on Nash–Sutcliffe efficiency coefficients (NSE > 0.5) and determination coefficients (R2 > 0.5) for runoff and sediment simulations. The WEPP model and double-mass curve analysis method revealed that forest restoration reduced runoff and sediment by more than 80%. It is recommended to implement artificial vegetation restoration before reaching the threshold for natural vegetation restoration to achieve soil and water conservation goals. Full article
(This article belongs to the Special Issue Soil and Water Conservation in Forestry)
21 pages, 4863 KB  
Article
Revealing Emerging Hydroclimatic Shifts: Advanced Trend Analysis of Rainfall and Streamflow in the Navasota River Watershed
by Ali Fares, Ripendra Awal, Anwar Assefa Adem, Anoop Valiya Veettil, Taha B. M. J. Ouarda, Samuel Brody and Marouane Temimi
Hydrology 2026, 13(1), 12; https://doi.org/10.3390/hydrology13010012 (registering DOI) - 25 Dec 2025
Abstract
Rainfall and streamflow analyses have long been central to hydrological research, yet traditional approaches often overlook the complexity introduced by changing climate signals, land-use dynamics, and human infrastructure. This study applies an integrated, data-driven framework to explore emerging hydroclimatic shifts in the Navasota [...] Read more.
Rainfall and streamflow analyses have long been central to hydrological research, yet traditional approaches often overlook the complexity introduced by changing climate signals, land-use dynamics, and human infrastructure. This study applies an integrated, data-driven framework to explore emerging hydroclimatic shifts in the Navasota River Watershed of east-central Texas. By combining autocorrelation analysis, Mann–Kendall and modified Mann–Kendall trend tests, and Pettitt’s change-point detection, we examine more than a century of precipitation and streamflow records alongside post-1978 reservoir operations. Results reveal an accelerating wetting tendency, particularly evident in decadal rolling averages and early-summer precipitation, accompanied by a statistically significant increase in 10-year moving averages of annual peak streamflow. While abrupt regime shifts were not detected, subtle but persistent changes point to evolving watershed memory and heightened flood risk in the post-dam era. This study reframes rainfall and streamflow trend analysis as a dynamic tool for anticipating hydrologic regime shifts, highlighting the urgent need for adaptive water infrastructure and flood management strategies in rapidly urbanizing and climate-sensitive watersheds. Full article
(This article belongs to the Special Issue Trends and Variations in Hydroclimatic Variables: 2nd Edition)
Show Figures

Figure 1

26 pages, 1874 KB  
Article
Spatiotemporal Evolution Characteristics of Summer Dry-Heat Compound Events in Liaoning Province
by Xiaotian Bai, Rui Wang, Fengjun Shan and Longpeng Cong
Atmosphere 2026, 17(1), 22; https://doi.org/10.3390/atmos17010022 - 24 Dec 2025
Abstract
In the context of global warming, the continued increase in the frequency of compound events—where drought and high-temperature extremes coincide—has led to severe natural disasters and substantial socio-economic losses. To systematically reveal the evolution of summer dry-heat compound events in Liaoning Province, this [...] Read more.
In the context of global warming, the continued increase in the frequency of compound events—where drought and high-temperature extremes coincide—has led to severe natural disasters and substantial socio-economic losses. To systematically reveal the evolution of summer dry-heat compound events in Liaoning Province, this study constructs a whole-chain analysis framework of “identification–feature extraction–multivariate probability assessment”. Based on the Standardised Precipitation Index (SPI) and the Standardised Temperature Index (STI), we develop the Standardised Dry-Heat Index (SDHI) to identify dry-heat compound events. Run theory is applied simultaneously to extract key attributes for three types of events—drought, high temperature, and dry-heat compound events—and the Mann–Kendall test is used to detect their temporal mutation characteristics. By combining Copula functions with spatial analysis techniques, we further establish a whole-chain analysis method from “identification–feature extraction–hazard quantification”. The results show that during 1961–2020, summer drought, high-temperature, and dry-heat compound events occurred 4, 14, and 10 times, respectively, in Liaoning Province, with all three types showing a significant increase in frequency after the late 1990s. Spatially, zones of high drought intensity are mainly located in western Liaoning; the duration and severity of high temperatures are most pronounced in inland basin areas; and regions with high compound hazard intensity of dry-heat events largely coincide with urbanised areas. Climate propensity analyses further reveal that the province is experiencing an increasingly dry-heat-prone climate, with high temperatures being the dominant factor driving the enhanced hazard associated with dry-heat compound events. This study overcomes the limitations of traditional single-event analyses and provides a more accurate scientific basis for hazard assessment and zonal prevention and control of dry-heat disasters in Liaoning Province. Full article
(This article belongs to the Special Issue Compound Events and Climate Change Impacts in Agriculture)
18 pages, 6039 KB  
Article
Climatic Variability and Adaptive Zoning of Maize Cultivation in High-Latitude Cold Regions
by Jia Huang, Ning Fang, Shiran Jin and Chang Zhai
Agriculture 2026, 16(1), 40; https://doi.org/10.3390/agriculture16010040 - 24 Dec 2025
Abstract
Climate change induces widespread effects on crop production, influencing multiple developmental stages and associated agronomic outcomes. Using long-term meteorological data from Jilin Province, Northeast China, this study examined temporal and spatial variations in climatic conditions through trend analysis, Mann–Kendall tests, and inverse distance [...] Read more.
Climate change induces widespread effects on crop production, influencing multiple developmental stages and associated agronomic outcomes. Using long-term meteorological data from Jilin Province, Northeast China, this study examined temporal and spatial variations in climatic conditions through trend analysis, Mann–Kendall tests, and inverse distance weighting interpolation. A fuzzy comprehensive evaluation model was applied to classify maize cultivation suitability into four levels across major production areas, with Level I representing the most suitable regions, Level II highly suitable regions, Level III moderately suitable regions, and Level IV low suitable regions. Changes in suitable areas were analyzed before and after abrupt climatic shifts. From 1976 to 2020, Jilin Province experienced a significant rise in annual mean temperature, a marked decline in sunshine duration, and a slight increase in precipitation. The area of Level I suitability remained stable, while Level II expanded to approximately 1.3 times its original area. Conversely, Level III and IV areas decreased by 4.59% and 28.77%, respectively, compared with the pre-transition period. Spatially, the most suitable maize cultivation areas shifted from central to northern and eastern Jilin due to climatic warming. Although rising temperatures enhanced thermal conditions for maize production, reduced sunshine and variable precipitation constrained further expansion. These findings provide a scientific basis for optimizing maize variety selection and cropping structure in high-latitude regions, supporting yield improvement and sustainable development of the maize industry under a changing climate. Full article
(This article belongs to the Section Ecosystem, Environment and Climate Change in Agriculture)
Show Figures

Figure 1

17 pages, 1766 KB  
Article
Detection of Nonstationarity in Peak Flow, Volume, and Duration in an Urbanizing Catchment
by Aure Flo Oraya, Eugene Herrera and Guillermo Tabios
Math. Comput. Appl. 2026, 31(1), 2; https://doi.org/10.3390/mca31010002 - 23 Dec 2025
Abstract
Urban catchments are increasingly vulnerable to hydrologic extremes driven by land-use change and climate variability, challenging the traditional assumption of stationarity. This study develops a computational framework to assess the nonstationary behavior of peak flow, volume, and duration in an urban catchment in [...] Read more.
Urban catchments are increasingly vulnerable to hydrologic extremes driven by land-use change and climate variability, challenging the traditional assumption of stationarity. This study develops a computational framework to assess the nonstationary behavior of peak flow, volume, and duration in an urban catchment in the Philippines using 39 years of daily flow records (June 1984–November 2022). Missing observations (~8% of the series) were reconstructed using multiple linear regression (MLR) and artificial neural networks (ANNs) with four predictors: daily rainfall, antecedent rainfall, antecedent flow, and built-up area index. MLR with all predictors yielded the most accurate reconstructions. Nonstationarity was detected using the Mann–Kendall test, Sen slope estimator, Pettitt test, and variance change test. Flood events were extracted using block maxima (BM) and peak-over-threshold (POT) methods. BM-based results showed stationary peak flow and volume, while duration increased by 1.78 h/year. POT analyses revealed nonstationarity across all variables, without significant shifts in variance. These findings demonstrate that methodological choices strongly influence nonstationary detection. The framework underscores the importance of reliable data reconstruction and robust statistical testing for nonstationary analysis of flood events. POT-based approaches more effectively capture evolving trends in peak flow, volume, and duration. These can be used in designing resilient infrastructure and flood risk management in urbanizing catchments. Full article
(This article belongs to the Section Engineering)
Show Figures

Figure 1

22 pages, 1518 KB  
Article
Trends in Surface Water Quality and Trophic State in the Yucatán Peninsula over the Last Decade
by Plutarco Hernández-Hernández, Laura Macario-González, Noel O. Cohuo-Zaragoza, Sergio Cohuo, Juan R. Beltrán-Castro, Lucía Montes-Ortiz, Leopoldo Q. Cutz-Pool and Christian M. Huix
Hydrology 2026, 13(1), 6; https://doi.org/10.3390/hydrology13010006 - 23 Dec 2025
Abstract
Urbanization, expanding tourism, and infrastructure development are altering water quality in the Yucatán Peninsula (YP). This study evaluated temporal variations in water quality and trophic status using the Water Quality Index (WQI) and Trophic State Index (TSI) across ten inland water systems (IWS) [...] Read more.
Urbanization, expanding tourism, and infrastructure development are altering water quality in the Yucatán Peninsula (YP). This study evaluated temporal variations in water quality and trophic status using the Water Quality Index (WQI) and Trophic State Index (TSI) across ten inland water systems (IWS) monitored from 2012 to 2024. Spatial patterns from an additional 29 IWS sampled in 2024 were also analyzed. The Mann–Kendall test and Theil–Sen estimator revealed a significant decline in water quality (Z = −9.07, β = −2.62) and a sustained increase in eutrophication (Z = 4.00, β = 1.15). The NMDS separated two lake groups: one with high nutrients and total coliforms, and another with elevated TDS and conductivity. The PCA identified turbidity, nitrogen, chlorophyll-a, and total coliforms as variables exerting the strongest influence on water variability. The WQI indicated generally poor conditions except in Bacalar Centro and Xul-Ha, which showed fair quality. The highest TSI values occurred in inland systems, except for La Sabana, which exhibited hypereutrophic conditions linked to wastewater inputs. NT–PT ratio indicated nitrogen limitation in most lakes, likely driven by groundwater recharge and low surface runoff. Overall, results demonstrate a progressive decline in water quality and widespread eutrophication across the YP. Full article
Show Figures

Figure 1

23 pages, 6257 KB  
Article
Quantifying and Explaining Land-Use Carbon Emissions in the Chengdu–Chongqing Urban Agglomeration: Spatiotemporal Analysis and Geodetector Insights
by Dingdi Jize, Miao Zhang, Aiting Ma, Wenjing Wang, Ji Luo, Pengyan Wang, Mei Zhang, Ping Huang, Minghong Peng, Xiantao Meng, Zhiwen Gong and Yuanjie Deng
Sustainability 2025, 17(24), 11328; https://doi.org/10.3390/su172411328 - 17 Dec 2025
Viewed by 147
Abstract
Land use change is a critical factor influencing regional carbon emissions, and understanding its spatiotemporal variability is essential for supporting science-based emission-reduction strategies. In this study, we constructed an improved measurement framework by integrating high-resolution land use data, gridded anthropogenic carbon emission data, [...] Read more.
Land use change is a critical factor influencing regional carbon emissions, and understanding its spatiotemporal variability is essential for supporting science-based emission-reduction strategies. In this study, we constructed an improved measurement framework by integrating high-resolution land use data, gridded anthropogenic carbon emission data, multi-source remote sensing indicators, and socioeconomic variables to quantify land use carbon emissions (LUCEs) in the Chengdu–Chongqing Urban Agglomeration (CCUA) from 2000 to 2022. We analyzed the temporal trends and spatial clustering of carbon emissions using the Mann–Kendall (MK) trend test and global/local Moran’s I statistics, and further explored the driving mechanisms through the Geodetector (GD) model, including both single-factor explanatory power and two-factor interaction effects. The results show that total LUCEs in the CCEC increased continuously during the study period, with significant spatial clustering characterized by high–high emission hotspots in the core areas of Chengdu and Chongqing and low–low clusters in western mountainous regions. Socioeconomic factors played a dominant role in shaping emission patterns, with construction land proportion, nighttime light intensity, and population density identified as the strongest drivers. Interaction detection revealed nonlinear enhancement effects among key socioeconomic variables, indicating an increasing spatial lock-in of human activities on carbon emissions. These findings provide scientific evidence for optimizing land use structure and formulating region-specific low-carbon development policies in rapidly urbanizing megaregions. Full article
Show Figures

Figure 1

24 pages, 4712 KB  
Article
A Century of Data: Machine Learning Approaches to Drought Prediction and Trend Analysis in Arid Regions
by Moncef Bouaziz, Mohamed Amine Abid, Emna Medhioub and André John
Water 2025, 17(24), 3567; https://doi.org/10.3390/w17243567 - 16 Dec 2025
Viewed by 337
Abstract
Droughts are among the most critical natural hazards affecting agricultural productivity, water resources, and food security worldwide, with climate change intensifying their frequency and severity. Accurate monitoring and forecasting of drought events are therefore essential for effective risk management and sustainable resource planning. [...] Read more.
Droughts are among the most critical natural hazards affecting agricultural productivity, water resources, and food security worldwide, with climate change intensifying their frequency and severity. Accurate monitoring and forecasting of drought events are therefore essential for effective risk management and sustainable resource planning. In this study, we systematically evaluated the performance of four machine learning approaches—Support Vector Regression (SVR), Random Forest (RF), K-Nearest Neighbor (kNN), and Linear Regression (LR)—for tracking and predicting the Standardized Precipitation Index (SPI) at multiple temporal scales (1, 3, 6, 9, 12, 18, and 24 months). We utilized a century-long precipitation dataset from a meteorological station in south-eastern Tunisia to compute SPI values and forecast drought occurrences. The Mann–Kendall trend test was applied to assess the presence of significant trends in the monthly SPI series. The results revealed upward trends in SPI 12, SPI 18, and SPI 24, indicating decreasing drought severity over longer time scales, while SPI 1, SPI 3, SPI 6, and SPI 9 did not exhibit statistically significant trends. Model efficacy was assessed using a suite of statistical metrics: mean square error (MSE), root mean square error (RMSE), mean absolute error (MAE), and the correlation coefficient (R). While all models exhibited robust predictive performance, Support Vector Regression (SVR) proved superior, achieving the highest accuracy across both short- and long-term time horizons. These findings highlight the effectiveness of machine learning approaches in drought forecasting and provide critical insights for regional water resource management, agricultural planning, and ecological sustainability. Full article
(This article belongs to the Special Issue Rainfall Variability, Drought, and Land Degradation)
Show Figures

Figure 1

22 pages, 2344 KB  
Article
Climograph-Supported Assessment of Temperature–Precipitation Trends Using Classical and Innovative Statistical Methods in the Yeşilırmak Basin, Türkiye
by Murat Pinarlik
Water 2025, 17(24), 3532; https://doi.org/10.3390/w17243532 - 13 Dec 2025
Viewed by 327
Abstract
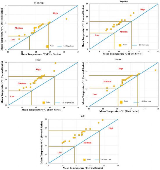
Understanding long-term variations in temperature and precipitation is essential for interpreting regional hydroclimatic behavior and detecting potential shifts in water availability. This study analyzes annual and seasonal temperature–precipitation trends in the Yeşilırmak Basin, Türkiye, using data from seven meteorological stations over a 38-year [...] Read more.
Understanding long-term variations in temperature and precipitation is essential for interpreting regional hydroclimatic behavior and detecting potential shifts in water availability. This study analyzes annual and seasonal temperature–precipitation trends in the Yeşilırmak Basin, Türkiye, using data from seven meteorological stations over a 38-year period (1975–2012). The Randomness Test, Mann–Kendall (MK), and Innovative Trend Analysis (ITA) were applied to detect trends. In addition, a climograph was constructed to characterize seasonal climatic patterns. The climograph for Tokat and Dökmetepe stations shows May precipitation to be 40–50% higher than in winter, while August precipitation is nearly 89% lower than in May. Temperatures rise by approximately 20 °C from January to July, reflecting continental climatic characteristics influenced by the semi-arid transition between northern and central Türkiye. Results indicate statistically significant warming trends at confidence levels above 90%, particularly during summer and autumn, with autumn temperatures increasing by approximately 0.03–0.05 °C per year (Z = 2.3–2.5) at most stations. Precipitation exhibited moderate increases at certain stations, while overall patterns remained steady. While MK and ITA yielded largely consistent results, ITA proved advantageous in weak or borderline cases by detecting structural patterns across value zones. Across all seasonal and annual analyses, ITA identified additional trends in approximately 83% of the cases where MK detected no significant change, corresponding to 25 out of 30 seasonal comparisons. Moreover, in over 92% of statistically significant MK results, ITA outcomes were fully consistent, reinforcing its robustness. Full article
Show Figures

Figure 1

18 pages, 5645 KB  
Article
Spatial and Temporal Trend Analysis of Flood Events Across Africa During the Historical Period
by Djanna Koubodana Houteta, Mouhamadou Bamba Sylla, Moustapha Tall, Alima Dajuma, Jeremy S. Pal, Christopher Lennard, Piotr Wolski, Wilfran Moufouma-Okia and Bruce Hewitson
Water 2025, 17(24), 3531; https://doi.org/10.3390/w17243531 - 13 Dec 2025
Viewed by 436
Abstract
Flooding is one of Africa’s most impactful natural disasters, significantly affecting human lives, infrastructure, and economies. This study examines the spatial and temporal distribution of historical flood events across the continent from 1927 to 2020, with a focus on fatalities, affected populations, and [...] Read more.
Flooding is one of Africa’s most impactful natural disasters, significantly affecting human lives, infrastructure, and economies. This study examines the spatial and temporal distribution of historical flood events across the continent from 1927 to 2020, with a focus on fatalities, affected populations, and economic damage. Data from the Emergency Events Database (EM-DAT), the fifth generation of bias-corrected European Centre for Medium-Range Weather Forecasts Reanalysis (ERA5), and the Climate Hazards Group InfraRed Precipitation with Stations (CHIRPS) observational datasets were used to calculate extreme precipitation indices—Consecutive Wet Days (CWD), annual precipitation on very wet days (R95PTOT), and Annual Maximum Precipitation (AMP). Spatial analysis tools and the Mann–Kendall test were used to assess trends in flood occurrences, while Pearson correlation analysis identified key meteorological drivers across 16 African capital cities for 1981–2019. A flood frequency analysis was conducted using Weibull, Gamma, Lognormal, Gumbel, and Logistic probability distribution models to compute flood return periods for up to 100 years. Results reveal a significant upward trend with a slope above 0.50 floods per year in flood frequency and impact over the period, particularly in regions such as West Africa (Nigeria, Ghana), East Africa (Ethiopia, Kenya, Tanzania), North Africa (Algeria, Morocco), Central Africa (Angola, Democratic Republic of Congo), and Southern Africa (Mozambique, Malawi, South Africa). Positive trends (at 99% significance level with slopes ranging between 0.50 and 0.60 floods per year) were observed in flood-related fatalities, affected populations, and economic damage across Regional Economic Communities (RECs), individual countries, and cities of Africa. The CWD, R95PTOT, and AMP indices emerged as reliable predictors of flood events, while non-stationary return periods exhibited low uncertainties for events within 20 years. These findings underscore the urgency of implementing robust flood disaster management strategies, enhancing flood forecasting systems, and designing resilient infrastructure to mitigate growing flood risks in Africa’s rapidly changing climate. Full article
(This article belongs to the Section Hydrology)
Show Figures

Figure 1

32 pages, 8768 KB  
Article
Impact of Industrialization on the Evolution of Suspended Particulate Matter from MODIS Data (2002–2022): Case Study of Açu Port, Brazil
by Ikram Salah Salah, Vincent Vantrepotte, João Felipe Cardoso dos Santos, Manh Duy Tran, Daniel Schaffer Ferreira Jorge, Milton Kampel and Hubert Loisel
Remote Sens. 2025, 17(24), 4020; https://doi.org/10.3390/rs17244020 - 12 Dec 2025
Viewed by 370
Abstract
The present study evaluates the influence of industrialization on suspended particulate matter (SPM) dynamics along the northern coast of Rio de Janeiro, focusing specifically on the Açu Port Industrial Complex (APIC). A 20-year MODIS-Aqua (1 km) dataset (2002–2022) was processed using the OC-SMART [...] Read more.
The present study evaluates the influence of industrialization on suspended particulate matter (SPM) dynamics along the northern coast of Rio de Janeiro, focusing specifically on the Açu Port Industrial Complex (APIC). A 20-year MODIS-Aqua (1 km) dataset (2002–2022) was processed using the OC-SMART atmospheric correction. For SPM estimation, a retrieval approach for coastal turbid waters that integrates two optimized bio-optical algorithms based on Optical Water Types (OWTs) was developed. The validity of this approach was substantiated through the utilization of the GLORIA in situ dataset and satellite matchups, which demonstrated its robust performance across a range of turbidity conditions. Its main innovation lies in the OWT-based fusion of two optimized SPM models, enabling robust retrievals across diverse coastal optical conditions. Statistical analyses based on Census X11 decomposition and the Seasonal Mann–Kendall test revealed strong spatial and temporal variability, with SPM concentrations increasing by up to 60% near the APIC during the study period, coinciding with dredging, port expansion, and sediment disposal. These findings indicate a pronounced anthropogenic signal, while spatial and temporal correlation analyses demonstrated that sediment dispersion is consistently directed northward, primarily controlled by currents and wind forcing. The results indicate that industrial activities augment the supply of sediments, while natural hydrodynamic processes govern their dispersion and transport, emphasizing the impact of human pressures and physical drivers on coastal sediments. Full article
Show Figures

Graphical abstract

19 pages, 19402 KB  
Article
The Response of Maximum Freezing Depth in the Permafrost Region of the Source Region of the Yellow River to Ground Temperature Change
by Xinyu Bai and Wei Wang
Atmosphere 2025, 16(12), 1399; https://doi.org/10.3390/atmos16121399 - 12 Dec 2025
Viewed by 221
Abstract
The source region of the Yellow River on the Tibetan Plateau constitutes a critical ecological security barrier and a key water-conservation region, where permafrost dynamics exercise primary control over ecosystem stability and hydrological processes. Although observations document intensifying freeze–thaw processes under climate warming, [...] Read more.
The source region of the Yellow River on the Tibetan Plateau constitutes a critical ecological security barrier and a key water-conservation region, where permafrost dynamics exercise primary control over ecosystem stability and hydrological processes. Although observations document intensifying freeze–thaw processes under climate warming, the historical and future evolution of maximum freezing depth, abbreviated as MFD, in the source region of the Yellow River remains poorly constrained. Using ground-temperature and meteorological records from 15 stations for 1981–2014, we estimated MFD with a Stefan-type formulation, assessed trend significance using the Mann–Kendall test and Sen’s slope, and characterized changes through 2100 using CMIP6 projections under four shared socioeconomic pathways: SSP1-2.6, SSP2-4.5, SSP3-7.0, and SSP5-8.5. We found a strong inverse association between MFD and annual mean ground temperature, such that a 1 °C increase corresponds to an average decrease of approximately 13.2 cm. Historically, MFD has progressively shallowed and exhibits a clear meridional gradient—deeper in the north and shallower in the south; low-value zones declined from 0.75 to 0.50 m, whereas high-value zones decreased from 2.92 to 2.83 m. Across future scenarios, MFD continues to shallow; the strongest signal occurs under SSP5-8.5, yielding an additional decline of approximately 42 percent relative to the historical baseline, with degradation most pronounced at lower elevations. These findings provide actionable guidance for understanding ecohydrological processes and for water resource management in the source region of the Yellow River under climate warming. Full article
Show Figures

Figure 1

19 pages, 28056 KB  
Article
Mapping Four Decades of Treeline Ecotone Migration: Remote Sensing of Alpine Ecotone Shifts on the Eastern Slopes of the Canadian Rocky Mountains
by Behnia Hooshyarkhah, Dan L. Johnson, Locke Spencer, Hardeep S. Ryait and Amir Chegoonian
Remote Sens. 2025, 17(24), 4004; https://doi.org/10.3390/rs17244004 - 11 Dec 2025
Viewed by 241
Abstract
Alpine treeline ecotones (ATEs) are critical ecological boundaries that are highly sensitive to climate change, yet their long-term spatial dynamics remain understudied in mountainous regions. This study investigates four decades (1984–2023) of ATE elevational shift along the Eastern Slopes of the Canadian Rocky [...] Read more.
Alpine treeline ecotones (ATEs) are critical ecological boundaries that are highly sensitive to climate change, yet their long-term spatial dynamics remain understudied in mountainous regions. This study investigates four decades (1984–2023) of ATE elevational shift along the Eastern Slopes of the Canadian Rocky Mountains (ESCR) using the Alpine Treeline Ecotone Index (ATEI), developed by integrating NDVI gradients, elevation data, and logistic regression. Multi-temporal Landsat composites and Shuttle Radar Topography Mission (SRTM) data were processed in Google Earth Engine (GEE) to map ATE boundaries over nine composite intervals. Results show a 13.32% increase in ATE area (from 1494.17 km2 to 1693.19 km2), indicating a general upslope expansion consistent with a warming climate and extended growing seasons. Although the Mann–Kendall test did not reveal a significant monotonic trend in area change (neither upward nor downward) (p-value > 0.05), notable spatial variability was observed (approximately 8 km2/year). North-facing aspects exhibited the greatest mean elevation gain (+40.21 m), and significant ecotonal changes occurred within the Bow and Athabasca watersheds (p < 0.05), which are equal to around 416 and 452 km2, respectively. These findings highlight the complex, aspect- and watershed-dependent nature of alpine vegetation responses to climate forcing and demonstrate the utility of ATEI for monitoring vegetation biodiversity shifts in high-elevation ecosystems. Full article
(This article belongs to the Section Environmental Remote Sensing)
Show Figures

Graphical abstract

22 pages, 15657 KB  
Article
Spatiotemporal Dynamics and Climate–Human Drivers of Vegetation NPP in Northern Xinjiang, China, from 2001 to 2022
by Mengdie Wen, Dong Cui, Zhicheng Jiang, Wenxin Liu, Haijun Yang, Zezheng Liu and Ying Wang
Atmosphere 2025, 16(12), 1393; https://doi.org/10.3390/atmos16121393 - 10 Dec 2025
Viewed by 159
Abstract
Net Primary Productivity (NPP) stands as a crucial metric for evaluating the condition and performance of terrestrial ecosystems. This study focuses on northern Xinjiang, China, as the research site. By employing the Carnegie Ames Stanford Approach (CASA) model alongside meteorological data, we examined [...] Read more.
Net Primary Productivity (NPP) stands as a crucial metric for evaluating the condition and performance of terrestrial ecosystems. This study focuses on northern Xinjiang, China, as the research site. By employing the Carnegie Ames Stanford Approach (CASA) model alongside meteorological data, we examined the spatiotemporal variations in vegetation NPP from 2001 to 2022. The model utilized monthly NDVI, climate drivers, and vegetation type raster data as inputs, while the Mann–Kendall test, We utilized Theil–Sen trend analysis and residual analysis to investigate how climatic factors and human activities drove NPP changes. Results show that from 2001 to 2022, vegetation NPP in northern Xinjiang generally rose with fluctuations, averaging 127.96 gC·m−2·a−1 annually and growing linearly at 0.58 gC·m−2·a−1. Spatially, NPP displayed a pattern of “high in the west and low in the east, high in mountainous areas and low in deserts.” High NPP areas are mainly clustered in the Ili River Valley and adjacent mountainous regions, encompassing eastern and southwestern Ili Prefecture, northern Tianshan slopes, Balq Mountains, and southern Borokunu foothills, where hydrothermal conditions are relatively advantageous. In the last 22 years, the mean temperature in northern Xinjiang showed a fluctuating upward trend, precipitation exhibited a fluctuating downward trend, and solar radiation demonstrated a significant declining trend. Partial correlation analysis revealed that, compared with temperature and solar radiation, precipitation had a stronger positive correlation with NPP. Residual analysis showed that in areas where vegetation NPP exhibited recovery, human activities were the dominant driving factor, accounting for 23.58% of the total area, whereas the influence of climate change was relatively minor. Conversely, in regions where vegetation NPP degraded, climate change exerted a greater impact than human activities. This research clarifies the combined impacts of climate and human actions on ecosystem productivity in arid areas, offering a scientific foundation and reference for ecological protection and regional carbon control in such regions. This provides a scientific basis for formulating rational response strategies to restore vegetation and enhance the quality of ecosystems in arid regions. Full article
(This article belongs to the Section Biosphere/Hydrosphere/Land–Atmosphere Interactions)
Show Figures

Figure 1

30 pages, 6657 KB  
Article
Temporal Trends in Tuberculosis Incidence in the 1st Health Region of Alagoas, Brazil (2001–2022)
by Givanildo de Gois, Paulo Miguel de Bodas Terassi, Juaneza Barroso Falcão, Kelly Alonso Costa, Bruno Serafini Sobral, Marcelo Alves Muniz, Welington Kiffer de Freitas and Roberta Fernanda da Paz de Souza Paiva
Int. J. Environ. Res. Public Health 2025, 22(12), 1846; https://doi.org/10.3390/ijerph22121846 - 10 Dec 2025
Viewed by 424
Abstract
The present study aimed to examine the temporal dynamics of tuberculosis incidence, mortality, and TB–HIV coinfection in the First Health Region of Alagoas from 2001 to 2022, with particular attention to sex-specific differences. The analysis revealed pronounced divergences between men and women. The [...] Read more.
The present study aimed to examine the temporal dynamics of tuberculosis incidence, mortality, and TB–HIV coinfection in the First Health Region of Alagoas from 2001 to 2022, with particular attention to sex-specific differences. The analysis revealed pronounced divergences between men and women. The male series exhibited significant positive autocorrelation and high interannual variability, indicating strong temporal dependence and heightened sensitivity to external disruptions such as the COVID-19 pandemic. The female series displayed a more regular pattern without autocorrelation. Although both sexes showed declining incidence, only the reduction among women reached statistical significance; the male trend remained unstable and inconclusive. Disease burden was consistently higher among men, who accounted for most cases and maintained incidence levels above elimination targets. TB–HIV coinfection increased in both sexes, with a sharper rise among men and a statistically significant upward trend among women, accompanied by a structural shift in 2010. Additional change points in 2014 and 2018 are likely to reflect alterations in surveillance or broader public health events. The weak performance of linear models underscores the role of persistent social determinants and inequities in healthcare access. Overall, the findings demonstrate that tuberculosis remains a major public health concern and that differentiated strategies by sex are essential for effective prevention and care. Full article
Show Figures

Figure 1

Back to TopTop