Sign in to use this feature.

Years

Between: -

Subjects

remove_circle_outline
remove_circle_outline
remove_circle_outline
remove_circle_outline
remove_circle_outline
remove_circle_outline
remove_circle_outline
remove_circle_outline
remove_circle_outline

Journals

remove_circle_outline
remove_circle_outline
remove_circle_outline
remove_circle_outline
remove_circle_outline
remove_circle_outline
remove_circle_outline
remove_circle_outline
remove_circle_outline

Article Types

Countries / Regions

remove_circle_outline
remove_circle_outline
remove_circle_outline
remove_circle_outline
remove_circle_outline

Search Results (888)

Search Parameters:
Keywords = MOSSE

Order results
Result details
Results per page
Select all
Export citation of selected articles as:
23 pages, 6455 KB  
Article
Detection of Sulfur from Industrial Emissions Across a Complex Mountainous Landscape: An Isotope Approach Using Plant-Based Biomonitors in Winter
by Ann-Lise Norman, Sunita LeGallou, Erin E. Caldwell, Patrick M. Blancher, Jelena Matic and Ralph Cartar
Atmosphere 2025, 16(10), 1149; https://doi.org/10.3390/atmos16101149 - 30 Sep 2025
Abstract
Tree rings, tree needles, and moss can be used as biomonitors to evaluate atmospheric pollutant concentrations and deposition patterns spanning different timescales. This study compares output from air quality modeling and measurements to patterns observed using a combination of sulfur concentration and isotope [...] Read more.
Tree rings, tree needles, and moss can be used as biomonitors to evaluate atmospheric pollutant concentrations and deposition patterns spanning different timescales. This study compares output from air quality modeling and measurements to patterns observed using a combination of sulfur concentration and isotope composition in moss (using moss bags and controls) as biomonitors in a region of southern Alberta, Canada influenced by industrial emissions. Tree rings allow comparisons of historical to current sulfur deposition patterns. Moss, which integrates atmospheric nutrients during growth, allows for concurrent comparisons. The contrast of inorganic and organic sulfur within conifer tree needles provides a measure of pollutant uptake over their short lifespans. Sulfur uptake within biomonitors in a southern Alberta ecosystem allow assessment of the presence (in moss, needles) and effects (on conifer growth) of atmospheric sulfur deposition from industrial emissions. These data were examined relative to California Puff (CALPuff) model projections and traditional active and passive air quality sampling. Patterns in sulfur isotope abundance (δ34S) from moss bags placed throughout the eastern slopes of the southern Alberta foothills of the Rocky Mountains implicate local industry as the dominant atmospheric sulfur source over winter, with the tissues of conifers (needles and cores) and moss decreasing with distance from industrial emissions. This was consistent with apportionment calculations based on active and passive sampling, which also showed a surprising trend of sulfur deposition upwind of the industrial stack in the mountains to the west. δ34S values for pine needles and tree rings were consistent with greater sulfur stress and reductions in tree growth associated with increased industrial sulfur concentrations and deposition. We conclude that plant biomonitors are effective short-term (tree needles and moss) and long-term (tree cores) indicators of sulfur pollution in a complex, mountainous landscape. Full article
Show Figures

Figure 1

36 pages, 3064 KB  
Review
Phylogenetic Aspects of Higher Plant Lipid Fatty Acid Profile
by Alexander Voronkov and Tatiana Ivanova
Int. J. Mol. Sci. 2025, 26(19), 9424; https://doi.org/10.3390/ijms26199424 - 26 Sep 2025
Abstract
Humans have been using lipids for many centuries; these are oils found in plants, particularly in seeds. However, relatively recently, it has become clear that lipids are the primary metabolites of any living organism. Fatty acids (FAs) are a structural component of lipids, [...] Read more.
Humans have been using lipids for many centuries; these are oils found in plants, particularly in seeds. However, relatively recently, it has become clear that lipids are the primary metabolites of any living organism. Fatty acids (FAs) are a structural component of lipids, and their role in building the framework of the lipid bilayer cannot be overstated. They participate in maintaining homeostasis by controlling membrane permeability. Changes in the FA composition of lipid bilayers can modulate the transition of the membrane from a liquid crystalline to a gel-like state. Thus, knowledge of a plant’s FA profile can aid in understanding the physiological mechanisms underlying their interaction with the environment and the ways in which they adapt to various stress factors. Throughout the colonization of terrestrial habitats, plants evolved, and new phylogenetic groups appeared; at present, some features of the FA composition of their individual representatives are known. However, the overall change in the composition of lipid FAs during the evolution of higher plants is still not understood. Our analysis of the literature showed that the FA diversity tends to decrease from mosses to angiosperms, mainly due to a reduction in polyunsaturated very-long-chain FAs, while the average acyl chain length remains unchanged. It is important to recognize the trends in this process in order to understand the adaptive capabilities of higher plants. This knowledge can be useful not only from a fundamental point of view, but also in practical human activities. Full article
(This article belongs to the Section Biochemistry)
Show Figures

Figure 1

21 pages, 1922 KB  
Article
Forest Stand Changes Drive Conservation of Understory Composition and Biomass in the Boreal Forest of the Southern Urals
by Natalya Ivanova
Diversity 2025, 17(10), 672; https://doi.org/10.3390/d17100672 - 25 Sep 2025
Abstract
The health of ecosystems, their functionality and the fulfilment of ecosystem functions are all dependent on biodiversity and productivity. The ongoing transformation of forests is intensifying the need for conservation. At the same time, the herbaceous layer has not yet been studied enough [...] Read more.
The health of ecosystems, their functionality and the fulfilment of ecosystem functions are all dependent on biodiversity and productivity. The ongoing transformation of forests is intensifying the need for conservation. At the same time, the herbaceous layer has not yet been studied enough by researchers. The aim of the study is to ascertain the impact of the composition and age of the stand of primary and secondary forests on the biomass and species diversity of the herbaceous layer in the most prevalent forest type of the Western Macroscline of the Southern Urals: moss spruce forests. The methodological basis was chosen to be genetic forest typology and generally accepted methods of studying forest vegetation. We studied primary dark coniferous forests, as well as secondary birch and aspen forests of different compositions and ages. Positive correlations with the age of the stand were found to be most pronounced for Oxalis acetosella L. and Lycopodium clavatum L., while negative correlations were found to be most pronounced for Deschampsia caespitosa (L.) P. Beauv., Brachypodium pinnatum (L.) Beauv., and Dactylis glomerata L. The positive correlations with the proportion of birch and aspen in the stand composition are most pronounced for Dactylis glomerata L., Geum rivale L., Aegopodium podagraria L., Aconitum septentrionale Koelle, and Prunella vulgaris L. The research results clearly demonstrate the length of time that changes in species composition and productivity of the herbaceous layer of mountain forests take place over. This must be considered when planning forest management and nature conservation in mountain forests in the Urals. On the one hand, our study is certainly regional, but on the other, similar forests, forest degradation, regenerative succession and the plant species studied are widespread in the boreal zone. Therefore, the research results will be of interest to many researchers whose work relates to forest resources, biodiversity conservation and forest succession. To expand the scope of the research, further studies are planned in other types of forest in the Ural Mountains. Full article
Show Figures

Figure 1

21 pages, 5345 KB  
Review
Molecular Insights into the Biomedical Applications of Plagiomnium affine (Blandow ex Funck) T. Kop.: A Promising Source of Bioactive Metabolites
by Julia Krupa, Andrzej Kaźmierczak and Izabela Kołodziejczyk
Int. J. Mol. Sci. 2025, 26(19), 9341; https://doi.org/10.3390/ijms26199341 - 24 Sep 2025
Viewed by 121
Abstract
Plagiomnium affine is a species of terrestrial moss that inhabits mainly coniferous forests but also occurs in areas with other characteristics. It is very adjustable, being a commercially available aquarium plant and popular among enthusiasts. Despite its wide distribution in various habitats, its [...] Read more.
Plagiomnium affine is a species of terrestrial moss that inhabits mainly coniferous forests but also occurs in areas with other characteristics. It is very adjustable, being a commercially available aquarium plant and popular among enthusiasts. Despite its wide distribution in various habitats, its physiological and biochemical adaptations, ecological roles, and responses to environmental changes remain only partially understood. In fact, it is not known what biomedical applications lie in this species, which is relatively easy to cultivate in vitro, and its role as an accumulator of elements such as manganese or cadmium is largely ignored. This article reviews the current state of research on P. affine, focusing on available published data that can help illuminate the biomedical application of the species, highlighting gaps in knowledge and identifying priorities for future research. For this purpose, all available literature, regardless of year of study, addressing the indicated topic was reviewed. The report presents P. affine as a uniquely adaptable moss species rich in bioactive compounds of scientific interest, highlighting its application importance in modern science. Full article
(This article belongs to the Section Molecular Biology)
Show Figures

Graphical abstract

18 pages, 1926 KB  
Article
Predicting the Freezing Characteristics of Organic Soils Using Laboratory Experiments and Machine Learning Models
by Sewon Kim, Hyun-Jun Choi, Sangyeong Park and Youngseok Kim
Appl. Sci. 2025, 15(19), 10314; https://doi.org/10.3390/app151910314 - 23 Sep 2025
Viewed by 157
Abstract
Frozen ground regions have recently experienced increasing construction activity due to the vast undeveloped resources they contain. However, frozen soils exhibit thermal and mechanical properties that differ substantially from those of temperate soils, leading to a range of engineering challenges. This study investigates [...] Read more.
Frozen ground regions have recently experienced increasing construction activity due to the vast undeveloped resources they contain. However, frozen soils exhibit thermal and mechanical properties that differ substantially from those of temperate soils, leading to a range of engineering challenges. This study investigates the influence of organic matter content on the freezing behavior of soils through a series of laboratory experiments and machine learning (ML) modeling. Soil samples were collected from Alberta, Canada, and Gangwon Province, South Korea, and their organic matter contents were adjusted using the loss-on-ignition method combined with peat moss addition. Standard Proctor compaction tests and uniaxial compression tests under subzero conditions were performed to evaluate compaction characteristics and strength development. The unfrozen water content was measured at different subzero temperatures to assess thermal and hydraulic responses. The resulting experimental dataset was then used to develop ensemble ML models—random forest (RF) and extreme gradient boosting (XGB)—for predicting unfrozen water content. The results indicate that higher organic matter contents reduce compaction efficiency, increase residual unfrozen water content, and influence strength development under freezing conditions. Both RF and XGB achieved high predictive accuracy, demonstrating their potential as reliable tools for evaluating the freezing behavior of organic soils. Full article
(This article belongs to the Section Civil Engineering)
Show Figures

Figure 1

17 pages, 6617 KB  
Article
Biological Colonization of Carolei’s Nymphaeum (Calabria, Italy)
by Anna Maria Palermo, Raffaella Greca and Mattia Chiappetta
Sustainability 2025, 17(18), 8426; https://doi.org/10.3390/su17188426 - 19 Sep 2025
Viewed by 284
Abstract
The nymphaeum originated as a monument dedicated to the nymphs and defined as a natural cave with a water source. Over time, it has been transformed into an artificial cave with the presence of fountains, statues and wall paintings. The nymphaeum is exposed [...] Read more.
The nymphaeum originated as a monument dedicated to the nymphs and defined as a natural cave with a water source. Over time, it has been transformed into an artificial cave with the presence of fountains, statues and wall paintings. The nymphaeum is exposed to specific environmental conditions, leading to biodeterioration caused by vegetal organisms that find an ideal environment for their growth. This study aimed to document the vegetation present inside and outside the Carolei’s Nymphaeum, as well as the biofilm on the interior walls, particularly the painted walls. The biological work is part of a large-scale project involving building materials, thermo-hygrometric parameters, and partial pilot restoration work. Multiple approaches were used for biological analysis by combining microscopic, culture, and molecular techniques. We identified Pteridophytes, Angiosperms, and mosses, as well as fungal taxa, cyanobacteria, and chlorophytes in the biofilms. The results indicate that there is a very heterogeneous organism composition with significant biodeterioration potential. Biodeterioration is one of the major problems in the prevention, conservation, and restoration of cultural heritage, and the data gathered in this research may help to enhance the understanding of issues and develop suitable strategies for restoration, upkeep, and accessibility and usability. Full article
(This article belongs to the Section Tourism, Culture, and Heritage)
Show Figures

Figure 1

20 pages, 2713 KB  
Article
Molecular Structure, Comparative Analysis, and Phylogenetic Insights into the Complete Chloroplast Genomes of Fissidens crispulus
by Yun-Qi Song, Kai-Li Kang, Jin Chen, Yu-Mei Wei, You-Liang Xiang and Tao Peng
Genes 2025, 16(9), 1103; https://doi.org/10.3390/genes16091103 - 18 Sep 2025
Viewed by 289
Abstract
Background/Objectives: Fissidens crispulus Brid. is a dioicous moss with conspicuous axillary hyaline nodules and serrulate leaf margins. It features Neoamblyothallia-type peristome teeth and serves as an ecologically significant model for studying adaptation in the hyperdiverse genus Fissidens (>440 species). Methods: In this [...] Read more.
Background/Objectives: Fissidens crispulus Brid. is a dioicous moss with conspicuous axillary hyaline nodules and serrulate leaf margins. It features Neoamblyothallia-type peristome teeth and serves as an ecologically significant model for studying adaptation in the hyperdiverse genus Fissidens (>440 species). Methods: In this study, the complete chloroplast genome of F. crispulus was sequenced and de novo assembled, enabling detailed comparative genomic, phylogenetic, and codon usage bias studies. Results: As the third fully sequenced member of Fissidentaceae, this study deciphers its 124,264–124,440 bp quadripartite genome encoding 129 genes (83 CDS, 32 tRNAs, 8 rRNAs). Repeat analysis identified 125–127 SSRs, dominated by mono-/di-nucleotide A/T repeats (>70%), and dispersed repeats predominantly forward (F) and palindromic (P) (>85%), confirming profound AT-biased composition (GC content: 28.7%). We established 7 hypervariable loci (matK, ycf2, etc.) as novel Dicranidae-wide phylogenetic markers. Codon usage exhibited significant A/U-ending preference, with 12 optimal codons (e.g., GCA, UGU, UUU) determined. Maximum likelihood analyses resolved F. crispulus and F. protonematicola as sister groups with high support value (MBP = 100%). Conclusions: This work provides the foundational cpDNA resource for Fissidens, filling a major gap in bryophyte chloroplast genomics and establishing a framework for resolving the genus’s infrageneric conflicts. Furthermore, it offers critical insights into bryophyte plastome evolution and enables future codon-optimized biotechnological applications. Full article
(This article belongs to the Special Issue Molecular Adaptation and Evolutionary Genetics in Plants)
Show Figures

Figure 1

16 pages, 3861 KB  
Article
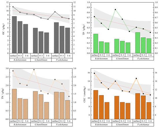
Moss-Induced Changes in Soil C/N/P and CEC: An Integrated Spectral Perspective
by Yu Lu and Zhikui Liu
Sustainability 2025, 17(18), 8348; https://doi.org/10.3390/su17188348 - 17 Sep 2025
Viewed by 274
Abstract
This study investigated how moss species identity and coverage density influence soil organic carbon (OC), total nitrogen (TN), total phosphorus (TP), cation exchange capacity (CEC), and stoichiometric ratios (C/N, C/P, N/P ratios) across soil depths in karst ecosystems of northern Guangxi, China. Spectral [...] Read more.
This study investigated how moss species identity and coverage density influence soil organic carbon (OC), total nitrogen (TN), total phosphorus (TP), cation exchange capacity (CEC), and stoichiometric ratios (C/N, C/P, N/P ratios) across soil depths in karst ecosystems of northern Guangxi, China. Spectral responses to moss cover were concurrently analyzed. Soil properties under moss crusts and bare controls were quantified through chemical assays. Coverage effects were compared via bar charts (sparse) and point-line plots (dense) with fitted curves and 95% confidence intervals. Spectral reflectance (250–2500 nm) was measured to characterize surface optical properties. Statistical correlations between variables were established. Research has shown the following: (1) Moss coverage significantly enhanced OC, TN, and CEC versus bare soil (B. dichotomum showed the strongest improvement: dense crust increased OC/TN/TP by 6.37/1.73/0.45 g kg−1 and doubled CEC). (2) All nutrients and CEC decreased with depth, most sharply for G. humillimum OC (22.38% reduction at 3–6 cm) and P. yokohamae CEC (9.97% reduction). (3) Stoichiometric ratios exhibited species-specific responses: B. dichotomum had the smallest inter-layer differences in C/N/P ratios, while G. humillimum increased C/N by 34.33% at 3–6 cm. Sparse coverage elevated N/P ratios up to 59.38% (G. humillimum, 0–3 cm). (4) Spectral analysis revealed the following: Sparse coverage boosted reflectance via edge scattering and soil background contributions. Dense coverage suppressed reflectance due to water absorption (1450/1900 nm) and limited scattering. Bare soil exhibited persistently low reflectance from hematite absorption (500–700 nm). Moss biocrusts—particularly dense B. dichotomum—optimize topsoil fertility and CEC in karst soils, though effects diminish sharply below 3 cm. Spectral signatures provide non-invasive indicators of coverage density and erosion resistance. These insights highlight the crucial role of species-specific moss selection in promoting sustainable restoration practices and long-term ecological recovery in rocky desertification regions. Full article
Show Figures

Figure 1

15 pages, 2187 KB  
Article
The Phenotype of Physcomitrium patens SMC6 Mutant with Interrupted Hinge Interactions
by Karel J. Angelis, Marcela Holá, Radka Vágnerová, Jitka Vaculíková and Jan J. Paleček
Genes 2025, 16(9), 1091; https://doi.org/10.3390/genes16091091 - 16 Sep 2025
Viewed by 252
Abstract
Background/Objectives: The Structural Maintenance of Chromosomes (SMC) proteins form essential heterocomplexes for the preservation of DNA structure and its functions, and hence cell viability. The SMC5/6 dimer is assembled by direct interactions of ATP heads via the kleisin NSE4 bridge and by [...] Read more.
Background/Objectives: The Structural Maintenance of Chromosomes (SMC) proteins form essential heterocomplexes for the preservation of DNA structure and its functions, and hence cell viability. The SMC5/6 dimer is assembled by direct interactions of ATP heads via the kleisin NSE4 bridge and by SMC hinges. The structure might be interrupted by a single point mutation within a conserved motif of the SMC6-hinge. We describe the phenomena associated with the impairment of the SMC5/6 complex with morphology, repair of DNA double strand breaks (DSB), mutagenesis, recombination and gene targeting (GT) in the moss Physcomitrium patens (P. patens). Methods: Using CRISPR/Cas9-directed oligonucleotide replacement, we have introduced two close G to R point mutations in the hinge domain of SMC6 of P. patens and show that both mutations are not toxic and allow viability of mutant lines. Results: The G514R mutation fully prevents the interaction of SMC6 not only with SMC5, but also with NSE5 and NSE6, while the mutation at G517R has no effect. The Ppsmc6_G514R line has aberrant morphology, spontaneous and bleomycin-induced mutagenesis, and maintenance of the number of rDNA copies. The most unique feature is the interference with gene targeting (GT), which is completely abolished. In contrast, the Ppsmc6_G517R line is close to WT in many aspects. Surprisingly, both mutations have no direct effect on the rate of DSB repair in dividing and differentiated cells. Conclusions: Abolished interactions of SMC6 with SMC5 and NSE5,6 partners, which allow DSB repair, but impair other repair and recombination functions, suggests also regulatory role for SMC6. Full article
(This article belongs to the Section Molecular Genetics and Genomics)
Show Figures

Figure 1

30 pages, 3553 KB  
Article
Biodiversity Resilience in Terms of Evolutionary Mass, Velocity and Force
by Richard H. Zander
Sustainability 2025, 17(18), 8272; https://doi.org/10.3390/su17188272 - 15 Sep 2025
Viewed by 264
Abstract
Evolutionary processes involving sustainability are here expressed in units of classical mechanics, where newly evolved traits are distance, segments of evolutionary trees are time, and species as entire character sets are mass. Data arranged on a morphological evolutionary tree (caulogram) allow precise calculations [...] Read more.
Evolutionary processes involving sustainability are here expressed in units of classical mechanics, where newly evolved traits are distance, segments of evolutionary trees are time, and species as entire character sets are mass. Data arranged on a morphological evolutionary tree (caulogram) allow precise calculations of evolutionary velocity, acceleration, momentum and force, with force interpretable as resistance to environmental change. Stem-taxon trees of species of the moss family Streptotrichaceae and Pottiaceae tribe Pleuroweisieae were developed as sets of minimally monophyletic genera, and annotated with numbers of newly evolved traits per species. Calculations provided evidence that precise and comparative measures of the results of sustainable evolutionary processes may be calculated, and, as directly derived from expressed traits, are also accurate and informative about processes leading to resilience across multiple extinction events. The two groups evidenced similar, gradual evolutionary rates, implying that similar evolutionary processes occur across 110 my for Streptotrichaceae and 66 my for Pleuroweisieae, although habitats differ. Extension of sets of new traits per species into the past imply origination of the oldest extinct recognizable progenitors near the Permian–Triassic extinction event, when a cut-off in all data imply a complete over-haul of the character set for both groups, i.e., a major change in evolutionary mass. Speciation occurs in bursts. Extinction is gradual, the negative of acceleration. The rates of origination of genera over time for both groups are nearly the same as those previously proposed for genera of extinct horses. Plateaus in graphs of species per genus imply ancient quadratic patterns of speciation. The combination of process-governed stability through stasis of morphological traits, and of resilience as the ability to survive multiple extinction events has apparently little changed, and both contribute to sustainability over geologic time. Full article
(This article belongs to the Section Sustainability, Biodiversity and Conservation)
Show Figures

Figure 1

14 pages, 787 KB  
Article
Soluble Eugenol Formulation for Managing Ball Moss on Ornamental Trees
by Brianna Slade, Kali Elftmann, Heather Kirk-Ballard and Zhijun Liu
Horticulturae 2025, 11(9), 1090; https://doi.org/10.3390/horticulturae11091090 - 10 Sep 2025
Viewed by 404
Abstract
Ball moss is an epiphytic, perennial monocot that attaches to many surfaces, including ornamental plants. Though not parasitic, ball moss can reduce the growth and health of host plants. Controlling ball moss has thus become necessary. Recommended methods include spraying baking soda or [...] Read more.
Ball moss is an epiphytic, perennial monocot that attaches to many surfaces, including ornamental plants. Though not parasitic, ball moss can reduce the growth and health of host plants. Controlling ball moss has thus become necessary. Recommended methods include spraying baking soda or copper fungicide. This study was designed to validate the recommended methods and discover new, efficacious botanical ingredients in laboratory and field experiments. The efficacy of baking soda, but not the copper fungicide, was confirmed. However, baking soda blindly damages host plants and is not environmentally friendly. A screening study over several candidates (a monocot herbicide, eugenol, thymol, oleander extracts) selected eugenol from clove essential oil. In repeated laboratory studies, eugenol formulated into a soluble liquid (ESL) at 1% concentration achieved comparable lethal levels to 50% baking soda solution against ball moss. Efficacy was most apparent when applied in autumn. In the field trials, spraying ESL directly onto ball moss on live oak trees rather than broadcasting from the ground was efficacious. Possible mechanisms and limitations were discussed. Full article
(This article belongs to the Section Floriculture, Nursery and Landscape, and Turf)
Show Figures

Graphical abstract

23 pages, 2284 KB  
Review
Old-Growth Forests and Bryophyte Communities in Italy and the Broader Mediterranean Region: A Literature Review
by Mattia Letizia Marino, Patrizia Campisi and Fortunato Cirlincione
Plants 2025, 14(18), 2824; https://doi.org/10.3390/plants14182824 - 10 Sep 2025
Viewed by 446
Abstract
Beginning with general references to old-growth forests and the numerous benefits that they provide at multiple levels, this review mentions the main surveys conducted in Italy to identify and characterise Italian old-growth forests and offers an overview of the state of knowledge on [...] Read more.
Beginning with general references to old-growth forests and the numerous benefits that they provide at multiple levels, this review mentions the main surveys conducted in Italy to identify and characterise Italian old-growth forests and offers an overview of the state of knowledge on bryophytes of these ecosystems in Sicily. Then, it focuses on the relationship between bryophyte diversity and old-growth traits (e.g., structural characteristics, long-term continuity), as well as the potential use of bryophytes as bioindicators of forest continuity and naturalness. In this regard, studies on bryophyte floras and communities in old-growth forests were examined in detail not only for Italy but also for the broader Mediterranean region, also taking into account evidence from investigations conducted in other bioclimatic zones. The analysis shows that old-growth forests often provide refuges for rare and noteworthy taxa and host highly diverse bryophyte communities. However, it appears that in Mediterranean forests, which have been less studied than temperate and boreal forests, the influence of certain factors that are known to be important in other contexts, such as deadwood, may be comparatively less relevant. Also, bryophyte species highly related to old-growth stands or with mature and ancient trees in the Mediterranean area are reported. Full article
(This article belongs to the Section Plant Ecology)
Show Figures

Figure 1

15 pages, 4334 KB  
Article
Transcriptome Analyses of Procambarus clarkii (Girard, 1852) Under Individual Exposures to CuSO4, Pendimethalin, and Glyphosate
by Yao Zheng, Jiajia Li, Zhuping Liu, Ning Wang and Gangchun Xu
Toxics 2025, 13(9), 765; https://doi.org/10.3390/toxics13090765 - 9 Sep 2025
Viewed by 527
Abstract
Pesticide usage in the integrated rice–crayfish system has aroused lots of attention all over the world. Especially in China, fish farmers often use copper sulfate and pendimethalin to remove moss from aquaculture water and glyphosate to remove weeds in and around crayfish–crab mixed [...] Read more.
Pesticide usage in the integrated rice–crayfish system has aroused lots of attention all over the world. Especially in China, fish farmers often use copper sulfate and pendimethalin to remove moss from aquaculture water and glyphosate to remove weeds in and around crayfish–crab mixed culture ponds. To explore the stress response mechanism of CuSO4, pendimethalin, and glyphosate to the hepatopancreas of Procambarus clarkii (Girard, 1852), seven treatment groups including control, CuSO4 (1 and 2 mg·L−1), pendimethalin (PND, 5 and 10 μg·L−1), and glyphosate (5 and 10 μg·L−1) experimental groups were set up; the transcriptome responses were detected at 4, 8, and 12 days, respectively. The irregular structure and vacuoles were shown in the hepatopancreas for 2 mg·L−1 CuSO4 and 10 μg·L−1 glyphosate exposures at 12 d, while narrowed hepatic sinusoids were revealed after 10 μg·L−1 pendimethalin exposure. The pathways of ribosome, lysosome, and peroxisome were significantly enriched for differential expression genes (DEGs); in addition, tyrosine metabolism, starch, and sucrose metabolism were enriched under the stress of the three inputs. Genes in related pathways such as glycerophospholipid metabolism, oxidative phosphorylation, and glycerolipid metabolism also changed, and the expression of genes associated with oxidative phosphorylation changed significantly under the stress of the three inputs. Oxidative stress, neurotoxicity, metabolism, and energy supply have been significantly affected by the above herbicide exposure. High concentrations and/or long-term duration exposure may result in metabolic disorders rather than eliminate toxicity through adaptability responses. Full article
(This article belongs to the Section Ecotoxicology)
Show Figures

Graphical abstract

18 pages, 3207 KB  
Article
Development of an Efficient Micropropagation Protocol for Philodendron erubescens ‘Pink Princess’ Using a Temporary Immersion System and Assessment of Genetic Fidelity
by Bui Khanh Vy, Preekamol Klanrit, Sudarat Thanonkeo and Pornthap Thanonkeo
Horticulturae 2025, 11(9), 1085; https://doi.org/10.3390/horticulturae11091085 - 9 Sep 2025
Viewed by 504
Abstract
Conventional propagation of the highly sought-after ornamental Philodendron erubescens ‘Pink Princess’ is constrained by slow multiplication rates, the risk of unstable variegation, and the limited availability of elite mother stock, making advanced in vitro techniques essential for large-scale production. This research aimed to [...] Read more.
Conventional propagation of the highly sought-after ornamental Philodendron erubescens ‘Pink Princess’ is constrained by slow multiplication rates, the risk of unstable variegation, and the limited availability of elite mother stock, making advanced in vitro techniques essential for large-scale production. This research aimed to establish an efficient micropropagation protocol by optimizing the shoot multiplication phase in a twin-flask Temporary Immersion Bioreactor (TIB) system (RITA-type) and subsequently assessing the genetic fidelity of the regenerated plants. Shoot induction was evaluated in a TIB system with an immersion frequency of 4 min every 8 h. Among the tested cytokinins, liquid Murashige and Skoog (MS) medium containing 1.0 mg/L 6-benzylaminopurine (BAP) provided the optimal conditions for shoot proliferation, accounting for approximately 21 shoots/explant. While the TIB system was highly effective for shoot multiplication, it proved suboptimal for root induction. Therefore, rooting was optimized on a semi-solid medium, where MS medium supplemented with 0.5 mg/L indole-3-acetic acid (IAA) was identified as the most effective treatment, yielding an average of 3.0 well-developed roots per explant (1.1 cm in length) within 30 days. For acclimatization, a substrate mix of peat moss, perlite, and vermiculite (2:1:1, v/v/v) ensured a 100% survival rate. Critically, genetic fidelity analysis using RAPD markers revealed monomorphic banding patterns between the micropropagated plantlets and the mother plant (100% similarity), confirming their genetic uniformity and true-to-type nature. The established protocol provides a robust and reliable method for the in vitro propagation of P. erubescens ‘Pink Princess’. This work offers a foundation for developing large-scale commercial production strategies and effectively overcomes many limitations of classical propagation techniques. Full article
Show Figures

Figure 1

20 pages, 3006 KB  
Article
Exploring Plastome Diversity and Molecular Evolution Within Genus Tortula (Family Pottiaceae, Bryophyta)
by Hamideh Hassannezhad, Mahmoud Magdy, Olaf Werner and Rosa M. Ros
Plants 2025, 14(17), 2808; https://doi.org/10.3390/plants14172808 - 8 Sep 2025
Viewed by 482
Abstract
The Pottiaceae family represents one of the most diverse and ecologically adaptable bryophytes; however, its chloroplast genome diversity remains largely unexplored. This study aimed to investigate plastome variation and identify evolutionary informative loci within the moss genus Tortula. We performed a comprehensive [...] Read more.
The Pottiaceae family represents one of the most diverse and ecologically adaptable bryophytes; however, its chloroplast genome diversity remains largely unexplored. This study aimed to investigate plastome variation and identify evolutionary informative loci within the moss genus Tortula. We performed a comprehensive comparative plastome analysis of nine species within the genus Tortula, using Syntrichia princeps as an outgroup within the family Pottiaceae. High-quality chloroplast genomes were assembled and annotated based on next-generation sequencing (NGS) data. All plastomes exhibited conserved quadripartite structures with genome size ranging from 121,889 to 122,697 bp. Adenine–thymine (AT)-rich dinucleotide repeats were the most abundant simple sequence repeats (SSRs), and several genes contained unique higher-order SSRs, suggesting potential utility as population-level markers. Codon usage analysis revealed species-specific biases, particularly in leucine, serine, and threonine codons, with Tortula acaulon exhibiting the most pronounced deviation. Phyloplastomic analysis based on maximum likelihood identified two major clades, indicating that Tortula section Tortula is not monophyletic. Several highly informative loci were found to replicate the full plastome phylogenetic signal. Additionally, a subset of genes, including atpE and matK, exhibited nonsynonymous-to-synonymous substitution (dN/dS) ratios that suggest possible positive selection. These findings provide new insights into chloroplast genome evolution within Tortula, while identifying candidate loci for future phylogenetic and evolutionary studies. This study contributes to a more robust understanding of plastome-based studies in Pottiaceae and highlights efficient molecular markers for broader bryophyte phylogenomics. Full article
(This article belongs to the Special Issue Diversity, Distribution and Conservation of Bryophytes)
Show Figures

Figure 1

Back to TopTop