Sign in to use this feature.

Years

Between: -

Subjects

remove_circle_outline
remove_circle_outline
remove_circle_outline
remove_circle_outline
remove_circle_outline

Journals

Article Types

Countries / Regions

Search Results (17)

Search Parameters:
Keywords = Leslie-Gower

Order results
Result details
Results per page
Select all
Export citation of selected articles as:
26 pages, 2372 KB  
Article
Bifurcation Analysis and Chaos Control of a Discrete Fractional-Order Modified Leslie–Gower Model with Nonlinear Harvesting Effects
by Yao Shi, Xiaozhen Liu and Zhenyu Wang
Fractal Fract. 2024, 8(12), 744; https://doi.org/10.3390/fractalfract8120744 - 16 Dec 2024
Cited by 2 | Viewed by 1545
Abstract
This paper investigates the dynamical behavior of a discrete fractional-order modified Leslie–Gower model with a Michaelis–Menten-type harvesting mechanism and a Holling-II functional response. We analyze the existence and stability of the nonnegative equilibrium points. For the interior equilibrium points, we study the conditions [...] Read more.
This paper investigates the dynamical behavior of a discrete fractional-order modified Leslie–Gower model with a Michaelis–Menten-type harvesting mechanism and a Holling-II functional response. We analyze the existence and stability of the nonnegative equilibrium points. For the interior equilibrium points, we study the conditions for period-doubling and Neimark–Sacker bifurcations using the center manifold theorem and bifurcation theory. To control the chaos arising from these bifurcations, two chaos control strategies are proposed. Numerical simulations are performed to validate the theoretical results. The findings provide valuable insights into the sustainable management and conservation of ecological systems. Full article
Show Figures

Figure 1

24 pages, 1513 KB  
Article
Dynamical Complexity of Modified Leslie–Gower Predator–Prey Model Incorporating Double Allee Effect and Fear Effect
by Manoj Kumar Singh, Arushi Sharma and Luis M. Sánchez-Ruiz
Symmetry 2024, 16(11), 1552; https://doi.org/10.3390/sym16111552 - 19 Nov 2024
Cited by 4 | Viewed by 1706
Abstract
This contribution concerns studying a realistic predator–prey interaction, which was achieved by virtue of formulating a modified Leslie–Gower predator–prey model under the influence of the double Allee effect and fear effect in the prey species. The initial theoretical work sheds light on the [...] Read more.
This contribution concerns studying a realistic predator–prey interaction, which was achieved by virtue of formulating a modified Leslie–Gower predator–prey model under the influence of the double Allee effect and fear effect in the prey species. The initial theoretical work sheds light on the relevant properties of the solution, presence, and local stability of the equilibria. Both analytic and numerical approaches were used to address the emergence of diverse bifurcations, like saddle-node, Hopf, and Bogdanov–Takens bifurcations. It is noteworthy that while making the assumption that the characteristic equation of the Jacobian matrix J has a pair of imaginary roots C(ρ)±ιD(ρ), it is sufficient to consider only C(ρ)+ιD(ρ) due to symmetry. The impact of the fear effect on the proposed model is discussed. Numerical simulation results are provided to back up all the theoretical analysis. From the findings, it was established that the initial condition of the population, as well as the phenomena (fear effect) introduced, played a crucial role in determining the stability of the proposed model. Full article
(This article belongs to the Special Issue Symmetry/Asymmetry in Life Sciences: Feature Papers 2024)
Show Figures

Figure 1

15 pages, 343 KB  
Article
New Results Regarding Positive Periodic Solutions of Generalized Leslie–Gower-Type Population Models
by Axiu Shu, Xiaoliang Li and Bo Du
Symmetry 2024, 16(10), 1399; https://doi.org/10.3390/sym16101399 - 21 Oct 2024
Viewed by 1369
Abstract
In this paper, we focus on the existence of positive periodic solutions of generalized Leslie–Gower-type population models. Using the topological degree, we provide sufficient conditions to demonstrate the existence of positive periodic solutions to the considered models. It is interesting that the positive [...] Read more.
In this paper, we focus on the existence of positive periodic solutions of generalized Leslie–Gower-type population models. Using the topological degree, we provide sufficient conditions to demonstrate the existence of positive periodic solutions to the considered models. It is interesting that the positive periodic solutions in this paper are general positive functions, not e exponential functions, which generalizes and improves the existing results. We note that due to the symmetrical property of periodic solutions, the results of this paper provide a deeper understanding of the periodic behavior of biological populations. Two numerical examples show the effectiveness of our main results. Full article
Show Figures

Figure 1

28 pages, 11701 KB  
Article
Bifurcation of a Leslie–Gower Predator–Prey Model with Nonlinear Harvesting and a Generalist Predator
by Mengxin He and Zhong Li
Axioms 2024, 13(10), 704; https://doi.org/10.3390/axioms13100704 - 12 Oct 2024
Cited by 3 | Viewed by 1686
Abstract
A Leslie–Gower predator–prey model with nonlinear harvesting and a generalist predator is considered in this paper. It is shown that the degenerate positive equilibrium of the system is a cusp of codimension up to 4, and the system admits the cusp-type degenerate Bogdanov–Takens [...] Read more.
A Leslie–Gower predator–prey model with nonlinear harvesting and a generalist predator is considered in this paper. It is shown that the degenerate positive equilibrium of the system is a cusp of codimension up to 4, and the system admits the cusp-type degenerate Bogdanov–Takens bifurcation of codimension 4. Moreover, the system has a weak focus of at least order 3 and can undergo degenerate Hopf bifurcation of codimension 3. We verify, through numerical simulations, that the system admits three different stable states, such as a stable fixed point and three limit cycles (the middle one is unstable), or two stable fixed points and two limit cycles. Our results reveal that nonlinear harvesting and a generalist predator can lead to richer dynamics and bifurcations (such as three limit cycles or tristability); specifically, harvesting can cause the extinction of prey, but a generalist predator provides some protection for the predator in the absence of prey. Full article
Show Figures

Figure 1

26 pages, 2412 KB  
Article
A Predator–Prey System with a Modified Leslie–Gower and Prey Stage Structure Scheme in Deterministic and Stochastic Environments
by Xiaoran Wang, Huimei Liu and Wencai Zhao
Mathematics 2024, 12(15), 2371; https://doi.org/10.3390/math12152371 - 30 Jul 2024
Cited by 1 | Viewed by 2326
Abstract
The evolution of the population ecosystem is closely related to resources and the environment. Assuming that the environmental capacity of a predator population is positively correlated with the number of prey, and that the prey population has a sheltered effect, we investigated a [...] Read more.
The evolution of the population ecosystem is closely related to resources and the environment. Assuming that the environmental capacity of a predator population is positively correlated with the number of prey, and that the prey population has a sheltered effect, we investigated a predator–prey model with a juvenile–adult two-stage structure. The dynamical behaviour of the model was examined from two distinct environmental perspectives, deterministic and stochastic, respectively. For the deterministic model, the conditions for the existence of equilibrium points were obtained by comprehensive use of analytical and geometric methods, and the local and global asymptotic stability of each equilibrium point was discussed. For the stochastic system, the effect of noise intensity on the long-term dynamic behavior of the population was investigated. By constructing appropriate Lyapunov functions, the criteria that determined the extinction of the system and the ergodic stationary distribution were given. Finally, through concrete examples and numerical simulations, the understanding of the dynamic properties of the model was deepened. The results show that an improvement in the predator living environment would lead to the decrease in the prey population, while more prey shelters could lead to the decline or even extinction of predator populations. Full article
Show Figures

Figure 1

10 pages, 1408 KB  
Article
Open Problems and Conjectures in the Evolutionary Periodic Ricker Competition Model
by Rafael Luís
Axioms 2024, 13(4), 246; https://doi.org/10.3390/axioms13040246 - 9 Apr 2024
Cited by 3 | Viewed by 1293
Abstract
In this paper, we present a survey about the latest results in global stability concerning the discrete-time evolutionary Ricker competition model with n species, in both, autonomous and periodic models. The main purpose is to convey some arguments and new ideas concerning the [...] Read more.
In this paper, we present a survey about the latest results in global stability concerning the discrete-time evolutionary Ricker competition model with n species, in both, autonomous and periodic models. The main purpose is to convey some arguments and new ideas concerning the techniques for showing global asymptotic stability of fixed points or periodic cycles in these kind of discrete-time models. In order to achieve this, some open problems and conjectures related to the evolutionary Ricker competition model are presented, which may be a starting point to study global stability, not only in other competition models, but in predator–prey models and Leslie–Gower-type models as well. Full article
Show Figures

Figure 1

19 pages, 905 KB  
Article
Dynamics of a Discrete Leslie–Gower Model with Harvesting and Holling-II Functional Response
by Chen Zhang and Xianyi Li
Mathematics 2023, 11(15), 3303; https://doi.org/10.3390/math11153303 - 27 Jul 2023
Cited by 3 | Viewed by 1641
Abstract
Recently, Christian Cortés García proposed and studied a continuous modified Leslie–Gower model with harvesting and alternative food for predator and Holling-II functional response, and proved that the model undergoes transcritical bifurcation, saddle-node bifurcation and Hopf bifurcation. In this paper, we dedicate ourselves to [...] Read more.
Recently, Christian Cortés García proposed and studied a continuous modified Leslie–Gower model with harvesting and alternative food for predator and Holling-II functional response, and proved that the model undergoes transcritical bifurcation, saddle-node bifurcation and Hopf bifurcation. In this paper, we dedicate ourselves to investigating the bifurcation problems of the discrete version of the model by using the Center Manifold Theorem and bifurcation theory, and obtain sufficient conditions for the occurrences of the transcritical bifurcation and Neimark–Sacker bifurcation, and the stability of the closed orbits bifurcated. Our numerical simulations not only illustrate corresponding theoretical results, but also reveal new dynamic chaos occurring, which is an essential difference between the continuous system and its corresponding discrete version. Full article
Show Figures

Figure 1

25 pages, 1962 KB  
Article
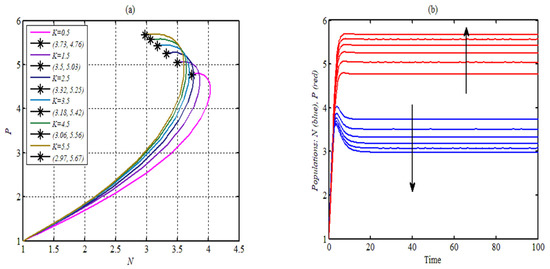
Bifurcation Analysis in a Harvested Modified Leslie–Gower Model Incorporated with the Fear Factor and Prey Refuge
by Seralan Vinoth, R. Vadivel, Nien-Tsu Hu, Chin-Sheng Chen and Nallappan Gunasekaran
Mathematics 2023, 11(14), 3118; https://doi.org/10.3390/math11143118 - 14 Jul 2023
Cited by 14 | Viewed by 2439
Abstract
Fear and prey refuges are two significant topics in the ecological community because they are closely associated with the connectivity of natural resources. The effect of fear on prey populations and prey refuges (proportional to both the prey and predator) is investigated in [...] Read more.
Fear and prey refuges are two significant topics in the ecological community because they are closely associated with the connectivity of natural resources. The effect of fear on prey populations and prey refuges (proportional to both the prey and predator) is investigated in the nonlinear-type predator-harvested Leslie–Gower model. This type of prey refuge is much more sensible and realistic than the constant prey refuge model. Because there is less research on the dynamics of this type of prey refuge, the current study has been considered to strengthen the existing literature. The number and stability properties of all positive equilibria are examined. Since the calculations for the determinant and trace of the Jacobian matrix are quite complicated at these equilibria, the stability of certain positive equilibria is evaluated using a numerical simulation process. Sotomayor’s theorem is used to derive a precise mathematical confirmation of the appearance of saddle-node bifurcation and transcritical bifurcation. Furthermore, numerical simulations are provided to visually demonstrate the dynamics of the system and the stability of the limit cycle is discussed with the help of the first Lyapunov number. We perform some sensitivity investigations on our model solutions in relation to three key model parameters: the fear impact, prey refuges, and harvesting. Our findings could facilitate some biological understanding of the interactions between predators and prey. Full article
Show Figures

Figure 1

16 pages, 2881 KB  
Article
Complexity and Chaos Analysis for Two-Dimensional Discrete-Time Predator–Prey Leslie–Gower Model with Fractional Orders
by Tareq Hamadneh, Abderrahmane Abbes, Ibraheem Abu Falahah, Yazan Alaya AL-Khassawneh, Ahmed Salem Heilat, Abdallah Al-Husban and Adel Ouannas
Axioms 2023, 12(6), 561; https://doi.org/10.3390/axioms12060561 - 6 Jun 2023
Cited by 17 | Viewed by 2066
Abstract
The paper introduces a novel two-dimensional fractional discrete-time predator–prey Leslie–Gower model with an Allee effect on the predator population. The model’s nonlinear dynamics are explored using various numerical techniques, including phase portraits, bifurcations and maximum Lyapunov exponent, with consideration given to both commensurate [...] Read more.
The paper introduces a novel two-dimensional fractional discrete-time predator–prey Leslie–Gower model with an Allee effect on the predator population. The model’s nonlinear dynamics are explored using various numerical techniques, including phase portraits, bifurcations and maximum Lyapunov exponent, with consideration given to both commensurate and incommensurate fractional orders. These techniques reveal that the fractional-order predator–prey Leslie–Gower model exhibits intricate and diverse dynamical characteristics, including stable trajectories, periodic motion, and chaotic attractors, which are affected by the variance of the system parameters, the commensurate fractional order, and the incommensurate fractional order. Finally, we employ the 0–1 method, the approximate entropy test and the C0 algorithm to measure complexity and confirm chaos in the proposed system. Full article
Show Figures

Figure 1

30 pages, 5072 KB  
Article
Complex Dynamic Behaviors of a Modified Discrete Leslie–Gower Predator–Prey System with Fear Effect on Prey Species
by Sijia Lin, Fengde Chen, Zhong Li and Lijuan Chen
Axioms 2022, 11(10), 520; https://doi.org/10.3390/axioms11100520 - 1 Oct 2022
Cited by 17 | Viewed by 2716
Abstract
A discrete modified Leslie–Gower prey-predator model considering the effect of fear on prey species is proposed and studied in this paper. First, we discuss the existence of equilibria and the local stability of the model. Second, we use the iterative method and comparison [...] Read more.
A discrete modified Leslie–Gower prey-predator model considering the effect of fear on prey species is proposed and studied in this paper. First, we discuss the existence of equilibria and the local stability of the model. Second, we use the iterative method and comparison principle to obtain the set of conditions which ensures the global attractivity of positive equilibrium point. The results show that prey and predator can coexist stably when the intrinsic growth rates of both prey and predator are maintained within a certain range. Then, we study the global attractivity of the boundary equilibrium point. Our results suggest that when the intrinsic rate of prey is small enough or the fear factor is large enough, the prey will tend to go extinct, while the predator can survive stably due to the availability of other food sources. Subsequently, we discuss flip bifurcation, transcritical bifurcation at the equilibria of the system, by using the center manifold theorem and bifurcation theory. We find that system changes from chaotic state to four-period orbit, two-period orbit, stable state, and finally prey species will be driven to extinction, while predator species survive in a stable state for enough large birth rate of prey species with the increasing of fear effect. Finally, we verify the feasibility of the main results by numerical simulations, and discuss the influence of the fear effect. The results show that the fear effect within a certain range can enhance the stability of the system. Full article
(This article belongs to the Special Issue Advances in Applied Mathematical Modelling)
Show Figures

Figure 1

20 pages, 1511 KB  
Article
Pattern Dynamics of Cross Diffusion Predator–Prey System with Strong Allee Effect and Hunting Cooperation
by Meng Zhu, Jing Li and Xinze Lian
Mathematics 2022, 10(17), 3171; https://doi.org/10.3390/math10173171 - 3 Sep 2022
Cited by 8 | Viewed by 2552
Abstract
In this paper, we consider a Leslie–Gower cross diffusion predator–prey model with a strong Allee effect and hunting cooperation. We mainly investigate the effects of self diffusion and cross diffusion on the stability of the homogeneous state point and processes of pattern formation. [...] Read more.
In this paper, we consider a Leslie–Gower cross diffusion predator–prey model with a strong Allee effect and hunting cooperation. We mainly investigate the effects of self diffusion and cross diffusion on the stability of the homogeneous state point and processes of pattern formation. Using eigenvalue theory and Routh–Hurwitz criterion, we analyze the local stability of positive equilibrium solutions. We give the conditions of Turing instability caused by self diffusion and cross diffusion in detail. In order to discuss the influence of self diffusion and cross diffusion, we choose self diffusion coefficient and cross diffusion coefficient as the main control parameters. Through a series of numerical simulations, rich Turing structures in the parameter space were obtained, including hole pattern, strip pattern and dot pattern. Furthermore, We illustrate the spatial pattern through numerical simulation. The results show that the dynamics of the model exhibits that the self diffusion and cross diffusion control not only form the growth of dots, stripes, and holes, but also self replicating spiral pattern growth. These results indicate that self diffusion and cross diffusion have important effects on the formation of spatial patterns. Full article
(This article belongs to the Special Issue Infinite Dimensional Dynamical System and Differential Equations)
Show Figures

Figure 1

22 pages, 9287 KB  
Article
Modeling and Analysis of the Influence of Fear on the Harvested Modified Leslie–Gower Model Involving Nonlinear Prey Refuge
by Abdul Rahman Mahmoud Jamil and Raid Kamel Naji
Mathematics 2022, 10(16), 2857; https://doi.org/10.3390/math10162857 - 10 Aug 2022
Cited by 25 | Viewed by 2175
Abstract
Understanding the effects of fear, quadratic fixed effort harvesting, and predator-dependent refuge are essential topics in ecology. Accordingly, a modified Leslie–Gower prey–predator model incorporating these biological factors is mathematically modeled using the Beddington–DeAngelis type of functional response to describe the predation processes. The [...] Read more.
Understanding the effects of fear, quadratic fixed effort harvesting, and predator-dependent refuge are essential topics in ecology. Accordingly, a modified Leslie–Gower prey–predator model incorporating these biological factors is mathematically modeled using the Beddington–DeAngelis type of functional response to describe the predation processes. The model’s qualitative features are investigated, including local equilibria stability, permanence, and global stability. Bifurcation analysis is carried out on the temporal model to identify local bifurcations such as transcritical, saddle-node, and Hopf bifurcation. A comprehensive numerical inquiry is carried out using MATLAB to verify the obtained theoretical findings and understand the effects of varying the system’s parameters on their dynamical behavior. It is observed that the existence of these factors makes the system’s dynamic behavior richer, so that it involves bi-stable behavior. Full article
(This article belongs to the Section E3: Mathematical Biology)
Show Figures

Figure 1

21 pages, 4996 KB  
Article
Discretization, Bifurcation, and Control for a Class of Predator-Prey Interactions
by Asifa Tassaddiq, Muhammad Sajjad Shabbir, Qamar Din and Humera Naaz
Fractal Fract. 2022, 6(1), 31; https://doi.org/10.3390/fractalfract6010031 - 6 Jan 2022
Cited by 35 | Viewed by 3044
Abstract
The present study focuses on the dynamical aspects of a discrete-time Leslie-Gower predator-prey model accompanied by a Holling type III functional response. Discretization is conducted by applying a piecewise constant argument method of differential equations. Moreover, boundedness, existence, uniqueness, and a local stability [...] Read more.
The present study focuses on the dynamical aspects of a discrete-time Leslie-Gower predator-prey model accompanied by a Holling type III functional response. Discretization is conducted by applying a piecewise constant argument method of differential equations. Moreover, boundedness, existence, uniqueness, and a local stability analysis of biologically feasible equilibria were investigated. By implementing the center manifold theorem and bifurcation theory, our study reveals that the given system undergoes period-doubling and Neimark-Sacker bifurcation around the interior equilibrium point. By contrast, chaotic attractors ensure chaos. To avoid these unpredictable situations, we establish a feedback-control strategy to control the chaos created under the influence of bifurcation. The fractal dimensions of the proposed model are calculated. The maximum Lyapunov exponents and phase portraits are depicted to further confirm the complexity and chaotic behavior. Finally, numerical simulations are presented to confirm the theoretical and analytical findings. Full article
Show Figures

Figure 1

24 pages, 1207 KB  
Article
A Modified Leslie–Gower Model Incorporating Beddington–DeAngelis Functional Response, Double Allee Effect and Memory Effect
by Emli Rahmi, Isnani Darti, Agus Suryanto and Trisilowati
Fractal Fract. 2021, 5(3), 84; https://doi.org/10.3390/fractalfract5030084 - 1 Aug 2021
Cited by 30 | Viewed by 4110
Abstract
In this paper, a modified Leslie–Gower predator-prey model with Beddington–DeAngelis functional response and double Allee effect in the growth rate of a predator population is proposed. In order to consider memory effect on the proposed model, we employ the Caputo fractional-order derivative. We [...] Read more.
In this paper, a modified Leslie–Gower predator-prey model with Beddington–DeAngelis functional response and double Allee effect in the growth rate of a predator population is proposed. In order to consider memory effect on the proposed model, we employ the Caputo fractional-order derivative. We investigate the dynamic behaviors of the proposed model for both strong and weak Allee effect cases. The existence, uniqueness, non-negativity, and boundedness of the solution are discussed. Then, we determine the existing condition and local stability analysis of all possible equilibrium points. Necessary conditions for the existence of the Hopf bifurcation driven by the order of the fractional derivative are also determined analytically. Furthermore, by choosing a suitable Lyapunov function, we derive the sufficient conditions to ensure the global asymptotic stability for the predator extinction point for the strong Allee effect case as well as for the prey extinction point and the interior point for the weak Allee effect case. Finally, numerical simulations are shown to confirm the theoretical results and can explore more dynamical behaviors of the system, such as the bi-stability and forward bifurcation. Full article
(This article belongs to the Special Issue Fractional Order Systems and Their Applications)
Show Figures

Figure 1

16 pages, 904 KB  
Article
Dynamical Behavior of a Modified Leslie–Gower One Prey–Two Predators with Competition
by Dian Savitri, Agus Suryanto, Wuryansari Muharini Kusumawinahyu and Abadi
Mathematics 2020, 8(5), 669; https://doi.org/10.3390/math8050669 - 28 Apr 2020
Cited by 12 | Viewed by 3510
Abstract
We study the dynamics of a modified Leslie–Gower one prey–two predators model with competition between predator populations. The model describes complex dynamics in the permanence, global stability and bifurcation. It is shown that there are eight possible equilibrium states. Two equilibrium states, i.e., [...] Read more.
We study the dynamics of a modified Leslie–Gower one prey–two predators model with competition between predator populations. The model describes complex dynamics in the permanence, global stability and bifurcation. It is shown that there are eight possible equilibrium states. Two equilibrium states, i.e., the extinction of all of the species state and the extinction of both predators state are always unstable, while the other equilibrium states are conditionally locally and globally asymptotically stable. We also analyzed numerically the effect of competition between predators. Our numerical simulations showed that the competition rate of the second-predator may induce the transcritical bifurcation, the saddle-node bifurcation as well as the bi-stability phenomenon. Such numerical results are consistent with the analytical results. Full article
(This article belongs to the Special Issue Mathematical Methods in Nonlinear Waves and Dynamical Systems)
Show Figures

Figure 1

Back to TopTop