Sign in to use this feature.

Years

Between: -

Subjects

remove_circle_outline
remove_circle_outline
remove_circle_outline

Journals

Article Types

Countries / Regions

Search Results (15)

Search Parameters:
Keywords = Lankford coefficient

Order results
Result details
Results per page
Select all
Export citation of selected articles as:
15 pages, 47269 KB  
Article
Investigating the Tensile Properties of 22MnB5 After Austenitization and Quenching with Different Initial Microstructures
by Erik Lundholm, Jörgen Kajberg and Paul Åkerström
Metals 2025, 15(6), 589; https://doi.org/10.3390/met15060589 - 25 May 2025
Cited by 3 | Viewed by 1781
Abstract
In the automotive industry, structural components are often produced via press hardening, enabling rapid production and the use of ultra-high-strength steels. In this process, steels are heated to an austenitic state and are then formed and quenched in rapid succession. The initial steel [...] Read more.
In the automotive industry, structural components are often produced via press hardening, enabling rapid production and the use of ultra-high-strength steels. In this process, steels are heated to an austenitic state and are then formed and quenched in rapid succession. The initial steel that enters the press-hardening production line varies, where the microstructure is a result of previous production steps. This work was performed to investigate the possible effects of the initial microstructure on the final mechanical properties for rapidly quenched samples. Although the initial microstructure is transformed during austenitization, the steel can still be affected by its prior history. Steels with three different initial microstructures were evaluated, with only minor variations in chemical composition and thicknesses. The Lankford coefficients and the failure strains were dependent on the orientation of the samples. However, for a given orientation, there were only minor variations between the different steels with respect to anisotropy, strength, and ductility. The anisotropy could be correlated with the microstructure through the calculation of Taylor factors based on measurements using electron backscatter diffraction. The minor influence from the initial steel microstructure on the final mechanical properties indicates robustness suitable for mass production. Full article
Show Figures

Figure 1

19 pages, 6141 KB  
Article
Experimental Investigation of Strain Rate Influence on Anisotropy of Uniaxial Tensile Mechanical Properties of CuFe2P Alloy Sheet
by Ante Bubalo, Zdenko Tonković, Lovre Krstulović-Opara and Vedrana Cvitanić
Materials 2024, 17(13), 3135; https://doi.org/10.3390/ma17133135 - 26 Jun 2024
Cited by 3 | Viewed by 1944
Abstract
Wire crimping, a process commonly used in the automotive industry, is a solderless method for establishing electrical and mechanical connections between wire strands and terminals. The complexity of predicting the final shape of a crimped terminal and the imperative to minimize production costs [...] Read more.
Wire crimping, a process commonly used in the automotive industry, is a solderless method for establishing electrical and mechanical connections between wire strands and terminals. The complexity of predicting the final shape of a crimped terminal and the imperative to minimize production costs indicate the use of advanced numerical methods. Such an approach requires a reliable phenomenological elasto-plastic constitutive model in which material behavior during the forming process is described. Copper alloy sheets, known for their ductility and strength, are commonly selected as terminal materials. Generally, sheet metals exhibit significant anisotropy in mechanical properties, and this phenomenon has not been sufficiently investigated experimentally for copper alloy sheets. Furthermore, the wire crimping process is conducted at higher velocities; therefore, the influence of the strain rate on the terminal material behavior has to be known. In this paper, the influence of the strain rate on the anisotropic elasto-plastic behavior of the copper alloy sheet CuFe2P is experimentally investigated. Tensile tests with strain rates of 0.0002 s−1, 0.2 s−1, 1 s−1, and 5.65 s−1 were conducted on sheet specimens with orientations of 0°, 45°, and 90° to the rolling direction. The influence of the strain rate on the orientation dependences of the stress–strain curve, elastic modulus, tensile strength, elongation, and Lankford coefficient was determined. Furthermore, the breaking angle at fracture and the inelastic heat fraction were determined for each considered specimen orientation. The considered experimental data were obtained by capturing the loading process using infrared thermography and digital image correlation techniques. Full article
Show Figures

Figure 1

13 pages, 7085 KB  
Article
The Effects of Strain Rate and Anisotropy on the Formability and Mechanical Behaviour of Aluminium Alloy 2024-T3
by Martin Harant, Patricia Verleysen, Milan Forejt and Stepan Kolomy
Metals 2024, 14(1), 98; https://doi.org/10.3390/met14010098 - 13 Jan 2024
Cited by 14 | Viewed by 5263
Abstract
The present study focuses on the mechanical behaviour and formability of the aluminium alloy 2024-T3 in sheet form with a thickness of 0.8 mm. For this purpose, tensile tests at quasi-static and intermediate strain rates were performed using a universal testing machine, and [...] Read more.
The present study focuses on the mechanical behaviour and formability of the aluminium alloy 2024-T3 in sheet form with a thickness of 0.8 mm. For this purpose, tensile tests at quasi-static and intermediate strain rates were performed using a universal testing machine, and high strain rate experiments were performed using a split Hopkinson tension bar (SHTB) facility. The material’s anisotropy was investigated by considering seven different specimen orientations relative to the rolling direction. Digital image correlation (DIC) was used to measure specimen deformation. Based on the true stress–strain curves, the alloy exhibited negative strain rate sensitivity (NSRS). Dynamic strain aging (DSA) was investigated as a possible cause. However, neither the strain distribution nor the stress–strain curves gave further indications of the occurrence of DSA. A higher deformation capacity was observed in the high strain rate experiments. The alloy displayed anisotropic mechanical properties. Values of the Lankford coefficient lower than 1, more specifically, varying between 0.45 and 0.87 depending on specimen orientations and strain rate, were found. The hardening exponent was not significantly dependent on specimen orientation and only moderately affected by strain rate. An average value of 0.183 was observed for specimens tested at a quasi-static strain rate. Scanning electron microscopy (SEM) revealed a typical ductile fracture morphology with fine dimples. Dimple sizes were hardly affected by specimen orientation and strain rate. Full article
(This article belongs to the Topic Alloys and Composites Corrosion and Mechanical Properties)
Show Figures

Figure 1

18 pages, 6631 KB  
Article
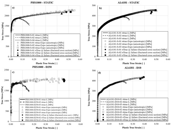
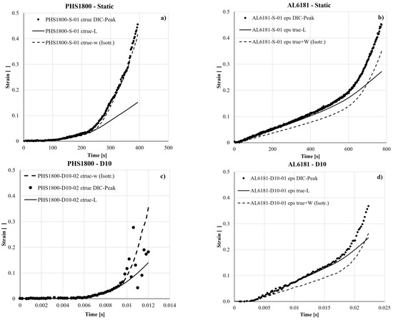
A Simple Procedure for the Post-Necking Stress-Strain Curves of Anisotropic Sheet Metals
by Giuseppe Mirone, Raffaele Barbagallo, Giuseppe Bua, Daniele De Caro, Matteo Ferrea and Michele M. Tedesco
Metals 2023, 13(7), 1156; https://doi.org/10.3390/met13071156 - 21 Jun 2023
Cited by 8 | Viewed by 4295
Abstract
Modelling the anisotropic plasticity of a metal requires the derivation of various experimental flow curves from specimens machined along different orientations and, depending on the anisotropy model, tested under different loading modes (tension, compression, torsion). The derivation of stress–strain curves from tensile experiments [...] Read more.
Modelling the anisotropic plasticity of a metal requires the derivation of various experimental flow curves from specimens machined along different orientations and, depending on the anisotropy model, tested under different loading modes (tension, compression, torsion). The derivation of stress–strain curves from tensile experiments is a common practice within the uniform straining range but still presents some uncertainties after necking onset. Modern sheet metals, for structural applications where significant energy absorption is required, may exhibit early necking and prolonged post-necking ductility; when such alloys also exhibit pronounced anisotropy, the derivation of their flow curves may be challenging, whatever the loading mode or the specimen direction. This work examines the experimental procedures for determining the true-stress–true-strain curve and the anisotropic strain ratio, extended over the post-necking range and up to failure, from representative tensile tests along the rolling direction of PHS-1800 steel and aluminum 6181 alloy. The validity ranges of different standard procedures for stress–strain derivation are investigated to understand when and how fast the typical true-stress–true-strain data start to depart from the effective material response. Other considerations, based on simple experimental and post-processing procedures, aim at a procedure delivering useful information about the material response over the post-necking range and up to failure. The procedure to retrieve post-necking true curves and anisotropy ratios is then applied to tensile tests at static, intermediate, and high strain rates on the two sheet metals of interest. Full article
Show Figures

Figure 1

19 pages, 7325 KB  
Article
Effect of Lankford Coefficients on Springback Behavior during Deep Drawing of Stainless Steel Cylinders
by Fei Wu, Yihao Hong, Zhengrong Zhang, Chun Huang and Zhenrong Huang
Materials 2023, 16(12), 4321; https://doi.org/10.3390/ma16124321 - 11 Jun 2023
Cited by 1 | Viewed by 2770
Abstract
Accurate prediction of springback is increasingly required during deep-drawing formation of anisotropic stainless steel sheets. The anisotropy of sheet thickness direction is very important for predicting the springback and final shape of a workpiece. The effect of Lankford coefficients (r00, r [...] Read more.
Accurate prediction of springback is increasingly required during deep-drawing formation of anisotropic stainless steel sheets. The anisotropy of sheet thickness direction is very important for predicting the springback and final shape of a workpiece. The effect of Lankford coefficients (r00, r45, r90) with different angles on springback was investigated using numerical simulation and experiments. The results show that the Lankford coefficients with different angles each have a different influence on springback. The diameter of the straight wall of the cylinder along the 45-degree direction decreased after springback, and showed a concave valley shape. The Lankford coefficient r90 had the greatest effect on the bottom ground springback, followed by r45 and then r00. A correlation was established between the springback of workpiece and Lankford coefficients. The experimental springback values were obtained by using a coordinate-measuring machine and showed good agreement with the numerical simulation results. Full article
(This article belongs to the Special Issue Progress in Plastic Deformation of Metals and Alloys (Second Volume))
Show Figures

Figure 1

18 pages, 23949 KB  
Article
Size Effect on the Post-Necking Behaviour of Dual-Phase 800 Steel: Modelling and Experiment
by Lintao Zhang, Will Harrison, Shahin Mehraban, Stephen G. R. Brown and Nicholas P. Lavery
Materials 2023, 16(4), 1458; https://doi.org/10.3390/ma16041458 - 9 Feb 2023
Cited by 11 | Viewed by 3096
Abstract
This work investigated the feasibility of using a miniaturised non-standard tensile specimen to predict the post-necking behaviour of the materials manufactured via a rapid alloy prototyping (RAP) approach. The experimental work focused on the determination of the Lankford coefficients (r-value) of dual-phase 800 [...] Read more.
This work investigated the feasibility of using a miniaturised non-standard tensile specimen to predict the post-necking behaviour of the materials manufactured via a rapid alloy prototyping (RAP) approach. The experimental work focused on the determination of the Lankford coefficients (r-value) of dual-phase 800 (DP800) steel and the digital image correlation (DIC) for some cases, which were used to help calibrate the damage model parameters of DP800 steel. The three-dimensional numerical simulations focused on the influence of the size effect (aspect ratio, AR) on the post-necking behaviour, such as the strain/stress/triaxiality evolutions, fracture angles, and necking mode transitions. The modelling showed that although a good correlation can be found between the predicted and experimentally observed ultimate tensile strength (UTS) and total elongation. The standard tensile specimen with a gauge length of 80 mm exhibited a fracture angle of ∼55°, whereas the smaller miniaturised non-standard specimens with low ARs exhibited fractures perpendicular to the loading direction. This shows that care must be taken when comparing the post-necking behaviour of small-scale tensile tests, such as those completed as a part of a RAP approach, to the post-necking behaviours of standard full-size test specimens. However, the modelling work showed that this behaviour is well represented, demonstrating a transition between the fracture angles of the samples between 2.5 and 5. This provides more confidence in understanding the post-necking behaviour of small-scale tensile tests. Full article
Show Figures

Figure 1

18 pages, 3522 KB  
Article
Stress-Invariants-Based Anisotropic Yield Functions and Its Application to Sheet Metal Plasticity
by Jinjae Kim, Phu Van Nguyen, Jung Goo Hong and Young Suk Kim
Metals 2023, 13(1), 142; https://doi.org/10.3390/met13010142 - 10 Jan 2023
Cited by 11 | Viewed by 3734
Abstract
The yield criterion, or so-called yield function, plays an important role in the study of the plastic working of a sheet because it governs the plastic deformation properties of the sheet during the plastic-forming process. In this paper, we propose a novel anisotropic [...] Read more.
The yield criterion, or so-called yield function, plays an important role in the study of the plastic working of a sheet because it governs the plastic deformation properties of the sheet during the plastic-forming process. In this paper, we propose a novel anisotropic yield function useful for describing the plastic behavior of various anisotropic sheets. The proposed yield function includes the anisotropic version of the second stress invariant J2 and the third stress invariant J3. The proposed yield function can explain the anisotropic plastic behavior of various sheets by introducing the parameters α and β and also exhibits both symmetrical and asymmetrical yield surfaces. The parameters included in the proposed model were determined with an optimization algorithm from uniaxial and biaxial experimental data under a proportional loading path. In this study, the validity of the proposed anisotropic yield function was verified by comparing the yield surface shape, normalized uniaxial yield stress value, and Lankford anisotropic coefficient R-value derived from the experimental results. Applications of the proposed anisotropic yield functions to an aluminum sheet showed symmetrical yielding behavior and, to pure titanium sheets, showed asymmetric yielding behavior; thus, it was shown that the yield curve and yield behavior of various types of sheet materials can be predicted reasonably by using the proposed new yield anisotropic function. Full article
(This article belongs to the Special Issue Deformation of Metals and Alloys: Theory, Simulations and Experiments)
Show Figures

Figure 1

18 pages, 5033 KB  
Article
Controlling the Plastic Anisotropy of Magnesium Alloy by Tailoring the Grain Size and Yttrium Content
by Mariyappan Arul Kumar, Marcin Wroński and Irene J. Beyerlein
Crystals 2023, 13(1), 115; https://doi.org/10.3390/cryst13010115 - 8 Jan 2023
Cited by 7 | Viewed by 3080
Abstract
Hexagonal close-packed (HCP) magnesium alloys are widely used in automotive and aerospace industries due to their low density and high specific-strength. Their applicability is mainly restricted due to poor formability and pronounced plastic anisotropy. The formability is usually improved by altering the chemistry [...] Read more.
Hexagonal close-packed (HCP) magnesium alloys are widely used in automotive and aerospace industries due to their low density and high specific-strength. Their applicability is mainly restricted due to poor formability and pronounced plastic anisotropy. The formability is usually improved by altering the chemistry (adding rare-earth elements like Y) or modulating the microstructure (e.g., grain refinement). However, grain refinement alone cannot yield the desired ductility, and the scarcity of rare-earth elements also limits the extent to which the alloying strategy can be used. To overcome these issues, in this work, it is proposed that the formability of Mg alloys can be improved by combining the grain refinement and alloying approaches. To quantitively explore this possibility, a crystal-plasticity-based constitutive model, which is sensitive to both alloying concentration and grain sizes, is developed. To demonstrate, the model is applied to study the combined effect of Y content and grain size on the mechanical responses of Mg alloy. The calculations are used to build maps of plastic anisotropy measures, such as tension–compression asymmetry ratio and Lankford coefficients, for a wide range of Y content and grain sizes. From these maps, the grain size that would yield the desired performance of Mg alloy for a fixed Y content can be identified. This work provides an accelerated pathway to optimize both the microstructure and chemistry simultaneously to achieve formability and to reduce the dependence on alloying. Full article
(This article belongs to the Special Issue Crystal Plasticity (Volume III))
Show Figures

Figure 1

31 pages, 19498 KB  
Article
Artificial Neural Networks for Predicting Plastic Anisotropy of Sheet Metals Based on Indentation Test
by Jiaping Xia, Chanhee Won, Hyunggyu Kim, Wonjoo Lee and Jonghun Yoon
Materials 2022, 15(5), 1714; https://doi.org/10.3390/ma15051714 - 24 Feb 2022
Cited by 14 | Viewed by 3819
Abstract
This paper mainly proposes two kinds of artificial neural network (ANN) models for predicting the plastic anisotropy properties of sheet metal using spherical indentation test, which minimizes measurement time, costs, and simplifies the process of obtaining the anisotropy properties than the conventional tensile [...] Read more.
This paper mainly proposes two kinds of artificial neural network (ANN) models for predicting the plastic anisotropy properties of sheet metal using spherical indentation test, which minimizes measurement time, costs, and simplifies the process of obtaining the anisotropy properties than the conventional tensile test. The proposed ANN models for predicting anisotropic properties can replace the traditional complex dimensionless analysis. Moreover, this paper is not limited to the prediction of yield strength anisotropy but also further accurately predicts the Lankford coefficient in different orientations. We newly construct an FE spherical indentation model, which is suitable for sheet metal in consideration of actual compliance. To obtain a large dataset for training the ANN, the constructed FE model is utilized to simulate pure and alloyed engineering metals with one thousand elastoplastic parameter conditions. We suggest the specific variables of the residual indentation mark as input parameters, also with the indentation load–depth curve. The profile of the residual indentation, including the height and length in different orientations, are used to analyze the anisotropic properties of the material. Experimental validations have been conducted with three different sheet alloys, TRIP1180 steel, zinc alloy, and aluminum alloy 6063-T6, comparing the proposed ANN model and the uniaxial tensile test. In addition, machine vision was used to efficiently analyze the residual indentation marks and automatically measure the indentation profiles in different orientations. The proposed ANN model exhibits remarkable performance in the prediction of the flow curves and Lankford coefficient of different orientations. Full article
(This article belongs to the Topic Metallurgical and Materials Engineering)
Show Figures

Graphical abstract

26 pages, 8306 KB  
Article
Damage Analysis of Third-Generation Advanced High-Strength Steel Based on the Gurson–Tvergaard–Needleman (GTN) Model
by Rafael O. Santos, Luciano P. Moreira, Marilena C. Butuc, Gabriela Vincze and António B. Pereira
Metals 2022, 12(2), 214; https://doi.org/10.3390/met12020214 - 24 Jan 2022
Cited by 25 | Viewed by 6650
Abstract
The third generation of advanced high-strength steels (AHSS) brought attention to the steel and automotive industries due to its good compromise between formability and production costs. This work evaluated a third-generation AHSS (USS CR980XG3TM) through microstructural and X-ray diffraction (XRD) analyses, [...] Read more.
The third generation of advanced high-strength steels (AHSS) brought attention to the steel and automotive industries due to its good compromise between formability and production costs. This work evaluated a third-generation AHSS (USS CR980XG3TM) through microstructural and X-ray diffraction (XRD) analyses, uniaxial tensile and plane-strain tension testing, and numerical simulations. The damage behavior of this steel is described with the Gurson–Tvergaard–Needleman (GTN) model using an identification procedure based on the uniaxial tensile and initial microvoids data. The microstructure of the CR980XG3TM steel is composed of ferrite, martensite–austenite islands, and retained austenite with a volume fraction of 12.2%. The global formability of the CR980XG3TM steel, namely the product of the uniaxial tensile strength and total elongation values, is 24.3 GPa%. The Lankford coefficient shows a weak initial plastic anisotropy of the CR980XG3TM steel with the in-plane anisotropy close to zero (−0.079) and the normal anisotropy close to unity (0.917). The identified GTN parameters for the CR980XG3TM steel provided a good forecast for the limit strains defined according to ISO 12004-2 standard from the uniaxial tensile and plane-strain tension data. Full article
Show Figures

Figure 1

19 pages, 7589 KB  
Article
Transformation of the Microstructure of Fe-Cr Steel during Its Production
by Andrés Núñez, Irene Collado, Juan F. Almagro and David L. Sales
Metals 2021, 11(5), 806; https://doi.org/10.3390/met11050806 - 15 May 2021
Cited by 8 | Viewed by 4352
Abstract
EN 1.4016 stainless steels combine good corrosion resistance with good formability and ductility. As such, their most popular applications are related to sheet forming. During re-crystallisation of Fe-Cr steels, deviations from the desired γ-fibre (gamma fibre, <111>||ND) texture promote a decrease in deep [...] Read more.
EN 1.4016 stainless steels combine good corrosion resistance with good formability and ductility. As such, their most popular applications are related to sheet forming. During re-crystallisation of Fe-Cr steels, deviations from the desired γ-fibre (gamma fibre, <111>||ND) texture promote a decrease in deep drawability. Additionally, α-fibre (alpha fibre, <110>||RD) has been found to be damaging to formability. In this study, an EN 1.4016 basic material and a modified one with optimised settings as regards to chemical composition and manufacturing process, in order to improve the formability properties, are characterised. The phase diagram, microstructure, Lankford coefficients and Electron Backscatter Diffraction (EBSD) (results confirm the evolution of texture during the processing of ferritic stainless steel. Texture is analysed by the interpretation of Orientation Distribution Function (ODF), using orientation density results for each sample obtained in the processing route. The cube ({001} <100>) and rotated cube ({001} <110>) textures dominate the crystal orientation from the slab until the intermediate annealing stage. After final annealing, there is a texture evolution in both materials; the γ-fibre component dominates the texture, which is much more intense in modified material supported by components that show good deep drawability, {554} <225>, and good transition from hot to cold rolling, {332} <113>. The modified composition and process material delivers a better re-crystallisation status and, therefore, the best drawability performance. Full article
(This article belongs to the Section Metal Casting, Forming and Heat Treatment)
Show Figures

Figure 1

16 pages, 12853 KB  
Article
Mechanical Characterization of the Elastoplastic Response of a C11000-H2 Copper Sheet
by Matías Pacheco, Claudio García-Herrera, Diego Celentano and Jean-Philippe Ponthot
Materials 2020, 13(22), 5193; https://doi.org/10.3390/ma13225193 - 17 Nov 2020
Cited by 4 | Viewed by 2813
Abstract
This work presents an elastoplastic characterization of a rolled C11000-H2 99.90% pure copper sheet considering the orthotropic non-associated Hill-48 criterion together with a modified Voce hardening law. One of the main features of this material is the necking formation at small strains levels [...] Read more.
This work presents an elastoplastic characterization of a rolled C11000-H2 99.90% pure copper sheet considering the orthotropic non-associated Hill-48 criterion together with a modified Voce hardening law. One of the main features of this material is the necking formation at small strains levels causing the early development of non-homogeneous stress and strain patterns in the tested samples. Due to this fact, a robust inverse calibration approach, based on an experimental–analytical–numerical iterative predictor–corrector methodology, is proposed to obtain the constitutive material parameters. This fitting procedure, which uses tensile test measurements where the strains are obtained via digital image correlation (DIC), consists of three steps aimed at, respectively, determining (a) the parameters of the hardening model, (b) a first prediction of the Hill-48 parameters based on the Lankford coefficients and, (c) corrected parameters of the yield and flow potential functions that minimize the experimental–numerical error of the material response. Finally, this study shows that the mechanical characterization carried out in this context is capable of adequately predicting the behavior of the material in the bulge test. Full article
(This article belongs to the Special Issue Computational Materials Modeling, Analysis and Applications)
Show Figures

Figure 1

22 pages, 13014 KB  
Article
Temperature Dependence of the Static and Dynamic Behaviour in a Quenching and Partitioning Processed Low-Si Steel
by Florian Vercruysse, Carola Celada-Casero, Bernd M. Linke, Patricia Verleysen and Roumen H. Petrov
Metals 2020, 10(4), 509; https://doi.org/10.3390/met10040509 - 15 Apr 2020
Cited by 19 | Viewed by 4196
Abstract
Because of their excellent combination of strength and ductility, quenching and partitioning (Q & P) steels have a great chance of being added to the third generation of advanced high strength steels. The large ductility of Q & P steels arises from the [...] Read more.
Because of their excellent combination of strength and ductility, quenching and partitioning (Q & P) steels have a great chance of being added to the third generation of advanced high strength steels. The large ductility of Q & P steels arises from the presence of 10% to 15% of retained austenite which postpones necking due to the transformation induced plasticity (TRIP) effect. Moreover, Q & P steels show promising forming properties with favourable Lankford coefficients, while their planar anisotropy is low due to a weak texture. The stability of the metastable austenite is the key to obtain tailored properties for these steels. To become part of the newest generation of advanced high strength steels, Q & P steels have to preserve their mechanical properties at dynamic strain rates and over a wide range of temperatures. Therefore, in the present study, a low-Si Q & P steel was tested at temperatures from −40 °C to 80 °C and strain rates from 0.001 s−1 to 500 s−1. Results show that the mechanical properties are well-preserved at the lowest temperatures. Indeed, at −40 °C and room temperature, no significant loss of the deformation capacity is observed even at dynamic strain rates. This is attributed to the presence of a large fraction of austenite that is so (thermally) stable that it does not transform in the absence of deformation. In addition, the high stability of the austenite decreases the elongation at high test temperatures (80 °C). The additional adiabatic heating in the dynamic tests causes the largest reduction of the uniform strain for the samples tested at 80 °C. Quantification of the retained austenite fraction in the samples after testing confirmed that, at the highest temperature and strain rate, the TRIP effect is suppressed. Full article
(This article belongs to the Special Issue Advanced High Strength Steels by Quenching and Partitioning)
Show Figures

Figure 1

14 pages, 2391 KB  
Article
Characterization of the Elastoplastic Response of Low Zn-Cu-Ti Alloy Sheets Using the CPB-06 Criterion
by Francisco Alister, Diego Celentano, Javier Signorelli, Pierre-Olivier Bouchard, Daniel Pino and Marcela Cruchaga
Materials 2019, 12(19), 3072; https://doi.org/10.3390/ma12193072 - 20 Sep 2019
Cited by 5 | Viewed by 2987
Abstract
Unlike other HCP metals such as titanium and magnesium, the behavior of zinc alloys has only been modeled in the literature. For the low Zn-Cu-Ti alloy sheet studied in this work, the anisotropy is clearly seen on the stress-strain curves and Lankford coefficients. [...] Read more.
Unlike other HCP metals such as titanium and magnesium, the behavior of zinc alloys has only been modeled in the literature. For the low Zn-Cu-Ti alloy sheet studied in this work, the anisotropy is clearly seen on the stress-strain curves and Lankford coefficients. These features impose a rigorous characterization and an adequate selection of the constitutive model to obtain an accurate representation of the material behavior in metal forming simulations. To describe the elastoplastic behavior of the alloy, this paper focuses on the material characterization through the application of the advanced Cazacu-Plunket-Barlat 2006 (CPB-06 for short) yield function combined with the well-known Hollomon hardening law. To this end, a two-stage methodology is proposed. Firstly, the material characterization is performed via tensile test measurements on sheet samples cut along the rolling, diagonal and transverse directions in order to fit the parameters involved in the associate CPB-06/Hollomon constitutive model. Secondly, these material parameters are assessed and validated in the simulation of the bulge test using different dies. The results obtained with the CPB-06/Hollomon model show a good agreement with the experimental data reported in the literature. Therefore, it is concluded that this model represents a consistent approach to estimate the behavior of Zn-Cu-Ti sheets under different forming conditions. Full article
Show Figures

Graphical abstract

19 pages, 11059 KB  
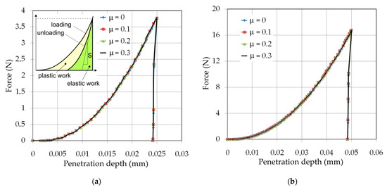
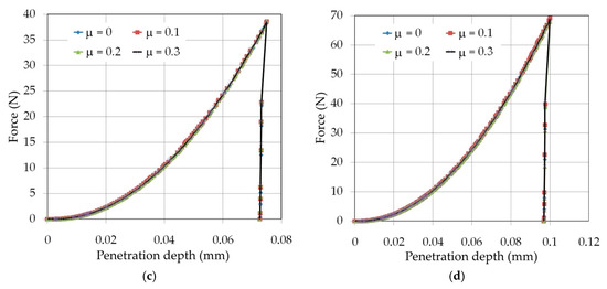
Article
A Three-Dimensional Elastic-Plastic Contact Analysis of Vickers Indenter on a Deep Drawing Quality Steel Sheet
by Tomasz Trzepiecinski and Hirpa G. Lemu
Materials 2019, 12(13), 2153; https://doi.org/10.3390/ma12132153 - 4 Jul 2019
Cited by 8 | Viewed by 4726
Abstract
Three-dimensional finite element-based numerical analysis of Vickers indenter hardness test was conducted to investigate the effect of frictional conditions and material anisotropy on indentation results of deep drawing quality steel sheets. The strain hardening properties and Lankford’s coefficient were determined through the uniaxial [...] Read more.
Three-dimensional finite element-based numerical analysis of Vickers indenter hardness test was conducted to investigate the effect of frictional conditions and material anisotropy on indentation results of deep drawing quality steel sheets. The strain hardening properties and Lankford’s coefficient were determined through the uniaxial tensile tests. The numerical computations were carried out using ABAQUS nonlinear finite element (FE) analysis software. Numerical simulations taken into account anisotropy of material described by Hill (1948) yield a criterion. The stress and strain distributions and loading–unloading characteristics were considered to study the response of the material. It was found that the hardness values seemed to be influenced by the value of the friction coefficient due to the pile-up phenomenon observed. The increasing of the friction coefficient led to a decrease of the pile-up value. Moreover, the width of the pile-ups differed from each other in the two perpendicular directions of measurement. Frictional conditions did not significantly affect the maximum force and the character of load–displacement curves. Frictional regime between the indenter and workpiece caused that the region of maximum residual stresses to be located in the subsurface. Full article
(This article belongs to the Section Materials Physics)
Show Figures

Figure 1

Back to TopTop