Sign in to use this feature.

Years

Between: -

Subjects

remove_circle_outline
remove_circle_outline
remove_circle_outline
remove_circle_outline
remove_circle_outline
remove_circle_outline
remove_circle_outline

Journals

Article Types

Countries / Regions

Search Results (72)

Search Parameters:
Keywords = Langendorff perfused heart

Order results
Result details
Results per page
Select all
Export citation of selected articles as:
27 pages, 4806 KB  
Article
Contractile Effects of Glucagon in Mouse Cardiac Preparations
by Joachim Neumann, Franziska Schmidt, Pauline Braekow, Uwe Kirchhefer, Jan Klimas, Katarina Hadova and Ulrich Gergs
Int. J. Mol. Sci. 2026, 27(1), 126; https://doi.org/10.3390/ijms27010126 - 22 Dec 2025
Viewed by 327
Abstract
Glucagon is an endogenous peptide that is produced in the pancreas. Via glucagon receptors, glucagon increases the beating rate in cultured rat neonatal cardiomyocytes and also in isolated right atrial preparations from adult rats. Moreover, in living adult mice, injections of glucagon can [...] Read more.
Glucagon is an endogenous peptide that is produced in the pancreas. Via glucagon receptors, glucagon increases the beating rate in cultured rat neonatal cardiomyocytes and also in isolated right atrial preparations from adult rats. Moreover, in living adult mice, injections of glucagon can elevate the heart rate. It is unknown whether these effects of glucagon in living adult mice are mediated via central glucagon receptors or via a direct effect on cardiac glucagon receptors. Thus, we tested the hypothesis that glucagon can exert a direct positive chronotropic effect in the adult mouse heart. We measured the contractile effects of cumulatively increasing concentrations of glucagon (0.1–100 nM) in isolated paced (1 Hz) left atrial preparations, in isolated spontaneously beating right atrial preparations and in isolated spontaneously beating retrogradely perfused whole hearts. We detected in isolated right atrial preparations time- and concentration-dependent positive chronotropic effects of glucagon that were reversed by the glucagon receptor antagonists SC203972 and desglucagon. The positive chronotropic effects of glucagon were also attenuated by 1 µM of ivabradine, an inhibitor of the hyperpolarization-activated cation channels (HCN), but not by 100 nM rolipram, a phosphodiesterase 4 inhibitor, nor by 10 µM of propranolol, a β-adrenoceptor antagonist. Moreover, the positive chronotropic effects of glucagon were also attenuated by stimulation of the A1-adenosine receptor or muscarinic receptors. Glucagon decreased the force of contraction in right atrial preparations. In left atrial preparations, glucagon failed to alter the force of contraction. In isolated adult mouse hearts perfused in the Langendorff mode, 10 nM of glucagon increased the beating rate and reduced left ventricular force of contraction. The gene expression of the glucagon receptors was lowest in the left atrium, higher in the ventricle and highest in the right atrium of adult mice. In summary, glucagon exerted a positive chronotropic effect in the mouse heart via glucagon receptors, mediated, at least in part, via HCN channels in the sinus node. Full article
(This article belongs to the Section Molecular Endocrinology and Metabolism)
Show Figures

Figure 1

20 pages, 2771 KB  
Article
Improved Rat Heart Preservation Using High-Pressure Gaseous Perfusion with Oxygen–Xenon Mixture
by Alexander Ponomarev, Daniil Kuznetsov and Elena Mukhlynina
Pathophysiology 2025, 32(4), 58; https://doi.org/10.3390/pathophysiology32040058 - 31 Oct 2025
Viewed by 797
Abstract
Background: To address limitations in static cold storage (SCS) of donor hearts, we developed the High-Pressure Gaseous Perfusion without Fluidic Preservation Media (HIPPER) method, along with the necessary equipment for its application. Methods: 33 Wistar rat hearts were split into five groups: (Control) [...] Read more.
Background: To address limitations in static cold storage (SCS) of donor hearts, we developed the High-Pressure Gaseous Perfusion without Fluidic Preservation Media (HIPPER) method, along with the necessary equipment for its application. Methods: 33 Wistar rat hearts were split into five groups: (Control) static cold storage (SCS) in HTK solution, (Exp) HIPPER using oxygen–xenon gas mixtures of varying ratios (“Gas-A”: 1/9, “Gas-B”: 9/1, and “Gas-C”: 1/1), and (Air) HIPPER using air. Hearts were preserved for six hours, followed by a one-hour Langendorff assessment. Results: Beating was restored in 4/10 Control hearts, 15/15 Exp hearts across all gas mixtures (p = 0.001 Control vs. Exp), and 6/8 Air hearts. Among resuscitated hearts, the mean heart rates (in bpm) were 131 ± 10 (Control), 164 ± 21 (Air), and 226 ± 13 (Exp) (p = 0.001 Control vs. Exp; p = 0.015 Exp vs. Air). The mean left ventricular pressures (in mmHg) were 31 ± 5 (Control), 45 ± 9 (Air), and 73 ± 7 (Exp) (p = 0.002 Control vs. Exp; p = 0.014 Exp vs. Air), with dP/dT max/min showing consistent trends (p < 0.006 Control vs. Exp and Air vs. Exp). Infarct size in Exp group was also significantly reduced, averaging 39.6 ± 6.6% (Control), 12.6 ± 3.3% (Air), and 6.3 ± 0.7% (Exp) of total myocardium area (p < 0.014 for Control vs. all). Conclusions: as evidenced by both quantitative and qualitative data, HIPPER consistently outperformed SCS following six hours of storage of rat heart regardless of the gas mixture, highlighting its potential as a more robust preservation method. Full article
(This article belongs to the Section Cardiovascular Pathophysiology)
Show Figures

Figure 1

12 pages, 2802 KB  
Article
Optimal Perfusion Pressure Enhances Donor Heart Preservation During Normothermic Ex Situ Perfusion in a Rat Transplantation Model
by Do Wan Kim, YeongEun Jo, Jiae Seong, Reverien Habimana, Hwa Jin Cho, Mukhammad Kayumov and Inseok Jeong
Medicina 2025, 61(9), 1696; https://doi.org/10.3390/medicina61091696 - 18 Sep 2025
Viewed by 773
Abstract
Background and Objectives: Normothermic ex situ heart preservation maintains donor heart viability by sustaining physiological conditions and reducing ischemic damage. However, the ideal perfusion pressure remains uncertain. This study aims to identify the optimal perfusion pressure to enhance graft preservation in rat heart [...] Read more.
Background and Objectives: Normothermic ex situ heart preservation maintains donor heart viability by sustaining physiological conditions and reducing ischemic damage. However, the ideal perfusion pressure remains uncertain. This study aims to identify the optimal perfusion pressure to enhance graft preservation in rat heart transplantation. Materials and Methods: We utilized 20 male Sprague-Dawley rats (400–500 g). Donor hearts underwent normothermic preservation for 2 h using a Langendorff apparatus primed with 12 mL of solution at a consistent 3 mL/min flow. After preservation, hearts were transplanted heterotopically into the recipient’s abdomen. We defined successful preservation by observing a QRS complex in electrocardiographic monitoring for 3 h post-transplantation. Histological assessments for myocardial integrity occurred after 4 h of reperfusion. We analyzed statistical differences between successful and unsuccessful preservation groups. Results: Electrocardiograms indicated preservation failure in 8 of the 20 donor hearts due to the absence of a QRS complex. We observed no significant differences in ischemic duration between groups. At 120 min, although serum lactate and potassium concentrations increased in the unsuccessful group, the differences were not statistically significant. Higher initial perfusion pressures (>65 mmHg) at a constant flow rate resulted in elevated lactate and potassium concentrations post-preservation, indicating suboptimal outcomes. Histologically, hematoxylin and eosin staining showed better myocardial preservation in successful hearts, while TUNEL assays demonstrated increased apoptosis in unsuccessful hearts. All hearts increased in weight after preservation, but significant increases occurred only in unsuccessful cases. Conclusions: Higher initial perfusion pressures (>65 mmHg) negatively affect heart preservation outcomes, resulting in elevated serum lactate and potassium levels, increased heart weight, and greater histological damage. Maintaining optimal perfusion pressures is essential to preserve myocardial integrity and functional viability during normothermic ex situ heart preservation. Full article
(This article belongs to the Section Cardiology)
Show Figures

Figure 1

16 pages, 2967 KB  
Article
Effects of the Left Ventricular Mechanics on Left Ventricular-Aortic Interaction: Insights from Ex Vivo Beating Rat Heart Experiments
by Chenghan Cai, Ge He and Lei Fan
Fluids 2025, 10(9), 234; https://doi.org/10.3390/fluids10090234 - 2 Sep 2025
Viewed by 1105
Abstract
The interaction between the left ventricle (LV) and aorta is critical for cardiovascular performance, particularly under pathophysiological conditions. However, how changes in LV mechanics, including preload and afterload, affect aortic function via LV–aorta interactions remains poorly understood due to the challenges associated with [...] Read more.
The interaction between the left ventricle (LV) and aorta is critical for cardiovascular performance, particularly under pathophysiological conditions. However, how changes in LV mechanics, including preload and afterload, affect aortic function via LV–aorta interactions remains poorly understood due to the challenges associated with varying loading conditions in vivo. To overcome these limitations, the effects of varying LV preload or afterload on LV and aortic functions via LV–aorta interactions are quantified using ex vivo beating rat heart experiments in this study. In five healthy rat hearts under retrograde Langendorff and antegrade working heart perfusion, LV pressure, volume, aortic pressure, and aortic blood flow were measured. Key findings include the following: (1) under Langendorff perfusion, aortic flow increased linearly with LV developed pressure (DP), with a slope of 4.04 mmHg·min/mL; under working heart constant-pressure perfusion (2) a 12.4% increase in afterload decreased aortic flow by 58.8%, indicating that elevated aortic pressure significantly impedes aortic flow; (3) a 10.4% increase in preload enhanced aortic flow by 44.2%, driven primarily by an increase in LV DP that promoted forward flow. These results suggest that aortic pressure predominantly influences aortic flow under varying afterload conditions, whereas LV DP plays the dominant role in regulating aortic flow under different preload conditions. These findings demonstrate that the heart’s loading conditions strongly impact aortic blood flow. Specifically, elevated LV afterload can severely limit forward blood flow, while increased LV filling with increased LV preload can enhance blood flow, highlighting the importance of managing both afterload and preload in conditions such as hypertension and heart failure with preserved ejection fraction. This pilot study also established the feasibility of experimental platforms for coronary and ventricular function analysis. Full article
(This article belongs to the Special Issue Recent Advances in Cardiovascular Flows)
Show Figures

Figure 1

17 pages, 3016 KB  
Article
Effect of High-Fat Diet on Cardiac Metabolites and Implications for Vulnerability to Ischemia and Reperfusion Injury
by Jihad S. Hawi, Katie L. Skeffington, Megan Young, Massimo Caputo, Raimondo Ascione and M-Saadeh Suleiman
Cells 2025, 14(17), 1329; https://doi.org/10.3390/cells14171329 - 28 Aug 2025
Viewed by 1292
Abstract
Previous work has shown that mouse models fed a non-obesogenic high-fat diet have preserved cardiac function and no obesity-associated comorbidities such as diabetes. However, they do suffer increased cardiac vulnerability to ischemic reperfusion (I/R) injury, which has been attributed to changes in Ca [...] Read more.
Previous work has shown that mouse models fed a non-obesogenic high-fat diet have preserved cardiac function and no obesity-associated comorbidities such as diabetes. However, they do suffer increased cardiac vulnerability to ischemic reperfusion (I/R) injury, which has been attributed to changes in Ca2+ handling, oxidative stress, and mitochondrial transition pore activity. However, there have been no studies investigating the involvement of metabolites. Wild-type mice were fed either a control or a non-obesogenic high-fat diet for ~26 weeks. Key cardiac metabolites were extracted from freshly excised hearts and from hearts exposed to 30 min global ischemia followed by 45 min reperfusion. The extracted metabolites were measured using commercially available kits and HPLC. Hemodynamic cardiac function was monitored in Langendorff perfused hearts. Levels of energy-rich phosphates and related metabolites were similar for both hearts fed a control or a high-fat diet. However, the high-fat diet decreased cardiac glycogen and increased cardiac lactate, hypoxanthine, alanine, and taurine levels. Langendorff perfused hearts from the high-fat diet group suffered more ischemic stress during ischemia, as shown by the significantly shorter time needed for onset and for reaching maximal ischemic (rigor) contracture. Following I/R, there was a significant decrease in myocardial adenine nucleotides and a significant increase in the levels of alanine and purines for both groups. Most of the principal amino acids tended to fall during I/R. Hearts from mice fed a high-fat diet showed more changes during I/R in markers of energetics (phosphorylation potential and energy charge), metabolic stress (lactate), and osmotic stress (taurine). This study suggests that cardiac metabolic changes due to high-fat diet feeding, independent of obesity-related comorbidities, are responsible for the marked metabolic changes and the increased vulnerability to I/R. Full article
(This article belongs to the Special Issue Advancements in Cardiac Metabolism)
Show Figures

Graphical abstract

24 pages, 5385 KB  
Article
Highly Oligomeric DRP1 Strategic Positioning at Mitochondria–Sarcoplasmic Reticulum Contacts in Adult Murine Heart Through ACTIN Anchoring
by Celia Fernandez-Sanz, Sergio De la Fuente, Zuzana Nichtova, Marilen Federico, Stephane Duvezin-Caubet, Sebastian Lanvermann, Hui-Ying Tsai, Yanguo Xin, Gyorgy Csordas, Wang Wang, Arnaud Mourier and Shey-Shing Sheu
Cells 2025, 14(16), 1259; https://doi.org/10.3390/cells14161259 - 14 Aug 2025
Cited by 1 | Viewed by 1836
Abstract
Mitochondrial fission and fusion appear to be relatively infrequent in cardiac cells compared to other cell types; however, the proteins involved in these events are highly expressed in adult cardiomyocytes (ACM). Therefore, these proteins likely have additional non-canonical roles. We have previously shown [...] Read more.
Mitochondrial fission and fusion appear to be relatively infrequent in cardiac cells compared to other cell types; however, the proteins involved in these events are highly expressed in adult cardiomyocytes (ACM). Therefore, these proteins likely have additional non-canonical roles. We have previously shown that DRP1 not only participates in mitochondrial fission processes but also regulates mitochondrial bioenergetics in cardiac tissue. However, it is still unknown where the DRP1 that does not participate in mitochondrial fission is located and what its role is at those non-fission spots. Therefore, this manuscript will clarify whether oligomeric DRP1 is located at the SR–mitochondria interface, a specific region that harbors the Ca2+ microdomains created by Ca2+ release from the SR through the RyR2. The high Ca2+ microdomains and the subsequent Ca2+ uptake by mitochondria through the mitochondrial Ca2+ uniporter complex (MCUC) are essential to regulate mitochondrial bioenergetics during excitation–contraction (EC) coupling. Herein, we aimed to test the hypothesis that mitochondria-bound DRP1 preferentially accumulates at the mitochondria–SR contacts to deploy its function on regulating mitochondrial bioenergetics and that this strategic position is modulated by calcium in a beat-to-beat manner. In addition, the mechanism responsible for such a biased distribution and its functional implications was investigated. High-resolution imaging approaches, cell fractionation, Western blot, 2D blue native gel electrophoresis, and immunoprecipitations were applied to both electrically paced ACM and Langendorff-perfused beating hearts to elucidate the mechanisms of the strategic DRP1 localization. Our data show that in ACM, mitochondria-bound DRP1 clusters in high molecular weight protein complexes at mitochondria-associated membrane (MAM). This clustering requires DRP1 interaction with β-ACTIN and is fortified by EC coupling-mediated Ca2+ transients. In ACM, DRP1 is anchored at the mitochondria–SR contacts through interactions with β-ACTIN and Ca2+ transients, playing a fundamental role in regulating mitochondrial physiology. Full article
(This article belongs to the Special Issue Cellular Mechanisms in Mitochondrial Function and Calcium Signaling)
Show Figures

Figure 1

20 pages, 3689 KB  
Article
Active Colitis-Induced Atrial Electrophysiological Remodeling
by Hiroki Kittaka, Edward J. Ouille V, Carlos H. Pereira, Andrès F. Pélaez, Ali Keshavarzian and Kathrin Banach
Biomolecules 2025, 15(7), 982; https://doi.org/10.3390/biom15070982 - 10 Jul 2025
Viewed by 1025
Abstract
Patients with ulcerative colitis exhibit an increased risk for supraventricular arrhythmia during the active disease phase of the disease and show signs of atrial electrophysiological remodeling in remission. The goal of this study was to determine the basis for colitis-induced changes in atrial [...] Read more.
Patients with ulcerative colitis exhibit an increased risk for supraventricular arrhythmia during the active disease phase of the disease and show signs of atrial electrophysiological remodeling in remission. The goal of this study was to determine the basis for colitis-induced changes in atrial excitability. In a mouse model (C57BL/6; 3 months) of dextran sulfate sodium (DSS)-induced active colitis (3.5% weight/volume, 7 days), electrocardiograms (ECG) revealed altered atrial electrophysiological properties with a prolonged P-wave duration and PR interval. ECG changes coincided with a decreased atrial conduction velocity in Langendorff perfused hearts. Action potentials (AP) recorded from isolated atrial myocytes displayed an attenuated maximal upstroke velocity and amplitude during active colitis, as well as a prolonged AP duration (APD). Voltage clamp analysis revealed a colitis-induced shift in the voltage-dependent activation of the Na-current (INa) to more depolarizing voltages. In addition, protein levels of Nav1.5 protein and connexin isoform Cx43 were reduced. APD prolongation depended on a reduction in the transient outward K-current (Ito) mostly generated by Kv4.2 channels. The changes in ECG, atrial conductance, and APD were reversible upon remission. The change in conduction velocity predominantly depended on the reversibility of the reduced Cx43 and Nav1.5 expression. Treatment of mice with inhibitors of Angiotensin-converting enzyme (ACE) or Angiotensin II (AngII) receptor type 1 (AT1R) prevented the colitis-induced atrial electrophysiological remodeling. Our data support a colitis-induced increase in AngII signaling that promotes atrial electrophysiological remodeling and puts colitis patients at an increased risk for atrial arrhythmia. Full article
(This article belongs to the Special Issue Molecular Advances in Inflammatory Bowel Disease)
Show Figures

Figure 1

16 pages, 7349 KB  
Article
Cardiac Electrophysiological Effects of the Sodium Channel-Blocking Antiepileptic Drugs Lamotrigine and Lacosamide
by Julian Wolfes, Philipp Achenbach, Felix K. Wegner, Benjamin Rath, Lars Eckardt, Gerrit Frommeyer and Christian Ellermann
Pharmaceuticals 2025, 18(5), 726; https://doi.org/10.3390/ph18050726 - 15 May 2025
Cited by 1 | Viewed by 2535
Abstract
Background: The two antiepileptic drugs lacosamide and lamotrigine exert their antiepileptic effect by inhibiting sodium channels. Lacosamide enhances the inactivation of sodium channels, while lamotrigine inhibits the activation of the channel. Interactions with sodium channels also play an interesting role in cardiac pro- [...] Read more.
Background: The two antiepileptic drugs lacosamide and lamotrigine exert their antiepileptic effect by inhibiting sodium channels. Lacosamide enhances the inactivation of sodium channels, while lamotrigine inhibits the activation of the channel. Interactions with sodium channels also play an interesting role in cardiac pro- and antiarrhythmia, with inhibition of inactivation, in particular, being regarded as potentially proarrhythmic. Therefore, the ventricular electrophysiologic effects of lacosamide and lamotrigine were investigated in an established experimental whole-heart model. Methods: A total of 67 rabbit hearts were allocated to four groups. Retrograde aortic perfusion was performed using the Langendorff setup. The action potential duration at 90% repolarization (APD90), QT intervals, spatial dispersion of repolarization, effective refractory period, post-repolarization refractoriness, and VT incidence were determined. The electrophysiological effects of lacosamide and lamotrigine were investigated in increasing concentrations on the natively perfused heart. On the other hand, perfusion with the IKr-blocker sotalol was performed to increase arrhythmia susceptibility, followed by perfusion with lacosamide or lamotrigine to investigate the effects of both in a setting of increased arrhythmia susceptibility. Perfusion with lacosamide and lamotrigine tended to decrease APD90 and QT-interval. As expected, perfusion with sotalol led to a significant increase in APD90, QT interval, and arrhythmia incidence. Additive perfusion with lacosamide led to a further increase in arrhythmia incidence, while additive perfusion with lamotrigine led to a decrease in VT incidence. Conclusions: In this model, lacosamide showed proarrhythmic effects, especially in the setting of an additive prolonged QT interval. Lamotrigine showed no significant proarrhythmia under baseline conditions and rather antiarrhythmic effects with additive QT prolongation. Full article
(This article belongs to the Section Pharmacology)
Show Figures

Figure 1

12 pages, 2619 KB  
Article
Effects of Left Ventricular Unloading on Cardiac Function, Heart Failure Markers, and Autophagy in Rat Hearts with Acute Myocardial Infarction
by Ryota Azuma, Yasushige Shingu, Jingwen Gao and Satoru Wakasa
Int. J. Mol. Sci. 2025, 26(9), 4422; https://doi.org/10.3390/ijms26094422 - 6 May 2025
Cited by 1 | Viewed by 1284
Abstract
Percutaneous ventricular assist devices are utilized in cases of cardiogenic shock following acute myocardial infarction (AMI). However, the mechanism underlying the beneficial effects of LV unloading in AMI remains unclear. This study aimed to examine the impact of LV unloading on cardiac function, [...] Read more.
Percutaneous ventricular assist devices are utilized in cases of cardiogenic shock following acute myocardial infarction (AMI). However, the mechanism underlying the beneficial effects of LV unloading in AMI remains unclear. This study aimed to examine the impact of LV unloading on cardiac function, heart failure markers, and protein degradation (autophagy and ubiquitin–proteasome system: UPS) post AMI in rats. Nine-week-old male Lewis rats were randomized into non-AMI, AMI, non-AMI with LV unloading, and AMI with LV unloading groups. LV unloading was achieved through heterotopic heart–lung transplantation. Rats were euthanized 2 and 14 days after the procedure. Cardiac functional assessment was performed using Langendorff heart perfusion. RT-PCR and Western blot analyses were conducted using the LV myocardium. The rate pressure product was comparable between the non-AMI with LV unloading group and the AMI with LV unloading at 14 days. The atrial natriuretic factor tended to be suppressed by LV unloading. LV unloading had reducing effects on the expressions of p62, selectively degraded during autophagy, both 2 and 14 days after AMI. There was no effect on the parameters for the UPS. LV unloading has a mitigating effect on the deterioration of cardiac function following AMI. Autophagy, which was suppressed by AMI, was ameliorated by LV unloading. Full article
(This article belongs to the Special Issue Cardiovascular Diseases: Histopathological and Molecular Diagnostics)
Show Figures

Figure 1

27 pages, 3323 KB  
Article
Inhibition of the Renin–Angiotensin System Improves Hemodynamic Function of the Diabetic Rat Heart by Restoring Intracellular Calcium Regulation
by Krisztina Anna Paulik, Tamás Ivanics, Gábor A. Dunay, Ágnes Fülöp, Margit Kerék, Klára Takács, Zoltán Benyó and Zsuzsanna Miklós
Biomedicines 2025, 13(3), 757; https://doi.org/10.3390/biomedicines13030757 - 20 Mar 2025
Cited by 3 | Viewed by 1357
Abstract
Background/Objectives: Disrupted intracellular calcium (Ca2+i) regulation and renin–angiotensin system (RAS) activation are pathogenetic factors in diabetic cardiomyopathy, a major complication of type 1 (T1D) and type 2 (T2D) diabetes. This study explored their potential link in diabetic rat hearts. Methods: [...] Read more.
Background/Objectives: Disrupted intracellular calcium (Ca2+i) regulation and renin–angiotensin system (RAS) activation are pathogenetic factors in diabetic cardiomyopathy, a major complication of type 1 (T1D) and type 2 (T2D) diabetes. This study explored their potential link in diabetic rat hearts. Methods: Experiments were conducted on T1D and T2D Sprague-Dawley rats induced by streptozotocin and fructose-rich diet, respectively. In T1D, rats were treated with Enalapril (Ena) or Losartan (Los) for six weeks, whereas T2D animals received high-dose (HD) or low-dose (LD) Ena for 8 weeks. Heart function was assessed via echocardiography, Ca2+i transients by Indo-1 fluorometry in Langendorff-perfused hearts, and key Ca2+i cycling proteins by Western blot. Data: mean ± SD. Results: Diabetic hearts exhibited reduced contractile performance that was improved by RAS inhibition both in vivo (ejection fraction (%): T1D model: Control: 79 ± 7, T1D: 54 ± 11, T1D + Ena: 65 ± 10, T1D + Los: 69 ± 10, n = 18, 18, 15, 10; T2D model: Control: 73 ± 8, T2D: 52 ± 6, T2D + LDEna: 62 ± 8, T2D + HDEna: 76 ± 8, n = 9, 8, 6, 7) and ex vivo (+dPressure/dtmax (mmHg/s): T1D model: Control: 2532 ± 341, T1D: 2192 ± 208, T1D + Ena: 2523 ± 485, T1D + Los: 2643 ± 455; T2D model: Control: 2514 ± 197, T2D: 1930 ± 291, T2D + LDEna: 2311 ± 289, T2D + HDEna: 2614 ± 268). Analysis of Ca2+i transients showed impaired Ca2+i release and removal dynamics and increased diastolic Ca2+i levels in both models that were restored by Ena and Los treatments. We observed a decrease in sarcoendoplasmic reticulum Ca2+-ATPase2a (SERCA2a) expression, accompanied by a compensatory increase in 16Ser-phosphorylated phospholamban (P-PLB) in T2D that was prevented by both LD and HD Ena (expression level (% of Control): SERCA2a: T2D: 36 ± 32, T2D + LDEna: 112 ± 32, T2D + HDEna: 106 ± 30; P-PLB: T2D: 557 ± 156, T2D + LDEna: 129 ± 38, T2D + HDEna: 108 ± 42; n = 4, 4, 4). Conclusions: The study highlights the critical role of RAS activation, most likely occurring at the tissue level, in disrupting Ca2+i homeostasis in diabetic cardiomyopathy. RAS inhibition with Ena or Los mitigates these disturbances independent of blood pressure effects, underlining their importance in managing diabetic heart failure. Full article
(This article belongs to the Special Issue Renin-Angiotensin System in Cardiovascular Biology, 2nd Edition)
Show Figures

Figure 1

9 pages, 892 KB  
Article
Sacubitril Does Not Exert Proarrhythmic Effects in Combination with Different Antiarrhythmic Drugs
by Christian Ellermann, Carlo Mengel, Julian Wolfes, Felix K. Wegner, Benjamin Rath, Julia Köbe, Lars Eckardt and Gerrit Frommeyer
Pharmaceuticals 2025, 18(2), 230; https://doi.org/10.3390/ph18020230 - 8 Feb 2025
Viewed by 1200
Abstract
Background: Previous studies suggest a direct effect of sacubitril on cardiac electrophysiology and indicate potential arrhythmic interactions between sacubitril and antiarrhythmic drugs. Therefore, the aim of this study was to explore the electrophysiologic effects of combining sacubitril with the antiarrhythmic drugs d,l-sotalol and [...] Read more.
Background: Previous studies suggest a direct effect of sacubitril on cardiac electrophysiology and indicate potential arrhythmic interactions between sacubitril and antiarrhythmic drugs. Therefore, the aim of this study was to explore the electrophysiologic effects of combining sacubitril with the antiarrhythmic drugs d,l-sotalol and mexiletine in isolated hearts. Methods and results: A total of 25 rabbit hearts were perfused using a Langendorff setup. Following baseline data collection, hearts were treated with mexiletine (25 µM, 13 hearts) or d,l-sotalol (100 µM, 12 hearts). Monophasic action potential demonstrated an abbreviation of action potential duration (APD90) after administration of mexiletine. Spatial dispersion of repolarization remained unchanged after mexiletine treatment, whereas effective refractory periods (ERP) were significantly prolonged. D,l-sotalol prolonged cardiac repolarization and amplified spatial dispersion. Further infusion of sacubitril (5 µM) led to a significant reduction in APD90 and ERP in the mexiletine group. In the d,l-sotalol group, additional administration of sacubitril shortened cardiac repolarization duration without affecting spatial dispersion. No proarrhythmic effect was observed after mexiletine treatment as assessed by a predefined pacing protocol. Additional sacubitril treatment did not increase ventricular vulnerability. When potassium concentration was reduced, 30 episodes of torsade de pointes tachycardia occurred after d,l-sotalol treatment. Additional sacubitril treatment significantly suppressed torsade de pointes tachycardia (eight episodes) in the d,l-sotalol-group. Conclusions: In class IB- and class III-pretreated hearts, sacubitril shortened refractory periods and cardiac repolarization duration. The combination of sacubitril with the antiarrhythmic drugs d,l-sotalol and mexiletine demonstrates a safe electrophysiologic profile and sacubitril reduces the occurrence of class III-related proarrhythmia, i.e., torsade de pointes tachycardia. Full article
Show Figures

Figure 1

17 pages, 10432 KB  
Article
Mechanistic Insights into Melatonin’s Antiarrhythmic Effects in Acute Ischemia-Reperfusion-Injured Rabbit Hearts Undergoing Therapeutic Hypothermia
by Hui-Ling Lee, Po-Cheng Chang, Hung-Ta Wo, Shih-Chun Chou and Chung-Chuan Chou
Int. J. Mol. Sci. 2025, 26(2), 615; https://doi.org/10.3390/ijms26020615 - 13 Jan 2025
Viewed by 1849
Abstract
The electrophysiological mechanisms underlying melatonin’s actions and the electrophysiological consequences of superimposed therapeutic hypothermia (TH) in preventing cardiac ischemia-reperfusion (IR) injury-induced arrhythmias remain largely unknown. This study aimed to unveil these issues using acute IR-injured hearts. Rabbits were divided into heart failure (HF), [...] Read more.
The electrophysiological mechanisms underlying melatonin’s actions and the electrophysiological consequences of superimposed therapeutic hypothermia (TH) in preventing cardiac ischemia-reperfusion (IR) injury-induced arrhythmias remain largely unknown. This study aimed to unveil these issues using acute IR-injured hearts. Rabbits were divided into heart failure (HF), HF+melatonin, control, and control+melatonin groups. HF was induced by rapid right ventricular pacing. Melatonin was administered orally (10 mg/kg/day) for four weeks, and IR was created by 60-min coronary artery ligation and 30-min reperfusion. The hearts were then excised and Langendorff-perfused for optical mapping studies at normothermia, followed by TH. Melatonin significantly reduced ventricular fibrillation (VF) maintenance. In failing hearts, melatonin reduced the spatially discordant alternans (SDA) inducibility mainly by modulating intracellular Ca2+ dynamics via upregulation of sarcoplasmic reticulum Ca2+-ATPase (SERCA2a) and calsequestrin 2 and attenuating the downregulation of phosphorylated phospholamban protein expression. In control hearts, melatonin improved conduction slowing and reduced dispersion of action potential duration (APDdispersion) by upregulating phosphorylated connexin 43, attenuating the downregulation of SERCA2a and phosphorylated phospholamban and attenuating the upregulation of phosphorylated Ca2+/calmodulin-dependent protein kinase II. TH significantly retarded intracellular Ca2+ decay slowed conduction, and increased APDdispersion, thereby facilitating SDA induction, which counteracted the beneficial effects of melatonin in reducing VF maintenance. Full article
(This article belongs to the Section Molecular Pathology, Diagnostics, and Therapeutics)
Show Figures

Figure 1

16 pages, 3616 KB  
Article
Altered Protein Kinase A-Dependent Phosphorylation of Cav1.2 in Left Ventricular Myocardium from Cacna1c Haploinsufficient Rat Hearts
by David Königstein, Hauke Fender, Jelena Plačkić, Theresa M. Kisko, Markus Wöhr and Jens Kockskämper
Int. J. Mol. Sci. 2024, 25(24), 13713; https://doi.org/10.3390/ijms252413713 - 22 Dec 2024
Cited by 1 | Viewed by 1797
Abstract
CACNA1C encodes the α1c subunit of the L-type Ca2+ channel, Cav1.2. Ventricular myocytes from haploinsufficient Cacna1c (Cacna1c+/−) rats exhibited reduced expression of Cav1.2 but an apparently normal sarcolemmal Ca2+ influx with an impaired response to sympathetic stress. We [...] Read more.
CACNA1C encodes the α1c subunit of the L-type Ca2+ channel, Cav1.2. Ventricular myocytes from haploinsufficient Cacna1c (Cacna1c+/−) rats exhibited reduced expression of Cav1.2 but an apparently normal sarcolemmal Ca2+ influx with an impaired response to sympathetic stress. We tested the hypothesis that the altered phosphorylation of Cav1.2 might underlie the sarcolemmal Ca2+ influx phenotype in Cacna1c+/− myocytes using immunoblotting of the left ventricular (LV) tissue from Cacna1c+/− versus wildtype (WT) hearts. Activation of cAMP-dependent protein kinase A (PKA) increases L-type Ca2+ current and phosphorylates Cav1.2 at serine-1928. Using an antibody directed against this phosphorylation site, we observed elevated phosphorylation of Cav1.2 at serine-1928 in LV myocardium from Cacna1c+/− rats under basal conditions (+110% versus WT). Sympathetic stress was simulated by isoprenaline (100 nM) in Langendorff-perfused hearts. Isoprenaline increased the phosphorylation of serine-1928 in Cacna1c+/− LV myocardium by ≈410%, but the increase was significantly smaller than in WT myocardium (≈650%). In conclusion, our study reveals altered PKA-dependent phosphorylation of Cav1.2 with elevated phosphorylation of serine-1928 under basal conditions and a diminished phosphorylation reserve during β-adrenergic stimulation. These alterations in the phosphorylation of Cav1.2 may explain the apparently normal sarcolemmal Ca2+ influx in Cacna1c+/− myocytes under basal conditions as well as the impaired response to sympathetic stimulation. Full article
Show Figures

Figure 1

14 pages, 1995 KB  
Article
Cardioprotection by Preconditioning with Intralipid Is Sustained in a Model of Endothelial Dysfunction for Isolated-Perfused Hearts
by Martin Stroethoff, Natalie Schneider, Lea Sung, Jan Wübbolt, André Heinen and Annika Raupach
Int. J. Mol. Sci. 2024, 25(20), 10975; https://doi.org/10.3390/ijms252010975 - 12 Oct 2024
Viewed by 1568
Abstract
Endothelial dysfunction (ED) is closely associated with most cardiovascular diseases. Experimental models are needed to analyze the potential impact of ED on cardioprotection in constant pressure Langendorff systems (CPLS). One cardioprotective strategy against ischemia/reperfusion injury (I/RI) is conditioning with the lipid emulsion Intralipid [...] Read more.
Endothelial dysfunction (ED) is closely associated with most cardiovascular diseases. Experimental models are needed to analyze the potential impact of ED on cardioprotection in constant pressure Langendorff systems (CPLS). One cardioprotective strategy against ischemia/reperfusion injury (I/RI) is conditioning with the lipid emulsion Intralipid (IL). Whether ED modulates the cardioprotective effect of IL remains unknown. The aim of the study was to transfer a protocol using a constant flow Langendorff system for the induction of ED into a CPLS, without the loss of smooth muscle cell functionality, and to analyze the cardioprotective effect of IL against I/RI under ED. In isolated hearts of male Wistar rats, ED was induced by 10 min perfusion of a Krebs–Henseleit buffer containing 60 mM KCl (K+), and the vasodilatory response to the vasodilators histamine (endothelial-dependent) and sodium–nitroprusside (SNP, endothelial-independent) was measured. A CPLS was employed to determine cardioprotection of pre- or postconditioning with 1% IL against I/RI. The constant flow perfusion of K+ reduced endothelial response to histamine but not to SNP, indicating reduced vasodilatory functionality of endothelial cells but not smooth muscle cells. Preconditioning with IL reduced infarct size and improved cardiac function while postconditioning with IL had no effect. The induction of ED neither influenced infarct size nor affected the cardioprotective effect by preconditioning with IL. This protocol allows for studies of cardioprotective strategies under ED in CLPS. The protection by preconditioning with IL seems to be mediated independently of a functional endothelium. Full article
Show Figures

Figure 1

16 pages, 2865 KB  
Article
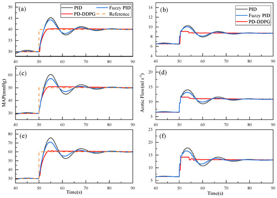
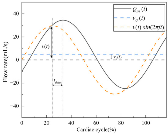
Aortic Pressure Control Based on Deep Reinforcement Learning for Ex Vivo Heart Perfusion
by Shangting Wang, Ming Yang, Yuan Liu and Junwen Yu
Appl. Sci. 2024, 14(19), 8735; https://doi.org/10.3390/app14198735 - 27 Sep 2024
Cited by 2 | Viewed by 1530
Abstract
In ex vivo heart perfusion (EVHP), the control of aortic pressure (AoP) is critical for maintaining the heart’s physiologic aerobic metabolism. However, the complexity of and variability in cardiac parameters present a challenge in achieving the rapid and accurate regulation of AoP. In [...] Read more.
In ex vivo heart perfusion (EVHP), the control of aortic pressure (AoP) is critical for maintaining the heart’s physiologic aerobic metabolism. However, the complexity of and variability in cardiac parameters present a challenge in achieving the rapid and accurate regulation of AoP. In this paper, we propose a method of AoP control based on deep reinforcement learning for EVHP in Langendorff mode, which can adapt to the variations in cardiac parameters. Firstly, a mathematical model is developed by coupling the coronary artery and the pulsatile blood pump models. Subsequently, an aortic pressure control method based on the Deep Deterministic Policy Gradient (DDPG) algorithm is proposed. This method enables the regulation of the blood pump and the realization of closed-loop control. The control performance of the proposed DDPG method, the traditional proportional–integral–derivative (PID) method, and the fuzzy PID method are compared by simulating single and mixed changes in mean aortic pressure target values and coronary resistance. The proposed method exhibits superior performance compared to the PID and fuzzy PID methods under mixed factors, with 68.6% and 66.4% lower settling times and 70.3% and 54.1% lower overshoot values, respectively. This study demonstrates that the proposed DDPG-based method can respond more rapidly and accurately to different cardiac conditions than the conventional PID controllers. Full article
(This article belongs to the Section Biomedical Engineering)
Show Figures

Figure 1

Back to TopTop