Sacubitril Does Not Exert Proarrhythmic Effects in Combination with Different Antiarrhythmic Drugs
Abstract
1. Introduction
2. Results
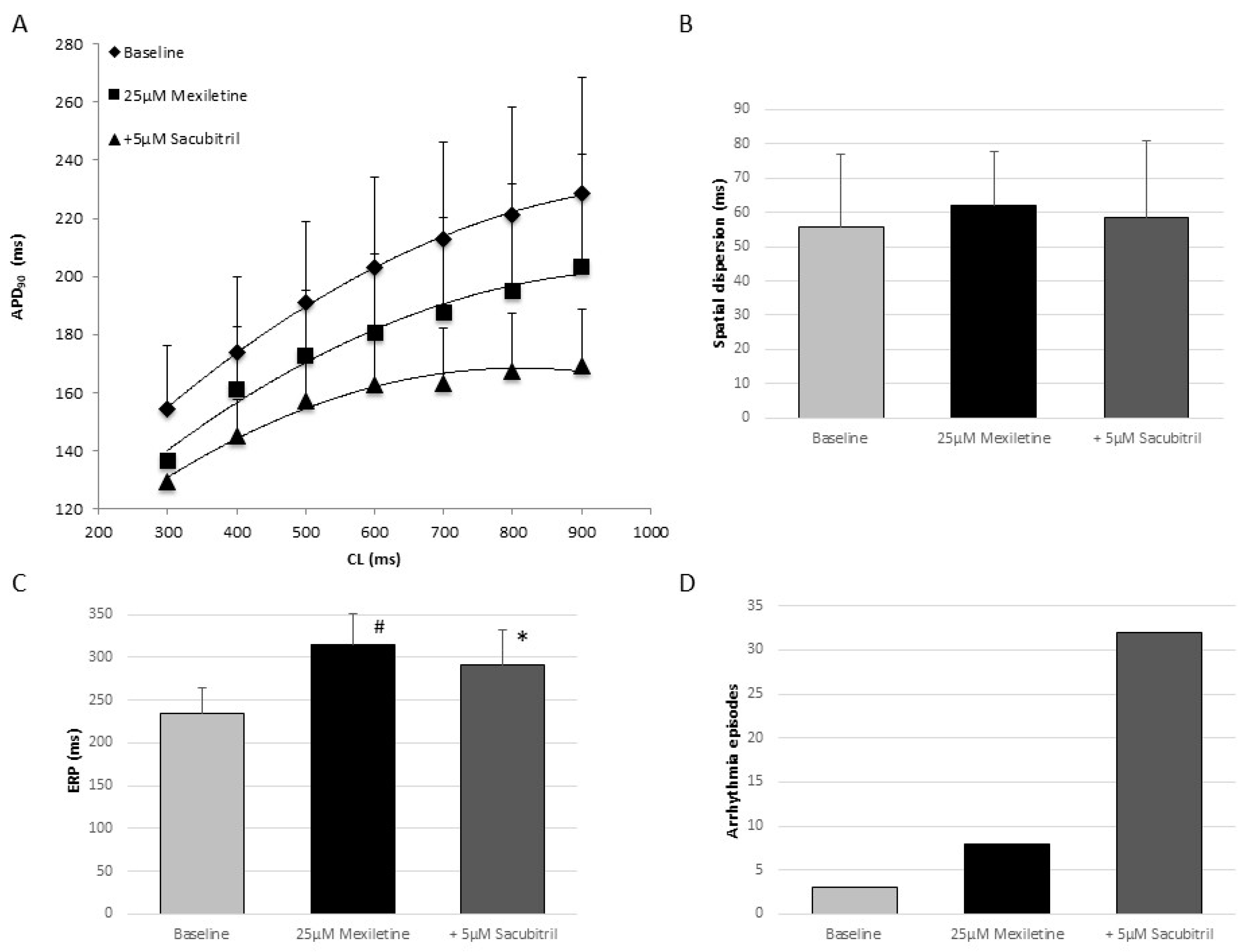
2.1. Electrophysiologic Effects of the Combination of Mexiletine and Sacubitril
2.2. Electrophysiologic Effects of the Combination of D,l-Sotalol and Sacubitril
3. Discussion
- (1)
- Sacubitril abbreviates cardiac repolarization duration in mexiletine-pretreated hearts without amplifying the heterogeneity of cardiac repolarization.
- (2)
- No significantly increased proarrhythmia could be determined with the simultaneous administration of mexiletine and sacubitril. However, a tendency towards more VAs was observed with the combination of both drugs.
- (3)
- Sacubitril reduced the duration of cardiac repolarization in the presence of the class III-antiarrhythmic drug d,l-sotalol. Thereby, sacubitril exerted significant antiarrhythmic effects.
3.1. Combination of Mexiletine and Sacubitril
3.2. Combination of D,l-Sotalol and Sacubitril
4. Materials and Methods
4.1. Experimental Setup
4.2. Experimental Protocol
4.3. Experimental Groups
4.4. Statistics
5. Conclusions
Author Contributions
Funding
Institutional Review Board Statement
Informed Consent Statement
Data Availability Statement
Conflicts of Interest
References
- McDonagh, T.A.; Metra, M.; Adamo, M.; Gardner, R.S.; Baumbach, A.; Böhm, M.; Burri, H.; Butler, J.; Čelutkienė, J.; Chioncel, O. 2021 ESC Guidelines for the diagnosis and treatment of acute and chronic heart failure: Developed by the Task Force for the diagnosis and treatment of acute and chronic heart failure of the European Society of Cardiology (ESC) With the special contribution of the Heart Failure Association (HFA) of the ESC. Eur. Heart J. 2021, 42, 3599–3726. [Google Scholar] [PubMed]
- Curtain, J.P.; Jackson, A.M.; Shen, L.; Jhund, P.S.; Docherty, K.F.; Petrie, M.C.; Castagno, D.; Desai, A.S.; Rohde, L.E.; Lefkowitz, M.P. Effect of sacubitril/valsartan on investigator-reported ventricular arrhythmias in PARADIGM-HF. Eur. J. Heart Fail 2022, 24, 551–561. [Google Scholar] [CrossRef]
- Ellermann, C.; Dimanski, D.; Wolfes, J.; Rath, B.; Leitz, P.; Willy, K.; Wegner, F.K.; Eckardt, L.; Frommeyer, G. Electrophysiologic effects of sacubitril in different arrhythmia models. Eur. J. Pharmacol. 2022, 917, 174747. [Google Scholar] [CrossRef]
- Dan, G.-A.; Martinez-Rubio, A.; Agewall, S.; Boriani, G.; Borggrefe, M.; Gaita, F.; Van Gelder, I.; Gorenek, B.; Kaski, J.C.; Kjeldsen, K. Antiarrhythmic drugs–clinical use and clinical decision making: A consensus document from the European Heart Rhythm Association (EHRA) and European Society of Cardiology (ESC) working group on cardiovascular pharmacology, endorsed by the Heart Rhythm Society (HRS), Asia-Pacific Heart Rhythm Society (APHRS) and international society of cardiovascular pharmacotherapy (ISCP). Europace 2018, 20, 731–732an. [Google Scholar]
- Zeppenfeld, K.; Tfelt-Hansen, J.; De Riva, M.; Winkel, B.G.; Behr, E.R.; Blom, N.A.; Charron, P.; Corrado, D.; Dagres, N.; De Chillou, C. 2022 ESC Guidelines for the management of patients with ventricular arrhythmias and the prevention of sudden cardiac death: Developed by the task force for the management of patients with ventricular arrhythmias and the prevention of sudden cardiac death of the European Society of Cardiology (ESC) Endorsed by the Association for European Paediatric and Congenital Cardiology (AEPC). Eur. Heart J. 2022, 43, 3997–4126. [Google Scholar] [PubMed]
- Crotti, L.; Neves, R.; Dagradi, F.; Musu, G.; Giannetti, F.; Bos, J.M.; Barbieri, M.; Cerea, P.; Giovenzana, F.L.; Torchio, M.J.C. Therapeutic Efficacy of Mexiletine for Long QT Syndrome Type 2: Evidence From Human Induced Pluripotent Stem Cell–Derived Cardiomyocytes, Transgenic Rabbits, and Patients. Circulation 2024, 150, 531–543. [Google Scholar] [CrossRef]
- Weir, R.A. Sacubitril/Valsartan and mexiletine: A proarrhythmic combination? Cardiology 2019, 142, 4–6. [Google Scholar] [CrossRef] [PubMed]
- Monk, J.P.; Brogden, R.N. Mexiletine: A review of its pharmacodynamic and pharmacokinetic properties, and therapeutic use in the treatment of arrhythmias. Drugs 1990, 40, 374–411. [Google Scholar] [CrossRef]
- Nakaya, Y.; Elharrar, V.; Surawicz, B. Effect of mexiletine, amiodarone and disopyramide on the excitability and refractoriness of canine cardiac fibers: Possible relation to antiarrhythmic drug action and classification. Cardiovasc. Drugs Ther. 1987, 1, 141–153. [Google Scholar] [CrossRef] [PubMed]
- Sato, T.; Shigematsu, S.; Arita, M. Mexiletine-induced shortening of the action potential duration of ventricular muscles by activation of ATP-sensitive K+ channels. Br. J. Pharmacol. 1995, 115, 381–382. [Google Scholar] [CrossRef]
- Gao, Y.; Xue, X.; Hu, D.; Liu, W.; Yuan, Y.; Sun, H.; Li, L.; Timothy, K.W.; Zhang, L.; Li, C. Inhibition of late sodium current by mexiletine: A novel pharmotherapeutical approach in timothy syndrome. Circ. Arrhythm. Electrophysiol. 2013, 6, 614–622. [Google Scholar] [CrossRef] [PubMed]
- Frommeyer, G.; Garthmann, J.; Ellermann, C.; Dechering, D.G.; Kochhäuser, S.; Reinke, F.; Köbe, J.; Wasmer, K.; Eckardt, L. Broad antiarrhythmic effect of mexiletine in different arrhythmia models. Europace 2017, 20, 1375–1381. [Google Scholar] [CrossRef] [PubMed]
- Shimizu, W.; Ohe, T.; Kurita, T.; Kawade, M.; Arakaki, Y.; Aihara, N.; Kamakura, S.; Kamiya, T.; Shimomura, K. Effects of verapamil and propranolol on early afterdepolarizations and ventricular arrhythmias induced by epinephrine in congenital long QT syndrome. J. Am. Coll. Cardiol. 1995, 26, 1299–1309. [Google Scholar] [CrossRef] [PubMed]
- Cosío, F.G.; Goicolea, A.; Gil, M.L.; Kallmeyer, C.; Barroso, J. Suppression of Torsades de Pointes with verapamil in patients with atrio-ventricular block. Eur. Heart J. 1991, 12, 635–638. [Google Scholar] [CrossRef] [PubMed]
- Shah, R.R. Drug-induced QT interval shortening: Potential harbinger of proarrhythmia and regulatory perspectives. Br. J. Pharmacol. 2010, 159, 58–69. [Google Scholar] [CrossRef] [PubMed]
- Meyer-Massetti, C.; Cheng, C.M.; Sharpe, B.A.; Meier, C.R.; Guglielmo, B.J. The FDA extended warning for intravenous haloperidol and torsades de pointes: How should institutions respond? J. Hosp. Med. 2010, 5, E8–E16. [Google Scholar] [CrossRef] [PubMed]
- Antzelevitch, C.; Burashnikov, A. Overview of basic mechanisms of cardiac arrhythmia. Card. Electrophysiol. Clin. 2011, 3, 23–45. [Google Scholar] [CrossRef]
- Akar, F.G.; Yan, G.-X.; Antzelevitch, C.; Rosenbaum, D.S. Unique topographical distribution of M cells underlies reentrant mechanism of torsade de pointes in the long-QT syndrome. Circulation 2002, 105, 1247–1253. [Google Scholar] [CrossRef]
- Frommeyer, G.; Milberg, P.; Witte, P.; Stypmann, J.; Koopmann, M.; Lücke, M.; Osada, N.; Breithardt, G.; Fehr, M.; Eckardt, L. A new mechanism preventing proarrhythmia in chronic heart failure: Rapid phase-III repolarization explains the low proarrhythmic potential of amiodarone in contrast to sotalol in a model of pacing-induced heart failure. Eur. J. Heart Fail. 2011, 13, 1060–1069. [Google Scholar] [CrossRef]
- Dusi, V.; Dagradi, F.; Spazzolini, C.; Crotti, L.; Cerea, P.; Giovenzana, F.L.; Musu, G.; Pedrazzini, M.; Torchio, M.; Schwartz, P.J. Long QT syndrome: Importance of reassessing arrhythmic risk after treatment initiation. Eur. Heart J. 2024, 45, ehae289. [Google Scholar] [CrossRef]
- Darbar, D.; Kimbrough, J.; Jawaid, A.; McCray, R.; Ritchie, M.D.; Roden, D.M. Persistent atrial fibrillation is associated with reduced risk of torsades de pointes in patients with drug-induced long QT syndrome. J. Am. Coll. Cardiol. 2008, 51, 836–842. [Google Scholar] [CrossRef] [PubMed]
- Roden, D.M. Taking the “idio” out of “idiosyncratic”: Predicting torsades de pointes. Pacing Clin. Electrophysiol. 1998, 21, 1029–1034. [Google Scholar] [CrossRef]
- McMurray, J.J.; Packer, M.; Desai, A.S.; Gong, J.; Lefkowitz, M.P.; Rizkala, A.R.; Rouleau, J.L.; Shi, V.C.; Solomon, S.D.; Swedberg, K. Angiotensin–neprilysin inhibition versus enalapril in heart failure. N. Engl. J. Med. 2014, 371, 993–1004. [Google Scholar] [CrossRef]
- Solomon, S.D.; McMurray, J.J.; Anand, I.S.; Ge, J.; Lam, C.S.; Maggioni, A.P.; Martinez, F.; Packer, M.; Pfeffer, M.A.; Pieske, B. Angiotensin–neprilysin inhibition in heart failure with preserved ejection fraction. N. Engl. J. Med. 2019, 381, 1609–1620. [Google Scholar] [CrossRef]



Disclaimer/Publisher’s Note: The statements, opinions and data contained in all publications are solely those of the individual author(s) and contributor(s) and not of MDPI and/or the editor(s). MDPI and/or the editor(s) disclaim responsibility for any injury to people or property resulting from any ideas, methods, instructions or products referred to in the content. |
© 2025 by the authors. Licensee MDPI, Basel, Switzerland. This article is an open access article distributed under the terms and conditions of the Creative Commons Attribution (CC BY) license (https://creativecommons.org/licenses/by/4.0/).
Share and Cite
Ellermann, C.; Mengel, C.; Wolfes, J.; Wegner, F.K.; Rath, B.; Köbe, J.; Eckardt, L.; Frommeyer, G. Sacubitril Does Not Exert Proarrhythmic Effects in Combination with Different Antiarrhythmic Drugs. Pharmaceuticals 2025, 18, 230. https://doi.org/10.3390/ph18020230
Ellermann C, Mengel C, Wolfes J, Wegner FK, Rath B, Köbe J, Eckardt L, Frommeyer G. Sacubitril Does Not Exert Proarrhythmic Effects in Combination with Different Antiarrhythmic Drugs. Pharmaceuticals. 2025; 18(2):230. https://doi.org/10.3390/ph18020230
Chicago/Turabian StyleEllermann, Christian, Carlo Mengel, Julian Wolfes, Felix K. Wegner, Benjamin Rath, Julia Köbe, Lars Eckardt, and Gerrit Frommeyer. 2025. "Sacubitril Does Not Exert Proarrhythmic Effects in Combination with Different Antiarrhythmic Drugs" Pharmaceuticals 18, no. 2: 230. https://doi.org/10.3390/ph18020230
APA StyleEllermann, C., Mengel, C., Wolfes, J., Wegner, F. K., Rath, B., Köbe, J., Eckardt, L., & Frommeyer, G. (2025). Sacubitril Does Not Exert Proarrhythmic Effects in Combination with Different Antiarrhythmic Drugs. Pharmaceuticals, 18(2), 230. https://doi.org/10.3390/ph18020230

