Sign in to use this feature.

Years

Between: -

Subjects

remove_circle_outline
remove_circle_outline
remove_circle_outline
remove_circle_outline
remove_circle_outline
remove_circle_outline
remove_circle_outline
remove_circle_outline
remove_circle_outline

Journals

Article Types

Countries / Regions

Search Results (18)

Search Parameters:
Keywords = In0.9Ga0.1O sensing membrane

Order results
Result details
Results per page
Select all
Export citation of selected articles as:
14 pages, 3204 KB  
Article
Role of en-APTAS Membranes in Enhancing the NO2 Gas-Sensing Characteristics of Carbon Nanotube/ZnO-Based Memristor Gas Sensors
by Ibtisam Ahmad, Mohsin Ali and Hee-Dong Kim
Biosensors 2024, 14(12), 635; https://doi.org/10.3390/bios14120635 - 20 Dec 2024
Cited by 7 | Viewed by 1688
Abstract
NO2 is a toxic gas that can damage the lungs with prolonged exposure and contribute to health conditions, such as asthma in children. Detecting NO2 is therefore crucial for maintaining a healthy environment. Carbon nanotubes (CNTs) are promising materials for NO [...] Read more.
NO2 is a toxic gas that can damage the lungs with prolonged exposure and contribute to health conditions, such as asthma in children. Detecting NO2 is therefore crucial for maintaining a healthy environment. Carbon nanotubes (CNTs) are promising materials for NO2 gas sensors due to their excellent electronic properties and high adsorption energy for NO2 molecules. However, conventional CNT-based sensors face challenges, including low responses at room temperature (RT) and slow recovery times. This study introduces a memristor-based NO2 gas sensor comprising CNT/ZnO/ITO decorated with an N-[3-(trimethoxysilyl)propyl] ethylene diamine (en-APTAS) membrane to enhance room-temperature-sensing performance. The amine groups in the en-APTAS membrane increase adsorption sites and boost charge transfer interactions between NO2 and the CNT surface. This modification improves the sensor’s response by 60% at 20 ppm compared to the undecorated counterpart. However, the high adsorption energy of NO2 slows the recovery process. To overcome this, a pulse-recovery method was implemented, applying a −2.5 V pulse with a 1 ms width, enabling the sensor to return to its baseline within 1 ms. These findings highlight the effectiveness of en-APTAS decoration and pulse-recovery techniques in improving the sensitivity, response, and recovery of CNT-based gas sensors. Full article
Show Figures

Figure 1

14 pages, 5086 KB  
Article
Investigation of High-Sensitivity pH Sensor Based on Au-Gated AlGaN/GaN Heterostructure
by Minjie Ye, Jianwen Sun, Teng Zhan, Robert Sokolovskij, Yulong Zhang, Jiangtao Wei, Shaomin Chen and Zewen Liu
Appl. Sci. 2024, 14(14), 6131; https://doi.org/10.3390/app14146131 - 14 Jul 2024
Cited by 4 | Viewed by 3223
Abstract
A high-sensitivity pH sensor based on an AlGaN/GaN high-electron mobility transistor (HEMT) with a 10 nm thick Au-gated sensing membrane was investigated. The Au nanolayer as a sensing membrane was deposited by electron-beam evaporation and patterned onto the GaN cap layer, which provides [...] Read more.
A high-sensitivity pH sensor based on an AlGaN/GaN high-electron mobility transistor (HEMT) with a 10 nm thick Au-gated sensing membrane was investigated. The Au nanolayer as a sensing membrane was deposited by electron-beam evaporation and patterned onto the GaN cap layer, which provides more surface-active sites and a more robust adsorption capacity for hydrogen ions (H+) and hydroxide ions (OH) and thus the sensitivity of the sensor can be significantly enhanced. A quasi-reference electrode was used to minimize the sensing system for the measurement of the microliter solution. The measurement and analysis results demonstrate that the fabricated sensor exhibits a high potential sensitivity of 58.59 mV/pH, which is very close to the Nernstian limit. The current sensitivity is as high as 372.37 μA/pH in the pH range from 4.0 to 9.18, under a 3.5 V drain-source voltage and a 0 V reference-source voltage. Comparison experiments show that the current sensitivity of the Au-gated sensor can reach 3.9 times that of the SiO2-gated sensor. Dynamic titration experiments reveal the pH sensor’s ability to promptly respond to immediate pH variations. These findings indicate that this pH sensor can meet most application requirements for advanced medical and chemical analysis. Full article
(This article belongs to the Section Applied Physics General)
Show Figures

Figure 1

13 pages, 3023 KB  
Article
Stimulation of Biological Structures on the Nanoscale Using Interfaces with Large Built-In Spontaneous Polarizations
by Nida Zia, Michael Stroscio and Mitra Dutta
Materials 2024, 17(10), 2332; https://doi.org/10.3390/ma17102332 - 14 May 2024
Viewed by 1240
Abstract
The electric potential stimulation of biological structures in aqueous environments is well-known to be a result of the gating of voltage-gated ion channels. Such voltage-gated ion channels are ubiquitous in the membranes of a wide variety of cells and they play central roles [...] Read more.
The electric potential stimulation of biological structures in aqueous environments is well-known to be a result of the gating of voltage-gated ion channels. Such voltage-gated ion channels are ubiquitous in the membranes of a wide variety of cells and they play central roles in a wide variety of sensing mechanisms and neuronal functions in biological systems. Experimental studies of ion-channel gating are frequently conducted using path-clamp techniques by placing a cumbersome external electrode in the vicinity of the extracellular side of the ion channel. Recently, it has been demonstrated that laser-induced polarization of nanoscale quantum dots can produce voltage sufficient to gate voltage-gated ion channels. This study specifically focuses on a new method of gating voltage-gated ion channels using 2D structures made of materials exhibiting large naturally occurring spontaneous polarizations, thereby eliminating the need for an external electrode or an illuminating laser. The work presents the use of self-polarizing semiconductor flakes, namely, 2H-SiC, ZnO, and GaN, to produce electric potential that is sufficient to gate voltage-gated ion channels when existing in proximity to it. Full article
Show Figures

Figure 1

17 pages, 11342 KB  
Article
Design, Optimization and Performance Assessment of Single Port Film Bulk Acoustic Resonator through Finite Element Simulation
by Raju Patel, Manoj Singh Adhikari, Shailendra Kumar Tripathi and Sourabh Sahu
Sensors 2023, 23(21), 8920; https://doi.org/10.3390/s23218920 - 2 Nov 2023
Cited by 7 | Viewed by 2120
Abstract
In this paper, the study is supported by design, FEA simulation, and practical RF measurements on fabricated single-port-cavity-based acoustic resonator for gas sensing applications. In the FEA simulation, frequency domain analysis was performed to enhance the performance of the acoustic resonator. The structural [...] Read more.
In this paper, the study is supported by design, FEA simulation, and practical RF measurements on fabricated single-port-cavity-based acoustic resonator for gas sensing applications. In the FEA simulation, frequency domain analysis was performed to enhance the performance of the acoustic resonator. The structural and surface morphologies of the deposited ZnO as a piezoelectric layer have been studied using XRD and AFM. The XRD pattern of deposited bulk ZnO film indicates the perfect single crystalline nature of the film with dominant phase (002) at 2θ = 34.58°. The AFM micrograph indicates that deposited piezoelectric film has a very smooth surface and small grain size. In the fabrication process, use of bulk micro machined oxide (SiO2) for the production of a thin membrane as a support layer is adopted. A vector network analyzer (Model MS2028C, Anritsu) was used to measure the radio frequency response of the resonators from 1 GHz to 2.5 GHz. As a result, we have successfully fabricated an acoustic resonator operating at 1.84 GHz with a quality factor Q of 214 and an effective electromechanical coupling coefficient of 10.57%. Full article
Show Figures

Figure 1

12 pages, 4660 KB  
Article
Investigation of High-Sensitivity NO2 Gas Sensors with Ga2O3 Nanorod Sensing Membrane Grown by Hydrothermal Synthesis Method
by Shao-Yu Chu, Mu-Ju Wu, Tsung-Han Yeh, Ching-Ting Lee and Hsin-Ying Lee
Nanomaterials 2023, 13(6), 1064; https://doi.org/10.3390/nano13061064 - 15 Mar 2023
Cited by 18 | Viewed by 4286
Abstract
In this work, Ga2O3 nanorods were converted from GaOOH nanorods grown using the hydrothermal synthesis method as the sensing membranes of NO2 gas sensors. Since a sensing membrane with a high surface-to-volume ratio is a very important issue for [...] Read more.
In this work, Ga2O3 nanorods were converted from GaOOH nanorods grown using the hydrothermal synthesis method as the sensing membranes of NO2 gas sensors. Since a sensing membrane with a high surface-to-volume ratio is a very important issue for gas sensors, the thickness of the seed layer and the concentrations of the hydrothermal precursor gallium nitrate nonahydrate (Ga(NO3)3·9H2O) and hexamethylenetetramine (HMT) were optimized to achieve a high surface-to-volume ratio in the GaOOH nanorods. The results showed that the largest surface-to-volume ratio of the GaOOH nanorods could be obtained using the 50-nm-thick SnO2 seed layer and the Ga(NO3)3·9H2O/HMT concentration of 12 mM/10 mM. In addition, the GaOOH nanorods were converted to Ga2O3 nanorods by thermal annealing in a pure N2 ambient atmosphere for 2 h at various temperatures of 300 °C, 400 °C, and 500 °C, respectively. Compared with the Ga2O3 nanorod sensing membranes annealed at 300 °C and 500 °C, the NO2 gas sensors using the 400 °C-annealed Ga2O3 nanorod sensing membrane exhibited optimal responsivity of 1184.6%, a response time of 63.6 s, and a recovery time of 135.7 s at a NO2 concentration of 10 ppm. The low NO2 concentration of 100 ppb could be detected by the Ga2O3 nanorod-structured NO2 gas sensors and the achieved responsivity was 34.2%. Full article
(This article belongs to the Special Issue Advanced Gas Sensors Developed by Nanocomposites)
Show Figures

Figure 1

18 pages, 30061 KB  
Article
Thin-Film Composite Matrimid-Based Hollow Fiber Membranes for Oxygen/Nitrogen Separation by Gas Permeation
by Daniel González-Revuelta, Marcos Fallanza, Alfredo Ortiz and Daniel Gorri
Membranes 2023, 13(2), 218; https://doi.org/10.3390/membranes13020218 - 10 Feb 2023
Cited by 20 | Viewed by 5921
Abstract
In recent years, the need to reduce energy consumption worldwide to move towards sustainable development has led many of the conventional technologies used in the industry to evolve or to be replaced by new alternatives. Oxygen is a compound with diverse industrial and [...] Read more.
In recent years, the need to reduce energy consumption worldwide to move towards sustainable development has led many of the conventional technologies used in the industry to evolve or to be replaced by new alternatives. Oxygen is a compound with diverse industrial and medical applications. For this reason, obtaining it from air is one of the most interesting separations, traditionally performed by cryogenic distillation and pressure swing adsorption, two techniques which are very energetically expensive. In this sense, the implementation of membranes in a hollow fiber configuration is presented as a much more efficient alternative to carry out this separation. The aim of this work is to develop cost-effective multilayer hollow fiber composite membranes made of Matrimid and polydimethylsiloxane (PDMS) for the separation of oxygen and nitrogen from air. PDMS is used as a cover layer but can also enhance the performance of the membrane. In order to compare these two materials, three different configurations are studied. First, integral asymmetric Matrimid hollow fiber membranes were produced using the spinning method. Secondly, by using dip-coating method, a PDMS dense selective layer was deposited on a self-made polyvinylidene fluoride (PVDF) hollow fiber support. Finally, the performance of a dual-layer hollow fiber membrane of Matrimid and PDMS was studied. Membrane morphology was characterized by SEM and separation performance of the membranes was evaluated by mixed-gas permeation experiments. The novelty presented in this work is the manufacture of hollow fiber membranes and the way Matrimid is treated. This makes it possible to develop much thinner dense layers than in the case of flat-sheet membranes, which leads to higher permeance values. This is a key factor when implementing this technology on an industrial scale. Membranes prepared in this work were compared to the current state of the art, reporting quite good performance for the dual-layer membrane, reaching O2 permeance of 30.8 GPU and O2/N2 selectivity of 4.7, with a thickness of about 5–10 μm (counting both selective layers). In addition, the effect of operating temperature on the membrane permeances has been studied experimentally; we analyze its influence on the selectivity of the separation process. Full article
(This article belongs to the Special Issue Mixed-Matrix Membranes and Polymeric Membranes 2.0)
Show Figures

Graphical abstract

16 pages, 5355 KB  
Article
Effects of NH3 Plasma and Mg Doping on InGaZnO pH Sensing Membrane
by Chyuan-Haur Kao, Chia-Shao Liu, Shih-Ming Chan, Chih-Chen Kuo, Shang-Che Tsai, Ming-Ling Lee and Hsiang Chen
Membranes 2021, 11(12), 994; https://doi.org/10.3390/membranes11120994 - 20 Dec 2021
Cited by 3 | Viewed by 3321
Abstract
In this study, the effects of magnesium (Mg) doping and Ammonia (NH3) plasma on the pH sensing capabilities of InGaZnO membranes were investigated. Undoped InGaZnO and Mg-doped pH sensing membranes with NH3 plasma were examined with multiple material analyses including [...] Read more.
In this study, the effects of magnesium (Mg) doping and Ammonia (NH3) plasma on the pH sensing capabilities of InGaZnO membranes were investigated. Undoped InGaZnO and Mg-doped pH sensing membranes with NH3 plasma were examined with multiple material analyses including X-ray diffraction, X-ray photoelectron spectroscopy, secondary ion mass spectroscopy and transmission electron microscope, and pH sensing behaviors of the membrane in electrolyte-insulator-semiconductors. Results indicate that Mg doping and NH3 plasma treatment could superpositionally enhance crystallization in fine nanostructures, and strengthen chemical bindings. Results indicate these material improvements increased pH sensing capability significantly. Plasma-treated Mg-doped InGaZnO pH sensing membranes show promise for future pH sensing biosensors. Full article
(This article belongs to the Section Membrane Applications)
Show Figures

Figure 1

15 pages, 2440 KB  
Article
Dopamine-Sensing Characteristics and Mechanism by Using N2/O2 Annealing in Pt/Ti/n-Si Structure
by Yi-Pin Chen, Anisha Roy, Ping-Hsuan Wu, Shih-Yin Huang and Siddheswar Maikap
Electronics 2021, 10(24), 3146; https://doi.org/10.3390/electronics10243146 - 17 Dec 2021
Cited by 3 | Viewed by 3006
Abstract
Dopamine detection by using N2/O2 annealing in a Pt/Ti/n-Si structure is investigated for the first time. To achieve repeatable and stable dopamine detection, a Pt membrane is annealed at elevated temperatures of 500 to 700 °C. N2/O2 [...] Read more.
Dopamine detection by using N2/O2 annealing in a Pt/Ti/n-Si structure is investigated for the first time. To achieve repeatable and stable dopamine detection, a Pt membrane is annealed at elevated temperatures of 500 to 700 °C. N2/O2 gas ambient is used to optimize the membrane. The Pt membrane with thicknesses from 5 to 2 nm is optimized. Novel Pt/Ti/n-Si Schottky contact in a metal–electrolyte–membrane–silicon (MEMS) structure detects dopamine with a low concentration of 1 pM. The Pt membrane with N2 ambient annealing shows the lowest concentration of dopamine sensing with a small volume of 10 µL, acceptable stability, and repeatability. Scan rate-dependent dopamine concentration sensing is also investigated in the two-terminal measurement method. This study is useful for the early diagnosis of Parkinson’s disease in the near future. Full article
(This article belongs to the Section Bioelectronics)
Show Figures

Figure 1

6 pages, 681 KB  
Proceeding Paper
Influence of ZnO Fertilization of Grapes cv. Syrah on Photosynthesis
by Diana Daccak, Ana Coelho Marques, Ana Rita F. Coelho, Cláudia Campos Pessoa, Inês Carmo Luís, José C. Ramalho, Maria José Silva, Ana Paula Rodrigues, Paula Scotti Campos, Isabel P. Pais, José N. Semedo, Manuela Simões, Maria Manuela Silva, José Carlos Kullberg, Maria Graça Brito, Paulo Legoinha, Fernando H. Reboredo, Maria Fernanda Pessoa and Fernando C. Lidon
Biol. Life Sci. Forum 2022, 11(1), 71; https://doi.org/10.3390/IECPS2021-11936 - 30 Nov 2021
Viewed by 1380
Abstract
Zinc has an important role in crops; it is responsible for several physiological pathways and improving crop quality and growth. Zinc plays an important role related to enzyme activity, carbohydrate metabolism, photosynthesis, protein metabolism, and maintenance of the integrity of biological membranes. Considering [...] Read more.
Zinc has an important role in crops; it is responsible for several physiological pathways and improving crop quality and growth. Zinc plays an important role related to enzyme activity, carbohydrate metabolism, photosynthesis, protein metabolism, and maintenance of the integrity of biological membranes. Considering its importance and the deficiency observed worldwide, a workflow of foliar spraying with zinc oxide (ZnO) in vines of cv. Syrah during the production cycle was implemented at the Biscaia field in Palmela, Portugal. The treatment applied had concentrations of 150 and 450 g ha−1. At harvest, Zn concentration in grapes reached a maximum increase of 55% with the treatment ZnO- 450 g ha−1, face to control. Furthermore, leaf gas exchange after foliar spraying did not present toxic signs in both concentrations and was even observed as a positive impact on net photosynthesis and leaf instantaneous water-use efficiency, thus contributing to biomass levels. Moreover, remote detection through Unmanned Aerial Vehicles allowed us to obtain the morphology of the field, and we observed a superficial drainage capacity of 65% with water lines in the direction of NW-SE and SE sense, along the lines of the vines, also contributing to the quality of the crops. This strategy of Zn fertilization is demonstrated to have potential benefits for crops and is additionally advantageous for consumption as this micronutrient has several important functions. Full article
Show Figures

Figure 1

9 pages, 2521 KB  
Article
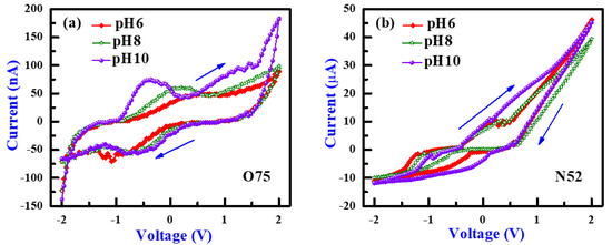
Fabrication and Characterization of In0.9Ga0.1O EGFET pH Sensors
by Chia-Hsun Chen, Shu-Bai Liu and Sheng-Po Chang
Coatings 2021, 11(8), 929; https://doi.org/10.3390/coatings11080929 - 3 Aug 2021
Cited by 6 | Viewed by 3390
Abstract
In this study, the In0.9Ga0.1O sensing membrane were deposited by using the RF magnetron sputtering at room temperature and combined with commercial MOSFETs as the extended gate field effect transistor (EGFET) pH sensors. The sensing performance of the In [...] Read more.
In this study, the In0.9Ga0.1O sensing membrane were deposited by using the RF magnetron sputtering at room temperature and combined with commercial MOSFETs as the extended gate field effect transistor (EGFET) pH sensors. The sensing performance of the In0.9Ga0.1O EGFET pH sensors were measured and analyzed in the pH value of range between 2 to 12. In the saturation region, the pH current sensitivity calculated from the linear relationship between the IDS and pH value was approximately 56.64 μA/pH corresponding to the linearity of 97.8%. In the linear region, the pH voltage sensitivity exhibited high sensitivity and linearity of 43.7 mV/pH and 96.3%, respectively. The In0.9Ga0.1O EGFET pH sensors were successfully fabricated and exhibited great linearity. The analyzed results indicated that the In0.9Ga0.1O was a robust material as a promising sensing membrane and effectively used for pH sensing detection application. Full article
Show Figures

Figure 1

12 pages, 30925 KB  
Article
Electronic Percolation Threshold of Self-Standing Ag-LaCoO3 Porous Electrodes for Practical Applications
by Stanica Enache, Mirela Dragan, Mihai Varlam and Konstantin Petrov
Materials 2019, 12(15), 2359; https://doi.org/10.3390/ma12152359 - 25 Jul 2019
Cited by 7 | Viewed by 3277
Abstract
Perovskite LaCoO 3 materials have various applications, from selective permeable membranes and gas sensing devices to water splitting applications. However, the intrinsic electrical resistivity of the perovskite limits the applicative potential. To overcome that, Ag powder was used with LaCoO 3 to obtain [...] Read more.
Perovskite LaCoO 3 materials have various applications, from selective permeable membranes and gas sensing devices to water splitting applications. However, the intrinsic electrical resistivity of the perovskite limits the applicative potential. To overcome that, Ag powder was used with LaCoO 3 to obtain porous composite electrodes with enhanced conductivities. For that, a series of composite Ag-LaCoO 3 powders were prepared into pellets and pre-sintered at various temperatures up to 1000 C. Their structural properties and morphology were investigated by X-ray diffraction and scanning electron microscopy. The electronic transport of compacted specimens was studied by impedance spectroscopy. The results indicate that the presence of Ag acts as pre-sintering additive to obtain porous electrodes, with porosity values as high as 40% at 50 vol. % Ag. Moreover, the overall electrical resistivity of the composite electrodes varied well over four orders of magnitude. The results are discussed within the generalized Bruggeman theory for effective media comprising arbitrarily shaped metallic and semiconducting inclusions. Full article
Show Figures

Figure 1

14 pages, 2096 KB  
Article
Improved Sensing Capability of Integrated Semiconducting Metal Oxide Gas Sensor Devices
by Ayoub Lahlalia, Olivier Le Neel, Ravi Shankar, Siegfried Selberherr and Lado Filipovic
Sensors 2019, 19(2), 374; https://doi.org/10.3390/s19020374 - 17 Jan 2019
Cited by 24 | Viewed by 6336
Abstract
Semiconducting metal oxide (SMO) gas sensors were designed, fabricated, and characterized in terms of their sensing capability and the thermo-mechanical behavior of the micro-hotplate. The sensors demonstrate high sensitivity at low concentrations of volatile organic compounds (VOCs) at a low power consumption of [...] Read more.
Semiconducting metal oxide (SMO) gas sensors were designed, fabricated, and characterized in terms of their sensing capability and the thermo-mechanical behavior of the micro-hotplate. The sensors demonstrate high sensitivity at low concentrations of volatile organic compounds (VOCs) at a low power consumption of 10.5 mW. In addition, the sensors realize fast response and recovery times of 20 s and 2.3 min, respectively. To further improve the baseline stability and sensing response characteristics at low power consumption, a novel sensor is conceived of and proposed. Tantalum aluminum (TaAl) is used as a microheater, whereas Pt-doped SnO2 is used as a thin film sensing layer. Both layers were deposited on top of a porous silicon nitride membrane. In this paper, two designs are characterized by simulations and experimental measurements, and the results are comparatively reported. Simultaneously, the impact of a heat pulsing mode and rubber smartphone cases on the sensing performance of the gas sensor are highlighted. Full article
(This article belongs to the Special Issue Eurosensors 2018 Selected Papers)
Show Figures

Figure 1

5 pages, 628 KB  
Proceeding Paper
Localized and In-Situ Integration of Different Nanowire Materials for Electronic Nose Applications
by Guillem Domènech-Gil, Lukas Hrachowina, Antonio Pardo, Michael S. Seifner, Isabel Gràcia, Carles Cané, Sven Barth and Albert Romano-Rodríguez
Proceedings 2018, 2(13), 957; https://doi.org/10.3390/proceedings2130957 - 11 Jan 2019
Cited by 1 | Viewed by 1987
Abstract
A new method for the site-selective synthesis of nanowires has been developed to enable the material growth with specific morphology and different compositions on one single chip. Based on a modification of the chemical vapor deposition method, the growth of nanowires on top [...] Read more.
A new method for the site-selective synthesis of nanowires has been developed to enable the material growth with specific morphology and different compositions on one single chip. Based on a modification of the chemical vapor deposition method, the growth of nanowires on top of micromembranes can be easily tuned and represents a simple and adjustable fabrication process for the direct integration of different nanowire-based resistive multifunctional devices. This proof-of-concept is exemplified by the deposition of SnO2, WO3 and Ge nanowires on the membranes of one single chip and their gas sensing responses towards different concentrations of CO, NO2 and humidity diluted in synthetic air are evaluated. The principal component analysis of the collected data allows gas identification and, thus, the system is suitable for environmental monitoring. Full article
(This article belongs to the Proceedings of EUROSENSORS 2018)
Show Figures

Figure 1

12 pages, 2458 KB  
Article
Modified Porous SiO2-Supported Cu3(BTC)2 Membrane with High Performance of Gas Separation
by Chunjing Lu, Gang Wang, Keliang Wang, Daizong Guo, Mingxing Bai and Ying Wang
Materials 2018, 11(7), 1207; https://doi.org/10.3390/ma11071207 - 13 Jul 2018
Cited by 9 | Viewed by 5128
Abstract
The structures and applications of metal-organic framework materials (MOFs) have been attracting great interest due to the wide variety of possible applications, for example, chemical sensing, separation, and catalysis. N-[3-(Trimethoxysilyl)propyl]ethylenediamine is grafted on a porous SiO2 disk to obtain a modified porous [...] Read more.
The structures and applications of metal-organic framework materials (MOFs) have been attracting great interest due to the wide variety of possible applications, for example, chemical sensing, separation, and catalysis. N-[3-(Trimethoxysilyl)propyl]ethylenediamine is grafted on a porous SiO2 disk to obtain a modified porous SiO2 disk. A large-scale, continuous, and compact Cu3(BTC)2 membrane is prepared based on a modified porous SiO2 disk. The chemical structure, surface morphology, thermal stability, mechanical stability, and gas separation performance of the obtained Cu3(BTC)2 membrane is analyzed and characterized by means of X-ray diffraction (XRD), scanning electron microscopy (SEM), thermogravimetric analysis (TGA) and a gas separation experiment. The results show that the prepared Cu3(BTC)2 membrane has an intact morphology with its crystal. It is continuous, compact, and intact, and has good thermal stability and mechanical stability. The result of the gas separation experiment shows that the Cu3(BTC)2 membrane has a good selectivity of hydrogen and can be used to recover and purify hydrogen. Full article
(This article belongs to the Section Porous Materials)
Show Figures

Figure 1

14 pages, 6157 KB  
Article
Improved Durability and Sensitivity of Bitterness-Sensing Membrane for Medicines
by Xiao Wu, Hideya Onitake, Zhiqin Huang, Takeshi Shiino, Yusuke Tahara, Rui Yatabe, Hidekazu Ikezaki and Kiyoshi Toko
Sensors 2017, 17(11), 2541; https://doi.org/10.3390/s17112541 - 4 Nov 2017
Cited by 14 | Viewed by 5239
Abstract
This paper reports the improvement of a bitterness sensor based on a lipid polymer membrane consisting of phosphoric acid di-n-decyl ester (PADE) as a lipid and bis(1-butylpentyl) adipate (BBPA) and tributyl o-acetylcitrate (TBAC) as plasticizers. Although the commercialized bitterness sensor (BT0) has high [...] Read more.
This paper reports the improvement of a bitterness sensor based on a lipid polymer membrane consisting of phosphoric acid di-n-decyl ester (PADE) as a lipid and bis(1-butylpentyl) adipate (BBPA) and tributyl o-acetylcitrate (TBAC) as plasticizers. Although the commercialized bitterness sensor (BT0) has high sensitivity and selectivity to the bitterness of medicines, the sensor response gradually decreases to almost zero after two years at room temperature and humidity in a laboratory. To reveal the reason for the deterioration of the response, we investigated sensor membranes by measuring the membrane potential, contact angle, and adsorption amount, as well as by performing gas chromatography-mass spectrometry (GC-MS), liquid chromatography-tandem mass spectrometry (LC-MS/MS). We found that the change in the surface charge density caused by the hydrolysis of TBAC led to the deterioration of the response. The acidic environment generated by PADE promoted TBAC hydrolysis. Finally, we succeeded in fabricating a new membrane for sensing the bitterness of medicines with higher durability and sensitivity by adjusting the proportions of the lipid and plasticizers. Full article
(This article belongs to the Special Issue Electronic Tongues and Electronic Noses)
Show Figures

Figure 1

Back to TopTop